Peierls and Spin-Peierls Instabilities in the Per2[M(mnt)2] Series of One-Dimensional Organic Conductors; Experimental Realization of a 1D Kondo Lattice for M = Pd, Ni and Pt
Abstract
:1. Introduction
2. Peierls Instability in Per2X Salts and Its Per Substituted Derivatives
2.1. Uniform Stack
2.2. Two-Fold Modulated Stack
2.3. Estimation of the Electron-Phonon Coupling
2.4. Peierls Instability in (Arene)2 PF6 and AsF6 Salts
2.5. Peierls Instability in Per Stack of α-(Per)2[M(mnt)2]
2.6. Comparison between Peierls Instabilities in (Arene)2PF6/AsF6 and in α-(Per)2[M(mnt)2] Salts
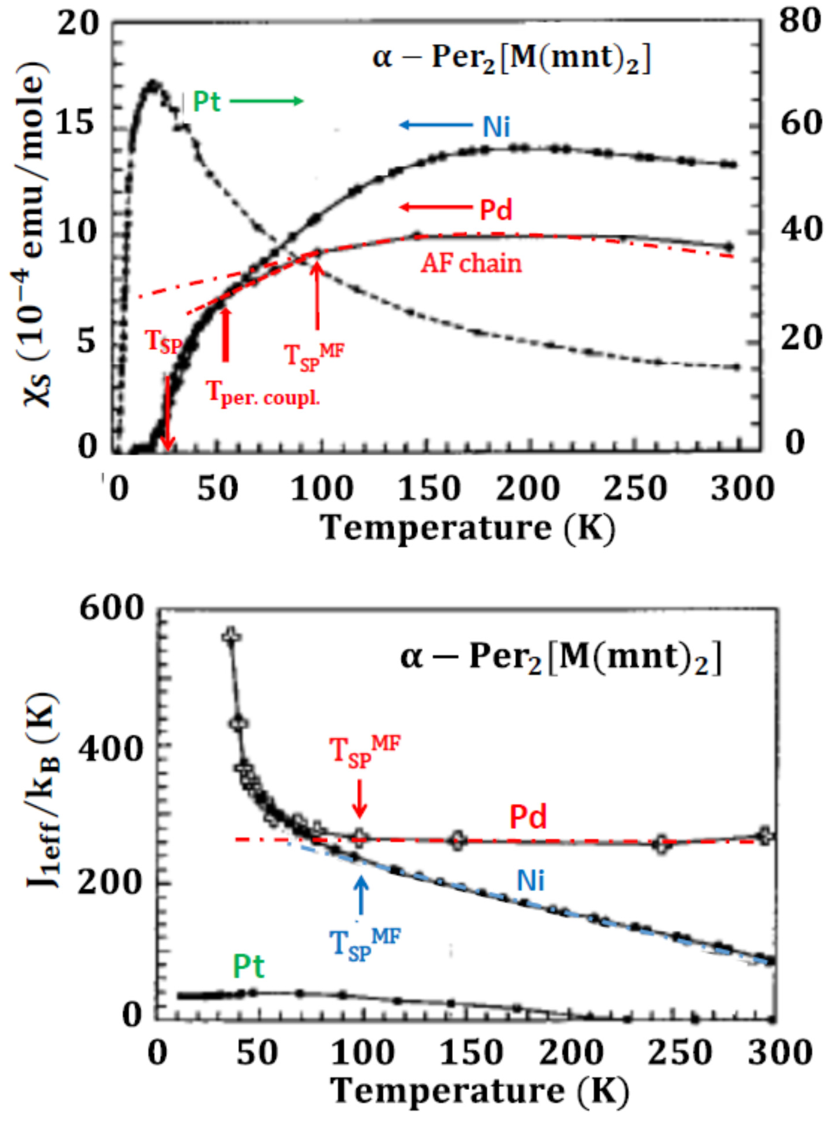
3. Peierls and Spin-Peierls Instabilities in α-(Per)2M(mnt)2] with M = Ni, Pd and Pt
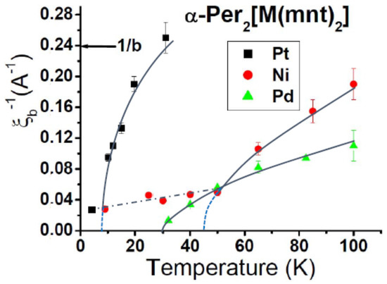
3.1. Spin-Peierls Structural Fluctuations
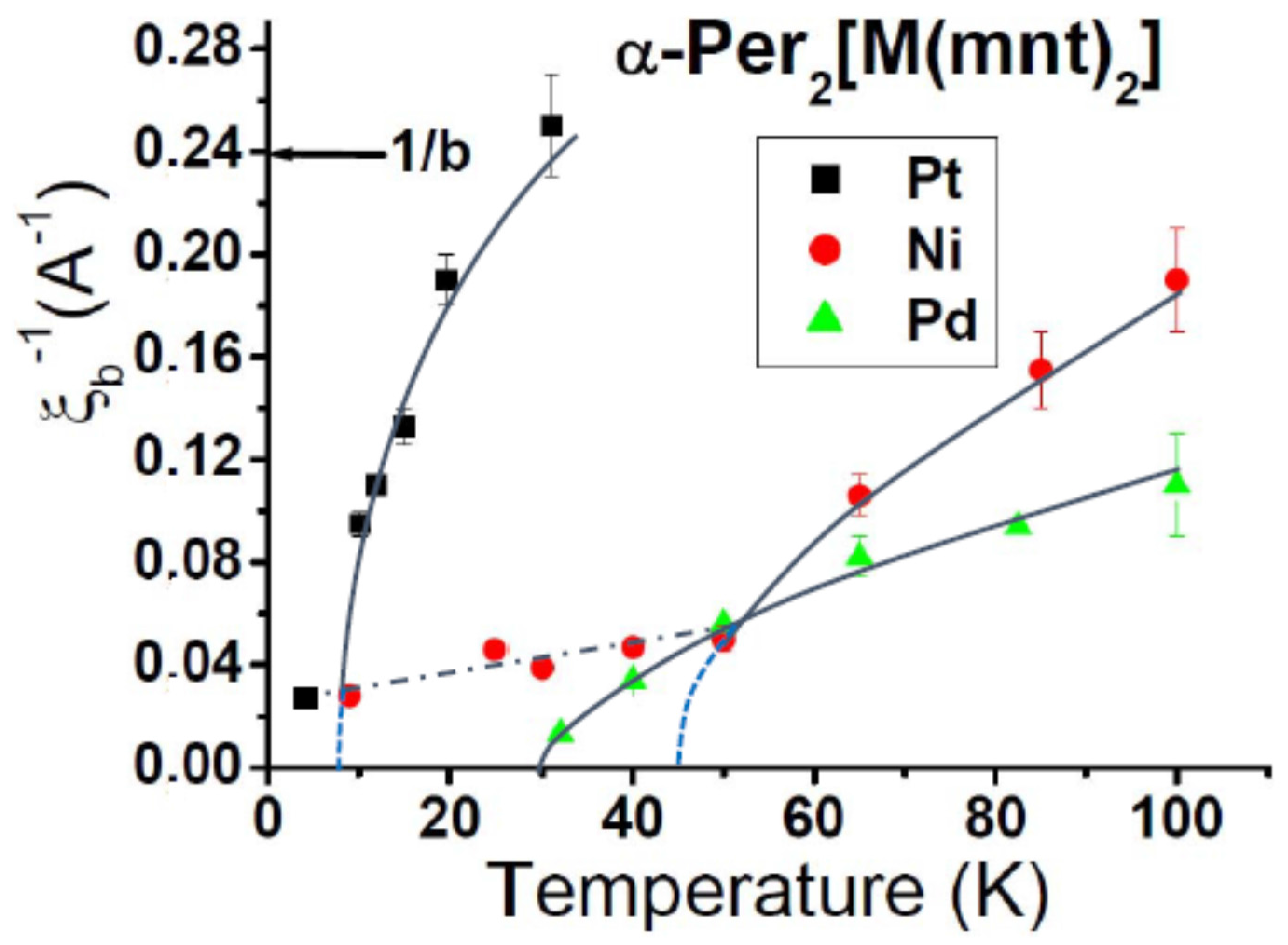
- The qSP peak intensity I(qSP), the T/I(qSP) ratio gives a quantity proportional to the inverse SP structural susceptibility (Figure 6).
