Abstract
An octahedral Co(II) complex with N′-(2-hydroxybenzylidene)acetohydrazide Schiff base ligand [HL] forms a 3D supramolecular assembly supported by non-coordinating ClO4− ions and H2O molecules. Individual spin centres are non-interacting and give rise to significant spin-orbit coupling, resulting in field induced slow magnetisation relaxation; which is characteristic of Single Ion Magnet (SIM) behaviour.
1. Introduction
In the last two decades Single Molecule Magnets (SMM) have received considerable research interest for their potential applications in high density information storage, quantum computing and spintronics [1,2,3,4]. The characteristic slow magnetic relaxation at low temperature is associated with a large energy barrier originating from the effect of molecular anisotropy (D) on a high spin ground state (S) and is expressed by U = S2|D| for integer and U = (S2 − ¼)|D| for half integer spins. Although most SMM are polynuclear metal complexes, they can also contain a single anisotropic paramagnetic centre. These compounds are known as Single Ion Magnets (SIMs) or mononuclear SMMs. Since the discovery by Ishikawa et al. in 2003 [4] many of these SIMs have been prepared and studied in the past decade. Most of them are based on lanthanide [5,6,7,8] and actinide [9,10,11,12] paramagnetic centres and some of the recent developments on Dy SIMs have led to very high blocking temperatures of ca. 60–80 K [13,14,15]. The SIM behaviour has also been observed in 3d transition metal complexes which mainly include three to five coordinate species: trigonal planar and trigonal pyramidal Fe(II) [16,17,18] and tetrahedral and square pyramidal Co(II) [19,20] complexes. A rarer example is a two coordinated linear NiI complex [21]. The low coordination number is necessary to minimize the effect of ligand field thus reducing the 3d orbital splitting energy, thereby enhancing the magnetic anisotropy. Mononuclear Co(II) complexes remain as interesting candidates for SIM, thanks to the first order spin-orbit coupling in the ground state of Co(II) coupled with ligand field effects leading to high magnetic anisotropy. The first reported Co(II) SIM was a distorted square pyramidal complex [22] where the anisotropy is related to the significant distortion of the Co(II) ion from the basal plane. Afterwards a number of tetrahedral Co(II) SIMs have been explored with varying relaxation barriers (14–230 cm−1) and axial ZFS parameter D (−5 to −160 cm−1) [23,24,25,26,27,28] where heavier donor atoms such as S, Se, P or I and the tight bite angles of the ligands enhance the magnetic anisotropy. In contrast to tetrahedral Co(II) SIMs, octahedral systems are rarely reported [29,30,31,32,33,34,35,36]. For distorted octahedral Co(II) ions the axial ZFS parameter D is expected to be positive owing to the easy plane (xy) of anisotropy [37] but in few cases it has been found to be negative [38], especially in mer-directing ligands where the octahedral geometry is distorted towards trigonal prismatic geometry [39].
Herein we report the synthesis, crystal structure and the static and dynamic magnetic behaviour of a new SIM based on octahedral Co(II) ion coordinated by a mer-directing ONO donor hydrazone Schiff base ligand and having a negative easy axis of anisotropy. Moreover, this is the first example of a ligand, solvent and anion assisted 3D supramolecular assembly where the magnetic coupling between two spin centres is negligibly small due to large Co···Co separation (~6.28 Å) and absence of π∙∙∙π stacking interaction between the ligand aromatic rings. Hence the intrinsic SIM behaviour is preserved.
2. Results and Discussion
2.1. X-ray Crystal Structure of [Co(HL)2](ClO4)2·2H2O (1)
A perspective view of 1 is shown in Figure 1 and the bonding parameters are listed in Table 1. In 1 the CoII ion forms a bis-chelate complex with two tridentate ONO donor hydrazone ligands oriented in a mer-configuration around the metal centre. The ligands coordinate to the Co(II) ion via the ketonic oxygens (O1, O2), the azomethine nitrogens (N3, N4) and the phenolic oxygens (O3, O4). The two disordered perchlorates centred on Cl2 and Cl3 appear with an occupancy factor of ½ whereas the perchlorate anion centred on Cl1 appears with an occupancy factor of one, giving a total of two perchlorate anions to balance the Co(II) charge. This stoichiometry indicates that the ligand is coordinated to the metal centre in its neutral form (as HL). The Co(II) ion adopts a distorted octahedral coordination geometry. The twelve cis angles subtended at the metal centre by adjacent donor atoms range from 77.90(7) to 107.42(7)° and the three trans angles are O4-Co1-O2 = 158.26(7)°, N4-Co1-N3 = 173.64(7)° and O1-Co1-O3 = 161.26(7)° confirm the distortion from the ideal octahedral geometry. The distortion from the idealized geometry may be attributed to the restricted bite angles imposed by the planar tridentate Schiff bases. The mean equatorial plane is formed by the phenolic oxygens (O3 and O4) and the ketonic oxygens (O1 and O2) while two axial sites are occupied by the two azomethine nitrogen atoms (N3 and N4). The mean planes defined by the donor atoms of the two ligands are almost orthogonal to each-other with a dihedral angle of 89.49° as expected for a mer-geometry.
