X-ray Structure and Magnetic Properties of Heterobimetallic Chains Based on the Use of an Octacyanidodicobalt(III) Complex as Metalloligand †
Abstract
1. Introduction
2. Results and Discussion
2.1. Synthesis, IR Spectroscopy and Thermal Study
2.2. Description of the Structures
2.3. Static (dc) Magnetic Properties of 1 and 2
2.4. EPR Spectroscopy and Theoretical Calculations of 1 and 2
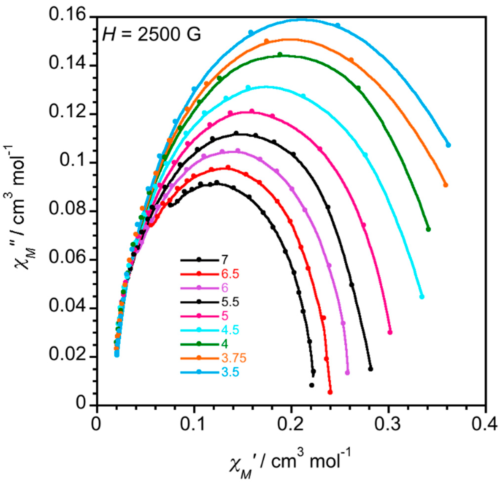
2.5. Dynamic (ac) Magnetic Properties of 1 and 2
3. Experimental
3.1. Materials and General Methods
3.2. Preparation of the Complexes
3.2.1. Synthesis of [CoII(CH3OH)2(DMSO)2(μ-NC)2Co2III(μ-2,5-dpp)(CN)6]n·4nCH3OH (1)
3.2.2. Synthesis of [FeII(CH3OH)2(DMSO)2(μ-NC)2Co2III(μ-2,5-dpp)(CN)6]n·2nCH3OH (2)
3.3. Physical Measurements
3.4. Computational Details
3.5. X-ray Data Collection and Structure Refinement
4. Conclusions
Supplementary Materials
Author Contributions
Funding
Acknowledgments
Conflicts of Interest
References
- Ouahab, L. (Ed.) Multifunctional Molecular Materials; Pan Stanford Publishing: Singapore, 2013. [Google Scholar]
- Launay, J.-P.; Verdaguer, M. Electrons in Molecules: From Basic Principles to Molecular Electronics; Oxford University Press: Oxford, UK, 2014. [Google Scholar]
- Benelli, C.; Gatteschi, D. Introduction to Molecular Magnetism: From Transition Metals to Lanthanides; Wiley-VCH: Weinheim, Germany, 2015. [Google Scholar]
- Layfield, R.A.; Murugesu, M. (Eds.) Lanthanides and Actinides in Molecular Magnetism; Wiley-VCH: Weinheim, Germany, 2015. [Google Scholar]
- Sieklucka, B.; Pinkowicz, D. (Eds.) Molecular Magnetic Materials; Wiley-VCH: Weinheim, Germany, 2017. [Google Scholar]
- Ferrando-Soria, J.; Vallejo, J.; Castellano, M.; Martínez-Lillo, J.; Pardo, E.; Cano, J.; Castro, I.; Lloret, F.; Ruiz-García, R.; Julve, M. Molecular Magnetism, quo vadis? A historical perspective from a coordination chemist viewpoint. Coord. Chem. Rev. 2017, 339, 17–103. [Google Scholar] [CrossRef]
- Mon, M.; Bruno, R.; Ferrando-Soria, J.; Armentano, D.; Pardo, E. Metal-organic framework technologies for water remediation: Towards a sustainable ecosystem. J. Mater. Chem. A 2018, 6, 4912–4947. [Google Scholar] [CrossRef]
- Andruh, M. Heterotrimetallic complexes in molecular magnetism. Chem. Commun. 2018, 54, 3559–3577. [Google Scholar] [CrossRef] [PubMed]
- Journaux, Y.; Ferrando-Soria, J.; Pardo, E.; Ruiz-Garcia, R.; Julve, M.; Lloret, F.; Cano, J.; Li, Y.; Lisnard, L.; Yu, P.; et al. Design of Magnetic Coordination Polymers Built from Polyoxalamine Ligands: A Thirty Year Study. Eur. J. Inorg. Chem. 2018, 3–4, 228–247. [Google Scholar] [CrossRef]
- Chorazy, S.; Wyczesany, M.; Sieklucka, B. Lanthanide Photoluminescence in Heterometallic Polycyanidometallate-Based Coordination Networks. Molecules 2017, 22, 1902. [Google Scholar] [CrossRef] [PubMed]
- Martínez-Lillo, J.; Faus, J.; Lloret, F.; Julve, M. Towards multifunctional magnetic systems through molecular-programmed self assembly of Re(IV) metalloligands. Coord. Chem. Rev. 2015, 289–290, 215–232. [Google Scholar] [CrossRef]
- Marinescu, G.; Andruh, M.; Lloret, F.; Julve, M. Bis(oxalato)chromium(III) complexes: Versatile tectons in designing heterometallic coordination compounds. Coord. Chem. Rev. 2011, 255, 161–185. [Google Scholar] [CrossRef]
- Lescouëzec, R.; Toma, L.M.; Vaissermann, J.; Verdaguer, M.; Delgado, F.S.; Ruiz-Pérez, C.; Lloret, F.; Julve, M. Design of single chain magnets through cyanide-bearing six-coordinate complexes. Coord. Chem. Rev. 2005, 249, 2691–2729. [Google Scholar] [CrossRef]
- Andruh, M. Coordination Polymers Constructed from Oligonuclear Nodes. Chimia 2013, 67, 383–387. [Google Scholar] [CrossRef]
- Andruh, M. Oligonuclear complexes as tectons in crystal engineering: Structural diversity and magnetic properties. Chem. Commun. 2007, 2565–2577. [Google Scholar] [CrossRef]
- Robson, R. Design and its limitations in the construction of bi- and poly-nuclear coordination complexes and coordination polymers (aka MOFs): A personal view. Dalton Trans. 2008, 5113–5131. [Google Scholar] [CrossRef] [PubMed]