- The half-width at half-maximum (corrected by the experimental resolution) directly gives the inverse coherence length of the SP fluctuation in stack direction (Figure 7).
3.2. Spin-Peierls and Peierls Orders
3.3. Mechanism of the SP Instability in α-(Per)2[M(mnt)2]
- In the Pd salt, saturates at 260 K above 100 K.
- In the Pt salt, saturates at 35 K below 90 K.
- In the Ni salt, increases linearly between 300 and 100 K.
3.4. Nature of the Ground State
4. Conclusions
Acknowledgments
Conflicts of Interest
References
- Comès, R.; Lambert, M.; Launois, H.; Zeller, H.R. Evidence for a Peierls Distortion or a Kohn Anomaly in One-Dimensional Conductors of the Type K2Pt(CN)4Br0.30.xH2O. Phys. Rev. B 1973, 8, 571–575. [Google Scholar] [CrossRef]
- Pouget, J.-P. Bond and charge ordering in low-dimensional organic conductors. Phys. B 2012, 407, 1762–1770. [Google Scholar] [CrossRef]
- Pouget, J.-P. The Peierls instability and charge density wave in one-dimensional electronic conductors. C. R. Phys. 2016, 17, 332–356. [Google Scholar] [CrossRef]
- Schlenker, C.; Dumas, J.; Greenblatt, M.; van Smaalen, S. (Eds.) Physics and Chemistry of Low-Dimensional Inorganic Conductors. In Nato ASI Ser. B Phys; Plenum: New York, NY, USA, 1996; Volume 354.
- Pouget, J.-P. Interplay between electronic and structural degrees of freedom in quarter-filled low dimensional conductors. Phys. B 2015, 460, 45–52. [Google Scholar] [CrossRef]
- Akamatsu, A.; Inokuchi, H.; Matsunaga, Y. Electrical Conductivity of the Perylene-Bromine Complex. Nature 1954, 173, 168–169. [Google Scholar] [CrossRef]
- Almeida, M.; Henriques, R.T. Perylene Based Conductors. Chapter 2. In Handbook of Organic Conductive Molecules and Polymers Volume 1 “Charge Transfer Salts, Fullerenes and Photoconductors”; Nalva, H.S., Ed.; John Wiley & Sons Ltd.: Chichester, UK, 1997; pp. 87–149. [Google Scholar]
- Gama, V.; Henriques, R.T.; Bonfait, G.; Almeida, M.; Ravy, S.; Pouget, J.P.; Alcacer, L. The interplay between conduction electrons and chains of localized spins in the molecular metals (Per)2M(mnt)2, M = Au, Pt, Pd, Ni, Cu, Co and Fe. Mol. Cryst. Liq. Cryst. 1993, 234, 171–178. [Google Scholar] [CrossRef]
- Henriques, R.T.; Alcacer, L.; Pouget, J.P.; Jérome, D. Electrical conductivity and x-ray diffuse scattering study of the family of organic conductors (perylene)2M(mnt)2, (M = Pt, Pd, Au). J. Phys. C Solid State Phys. 1984, 17, 5197–5208. [Google Scholar] [CrossRef]
- Monchi, K.; Poirier, M.; Bourbonnais, C.; Matos, M.J.; Henriques, R.T. The Peierls transition in Per2 [AuxPt1-x(mnt )2]: Pair-breaking field effects. Synth. Met. 1999, 103, 2228–2231. [Google Scholar] [CrossRef]
- Almeida, M.; Gama, V.; Santos, I.C.; Graf, D.; Brooks, J.S. Counterion dimerisation effects in the two-chain compound (Per)2[Co(mnt)2]: Structure and anomalous pressure dependence of the electrical transport properties. CrystEngComm 2009, 11, 1103–1108. [Google Scholar] [CrossRef]
- Santos, I.C.; Gama, V.; Silva, R.A.L.; Almeda, M. to be submitted (2017).