Figure 1.
The asymmetric unit of complex 1.
Table 1.
Selected bond distances (Å) and angles (°) of 1.
There are several intermolecular hydrogen bonds as can be seen in Figure 2 and Table 2. A three-dimensional supramolecular network is formed by centrosymmetric intermolecular hydrogen bonding mediated by the water molecules and the perchlorate anions as can be viewed along different planes. The perchlorate centred at Cl1 is connected to the imine nitrogen (N2) of a complex unit through a N2-H21···O7 H-bond. The perchlorates centred at Cl2 and Cl3 are situated on an inversion centre and are symmetrically connected to the imine nitrogen (N1) of two complex units via. N1-H11···O11 and N1-H11···O14 interactions. The O-H groups from a complex unit are linked to the solvent H2O molecules via O3-H31···O5 and O4-H41···O6 H-bonds. The H2O molecules are further linked to the ClO4 molecules to extend the supramolecular network in different directions. The shortest distance between the adjacent Co1 centres is 6.28 Å.
Figure 2.
The 3D hydrogen bonded network in 1 mediated by H2O and ClO4− viewed along the bc (left) and ab (right) planes.
Table 2.
Hydrogen-bond parameters of 1.
2.2. Magnetic Studies
The thermal variation of the molar magnetic susceptibility per Co(II) ion times the temperature (χmT vs. T) for complex 1 (Figure 3) shows a χmT value of 2.30 cm3 K mol−1 at 300 K, which is significantly higher than the expected value for one isolated Co(II) ion (S = 3/2) with g = 2 (1.875 cm3 K mol−1) but within the range 2.1–3.4 cm3 K mol−1 observed for Co(II) ions with a considerable orbital contribution [22,39,40]. On decreasing the temperature, χmT remains almost constant down to 60 K, corresponding to the Curie-type behaviour of a non-interacting Co(II) centre. The decrease observed below 60 K to reach a value of 1.6 cm3 K mol−1 at 1.8 K (with 0.1 T field) is very similar to the one observed in other mononuclear Co(II) complexes with similar tridentate meridional ligands [37]. Accordingly, we have simultaneously fit the thermal variation of χmT and the isothermal magnetizations at 1.9, 3, 5 and 8 K (Figure 3 and Figure 4) using the following Hamiltonian with S = 3/2 with the program PHI [41]:
where D and E are, respectively, the axial and rhombic zero field splitting parameters, μB is the Bohr magneton and H is the applied dc field. To avoid over-parametrization, we have fixed gx = gy ≠ gz and we have varied gx, gy and gz from 1.8 to 3.2 and the diagonal components of D from 100 to −100 cm−1. A very good fit for χmT vs. T and M vs. H, simultaneously, in the whole temperature range was obtained for D = −23.8 cm−1, E = 7.0 cm−1, gz = 2.48 and gx = gy = 2.16 (Figure 3 and Figure 4). The Co(II) ion has an easy axis anisotropy with a relevant rhombic distortion given by |E/D| = 0.294 in good agreement with previous reports [37].
Figure 3.
Thermal variation of χmT for 1 between 300 and 2 K with 1000 Oe (0.1 T). Solid line shows the best fit to the model (see text).
Figure 4.
Isothermal reduced magnetization of compound 1 at 1.9 K (green), 3.0 K (dark blue), 5.0 K (red), and 8.0 K (cyan). Solid lines are the best-fit parameters to the model (see text).
The isothermal magnetization measurements up to 9 T performed in the temperature range 1.9–8 K (Figure 4) show that even with applied fields of 9 T at 1.9 K, the magnetization does not reach saturation and the reduced magnetization at different temperatures are not superimposable, confirming the intrinsic anisotropy of the Co(II) ion in compound 1.
AC susceptibility measurements have been performed in order to check the possible presence of a SMM behaviour. No AC signal was observed with a zero applied DC field, but a frequency dependent signal is observed when a DC field is applied at 2 K (Figure 5), suggesting the presence of quantum tunnelling magnetization (QTM) mechanism operating at low temperatures to account for the fast relaxation of the magnetization at zero applied field. Application of a DC magnetic field splits the energy of the ± MS Kramers doublets, reducing or cancelling the quantum tunnelling mechanism of the relaxation. Accordingly, the relaxation process becomes slower, resulting in the appearance of a frequency dependent AC signal (Figure 6 and Figure 7).
Figure 5.
Frequency dependence of the χm″ signal for compound 1 at 2 K with different applied DC fields.