- Vigato, P.A.; Tamburini, S. The challenge of cyclic and acyclic Schiff bases and related derivatives. Coord. Chem. Rev. 2004, 248, 1717–2128. [Google Scholar] [CrossRef]
- Janiak, C.; Vieth, J.K. MOFs, MILs and more: Concepts, properties and applications for porous coordination networks (PCNs). New J. Chem. 2010, 34, 2366–2388. [Google Scholar] [CrossRef]
- Cook, T.R.; Zheng, Y.-R.; Stang, P.J. Meta-Organic Frameworks and Self-Assembled Supramolecular Coordination Complexes: Comparing and Contrasting the Design, Synthesis, and Functionality of Metal-Organic Materials. Chem Rev. 2013, 113, 734–777. [Google Scholar] [CrossRef]
- Marvaud, V.; Decroix, C.; Scuiller, A.; Guyard-Duhayon, C.; Vaissermann, J.; Gonnet, F.; Verdaguer, M. Hexacyanometalate Molecular Chemistry: Heptanuclear Heterobimetallic Complexes; Control of the Ground Spin State. Chem. Eur. J. 2003, 9, 1677–1681. [Google Scholar] [CrossRef]
- Tanase, S.; Reedijk, J. Chemistry and Magnetism of cyanido-bridged d-f assemblies. Coord. Chem. Rev. 2006, 250, 2501–2510. [Google Scholar] [CrossRef]
- Shatruk, M.; Avendaño, C.; Dunbar, K.R. Cyanide-Bridged Complexes of Transition Metals: A Molecular Magnetism Perspective. Prog. Inorg. Chem. 2009, 56, 155–334. [Google Scholar]
- Wang, X.-Y.; Avendaño, C.; Dunbar, K.R. Molecular magnetic materials based on 4d and 5d transition metals. Chem. Soc. Rev. 2011, 40, 3213–3238. [Google Scholar] [CrossRef]
- Alexandrov, E.V.; Virovets, A.V.; Blatov, V.A.; Peresypkina, E.V. Topological Motifs in Cyanometallates: From Building Units to Three-Periodic Frameworks. Chem. Rev. 2015, 115, 12286–123192. [Google Scholar] [CrossRef]
- Pinkowicz, D.; Podgajny, R.; Nowicka, B.; Chorazy, S.; Reczyński, M.; Sieklucka, B. Magnetic clusters based on octacyanidometallates. Inorg. Chem. Front. 2015, 2, 10–27. [Google Scholar] [CrossRef]
- Visinescu, D.; Alexandru, M.-G.; Madalan, A.M.; Pichon, C.; Duhayon, C.; Sutter, J.-P.; Andruh, M. Magneto-structural variety of new 3d-4f-4(5)d heterotrimetallic complexes. Dalton Trans. 2015, 44, 16713–16727. [Google Scholar] [CrossRef] [PubMed]
- Alexandru, M.-G.; Visinescu, D.; Shova, S.; Andruh, M.; Lloret, F.; Cano, J.; Julve, M. Three different types of bridging ligands in a 3d-3d’-3d” heterotrimetallic chain. Dalton Trans. 2018, 47, 1010–1013. [Google Scholar] [CrossRef] [PubMed]
- Toma, L.; Lescöuezec, R.; Vaissermann, J.; Delgado, F.S.; Ruiz-Pérez, C.; Carrasco, R.; Cano, J.; Lloret, F.; Julve, M. Nuclearity Controlled Cyanide-Bridged Bimetallic CrIII-MnII Compounds: Synthesis, Crystal Structures, Magnetic Properties and Theoretical Calculations. Chem. Eur. J. 2004, 10, 6130–6145. [Google Scholar] [CrossRef] [PubMed]
- Wang, S.; Ding, X.-H.; Zuo, J.-L.; You, X.-Z.; Huang, W. Tricyanometalate molecular chemistry: A type of versatile building blocks for the construction of cyano-bridged molecular architectures. Coord. Chem. Rev. 2011, 255, 1713–1732. [Google Scholar] [CrossRef]
- Toma, L.M.; Ruiz-Pérez, C.; Lloret, F.; Julve, M. Slow Relaxation of the Magnetization in a 4,2-Wavelike FeIII2CoII Heterobimetallic Chain. Inorg. Chem. 2012, 51, 1216–1218. [Google Scholar] [CrossRef]
- Toma, L.M.; Ruiz-Pérez, C.; Pasán, J.; Wernsdorfer, W.; Lloret, F.; Julve, M. Molecular Engineering to Control the Magnetic Interaction between Single-Chain Magnets Assembled in a Two-Dimensional Network. J. Am. Chem. Soc. 2012, 134, 15265–15268. [Google Scholar] [CrossRef]
- Toma, L.M.; Pasán, J.; Ruiz-Pérez, C.; Lloret, F.; Julve, M. [FeIII(dmbpy)(CN)4]−: A new building block for designing single-chain magnets. Dalton Trans. 2012, 41, 13716–13726. [Google Scholar] [CrossRef]
- Alexandru, M.-G.; Visinescu, D.; Madalan, A.M.; Lloret, F.; Julve, M.; Andruh, M. [W(bipy)(CN)6]−: A Suitable Metalloligand in the Design of Heterometallic Complexes. The First CuIILnIIIWV Trinuclear Complexes. Inorg. Chem. 2012, 51, 4906–4908. [Google Scholar] [CrossRef]