- Ilakovac, V.; Ravy, S.; Moradpour, A.; Firlej, L.; Bernier, P. Disorder and electronic properties of substituted perylene radical-cation salts. Phys. Rev. B 1995, 52, 4108–4122. [Google Scholar] [CrossRef]
- Emery, V.J.; Bruinsma, R.; Barisic, S. Electron-Electron Umklapp Scattering in Organic Superconductors. Phys. Rev. Lett. 1982, 48, 1039–1043. [Google Scholar] [CrossRef]
- Canadell, E.; Almeida, M.; Brook, J. Electronic band structure of α-(Per)2M(mnt)2 compounds. Eur. Phys. J. B 2004, 42, R453. [Google Scholar] [CrossRef]
- Ilakovac, V.; Ravy, S.; Pouget, J.P.; Riess, W.; Brűtting, W.; Schwoerer, M. CDW instability in the 2/1 organic conductor (FA)2PF6. J. Phys. IV Fr. 1993, 3, C2-137–C2-140. [Google Scholar] [CrossRef]
- Peven, P.; Jérome, D.; Ravy, S.; Albouy, P.A.; Batail, P. Physical properties of the quasi-one dimensional substituted perylene cation radical salt. Synth. Met. 1988, 17, B405–B410. [Google Scholar] [CrossRef]
- Ilakovac-Casses, V. Etude de l’influence du désordre sur les instabilités et les propriétés physiques des conducteurs et supraconducteurs organiques. Thesis, Université Paris-Sud, Orsay, France, 1994. [Google Scholar]
- Reiss, W.; Schmid, W.; Gmeiner, J.; Schwoerer, M. Observation of charge density wave transport phenomena in the organic conductor (FA)2PF6. Synth. Met. 1991, 41–43, 2261–2267. [Google Scholar]
- Reiss, W.; Brűtting, W.; Schwoerer, M. Charge transport in the quasi-one-dimensional organic charge density wave conductor (Fluorenthene)2PF6. Synth. Met. 1993, 55–57, 2664–2669. [Google Scholar] [CrossRef]
- Lopes, E.B.; Matos, M.J.; Henriques, R.T.; Almeida, M.; Dumas, J. Charge density wave non-linear transport in the molecular conductor (Perylene)2Au(mnt)2 (mnt = maleonitriledithiolate). Europhys. Lett. 1994, 27, 241–246. [Google Scholar] [CrossRef]
- Ilakovac, V.; Ravy, S.; Pouget, J.P.; Lenoir, C.; Boubekeur, K.; Batail, P.; Dolanski Babic, S.; Biskup, N.; Korin-Hamzic, B.; Tomic, S.; Bourbonnais, C. Enhanced charge localization in the organic alloys [(TMTSF)1-x (TMTTF)x]2ReO4. Phys. Rev. B 1994, 50, 7136–7139. [Google Scholar] [CrossRef]
- Gama, V.; Henriques, R.T.; Almeida, M.; Pouget, J.-P. Diffuse X-ray scattering evidence for Peierls and “spin-Peierls” like transitions in the organic conductors (Perylene)2M(mnt)2 [M = Cu, Ni, Co and Fe]. Synth. Met. 1993, 55–57, 1677–1682. [Google Scholar] [CrossRef]
- Gama, V.; Henriques, R.T.; Almeida, M.; Bourbonnais, C.; Pouget, J.-P.; Jérome, D.; Auban-Senzier, P.; Gotschy, B. Structual and magnetic investigations of the Peierls transition of α-(Per)2M(mnt)2 with M = Fe and Co. J. Phys. I Fr. 1993, 3, 1235–1244. [Google Scholar] [CrossRef]