Figure 6.
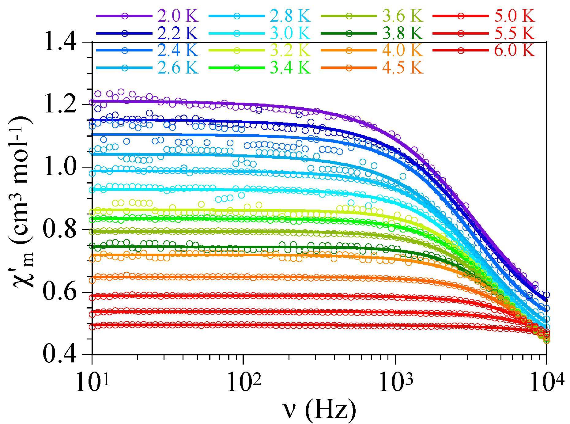
Frequency dependence of the in-phase AC susceptibility for 1 with an applied DC field of 800 Oe at different temperatures. Solid line is the best fit to the Debye model (Equation (2)).
Figure 7.
Frequency dependence of the out-of-phase AC susceptibility for 1 with an applied DC field of 800 Oe at different temperatures. Solid line is the best fit to the Debye model (Equation (3)).
The intensity of the AC signal increases and shows a maximum that shifts to lower frequencies as the field increases to reach a minimum frequency for DC applied fields of ca. 800 G (Figure 5). Accordingly, we have performed a detailed study of the temperature and frequency dependence of the AC signal for 1 with an applied DC field of 800 G (Figure 6 and Figure 7).
The frequency-dependence of the in-phase (χm′) and out of phase (χm″) signals for a DC field of 800 G has been fit with the Debye model using the following equations [42]:
where α corresponds to the distribution of relaxation times, χS and χT are the adiabatic and isothermal susceptibilities, respectively, = 2πγ, corresponds to the angular frequency and is the relaxation time. These equations give very good fits in the temperature range 2–6 K (solid lines in Figure 6 and Figure 7) with the parameters shown in Table 3.
Table 3.
Parameters obtained from the fit of the out-of-phase AC signal (χm″) of compound 1 to the Debye model (Equations (2) and (3)).
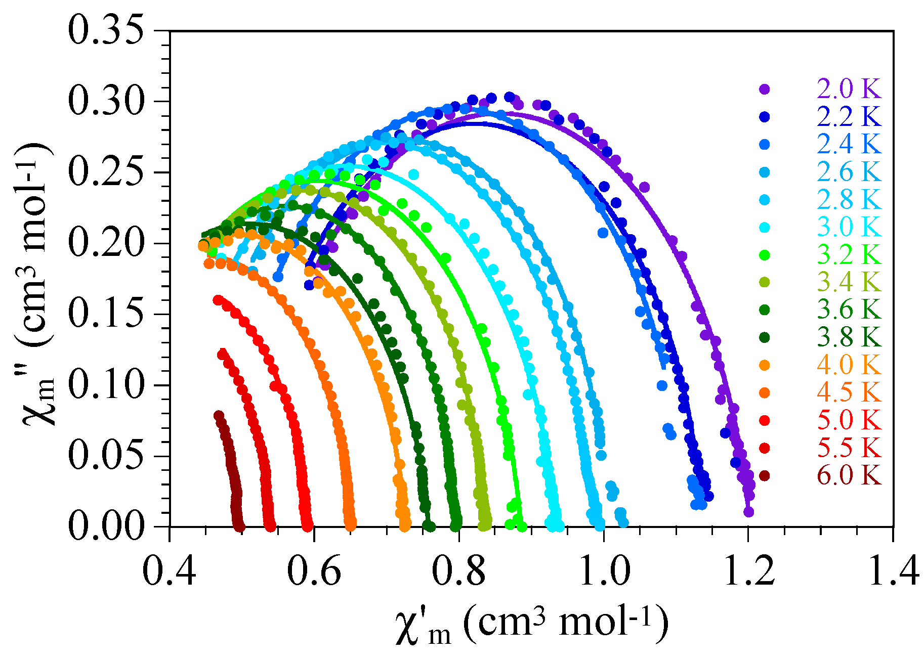
As can be seen, the α parameter is close to zero (α < 0.1, Table 3) in the studied temperature range, indicating a narrow distribution of the relaxation times. This result is further confirmed with the fit of the Cole-Cole or Argand plot (χm″ vs. χm′, Figure 8) that shows symmetrical semi-circular plots (indicative of a single relaxation process) that can be fit with very low α values in all cases (α < 0.1) using the generalized Debye model [43]:
Figure 8.
χm′ vs. χm″ plot for compound 1 at different temperatures. Solid lines are the fit to the generalized Debye model (Equation (4)).