- Li, Y.-H.; He, W.-R.; Ding, X.-H.; Wang, S.; Cui, L.-F.; Huang, W. Cyanide-bridged assemblies constructed from capped tetracyanometalate building blocks [MA(ligand)CN)4]1−/2− (MA = Fe or Cr). Coord. Chem. Rev. 2012, 256, 2795–2815. [Google Scholar] [CrossRef]
- Visinescu, D.; Toma, L.M.; Fabelo, O.; Ruiz-Pérez, C.; Lloret, F.; Julve, M. Low-Dimensional 3d-4f Complexes Assembled by Low-Spin [FeIII(phen)(CN)4]− Anions. Inorg. Chem. 2013, 52, 1525–1537. [Google Scholar] [CrossRef]
- Alexandru, M.-G.; Visinescu, D.; Andruh, M.; Marino, N.; Armentano, D.; Cano, J.; Lloret, F.; Julve, M. Heterotrimetallic Coordination Polymers: [CuIILnIIIFeIII] Chains and [NiIILnIIIFeIII] Layers: Synthesis, Crystal Structures and Magnetic Properties. Chem. Eur. J. 2015, 21, 5429–5446. [Google Scholar] [CrossRef] [PubMed]
- Alexandru, M.-G.; Visinescu, D.; Shova, S.; Andruh, M.; Lloret, F.; Julve, M. Synthesis, Crystal Structures and Magnetic Properties of Two Novel Cyanido-Bridged Heterotrimetallic [CuIIMnIICrIII] Complexes. Inorg. Chem. 2017, 56, 2258–2269. [Google Scholar] [CrossRef] [PubMed]
- Alexandru, M.-G.; Visinescu, D.; Shova, S.; Oliveira, W.X.C.; Lloret, F.; Julve, M. Design of 3d-4f molecular squares through the [Fe{(HB(pz)3}(CN)3]− metalloligand. Dalton Trans. 2018, 47, 6005–6017. [Google Scholar] [CrossRef] [PubMed]
- Alexandru, M.-G.; Visinescu, D.; Braun-Cula, B.; Shova, S.; Lloret, F.; Julve, M. In situ generation of Ph3PO in cyanide-bridged heterometallic {FeIIILnIII}2 molecular squares. Dalton Trans. 2019, 48, 7532–7536. [Google Scholar] [CrossRef] [PubMed]
- Perlepes, P.S.; Maniaki, D.; Pilichos, E.; Katsoulakou, E.; Perlepes, S.P. Smart Ligands for Efficient 3d-, 4d-, and 5d-Metal Single-Molecule Magnets and Single-Ion Magnets. Inorganics 2020, 8, 39. [Google Scholar] [CrossRef]
- Clérac, R.; Winpenny, R.E.P. Single-Molecule Magnets and Related Phenomena. Struct. Bond. 2016, 172, 35–48. [Google Scholar]
- Frost, J.M.; Harriman, K.L.M.; Murugesu, M. The rise of 3-d single-ion magnets in molecular magnetism: Towards materials from molecules? Chem. Sci. 2016, 7, 2470–2491. [Google Scholar] [CrossRef]
- Craig, G.A.; Murrie, M. 3d single-ion magnets. Chem. Soc. Rev. 2015, 44, 2135–2147. [Google Scholar] [CrossRef]
- Pedersen, K.S.; Bendix, J.; Clérac, R. Single-molecule magnet engineering building-block approaches. Chem. Commun. 2014, 50, 4396–4415. [Google Scholar] [CrossRef]
- Jia, J.-H.; Li, Q.-W.; Chen, Y.-C.; Liu, J.-L.; Tong, M.-L. Luminescent single-molecule magnets based on lanthanides: Design strategies, recent advances and magneto-luminescent studies. Coord. Chem. Rev. 2019, 378, 365–381. [Google Scholar] [CrossRef]
- Long, J.; Guari, Y.; Ferreira, R.A.S.; Carlos, L.D.; Larionova, J. Recent advances in luminescent lanthanide based Single-Molecule Magnets. Coord. Chem. Rev. 2018, 363, 57–70. [Google Scholar] [CrossRef]
- Pointillart, F.; Cador, O.; Le Guennic, B.; Ouahab, L. Uncommon lanthanide ions in purely 4f Single Molecule Magnets. Coord. Chem. Rev. 2017, 346, 150–175. [Google Scholar] [CrossRef]
- Liu, J.; Guo, M.; Tang, J. Recent Developments in Lanthanide Single-Molecule Magnets. Chem. Asian J. 2017, 12, 2772–2779. [Google Scholar] [CrossRef] [PubMed]
- Woodruff, D.N.; Winpenny, R.E.P.; Layfield, R.A. Lanthanide Single-Molecule Magnets. Chem. Rev. 2013, 113, 5110–5148. [Google Scholar] [CrossRef]
- Rinehart, J.D.; Long, J.R. Exploiting single-ion anisotropy in the design of f-element single molecule-magnets. Chem. Sci. 2011, 2, 2078–2085. [Google Scholar] [CrossRef]
- Sessoli, R.; Powell, A.K. Strategies towards single molecule magnets based on lanthanide ions. Coord. Chem. Rev. 2009, 253, 2328–2341. [Google Scholar] [CrossRef]
- Maciel, J.W.; Kalinke, L.H.G.; Valdo, A.K.; Martins, F.T.; Rabelo, R.; Moliner, N.; Cano, J.; Julve, M.; Lloret, F.; Cangussu, D. New Metal-Organic Systems with a Functionalized Oxamate-Type Ligand and MnII, FeII, CuII and ZnII. J. Braz. Chem. Soc. 2019, 30, 2413–2429. [Google Scholar]
- Maniaki, D.; Pilichos, E.; Perlepes, S.P. Coordination Clusters of 3d-Metals That Behave as Single-Molecule Magnets (SMMs): Synthetic Routes and Strategies. Front. Chem. 2018, 6, 461. [Google Scholar] [CrossRef]