- Lopes, E.B.; Matos, M.J.; Henriques, R.T.; Almeida, M.; Dumas, J. Charge Density Wave Dynamics in Quasi-One Dimensional Molecular Conductors: a Comparative Study of (Per)2M(mnt)2 with M = Au, Pt. J. Phys. I Fr. 1996, 6, 2141–2149. [Google Scholar] [CrossRef]
- Bonfait, G.; Matos, M.J.; Henriques, R.T.; Almeida, M. The Peierls transition under high magnetic field. Physics B 1995, 211, 297–299. [Google Scholar] [CrossRef]
- Graf, D.; Brooks, J.S.; Choi, E.S.; Uji, S.; Dias, J.C.; Almeida, M.; Matos, M. Suppression of a charge-density-wave ground state in high magnetic fields: Spin and orbital mechanisms. Phys. Rev. B 2004, 69, 125113. [Google Scholar] [CrossRef]
- Brooks, J.S.; Graf, D.; Choi, E.S.; Almeida, M.; Dias, J.C.; Henriques, R.T.; Matos, M. Magnetic field dependence of CDW phases in Per2M(mnt)2 (M = Au, Pt). J. Low Temp. Phys. 2006, 142, 787–803. [Google Scholar] [CrossRef]
- Brooks, J.S.; Graf, D.; Choi, E.S.; Almeida, M.; Dias, J.C.; Henriques, R.T.; Matos, M. Magnetic field dependent behavior of the CDW ground state in Per2M(mnt)2 (M = Au, Pt). Curr. Appl. Phys. 2006, 6, 913–918. [Google Scholar] [CrossRef]
- Hasegawa, Y.; Fukuyama, H. A theory of phase transition in quasi-one-dimensional electrons. J. Phys. Soc. Jpn. 1986, 55, 3978–3990. [Google Scholar] [CrossRef]
- Graf, D.; Brooks, J.S.; Almeida, M.; Dias, J.C.; Uji, S.; Terashima and Kimata, M. Evolution of superconductivity from a charge-density-wave ground state in pressurized (Per)2 [Au(mnt)2]. Europhys. Lett. 2009, 85, 27009. [Google Scholar] [CrossRef]
- Shirane, G.; Shapiro, S.M.; Comès, R.; Garito, A.F.; Heeger, A.J. Phonon dispersion and Kohn anomaly in tetratiafulvalene-tetracyanoquinodimethane (TTF-TCNQ). Phys. Rev. B 1976, 14, 2325–2334. [Google Scholar] [CrossRef]
- Caron, L.G.; Bourbonnais, C. Two-cutoff renormalization and quantum versus classical aspects for the one-dimensional electron-phonon system. Phys. Rev. B 1984, 29, 4230–4241. [Google Scholar] [CrossRef]
- Goze, F.; Audouard, A.; Brossard, L.; Laukhin, V.N.; Ulmet, J.P.; Doublet, M.L.; Canadell, E.; Pouget, J.P.; Zavodnik, V.E.; Shibaeva, R.P.; et al. Magnetoresistance in pulsed fields, band structure calculations and charge density wave instability in (TSeT)2Cl. Synth. Met. 1995, 70, 1279–1280. [Google Scholar] [CrossRef]
- Ahmad, M.M.; Turner, D.J.; Underhill, A.E.; Jacobsen, C.S.; Mortensen, K.; Carneiro, K. Physical properties and the Peierls instability of Li0.82[Pt(S2C2(CN)2)2]. 2H2O. Phys. Rev. B 1984, 29, 4796–4799. [Google Scholar] [CrossRef]
- Dumoulin, B.; Bourbonnais, C.; Ravy, S.; Pouget, J.P.; Coulon, C. Fluctuation effects in low-dimensional spin-Peierls systems: Theory and experiment. Phys. Rev. Lett. 1996, 76, 1360–1363. [Google Scholar] [CrossRef] [PubMed]