The plot of 1/ as a function of the temperature (Figure 9) shows a linear regime at low temperatures (T ≤ 3 K) with a curvature at higher temperatures, indicative of the coexistence of Orbach, Raman and direct relaxation processes. Accordingly, we have fit the spin relaxation time with the following equation [44]:
where the first term corresponds to the Orbach process, the second term is the Raman process (with n = 9 for Kramer ions) and the third term is the single phonon direct process. In order to reduce the number of adjustable parameters, we have fixed n = 9 (the value obtained when it is allowed to vary freely was 9.18). Equation (5) reproduces very well the thermal dependence of the relaxation time of compound 1 with τ0−1 = 7.4 × 107 s−1, Ueff = 19.7 K = 13.7 cm−1, C = 0.48 s−1 K−9 and A = 4.8 × 105 s−1 K (solid line in Figure 9). The Ueff value is very similar to those found in other monomeric Co(II) SMM [44]. This Ueff value is lower than the predicted value from the D value obtained in the fit of the DC magnetic properties and suggests that the quantum pathway operating at very low temperatures is not fully suppressed by the applied DC magnetic field of 800 G.
Figure 9.
Inverse relaxation time (1/τ) of compound 1 in the temperature range 2–6 K. Solid line is the fit to Equation (5).
3. Materials and Methods
3.1. Syntheses
All solvents were of reagent grade and used without further purification. Cobalt perchlorate, acetic hydrazide and salicylaldehyde were purchased from Sigma Aldrich, Saint Quentin Fallavier Cedex, France and used as received.
3.1.1. Synthesis of the Hydrazone Ligand [HL]
The ligand HL [(E)-N′-(2-hydroxybenzylidene)acetohydrazide] was prepared by the condensation of acetic hydrazide (0.74 g, 10 mmol) with salicylaldehyde (1.221 g, 10 mmol) in methanol medium (100 mL). On refluxing the methanolic solution at 65 °C for 5 h a colourless solution was obtained. The solvent was removed under reduced pressure and the white residue was purified by recrystallization to obtain colourless shiny crystals. Yield 0.155 g (87%). Anal. Calcd. (%) for C9H10N2O2 (M = 178.1 g/mol): C, 60.66; H, 5.66; N, 15.72. Found: C, 60.58; H, 5.78; N, 15.69. FT-IR bands (cm−1): ν(C=N) 1601, ν(C=O) 1669.
3.1.2. Synthesis of [Co(HL)2](ClO4)2·2H2O (1)
Co(ClO4)2·6H2O (0.55 g, 1.5 mmol) was dissolved in 10 mL of a 1:1 methanol-acetonitrile mixture and 0.25 mmol (0.045 g) of the ligand HL were added. The mixture was stirred for 1/2 h at 60 °C. The resulting orange solution was kept at room temperature for slow evaporation. Orange octahedral single crystals suitable for X-ray diffraction were obtained within a week. Yield 0.05 g (64%). Anal. Calcd. (%) for C12H16Cl2CoN4O13 (M = 650.24 g/mol): C, 22.16; H, 2.48; N, 8.62. Found: C, 21.98; H, 2.78; N, 8.29. Main FT-IR bands. νC=N 1548, νC=O 1602, νN-H 2843, νCo-N 452 cm−1.
3.2. Physical Measurements
C, H and N microanalyses were carried out with a Perkin-Elmer 2400 II elemental analyzer. FT-IR spectra were recorded on a Thermal Scientific NicoletTM 6700 ATR (attenuated total reflection) spectrometer equipped with a Smart iTR diamond window. The magnetic susceptibility measurements were carried out in the temperature range 1.85–300 K with an applied magnetic field of 0.1 T on a polycrystalline sample of 1 (with a mass of 9.8 mg) sealed in a polypropylene bag with mineral oil to avoid the field orientation of the sample with a Quantum Design VSM susceptometer. The isothermal magnetization was performed on the same sample at 1.9, 3, 5 and 8 K with magnetic fields up to 9 T. AC susceptibility measurements were performed in a PPMS-9 Quantum Design susceptometer with an oscillating field of 1 to 6 Oe with a frequency from 1 to 10,000 Hz. Prior to the experiments, the field dependent magnetization was measured at 100 K in order to detect the presence of any bulk ferromagnetic impurities. The samples appeared to be free of any significant ferromagnetic impurities. The data were corrected for the sample holder and the intrinsic diamagnetic contributions.
3.3. X-ray Crystallography
Intensity data were collected using MoKα radiation with a Bruker ApexII CCD diffractometer at 120 K for 1. Data collection and data reduction were performed with SHELX [45] programs. The structures were solved by direct method using the program SIR92 [46] and refined with the program CRYSTALS [47]. Empirical absorption corrections were carried out by multi scan technique [48]. All non-hydrogen atoms were refined anisotropically by full-matrix least-squares based on F. All other H atoms were generated geometrically and were included in the refinement by the riding model approximation. Selected crystallographic data, experimental conditions and relevant features of the structural refinements are listed in Table 4.