- Vallejo, J.; Castro, I.; Ruiz-García, R.; Cano, J.; Julve, M.; Lloret, F.; De Munno, G.; Wernsdorfer, W.; Pardo, E. Field-Induced Slow Magnetic Relaxation in a Six-Coordinate Mononuclear Cobalt(II) Complex with a Positive Anisotropy. J. Am. Chem. Soc. 2012, 134, 15704–15707. [Google Scholar] [CrossRef]
- Pascual-Álvarez, A.; Vallejo, J.; Pardo, E.; Julve, M.; Lloret, F.; Krzystek, J.; Armentano, D.; Wernsdorfer, W.; Cano, J. Field-Induced Slow Magnetic Relaxation in a Mononuclear Manganese(III)-Porphyrin Complex. Chem. Eur. J. 2015, 21, 17299–17307. [Google Scholar] [CrossRef]
- Vallejo, J.; Pascual-Alvarez, A.; Cano, J.; Castro, I.; Julve, M.; Lloret, F.; Krzystek, J.; De Munno, G.; Armentano, D.; Wernsdorfer, W.; et al. Field-Induced Hysteresis and Quantum Tunneling of the Magnetization in a Mononuclear Manganese(III) Complex. Angew. Chem. Int. Ed. 2013, 52, 14325–14329. [Google Scholar] [CrossRef]
- Korchagin, D.V.; Palii, A.V.; Yureva, E.A.; Akimov, A.V.; Misochko, E.Y.; Shilov, G.V.; Talantsev, A.D.; Morgunov, R.B.; Shakin, A.A.; Aldoshin, S.M.; et al. Evidence of field-induced slow magnetic relaxation in cis-[Co(hfac)2(H2O)2] exhibiting tri-axial anisotropy with a negative axial component. Dalton Trans. 2017, 46, 7540–7548. [Google Scholar] [CrossRef] [PubMed]
- Nemec, I.; Herchel, R.; Svoboda, I.; Boča, R.; Trávníček, Z. Large and Negative magnetic anisotropy in pentacoordinate mononuclear Ni(II) Schiff base complexes. Dalton Trans. 2015, 44, 9551–9560. [Google Scholar] [CrossRef]
- Eichhöfer, A.; Lan, Y.; Mereacre, V.; Bodenstein, T.; Weigend, F. Slow Magnetic Relaxation in Trigonal-Planar Mononuclear Fe(II) and CoII) Bis(trimethylsilyl)amido Complexes—A Comparative Study. Inorg. Chem. 2014, 53, 1962–1974. [Google Scholar] [CrossRef] [PubMed]
- Bar, A.K.; Pichon, C.; Sutter, J.-P. Magnetic anisotropy in two- to eight-coordinated transition-metal complexes: Recent developments in molecular magnetism. Coord. Chem. Rev. 2016, 308, 346–380. [Google Scholar] [CrossRef]
- Meng, Y.-S.; Jiang, S.-D.; Wang, B.-W.; Gao, S. Understanding the Magnetic Anisotropy toward Single-Ion Magnets. Acc. Chem. Res. 2016, 49, 2381–2389. [Google Scholar] [CrossRef]
- Wu, Y.; Tian, D.; Ferrando-Soria, J.; Cano, J.; Yin, L.; Ouyang, Z.; Wang, Z.; Luo, S.; Liu, X.; Pardo, E. Modulation of the magnetic anisotropy of octahedral cobalt(II) single-ion magnets by fine-tuning the axial coordination microenvironmement. Inorg. Chem. Front. 2019, 6, 848–856. [Google Scholar] [CrossRef]
- Vallejo, J.; Pardo, E.; Viciano-Chumillas, M.; Castro, I.; Amorós, P.; Déniz, M.; Ruiz-Pérez, C.; Yuste-Vivas, C.; Krzystek, J.; Julve, M.; et al. Reversible solvatomagnetic switching in a single-ion magnet from an entatic state. Chem. Sci. 2017, 8, 3694–3702. [Google Scholar] [CrossRef]
- Świtlicka, A.; Machura, B.; Kruszynski, R.; Cano, J.; Toma, L.M.; Lloret, F.; Julve, M. Field-induced slow magnetic relaxation in pseudooctahedral cobalt(II) complexes with positive axial and large rhombic anisotropy. Dalton Trans. 2019, 48, 1404–1417. [Google Scholar] [CrossRef]
- Mondal, A.K.; Jover, J.; Ruiz, E.; Konar, S. Single-ion magnetic anisotropy in a vacant octahedral Co(II) complex. Dalton Trans. 2019, 48, 25–29. [Google Scholar] [CrossRef]
- Jeon, I.-R.; Clérac, R. Controlled association of single-molecule magnets (SMMs) into coordination networks: Towards a new generation of magnetic materials. Dalton Trans. 2012, 41, 9569–9586. [Google Scholar] [CrossRef]
- Lecren, L.; Wernsdorfer, W.; Li, Y.-G.; Vindigni, A.; Miyasaka, H.; Clérac, R. One-Dimensional Supramolecular Organization of Single-Molecule Magnets. J. Am. Chem. Soc. 2007, 129, 5045–5051. [Google Scholar] [CrossRef] [PubMed]
- Baldoví, J.; Coronado, E.; Gaita-Ariño, A.; Gamer, C.; Giménez-Marqués, M.; Mínguez-Espallargas, G. A SIM-MOF: Three-Dimensional Organization of Single-Ion Magnets with Anion-Exchange Capabilities. Chem. Eur. J. 2014, 20, 10695–10702. [Google Scholar] [CrossRef] [PubMed]