- Bonfait, G.; Matos, M.J.; Henriques, R.T.; Almeida, M. Spin-Peierls instability in Per2[M(mnt)2] compounds probed by specific heat. J. Phys. IV Colloq. 1993, 3, 251–254. [Google Scholar] [CrossRef]
- Henriques, R.T.; Alcacer, L.; Almeida, M.; Tomic, S. Transport and magnetic properties on the family of perylene-dithiolate conductors. Mol. Cryst. Liq. Cryst. 1985, 120, 237–241. [Google Scholar] [CrossRef]
- Green, E.L.; Brooks, J.S.; Kuhns, P.L.; Reyes, A.P.; Lumata, L.L.; Almeida, M.; Matos, M.J.; Henriques, R.T.; Wright, J.A.; Brown, S.E. Interaction of magnetic field-dependent Peierls and spin-Peierls ground states in (Per)2[Pt(mnt)2]. Phys. Rev. B 2011, 84, 121101(R). [Google Scholar] [CrossRef]
- Bourbonnais, C.; Henriques, R.T.; Wzietek, P.; Kongeter, D.; Voiron, J.; Jerome, D. Nuclear and electronic resonance approaches to magnetic and lattice fluctuations in the two-chain family of organic compounds (perylene)2 [M(S2C2(CN)2)2] (M = Pt, Au). Phys. Rev. B 1991, 44, 641–651. [Google Scholar] [CrossRef]
- Green, E.L.; Lumata, L.L.; Brooks, J.S.; Kuhns, P.; Reyes, A.; Brown, S.E.; Almeida, M. 1H and 195Pt NMR Study of the Parallel Two-Chain Compound Per2[Pt(mnt)2]. Crystals 2012, 2, 1116–1135. [Google Scholar] [CrossRef]
- Pouget, J.-P.; Ravy, S.; Schoeffel, J.P.; Dhalenne, G.; Revcolevschi, A. Spin-Peierls lattice fluctuations and disorders in CuGeO3 and its solid solutions. Eur. Phys. J. B 2004, 38, 581–598. [Google Scholar] [CrossRef]
- Orignac, E.; Chitra, R. Mean-field theory of the spin-Peierls transition. Phys. Rev. B 2004, 70, 214436. [Google Scholar] [CrossRef]
- Pouget, J.P. Microscopic interactions in CuGeO3 and organic Spin-Peierls systems deduced from their pretransitional lattice fluctuations. Eur. Phys. J. B 2001, 20, 321–333, and 2001, 24, 415. [Google Scholar] [CrossRef]
- Citro, R.; Orignac, E.; Giamarchi, T. Adiabatic-antiadiabatic crossover in a spin-Peierls chain. Phys. Rev. B 2005, 72, 024434. [Google Scholar] [CrossRef]
- Weiβe, A.; Hager, G.; Bishop, A.R.; Fehske, H. Phase diagram of the spin-Peierls chain with local coupling: Density-matrix renormalization-group calculations and unitary transformations. Phys. Rev. B 2006, 74, 214426. [Google Scholar]
- Liu, Q.; Ravy, S.; Pouget, J.P.; Coulon, C.; Bourbonnais, C. Structural fluctuations and spin-Peierls transitions revisited. Synth. Met. 1993, 55–57, 1840–1845. [Google Scholar] [CrossRef]
- Eggert, S.; Affleck, I.; Takahashi, M. Susceptibility of the Spin 1/2 Heisenberg Antiferromagnetic Chain. Phys. Rev. Lett. 1994, 73, 332–335. [Google Scholar] [CrossRef] [PubMed]