Table 4.
Crystal Data of compound 1.
4. Conclusions
A new octahedral mononuclear Co(II) complex has been synthesized with a ONO donor hydrazone Schiff base ligands featuring a meridional geometry. The magnetic susceptibility and isothermal magnetization at different temperatures allows the determination of a large negative ZFS parameter (D) implying the presence of an easy axis of the anisotropy. Additionally, the mononuclear complex exhibits field induced frequency dependent slow magnetization that can be fit with the Debye model with an α parameter close to zero in the studied temperature range, indicating a narrow distribution of the relaxation times and a single relaxation process. The relaxation times can be fit to the simultaneous presence of Orbach, Raman and single phonon direct processes.
Funding
This research was funded by Initiative d’excellence de l’Université de Bordeaux post-doctoral program, the Spanish MINECO (project CTQ2017-87201-P AEI/FEDER, EU) and the Generalitat Valenciana (project Prometeo II/2014/076).
Author Contributions
Data adquisition: D.S. and M.R.; Formal analysis: C.J.G.-G.; Project administration: D.S.; Writing-review & editing: P.G.
Acknowledgments
D.S. is thankful to Rodolphe Clérac and the CRPP administrative team for facilitating the research.
Conflicts of Interest
The authors declare no conflict of interest. The funders had no role in the design of the study; in the collection, analyses, or interpretation of data; in the writing of the manuscript, and in the decision to publish the results.
Notes
Crystallographic data for the structure reported in this paper have been deposited with the Cambridge Crystallographic Data Center as supplementary publication no. CCDC-1870221. Copies of the data can be obtained free of charge on application to CCDC, 12, Union Road, Cambridge, CB2 1EZ, UK (fax: +44-1223-336033); e-mail: deposit@ccdc.cam.ac.uk.
References
- Vincent, R.; Klyatskaya, S.; Ruben, M.; Wernsdorfer, W.; Balestro, F. Electronic read-out of a single nuclear spin using a molecular spin transistor. Nature 2012, 488, 357–360. [Google Scholar] [CrossRef] [PubMed]
- Aromí, G.; Aguilà, D.; Gamez, P.; Luis, F.; Roubeau, O. Design of magnetic coordination complexes for quantum computing. Chem. Soc. Rev. 2012, 41, 537–546. [Google Scholar] [CrossRef]
- Timco, G.A.; Faust, T.B.; Tuna, F.; Winpenny, R.E.P. Linking heterometallic rings for quantum information processing and amusement. Chem. Soc. Rev. 2011, 40, 3067–3075. [Google Scholar] [CrossRef] [PubMed]
- Ishikawa, N.; Sugita, M.; Ishikawa, T.; Koshihara, S.Y.; Kaizu, Y. Lanthanide Double-Decker Complexes Functioning as Magnets at the Single-Molecular Level. J. Am. Chem. Soc. 2003, 125, 8694–8695. [Google Scholar] [CrossRef] [PubMed]
- Ishikawa, N.; Sugita, M.; Ishikawa, T.; Koshihara, S.; Kaizu, Y. Mononuclear Lanthanide Complexes with a Long Magnetization Relaxation Time at High Temperatures: A New Category of Magnets at the Single-Molecular Level. J. Phys. Chem. B 2004, 108, 11265–11271. [Google Scholar] [CrossRef]
- AlDamen, M.A.; Clemente-Juan, J.M.; Coronado, E.; Marti-Gastaldo, C.; Gaita-Arino, A. Mononuclear lanthanide single-molecule magnets based on polyoxometalates. J. Am. Chem. Soc. 2008, 130, 8874–8875. [Google Scholar] [CrossRef] [PubMed]
- AlDamen, M.A.; Cardona-Serra, S.; Clemente-Juan, J.M.; Coronado, E.; Alejandro, G.-A.; Carlos, M.-G.; Fernando, L.; Oscar, M. Mononuclear Lanthanide Single Molecule Magnets Based on the Polyoxometalates [Ln(W5O18)2]9− and [Ln(β2-SiW11O39)2]13−(LnIII = Tb, Dy, Ho, Er, Tm, and Yb). Inorg. Chem. 2009, 48, 3467–3479. [Google Scholar] [CrossRef]
