Electric Field Control of Magnetic Properties by Means of Li+ Migration in FeRh Thin Film
Abstract
1. Introduction
2. Experiment
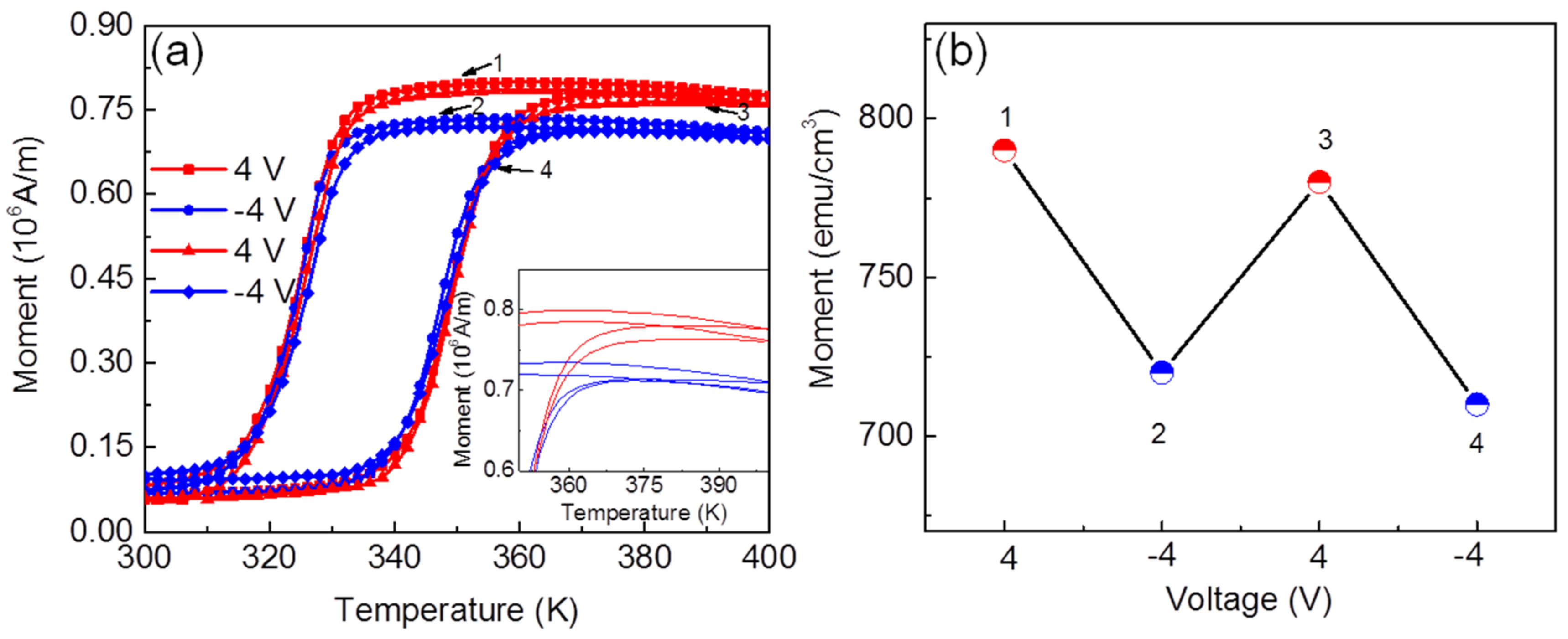
3. Results and Discussion
4. Conclusions
Author Contributions
Funding
Institutional Review Board Statement
Informed Consent Statement
Data Availability Statement
Conflicts of Interest
References
- Fallot, M.; Horcart, R. Sur l’apparition du ferromagnétisme par élévation de température dans des alliages de fer et de rhodium. Rev. Sci. 1939, 77, 498. [Google Scholar]
- Kouvel, J.S.; Hartelius, C.C. Anomalous Magnetic Moment and Transformations in the Ordered Alloy FeRh. J. Appl. Phys. 1962, 33, 1343. [Google Scholar] [CrossRef]
- Zakharov, A.I.; Kadomtseva, A.M.; Levitin, R.Z.; Ponyatovskii, E.G. Magnetic and magnetoelastic properties of a metamagnetic iron–rhodium alloy. Sov. Phys. JETP 1964, 19, 1348. [Google Scholar]
- Thiele, J.–U.; Maat, S.; Fullerton, E.E. FeRh/FePt exchange spring films for thermally assisted magnetic recording media. Appl. Phys. Lett. 2003, 82, 2859. [Google Scholar] [CrossRef]
- Marti, X.; Fina, I.; Frontera, C.; Liu, J.; Wadley, P.; He, Q.; Paull, R.J.; Clarkson, J.D.; Kudrnovský, J.; Turek, I.; et al. Room-temperature antiferromagnetic memory resistor. Nat. Mater. 2014, 13, 367. [Google Scholar] [CrossRef]
- Liu, Y.; Phillips, L.C.; Mattana, R.; Bibes, M.; Barthelemy, A.; Dkhil, B. Large reversible caloric effect in FeRh thin films via a dual-stimulus multicaloric cycle. Nat. Commun. 2016, 7, 11614. [Google Scholar] [CrossRef]
- Maat, S.; Thiele, J.-U.; Fullerton, E.E. Temperature and field hysteresis of the antiferromagnetic-to-ferromagnetic phase transition in epitaxial FeRh films. Phys. Rev. B 2005, 72, 214432. [Google Scholar] [CrossRef]
- Song, C.; Cui, B.; Li, F.; Zhou, X.; Pan, F. Recent progress in voltage control of magnetism: Materials, mechanisms, and performance. Prog. Mater. Sci. 2017, 87, 33. [Google Scholar] [CrossRef]
- Suzuki, I.; Itoh, M.; Taniyama, T. Elastically controlled magnetic phase transition in Ga-FeRh/BaTiO3(001) heterostructure. Appl. Phys. Lett. 2014, 104, 022401. [Google Scholar] [CrossRef]
- Barua, R.; Jimenez-Villacorta, F.; Lewis, L.H. Predicting magnetostructural trends in FeRh based ternary systems. Appl. Phys. Lett. 2013, 103, 102407. [Google Scholar] [CrossRef]