- Palion-Gazda, J.; Klemens, T.; Machura, B.; Vallejo, J.; Lloret, F.; Julve, M. Single ion magnet behaviour in a two-dimensional network of dicyanamide-bridged cobalt(II) ions. Dalton Trans. 2015, 44, 2989–2992. [Google Scholar] [CrossRef] [PubMed]
- Ion, A.E.; Nica, S.; Madalan, A.M.; Shova, S.; Vallejo, J.; Julve, M.; Lloret, F.; Andruh, M. Two-Dimensional Coordination Polymers Using, Simultaneously, Linear and Angular Spacers and Cobalt(II) Nodes. New Examples of Networks of Single-Ion Magnets. Inorg. Chem. 2015, 54, 16–18. [Google Scholar] [CrossRef]
- Liu, X.-Y.; Sun, L.; Zhou, H.-L.; Cen, P.-P.; Jin, X.-Y.; Xie, G.; Chen, S.-P.; Hu, Q.-L. Single-Ion-Magnet Behavior in a Two-Dimensional Coordination Polymer Constructed from CoII Nodes and a Pyridylhydrazone Derivative. Inorg. Chem. 2015, 54, 8884–8886. [Google Scholar] [CrossRef]
- Świtlicka-Olszewska, A.; Palion-Gazda, J.; Klemens, T.; Machura, B.; Vallejo, J.; Cano, J.; Lloret, F.; Julve, M. Single-ion magnet behavior in mononuclear and two-dimensional dicyanamide-containing cobalt(II) complexes. Dalton Trans. 2016, 45, 10181–10193. [Google Scholar] [CrossRef]
- Shao, D.; Shi, L.; Zhang, S.-L.; Zhao, X.-H.; Wu, D.-Q.; Wei, X.-Q.; Wang, X.-Y. Syntheses, structures and magnetic properties of three new chain compounds based on a pentagonal bipyramidal Co(II) building blocks. CrystEngComm 2016, 18, 4150–4157. [Google Scholar] [CrossRef]
- Brunet, G.; Safin, D.A.; Jover, J.; Ruiz, R.; Murugesu, M. A new synthesis strategy towards enhancing the structure and cycle stabilities of the LiNi0.80Co0.15Al0.05O2 cathode material. J. Mater. Chem. C 2017, 5, 835–841. [Google Scholar] [CrossRef]
- Ma, R.; Chen, Z.; Cao, F.; Wang, S.; Huang, X.; Li, Y.; Lu, J.; Li, D.; Dou, J. Two 2-D multifunctional cobalt(II) compounds: Field-induced single-ion magnetism and catalytic oxidation of benzylic C-H bonds. Dalton Trans. 2017, 46, 2137–2145. [Google Scholar] [CrossRef]
- Liu, X.; Ma, X.; Cen, P.; An, F.; Wang, Z.; Song, W.; Zhang, Y.-Q. One-dimensional cobalt(II) coordination polymer featuring single-ion-magnet-type field-induced slow magnetic relaxation. New J. Chem. 2018, 42, 9612–9619. [Google Scholar] [CrossRef]
- Chen, Z.; Yin, L.; Mi, X.; Wang, S.; Cao, F.; Wang, Z.; Li, Y.; Lu, J.; Dou, J. Field-induced slow magnetic relaxation of two 1-D compounds containing six-coordinated cobalt(II) ions: Influence of the coordination geometry. Inorg. Chem. Front. 2018, 5, 2314–2320. [Google Scholar] [CrossRef]
- Roy, M.; Adhikary, A.; Mondal, A.K.; Mondal, R. Multifunctinonal Properties of a 1D Helical Co(II) Coordination Polymer: Toward Single-Ion Magnetic Behavior and Efficient Dye Degradation. ACS Omega 2018, 3, 15315–15324. [Google Scholar] [CrossRef] [PubMed]
- Mondal, P.; Dey, B.; Roy, S.; Bera, S.P.; Nasani, R.; Santra, A.; Konar, S. Field-Induced Slow Magnetic Relaxation and Anion/Solvent Dependent Proton Conduction in Cobalt(II) Coordination Polymers. Cryst. Growth Des. 2018, 18, 6211–6220. [Google Scholar] [CrossRef]
- Kong, J.-J.; Shao, D.; Zhang, J.-C.; Jiang, Y.-X.; Ji, C.-L.; Huang, X.-C. From mononuclear two-dimensional cobalt(II) complexes based on a mixed benzimidazole-dicarboxylate strategy: Synthesis, structures, and magnetic properties. CrystEngComm 2019, 21, 749–757. [Google Scholar] [CrossRef]
- Shi, L.; Shen, F.-X.; Shao, D.; Zhang, Y.-Q.; Wang, X.-Y. Syntheses, structures and magnetic properties of three two-dimensional cobalt(II) single-ion magnets with a CoIIN4X2 octahedral geometry. CrystEngComm 2019, 21, 3176–3185. [Google Scholar] [CrossRef]
- Shao, D.; Shi, L.; Wei, H.-Y.; Wang, X.-Y. Field-Induced Single-Ion Magnet Behaviour in Two New Cobalt(II) Coordination Polymers with 2,4,6-Tris(4pyridyl)-1,3,5-triazine. Inorganics 2017, 5, 90. [Google Scholar] [CrossRef]
- Zhu, Y.-Y.; Zhu, M.-S.; Yin, T.-T.; Meng, Y.-S.; Wu, Z.-Q.; Zhang, Y.-Q.; Gao, S. Cobalt(II) Coordination Polymer Exhibiting Single-Ion-Magnet-Type Field-Induced Slow Relaxation Behavior. Inorg. Chem. 2015, 54, 3716–3718. [Google Scholar] [CrossRef]