- Baldoví, J.J.; Cardona-Serra, S.; Clemente-Juan, J.M.; Coronado, E.; Gaita-Arin, A.; Palii, A. Rational Design of Single-Ion Magnets and Spin Qubits Based on Mononuclear Lanthanoid Complexes. Inorg. Chem. 2012, 51, 12565–12574. [Google Scholar] [CrossRef]
- Rinehart, J.D.; Long, J.R. Slow magnetic relaxation in a trigonal prismatic uranium(III) complex. J. Am. Chem. Soc. 2009, 131, 12558–12559. [Google Scholar] [CrossRef]
- Rinehart, J.D.; Meihaus, K.R.; Long, J.R. Observation of a Secondary Slow Relaxation Process for the Field-Induced Single-Molecule Magnet U(H2BPz2)3. J. Am. Chem. Soc. 2010, 132, 7572–7573. [Google Scholar] [CrossRef]
- Magnani, N.; Apostolidis, C.; Morgenstern, A.; Colineau, E.; Griveau, J.C.; Bolvin, H.; Walter, O.; Caciuffo, R. Magnetic memory effect in a transuranic mononuclear complex. Angew. Chem. Int. Ed. 2011, 50, 1696–1698. [Google Scholar] [CrossRef] [PubMed]
- Antunes, M.A.; Pereira, L.C.J.; Santos, I.C.; Mazzanti, M.; Marçalo, J.; Almeida, M. [U(TpMe2)2(bipy)]+: A Cationic Uranium(III) Complex with Single-Molecule-Magnet Behavior. Inorg. Chem. 2011, 50, 9915–9917. [Google Scholar] [CrossRef] [PubMed]
- Goodwin, C.A.P.; Ortu, F.; Reta, D.; Chilton, N.F.; Mills, D.P. Molecular magnetic hysteresis at 60 kelvin in dysprosocenium. Nature 2017, 548, 439–442. [Google Scholar] [CrossRef] [PubMed]
- Guo, F.-S.; Day, B.M.; Chen, Y.-C.; Tong, M.-L.; Mansikkamäki, A.; Layfield, R.A. A Dysprosium Metallocene Single-Molecule Magnet Functioning at the Axial Limit. Angew. Chem. Int. Ed. 2017, 56, 11445–11449. [Google Scholar] [CrossRef] [PubMed]
- Guo, F.-S.; Day, B.M.; Chen, Y.-C.; Tong, M.-L.; Mansikkamäki, A.; Layfield, R.A. Magnetic hysteresis up to 80 kelvin in a dysprosium metallocene single-molecule magnet. Science 2018. [Google Scholar] [CrossRef] [PubMed]
- Gómez-Coca, S.; Cremades, E.; Aliaga-Alcalde, N.; Ruiz, E. Mononuclear Single-Molecule Magnets: Tailoring the Magnetic Anisotropy of First-Row Transition-Metal Complexes. J. Am. Chem. Soc. 2013, 135, 7010–7018. [Google Scholar] [CrossRef] [PubMed]
- Freedman, D.E.; Harman, W.H.; Harris, T.D.; Long, G.J.; Chang, C.J.; Long, J.R. Slow Magnetic Relaxation in a High-Spin Iron(II) Complex. J. Am. Chem. Soc. 2010, 132, 1224–1225. [Google Scholar] [CrossRef]
- Harman, W.H.; Harris, T.D.; Freedman, D.E.; Fong, H.; Chang, A.; Rinehart, J.D.; Ozarowski, A.; Sougrati, M.T.; Grandjean, F.; Long, G.J.; et al. Slow magnetic relaxation in a family of trigonal pyramidal iron(II) pyrrolide complexes. J. Am. Chem. Soc. 2010, 132, 18115–18126. [Google Scholar] [CrossRef]
- Rechkemmer, Y.; Breitgoff, F.D.; van der Meer, M.; Atanasov, M.; Hakl, M.; Orlita, M.; Neugebauer, P.; Neese, F.; Sarkar, B.; van Slageren, J. A four-coordinate cobalt(II) single-ion magnet with coercivity and a very high energy barrier. Nat. Commun. 2016, 7, 10467. [Google Scholar] [CrossRef]
- Ruamps, R.; Batchelor, L.J.; Guillot, R.; Zakhia, G.; Barra, A.-L.; Wernsdorfer, W.; Guihéry, N.; Mallah, T. Ising-type magnetic anisotropy and single molecule magnet behaviour in mononuclear trigonal bipyramidal Co(II) complexes. Chem. Sci. 2014, 5, 3418–3424. [Google Scholar] [CrossRef]
- Poulten, R.C.; Page, M.J.; Algarra, A.G.; Le Roy, J.J.; López, I.; Carter, E.; Llobet, A.; Macgregor, S.A.; Mahon, M.F.; Murphy, D.M.; et al. Synthesis, Electronic Structure, and Magnetism of [Ni(6-Mes)2]+: A Two-Coordinate Nickel(I) Complex Stabilized by Bulky NHeterocyclic Carbenes. J. Am. Chem. Soc. 2013, 135, 13640–13643. [Google Scholar] [CrossRef] [PubMed]