- Gama, V. O Papel das Cadeias Conductoras e das Cadeias Magnéticas nos Compostos da Familia Perx[M(mnt)2] (x = 2, M = Cu, Ni, Co e Fe; x = 1, M = Co). Thesis, Universidade Técnica de Lisboa, Lisbon, Portugal, 1993. [Google Scholar]
- Alcacer, L.; Maki, A.H. Magnetic Properties of Some Electrically Conducting Perylene-Metal Dithiolate Complexes. J. Phys. Chem. 1976, 80, 1912–1916. [Google Scholar] [CrossRef]
- Gulácsi, M. The one-dimensional Kondo lattice model at partial band filling. Adv. Phys. 2004, 53, 769–937. [Google Scholar] [CrossRef]
- Nomura, K.; Okamoto, K. Critical properties of S = 1/2 antiferromagnetic XXZ chain with next-nearest-neighbour-interactions. J. Phys. A Math. Gen. 1994, 27, 5773–5788. [Google Scholar] [CrossRef]
- Augier, D.; Poilblanc, D. Dynamical properties of low-dimensional CuGeO3 and NaV2O5 spin-Peierls systems. Eur. Phys. J. B 1998, 1, 19–28. [Google Scholar] [CrossRef]
- Watanabe, S.; Yokoyama, H. Transition from Haldane Phase to Spin Liquid and Incommensurate Correlation in Spin-1/2 Heisenberg chains. J. Phys. Soc. Jpn. 1999, 68, 2073–2097. [Google Scholar] [CrossRef]
- Coqblin, B.; Nüňez-Reigeiro, M.D.; Theumann, A.; Iglesias, J.R.; Magalhães, S.G. Theory of the Kondo lattice: competition between Kondo effect and magnetic order. Philos. Mag. 2006, 86, 2567–2580. [Google Scholar] [CrossRef]
- Kondo, J. Resistance Minimum in Dilute Magnetic Alloys. Prog. Theor. Phys. 1964, 32, 37–49. [Google Scholar] [CrossRef]
- Quirion, G.; Poirier, M.; Liou, K.K.; Ogawa, M.; Hoffman, B.M. Possibility of a one-dimensional Kondo system in the alloys of CuxNil-x (Phtalocyaninato)I. J. Phys. (Paris) Colloq. 1988, 49, C8-1475–C8-1476. [Google Scholar] [CrossRef]
- Foury-Leylekian, P.; Leininger, P.; Ilakovac, V.; Joly, Y.; Bernu, S.; Fagot, S.; Pouget, J.P. Ground state of the quasi-1D correlated correlated electronic system BaVS3. Physics B 2012, 407, 1692–1695. [Google Scholar] [CrossRef]
- Tsunetsugu, H.; Sigrist, M.; Ueda, K. The ground-state phase diagram of the one-dimensional Kondo lattice model. Rev. Mod. Phys. 1997, 69, 809–863. [Google Scholar] [CrossRef]
- Xavier, J.C.; Pereira, R.G.; Miranda, E.; Affleck, I. Dimerization Induced by the RKKY Interaction. Phys. Rev. Lett. 2003, 90, 247204. [Google Scholar] [CrossRef] [PubMed]
- Becca, F.; Mila, F.; Poilblanc, D. Teramerization of a frustrated spin-1/2 chain. Phys. Rev. Lett. 2003, 91, 067202. [Google Scholar] [CrossRef] [PubMed]
- Pouget, J.P.; Ravy, S. Structural Aspects of the Bechgaard Salts and Related Compounds. J. Phys. I Fr. 1996, 6, 1501–1525. [Google Scholar] [CrossRef]