- Sun, L.; Zhang, S.; Chen, S.; Yin, B.; Sun, Y.; Wang, Z.; Ouyang, Z.; Ren, J.; Wang, W.; Wei, Q.; et al. A two-dimensional(II) network with a remarkable positive axial anisotropy parameter exhibiting field-induced single-ion magnet behavior. J. Mater. Chem. C 2016, 4, 7798–7808. [Google Scholar] [CrossRef]
- Vallejo, J.; Fortea-Pérez, F.-R.; Pardo, E.; Benmansour, S.; Castro, I.; Krzystek, J.; Armentano, D.; Cano, J. Guest-dependent single-ion magnet behaviour in a cobalt(II) metal-organic framework. Chem. Sci. 2016, 7, 2286–2293. [Google Scholar] [CrossRef]
- Alexandru, M.-G.; Visinescu, D.; Shova, S.; Lloret, F.; Julve, M.; Andruh, M. Two-Dimensional Coordination Polymers Constructed by [NiIILnIII] Nodes and [WIV(bpy)(CN)6]2- Spacers: A Network of [NiIIDyIII] Single Molecule Magnets. Inorg. Chem. 2013, 52, 11627–11637. [Google Scholar] [CrossRef] [PubMed]
- Alexandru, M.-G.; Visinescu, D.; Marino, N.; De Munno, G.; Lloret, F.; Julve, M. {CoIIIMnIII}n corrugated chains based on heteroleptic cyanide metalloligands. RSC Adv. 2015, 5, 95410–95420. [Google Scholar] [CrossRef]
- Mondal, A.K.; Khatua, S.; Tomar, K.; Konar, S. Field-Induced Single-Ion-Magnetic Behavior of Octahedral CoII in a Two-Dimensional Coordination Polymer. Eur. J. Inorg. Chem. 2016, 2016, 3545–3552. [Google Scholar] [CrossRef]
- Shao, D.; Shi, L.; Shen, F.-X.; Wang, X.-Y. A cyano-bridged coordination nanotube showing field-induced slow magnetic relaxation. CrystEngComm 2017, 19, 5707–5711. [Google Scholar] [CrossRef]
- Shao, D.; Zhou, Y.; Pi, Q.; Shen, F.-X.; Yang, S.-R.; Zhang, S.-L.; Wang, X.-Y. Two-dimensional frameworks formed by pentagonal bipyramidal cobalt(II) ions and hexacyanometallates: Antiferromagnetic ordering, metamagnetism and slow magnetic relaxation. Dalton Trans. 2017, 46, 9088–9096. [Google Scholar] [CrossRef]
- Alexandru, M.-G.; Marino, N.; Visinescu, D.; De Munno, G.; Andruh, M.; Bentama, A.; Lloret, F.; Julve, M. A novel octacyanido dicobalt(II) building block for the construction of heterometallic compounds. New J. Chem. 2019, 43, 6675–6682. [Google Scholar] [CrossRef]
- Alexandru, M.-G.; Visinescu, D.; Marino, N.; De Munno, G.; Vallejo, J.; Lloret, F.; Julve, M. Cyanido-Bearing Cobalt(II/III) Metalloligands-Synthesis, Crystal Structures and Magnetic Properties. Eur. J. Inorg. Chem. 2014, 4564–4572. [Google Scholar] [CrossRef]
- Llunell, M.; Casanova, D.; Cirera, J.; Bofill, J.M.; Alemany, P.; Alvarez, S.; Pinsky, M.; Avnir, D. SHAPE: Continuous Shape Measures of Polygonal and Polyhedral Molecular Fragments; Version 1.1b; University of Barcelona: Barcelona, Spain, 2005. [Google Scholar]
- Casanova, D.; Llunell, M.; Alemany, P.; Alvarez, S. The Rich Stereochemistry of Eight-Vertex Polyhedra: A Continuous Shape Measures Study. Chem. Eur. J. 2005, 11, 1479–1494. [Google Scholar] [CrossRef] [PubMed]
- Carlin, R.L. Magnetochemistry; Springer: Berlin/Heidelberg, Germany, 1986. [Google Scholar]
- Lloret, F.; Julve, M.; Cano, J.; Ruiz-García, R.; Pardo, E. Magnetic properties of six-coordinated high-spin cobalt(II) complexes: Theoretical background and its application. Inorg. Chim. Acta 2008, 361, 3432–3445. [Google Scholar] [CrossRef]
- Herrera, J.M.; Bleuzen, A.; Dromzée, Y.; Julve, M.; Lloret, F.; Verdaguer, M. Crystal Structures and Magnetic Properties of Two Octacyanotungstate(IV) and (V)-Cobalt(II) Three-Dimensional Bimetallic Frameworks. Inorg. Chem. 2003, 42, 7052–7059. [Google Scholar] [CrossRef] [PubMed]
- Cano, J. VPMAG; University of Valencia: Valencia, Spain, 2003. [Google Scholar]
- Fabelo, O.; Pasán, J.; Lloret, F.; Julve, M.; Ruiz-Pérez, C. 1,2,4,5-Benzenetetracarboxylate- and 2,2′-Bipyrimidine-Containing Cobalt(II) Coordination Polymers: Preparation, Crystal Structure, and Magnetic Properties. Inorg. Chem. 2008, 47, 3568–3576. [Google Scholar] [CrossRef] [PubMed]
- Fabelo, O.; Pasán, J.; Cañadillas-Delgado, L.; Delgado, F.S.; Lloret, F.; Julve, M.; Ruiz-Pérez, C. Cobalt(II) Sheet-Like Systems Based on Diacetic Ligands: From Subtle Structural Variances to Different Magnetic Behaviors. Inorg. Chem. 2009, 48, 6086–6095. [Google Scholar] [CrossRef] [PubMed]