- Jurca, T.; Farghal, A.; Lin, P.-H.; Korobkov, I.; Murugesu, M.; Richeson, D.S.J. Single-Molecule Magnet Behavior with a Single Metal Center Enhanced through Peripheral Ligand Modifications. Am. Chem. Soc. 2011, 133, 15814–15817. [Google Scholar] [CrossRef] [PubMed]
- Zadrozny, J.M.; Long, J.R. Slow Magnetic Relaxation at Zero Field in the Tetrahedral Complex [Co(SPh)4]2–. J. Am. Chem. Soc. 2011, 133, 20732–20734. [Google Scholar] [CrossRef] [PubMed]
- Saber, M.R.; Dunbar, K.R. Ligands effects on the magnetic anisotropy of tetrahedral cobalt complexes. Chem. Commun. 2014, 50, 12266–12269. [Google Scholar] [CrossRef] [PubMed]
- Smolko, L.; Černak, J.; Dušek, M.; Miklovič, J.; Titiš, J.; Boča, R. Three tetracoordinate Co(II) complexes [Co(biq)X2] (X = Cl, Br, I) with easy-plane magnetic anisotropy as field-induced single-molecule magnets. Dalton Trans. 2015, 44, 17565–17571. [Google Scholar] [CrossRef]
- Vaidya, S.; Upadhyay, A.; Singh, S.K.; Gupta, T.; Tewary, S.; Langley, S.K.; Walsh, J.P.S.; Murray, K.S.; Rajaraman, G.; Shanmugam, M. A synthetic strategy for switching the single ion anisotropy in tetrahedral Co(II) complexes. Chem. Commun. 2015, 51, 3739–3742. [Google Scholar] [CrossRef]
- Vaidya, S.; Singh, S.K.; Shukla, P.; Ansari, K.; Rajaraman, G.; Shanmugam, M. Role of Halide Ions on the Nature of Magnetic Anisotropy in Tetrahedral Co(II) Complexes. Chem. A Eur. J. 2017, 23, 9546–9559. [Google Scholar] [CrossRef]
- Zadrozny, J.M.; Telser, J.; Long, J.R. Slow magnetic relaxation in the tetrahedral cobalt(II) complexes [Co(EPh)4]2 (E = O, S, Se). Polyhedron 2013, 64, 209–217. [Google Scholar] [CrossRef]
- Vallejo, J.; Castro, I.; Ruiz-Garcia, R.; Cano, J.; Julve, M.; Lloret, F.; De Munno, G.; Wernsdorfer, W.; Pardo, E. Field-Induced Slow Magnetic Relaxation in a Six-Coordinate Mononuclear Cobalt(II) Complex with a Positive Anisotropy. J. Am. Chem. Soc. 2012, 134, 15704–15707. [Google Scholar] [CrossRef]
- Colacio, E.; Ruiz, J.; Ruiz, E.; Cremades, E.; Krzystek, J.; Carretta, S.; Cano, J.; Guidi, T.; Wernsdorfer, W.; Brechin, E.K. Slow magnetic relaxation in a Co(II)-Y(III) single-ion magnet with positive axial zero-field splitting. Angew. Chem. Int. Ed. 2013, 52, 9130–9134. [Google Scholar] [CrossRef]
- Herchel, R.; Vahovska, L.; Potočňak, I.; Travniček, Z. Slow Magnetic Relaxation in Octahedral Cobalt(II) Field-Induced Single-Ion Magnet with Positive Axial and Large Rhombic Anisotropy. Inorg. Chem. 2014, 53, 5896–5898. [Google Scholar] [CrossRef] [PubMed]
- Diaz-Torres, R.; Menelaou, M.; Roubeau, O.; Sorrenti, A.; Brandariz-de-Pedro, G.; Sanudo, E.C.; Teat, S.J.; Fraxedas, J.; Ruiz, E.; Aliaga-Alcalde, N. Multiscale study of mononuclear CoII SMMs based on curcuminoid ligands. Chem. Sci. 2016, 7, 2793–2803. [Google Scholar] [CrossRef] [PubMed]
- Palii, A.V.; Korchagin, D.V.; Yureva, E.A.; Akimov, A.V.; Misochko, E.Y.; Shilov, G.V.; Talantsev, A.D.; Morgunov, R.B.; Aldoshin, S.M.; Tsukerblat, B.S. Single-Ion Magnet Et4N[CoII(hfac)3] with Nonuniaxial Anisotropy: Synthesis, Experimental Characterization, and Theoretical Modeling. Inorg. Chem. 2016, 55, 9696–9706. [Google Scholar] [CrossRef] [PubMed]
- Valigura, D.; Rajnak, C.; Moncol, J.; Titiš, J.; Boča, R. A mononuclear Co(II) complex formed from pyridinedimethanol with manifold slow relaxation channels. Dalton Trans. 2017, 46, 10950–10956. [Google Scholar] [CrossRef]