- Xuan, H.C.; Wang, L.Y.; Zheng, Y.X.; Li, Y.L.; Cao, Q.Q.; Chen, S.Y.; Wang, D.H.; Huang, Z.G.; Du, Y.W. Electric field control of magnetism without magnetic bias field in the Ni/ Pb(Mg1/3Nb2/3)O3 -PbTiO3 /Ni composite. Appl. Phys. Lett. 2011, 99, 032509. [Google Scholar] [CrossRef]
- Weiler, M.; Brandlmaier, A.; Geprags, S.; Althammer, M.; Opel, M.; Bihler, C.; Huebl, H.; Brandt, M.S.; Gross, R.; Goennenwein, S.T.B. Voltage controlled inversion of magnetic anisotropy in a ferromagnetic thin film at room temperature. New J. Phys. 2009, 11, 013021. [Google Scholar] [CrossRef]
- Skumryev, V.; Laukhin, V.; Fina, I.; Martí, X.; Sánchez, F.; Gospodinov, M.; Fontcuberta, J. Magnetization Reversal by Electric-Field Decoupling of Magnetic and Ferroelectric Domain Walls in Multiferroic-Based Heterostructures. Phys. Rev. Lett. 2011, 106, 057206. [Google Scholar] [CrossRef] [PubMed]
- Cherifi, R.O.; Ivanovskaya, V.; Phillips, L.C.; Zobelli, A.; Infante, I.C.; Jacquet, E.; Garcia, V.; Fusil, S.; Briddon, P.R.; Guiblin, N.; et al. Electric-field control of magnetic order above room temperature. Nat. Mater. 2014, 13, 345. [Google Scholar] [CrossRef]
- Xie, Y.L.; Zhan, Q.F.; Shang, T.; Yang, H.L.; Liu, Y.W.; Wang, B.M.; Li, R.W. Electric field control of magnetic properties in FeRh/PMN-PT heterostructures. AIP Adv. 2018, 8, 055816. [Google Scholar] [CrossRef]
- Lee, Y.; Liu, Z.Q.; Heron, J.T.; Clarkson, J.D.; Hong, J.; Ko, C.; Biegalski, M.D.; Aschauer, U.; Hsu, S.L.; Nowakowski, M.E.; et al. Large resistivity modulation in mixed-phase metallic systems. Nat. Commun. 2015, 6, 5959. [Google Scholar] [CrossRef]
- Jiang, M.; Chen, X.Z.; Zhou, X.J.; Cui, B.; Yan, Y.N.; Wu, H.Q.; Pan, F.; Song, C. Electrochemical control of the phase transition of ultrathin FeRh films. Appl. Phys. Lett. 2016, 108, 202404. [Google Scholar] [CrossRef]
- Pravarthana, D.; Zhang, T.; Wang, B.M.; Yang, H.L.; Xuan, H.C.; Bi, C.; Wang, W.G.; Li, R.W. Reversibly controlled magnetic domains of Co film via electric field driven oxygen migration at nanoscale. Appl. Phys. Lett. 2019, 114, 232401. [Google Scholar]
- Pravarthana, D.; Wang, B.M.; Mustafa, Z.; Agarwal, S.; Pei, K.; Yang, H.L.; Li, R.W. Reversible Control of Magnetic Anisotropy and Magnetization in Amorphous Co40Fe40B20 Thin Films via All-Solid-State Li-ion Redox Capacitor. Phys. Rev. Appl. 2019, 12, 054065. [Google Scholar] [CrossRef]
- Wu, J.; Qiu, D.; Zhang, H.L.; Cao, H.T.; Wang, W.; Liu, Z.P.; Tian, T.; Liang, L.Y.; Gao, J.H.; Zhuge, F. Flexible Electrochromic V2O5 Thin Films with Ultrahigh Coloration Efficiency on Graphene Electrodes. J. Electrochem. Soc. 2018, 165, D183. [Google Scholar] [CrossRef]