- Sakiyama, H.; Ito, R.; Kumagai, H.; Inoue, K.; Sakamoto, M.; Nishida, Y.; Yamasaki, M. Dinuclear Cobalt(II) Complexes of an Acyclic Phenol-Based Dinucleating Ligand with Four Methoxyethyl Chelating Arms-First Magnetic Analyses in an Axially Distorted Octahedral Field. Eur. J. Inorg. Chem. 2001, 2001, 2027–2032. [Google Scholar] [CrossRef]
- Mabbs, F.E.; Machin, D.J. Magnetism and Transition Metal: Complexes; Chapman and Hall: London, UK, 1973; p. 160. [Google Scholar]
- Kahn, O. Molecular Magnetism; VCH Wiley: New York, NY, USA, 1993. [Google Scholar]
- Weismann, D.; Sun, Y.; Lan, Y.; Wolmershäuser, G.; Powell, A.K.; Sitzmann, H. High-Spin Cyclopentadienyl Complexes: A Single-Molecule Magnet Based on the Aryl-Iron(II) Cyclopentadienyl Type. Chem. Eur. J. 2011, 17, 4700–4704. [Google Scholar] [CrossRef] [PubMed]
- Feng, X.; Mathonière, C.; Jeon, I.-R.; Rouzières, M.; Ozarowski, A.; Aubrey, M.L.; González, M.I.; Clérac, R.; Long, J.R. Tristability in a Light-Actuated Single-Molecule Magnet. J. Am. Chem. Soc. 2013, 135, 15880–15884. [Google Scholar] [CrossRef]
- Banci, L.; Bencini, A.; Benelli, C.; Gatteschi, D.; Zanchini, C. Spectral-structural correlations in high-spin cobalt(II) complexes. Struct. Bond. 1982, 52, 37–86. [Google Scholar]
- Yuste, C.; Bentama, A.; Stiriba, S.-E.; Armentano, D.; De Munno, G.; Lloret, F.; Julve, M. Ligand effects on the structures and magnetic properties of tricyanomethanide-containing copper(II) complexes. Dalton Trans. 2007, 5190–5200. [Google Scholar] [CrossRef]
- Stoll, S.; Schweiger, A. Easy Spin, a comprehensive software package for spectral simulation and analysis in EPR. J. Magn. Res. 2006, 178, 42–45. [Google Scholar] [CrossRef]
- Neese, F. The ORCA program system. Wiley Intediscip. Rev. Comput. Mol. Sci. 2012, 2, 73–78. [Google Scholar] [CrossRef]
- Schafer, A.; Horn, H.; Ahlrichs, R. Fully optimized contracted Gaussian basis set for atoms Li to Kr. J. Chem. Phys. 1992, 97, 2571–2577. [Google Scholar] [CrossRef]
- Schafer, A.; Huber, C.; Ahlrichs, R. Fully optimized contracted Gaussian basis set of triple zeta valence quality for atoms Li to Kr. J. Chem. Phys. 1994, 100, 5829–5835. [Google Scholar] [CrossRef]
- Eichkorn, K.; Treutler, O.; Ohm, H.; Haser, M.; Ahlrichs, R. Auxiliary basis sets to approximate Coulomb potentials. Chem. Phys. Lett. 1995, 240, 283–290. [Google Scholar] [CrossRef]
- Eichkorn, K.; Treutler, O.; Ohm, H.; Haser, M.; Ahlrichs, R. Auxiliary basis sets to approximate Coulomb potentials. Chem. Phys. Lett. 1995, 242, 652–660. [Google Scholar] [CrossRef]
- Eichkorn, K.; Weigend, F.; Treutler, O.; Ohm, H.; Ahlrichs, R. Auxiliary basis sets for main row atoms and transition metals and their use to approximate Coulomb potentials. Theor. Chem. Acc. 1997, 97, 119–124. [Google Scholar] [CrossRef]
- Vancoillie, S.; Chalupský, J.; Ryde, U.; Solomon, E.I.; Pierloot, K.; Neese, F.; Rulišek, A. Multireference Ab Initio Calculations of g Tensors for Trinuclear Copper Clusters in Multicopper Oxidases. J. Phys. Chem. B 2010, 114, 7692–7702. [Google Scholar] [CrossRef] [PubMed]
- Kossmann, S.; Neese, F. Efficient Structure Optimization with Secon-Order Many-Body Perturbation Theory: The RIJCOSX-MP2 Method. J. Chem. Theory Comput. 2010, 6, 2325–2338. [Google Scholar] [CrossRef]
- Kossmann, S.; Neese, F. Comparison of two Efficient Approximate Hartree-Fock Approaches. Chem. Phys. Lett. 2009, 481, 240–243. [Google Scholar] [CrossRef]
- CrysAlisPro Software System v40; Rigaku Corporation: Oxford, UK, 2015.
- Dolomanov, O.V.; Bourhis, L.J.; Gildea, R.J.; Howard, J.A.K.; Puschmann, H.J. OLEX2: A complete structure solution, refinement and analysis program. Appl. Crystallogr. 2009, 42, 339–341. [Google Scholar] [CrossRef]
- Sheldrick, G.M. Crystal structure refinement with SHELXL. Acta Crystallogr. Sect. C Struct. Chem. 2015, 71, 3–8. [Google Scholar] [CrossRef]
- Brandenburg, K.; Putz, H. Diamond—Crystal and Molecular Structure Visualization; Crystal Impact: Bonn, Germany.