- Varga, F.; Rajnak, C.; Titis, J.; Moncol, J.; Boca, R. Slow magnetic relaxation in a Co(II) octahedraltetrahedral system formed of a [CoL3]2+ core with L = bis(diphenylphosphanoxido) methane and tetrahedral [CoBr4]2− counter anions. Dalton Trans. 2017, 46, 4148–4151. [Google Scholar] [CrossRef] [PubMed]
- Gómez-Coca, S.; Urtizberea, A.; Cremades, E.; Alonso, P.J.; Camon, A.; Ruiz, E.; Luis, F. Origin of slow magnetic relaxation in Kramers ions with non-uniaxial anisotropy. Nat. Commun. 2014, 5, 4300. [Google Scholar] [CrossRef]
- Sertphon, D.; Murray, K.S.; Phonsri, W.; Jover, J.; Ruiz, E.; Telfer, S.G.; Alkaş, A.; Harding, P.; Harding, D.J. Slow Relaxation of Magnetization in a Bis-mer-Tridentate Octahedral Co(II) Complex. Dalton Trans. 2018, 47, 859–867. [Google Scholar] [CrossRef]
- Zhu, Y.-Y.; Cui, C.; Zhang, Y.-Q.; Jia, J.-H.; Guo, X.; Gao, C.; Qian, K.; Jiang, S.-D.; Wang, B.-W.; Wang, Z.-M.; et al. Zero-field slow magnetic relaxation from single Co(II) ion: A transition metal single-molecule magnet with high anisotropy barrier. Chem. Sci. 2013, 4, 1802–1806. [Google Scholar] [CrossRef]
- Peng, Y.; Mereacre, V.; Anson, C.E.; Zhang, Y.; Bodenstein, T.; Fink, K.; Powell, A.K. Field-Induced Co(II) Single-Ion Magnets with mer-Directing Ligands but Ambiguous Coordination Geometry. Inorg. Chem. 2017, 56, 6056–6066. [Google Scholar] [CrossRef]
- Mabbs, F.E.; Machin, D.J. Magnetism and Transition Metal Complexes; Dover Publications: New York, NY, USA, 2008. [Google Scholar]
- Chilton, N.F.; Anderson, R.P.; Turner, L.D.; Soncini, A.; Murray, K.S. PHI: Apowerful new program for the analysis of anisotropic monomeric and exchange-coupled polynuclear d- and f block complexes. J. Comput. Chem. 2013, 34, 1164–1175. [Google Scholar] [CrossRef]
- Aubin, S.M.J.; Sun, Z.; Pardi, L.; Krzystek, J.; Folting, K.; Brunel, L.; Rheingold, A.L.; Christou, G.; Hendrickson, D.N. Reduced Anionic Mn12 Molecules with Half-Integer Ground States as Single-Molecule Magnets. Inorg. Chem. 1999, 38, 5329. [Google Scholar] [CrossRef]
- Hagiwara, M.; Nagata, K. Magnetic behaviors of complex nature found in an oxide glass system containing deposited magnetite clusters at the superparamagnetic state. J. Magn. Magn. Mater. 1998, 177–181, 91–92. [Google Scholar] [CrossRef]
- Chandrasekhar, V.; Dey, A.; Mota, A.J.; Colacio, E. Slow Magnetic Relaxation in Co(III)–Co(II) Mixed-Valence Dinuclear Complexes with a CoIIO5X (X = Cl, Br, NO3) Distorted-Octahedral Coordination Sphere. Inorg. Chem. 2013, 52, 4554–4561. [Google Scholar] [CrossRef] [PubMed]
- Sheldrick, G.M. A short history of SHELX. Acta Crystallogr. A 2008, 64, 112–122. [Google Scholar] [CrossRef] [PubMed]
- Altomare, A.; Burla, M.C.; Camalli, M.; Cascarano, G.L.; Giacovazzo, C.; Guagliardi, A.; Moliterni, A.G.G.; Polidori, G.; Spagna, R.J. SIR97: A new tool for crystal structure determination and refinement. Appl. Cryst. 1999, 32, 115–119. [Google Scholar] [CrossRef]
- Betteridge, P.W.; Carruthers, J.R.; Cooper, R.I.; Prout, K.; Watkin, D.J. CRYSTALS version 12: software for guided crystal structure analysis. J. Appl. Cryst. 2003, 36, 1487. [Google Scholar] [CrossRef]
- Meulenaer, J.D.; Tompa, H. The absorption correction in crystal structure analysis. Acta Crystallogr. 1965, 19, 1014–1018. [Google Scholar] [CrossRef]
© 2018 by the authors. Licensee MDPI, Basel, Switzerland. This article is an open access article distributed under the terms and conditions of the Creative Commons Attribution (CC BY) license (http://creativecommons.org/licenses/by/4.0/).