- Mustafa, Z.; Pravarthana, D.; Wang, B.M.; Yang, H.L.; Li, R.W. Manipulation of Exchange Bias Effect via All-Solid-State Li-Ion Redox Capacitor with Antiferromagnetic Electrode. Phys. Rev. Appl. 2020, 14, 014062. [Google Scholar] [CrossRef]
- Han, G.C.; Qiu, J.J.; Yap, Q.J.; Luo, P.; Kanbe, T.; Shige, T.; Laughlin, D.E.; Zhu, J.G. Suppression of low-temperature ferromagnetic phase in ultrathin FeRh films. J. Appl. Phys. 2013, 113, 123909. [Google Scholar] [CrossRef]
- Xie, Y.L.; Zhan, Q.F.; Shang, T.; Yang, H.L.; Wang, B.M.; Tang, J.; Li, R.W. Effect of epitaxial strain and lattice mismatch on magnetic and transport behaviors in metamagnetic FeRh thin films. AIP Adv. 2017, 7, 056314. [Google Scholar] [CrossRef]
- Phillips, L.C.; Cherifi, R.O.; Ivanovskaya, V.; Zobelli, A.; Infante, I.C.; Jacquet, E.; Guiblin, N.; Ünal, A.A.; Kronast, F.; Dkhil, B.; et al. Local electrical control of magnetic order and orientation by ferroelastic domain arrangements just above room temperature. Sci. Rep. 2015, 5, 10026. [Google Scholar] [CrossRef] [PubMed]



Publisher’s Note: MDPI stays neutral with regard to jurisdictional claims in published maps and institutional affiliations. |
© 2021 by the authors. Licensee MDPI, Basel, Switzerland. This article is an open access article distributed under the terms and conditions of the Creative Commons Attribution (CC BY) license (http://creativecommons.org/licenses/by/4.0/).
Share and Cite
Li, G.; Xie, Y.; Wang, B.; Yang, H.; Li, R.-W. Electric Field Control of Magnetic Properties by Means of Li+ Migration in FeRh Thin Film. Magnetochemistry 2021, 7, 45. https://doi.org/10.3390/magnetochemistry7040045
Li G, Xie Y, Wang B, Yang H, Li R-W. Electric Field Control of Magnetic Properties by Means of Li+ Migration in FeRh Thin Film. Magnetochemistry. 2021; 7(4):45. https://doi.org/10.3390/magnetochemistry7040045
Chicago/Turabian StyleLi, Gengfei, Yali Xie, Baomin Wang, Huali Yang, and Run-Wei Li. 2021. "Electric Field Control of Magnetic Properties by Means of Li+ Migration in FeRh Thin Film" Magnetochemistry 7, no. 4: 45. https://doi.org/10.3390/magnetochemistry7040045
APA StyleLi, G., Xie, Y., Wang, B., Yang, H., & Li, R.-W. (2021). Electric Field Control of Magnetic Properties by Means of Li+ Migration in FeRh Thin Film. Magnetochemistry, 7(4), 45. https://doi.org/10.3390/magnetochemistry7040045