| 1 | 2 | 1 | 2 | ||
|---|---|---|---|---|---|
| Co1-N1 | 1.969(5) | 1.965(4) | N2-Co1-C9 | 176.2(3) | 176.1(2) |
| Co1-N2 | 1.986(6) | 1.961(4) | N2-Co1-C10 | 95.3(3) | 95.7(2) |
| Co1-C8 | 1.928(7) | 1.916(6) | N2-Co1-C11 | 91.3(3) | 90.9(2) |
| Co1-C9 | 1.880(8) | 1.877(5) | C8-Co1-C9 | 90.1(3) | 90.2(2) |
| Co1-C10 | 1.873(7) | 1.871(6) | C8-Co1-C10 | 88.2(3) | 88.3(2) |
| Co1-C11 | 1.906(7) | 1.918(6) | C8-Co1-C11 | 176.8(3) | 177.7(2) |
| Co2/Fe1-N6 | 2.104(7) | 2.154(5) | C9-Co1-C10 | 88.5(3) | 88.2(2) |
| Co2/Fe1-N6a * | 2.104(7) | 2.155(5) | C9-Co1-C11 | 88.5(3) | 89.2(2) |
| Co2/Fe1-O1 | 2.081(6) | 2.083(4) | N1-Co1-C11 | 90.3(2) | 90.22(19) |
| Co2/Fe1-O2 | 2.096(5) | 2.134(4) | N2-Co1-C8 | 90.4(3) | 89.83(19) |
| C10-Co1-C11 | 88.9(3) | 89.4(2) | |||
| N1-Co1-N2 | 82.5(2) | 82.05(17) | Co2/Fe1-N6-C11 | 173.6(6) | 169.3(4) |
| Co1-C8-N3 | 179.1(6) | 178.2(5) | O1-Co2/Fe1-O2 | 91.9(2) | 92.31(18) |
| Co1-C9-N4 | 178.5(7) | 178.6(5) | O1-Co2/Fe1-O2a * | 88.1(2) | 92.30(18) |
| Co1-C10-N5 | 177.3(7) | 178.0(5) | O1-Co2/Fe1-N6 | 93.7(2) | 91.62(17) |
| Co1-C11-N6 | 177.0(6) | 176.8(5) | O1a-Co2/Fe1-N6 * | 86.3(2) | 88.38(17) |
| N1-Co1-C8 | 92.6(2) | 92.07(19) | O2-Co2/Fe1-N6 | 88.9(2) | 90.93(17) |
| N1-Co1-C9 | 93.6(3) | 94.0(2) | O2a-Co2/Fe1-N6 * | 91.1(2) | 89.07(17) |
| N1-Co1-C10 | 177.7(3) | 177.73(19) | N6-Co2/Fe1-N6a * | 180.0 | 180.0 |
| D-H⋯A | D-H (Å) | H⋯A (Å) | D⋯A (Å) | D-H⋯A (deg) |
|---|---|---|---|---|
| O2-H2⋯O3 | 0.85/0.855(9) | 1.76/1.765(13) | 2.603(10)/2.614(7) | 167.3/172(4) |
| O3-H3A⋯O4 | 0.86/0.82 | 1.94/1.91 | 2.800(19)/2.715(9) | 173.9/166.0 |
| O4-H4A⋯N3 | 0.86/0.85 | 1.96/2.00 | 2.802(15)/2.836(8) | 166.2/169.0 |
| 1 | 2 | |
|---|---|---|
| Formula | C32H46Co3N12O8S2 | C32H46Co2FeN12O8S2 |
| Fw | 967.72 | 964.64 |
| Crystal system | Triclinic | Triclinic |
| Space group | P–1 | P–1 |
| a/Å | 8.1229(5) | 8.0375(5) |
| b/Å | 11.7399(15) | 11.7698(10) |
| c/Å | 13.3534(16) | 13.5147(12) |
| α/° | 112.879(12) | 113.669(9) |
| β/° | 104.710(8) | 103.380(7) |
| γ/° | 91.336(8) | 91.737(6) |
| V/Å3 | 1124.1(2) | 1128.21(18) |
| Z | 1 | 1 |
| Dc/g cm−3 | 1.430 | 1.420 |
| T/K | 180.1(2) | 180.00(10) |
| μ/mm−1 | 1.244 | 1.194 |
| F(000) | 499 | 498 |
| Refl. Collected | 8027 | 3978 |
| Refl. indep. [R(int)] | 3957 [0.0614] | 3067 [0.0515] |
| Data/restraints/param. | 3957/3/272 | 3978/10/266 |
| Goodness-of-fit on F2 (S) c | 1.112 | 1.096 |
| Final R indices a,b [I > 2σ(I)] | R1 = 0.0868, wR2 = 0.1852 | R1 = 0.0686, wR2 = 0.1423 wR2 = 0.1653 |
| R indices (all data) | R1 = 0.1196, wR2 = 0.2024 | R1 = 0.0953, wR2 = 0.1549 wR2 = 0.1751 |
| Δρmax,min/e Å−3 | 0.129/−0.745 | 0.106/−0.640 |
Publisher’s Note: MDPI stays neutral with regard to jurisdictional claims in published maps and institutional affiliations. |
© 2020 by the authors. Licensee MDPI, Basel, Switzerland. This article is an open access article distributed under the terms and conditions of the Creative Commons Attribution (CC BY) license (http://creativecommons.org/licenses/by/4.0/).
Share and Cite
Alexandru, M.-G.; Visinescu, D.; Shova, S.; Bentama, A.; Lloret, F.; Cano, J.; Julve, M. X-ray Structure and Magnetic Properties of Heterobimetallic Chains Based on the Use of an Octacyanidodicobalt(III) Complex as Metalloligand. Magnetochemistry 2020, 6, 66. https://doi.org/10.3390/magnetochemistry6040066
Alexandru M-G, Visinescu D, Shova S, Bentama A, Lloret F, Cano J, Julve M. X-ray Structure and Magnetic Properties of Heterobimetallic Chains Based on the Use of an Octacyanidodicobalt(III) Complex as Metalloligand. Magnetochemistry. 2020; 6(4):66. https://doi.org/10.3390/magnetochemistry6040066
Chicago/Turabian StyleAlexandru, Maria-Gabriela, Diana Visinescu, Sergiu Shova, Abdeslem Bentama, Francesc Lloret, Joan Cano, and Miguel Julve. 2020. "X-ray Structure and Magnetic Properties of Heterobimetallic Chains Based on the Use of an Octacyanidodicobalt(III) Complex as Metalloligand" Magnetochemistry 6, no. 4: 66. https://doi.org/10.3390/magnetochemistry6040066
APA StyleAlexandru, M.-G., Visinescu, D., Shova, S., Bentama, A., Lloret, F., Cano, J., & Julve, M. (2020). X-ray Structure and Magnetic Properties of Heterobimetallic Chains Based on the Use of an Octacyanidodicobalt(III) Complex as Metalloligand. Magnetochemistry, 6(4), 66. https://doi.org/10.3390/magnetochemistry6040066