- Pouget, J.P.; Ravy, S. X-ray evidence of charge density wave modulations in the magnetic phases of (TMTSF)2PF6 and (TMTTF)2Br. Synth. Met. 1997, 85, 1523–1528. [Google Scholar] [CrossRef]










| Compound | Donor Stacking | TP (K) | BOW Pre-Transitional Fluctuations | Tρ (K) | TPMF (K) |
|---|---|---|---|---|---|
| Per2[Cu(mnt)2] | Uniform | 32 | not observed | 40 | 66 |
| Per2[Au(mnt)2] | Uniform | 12 | not observed | 16 | 11.5 |
| Per2[Fe(mnt)2] | Dimerized a | 73 | 3D ≤ 80 K | 180 | 165 |
| Per2[Co(mnt)2] | Dimerized a | 58 | 3D ≤ 65 K | 160 | 200 |
| (CPP)2PF6 + CH2Cl2 | Uniform? b | 158 | 1D above RT | >300 | ? |
| (CPP)2AsF6 + CH2Cl2 | Uniform? b | 170 | 1D above RT | ? | ? |
| (TMP)2PF6 + CH2Cl2 | 4kF site CDW c | <20 | 1D ≤ 210 K | >300 | ? |
| (TMP)2AsF6 + CH2Cl2 | 4kF site CDW c | <20 | 1D ≤ 200 K | ? | ? |
| (FA)2 PF6 | Dimerized | 180 | 1D above RT | >300 | 400–600 |
| Per2[M(mnt)2] | TP/TSP (K) | b*/4 Peierls Modulation | b*/2 spin-Peierls Modulation | Tρ (K) | 1D SP Fluctuations |
|---|---|---|---|---|---|
| M = Pt | 8.2/”7.5” | not observed | SRO in all directions | 18 | ≤30 K |
| M = Ni | 25/”25–45” | LRO | SRO in all directions | 50 | ≤100 K |
| M = Pd | 28/28 | not observed | LRO | 50–80 | ≤100 K |
© 2017 by the authors. Licensee MDPI, Basel, Switzerland. This article is an open access article distributed under the terms and conditions of the Creative Commons Attribution (CC BY) license ( http://creativecommons.org/licenses/by/4.0/).
Share and Cite
Pouget, J.-P.; Foury-Leylekian, P.; Almeida, M. Peierls and Spin-Peierls Instabilities in the Per2[M(mnt)2] Series of One-Dimensional Organic Conductors; Experimental Realization of a 1D Kondo Lattice for M = Pd, Ni and Pt. Magnetochemistry 2017, 3, 13. https://doi.org/10.3390/magnetochemistry3010013
Pouget J-P, Foury-Leylekian P, Almeida M. Peierls and Spin-Peierls Instabilities in the Per2[M(mnt)2] Series of One-Dimensional Organic Conductors; Experimental Realization of a 1D Kondo Lattice for M = Pd, Ni and Pt. Magnetochemistry. 2017; 3(1):13. https://doi.org/10.3390/magnetochemistry3010013
Chicago/Turabian StylePouget, Jean-Paul, Pascale Foury-Leylekian, and Manuel Almeida. 2017. "Peierls and Spin-Peierls Instabilities in the Per2[M(mnt)2] Series of One-Dimensional Organic Conductors; Experimental Realization of a 1D Kondo Lattice for M = Pd, Ni and Pt" Magnetochemistry 3, no. 1: 13. https://doi.org/10.3390/magnetochemistry3010013
APA StylePouget, J.-P., Foury-Leylekian, P., & Almeida, M. (2017). Peierls and Spin-Peierls Instabilities in the Per2[M(mnt)2] Series of One-Dimensional Organic Conductors; Experimental Realization of a 1D Kondo Lattice for M = Pd, Ni and Pt. Magnetochemistry, 3(1), 13. https://doi.org/10.3390/magnetochemistry3010013

