A Family of Lanthanoid Dimers with Nitroanilato Bridges
Abstract
:1. Introduction
2. Results and Discussion
2.1. Syntheses of the Complexes
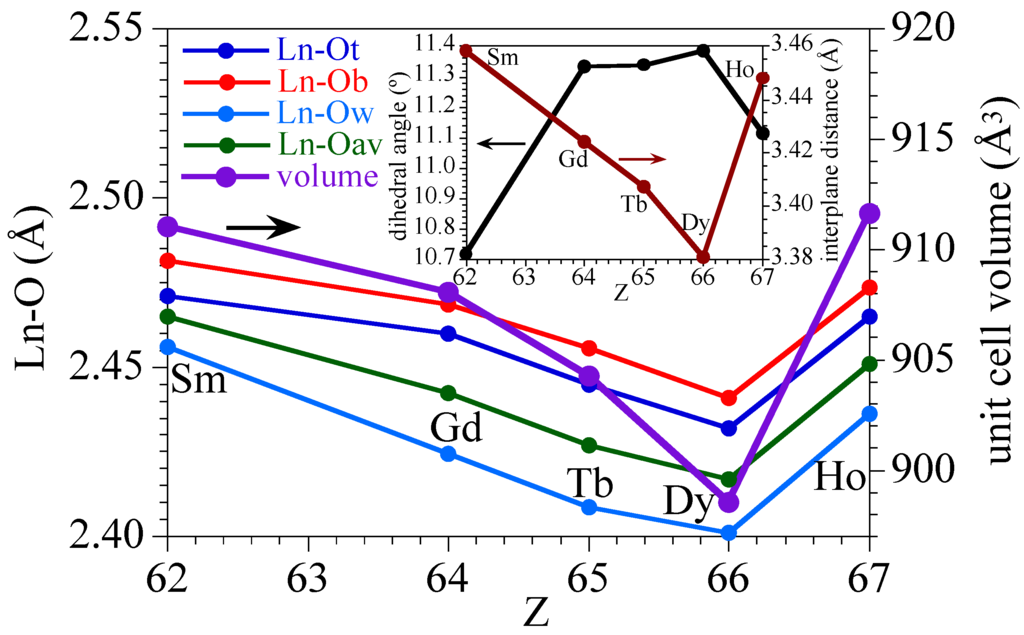
2.2. Description of the Structures
2.3. Magnetic Properties
2.4. Luminescence Properties
3. Experimental Section
3.1. Starting Materials
3.2. Synthesis of [Sm2(C6O4(NO2)2)3(H2O)10]·6H2O (1)
3.3. Synthesis of [Ln2(C6O4(NO2)2)3(H2O)10]·6H2O, Ln = Gd (2), Tb (3), Dy (4), Ho (5) and Er (6)
3.4. Physical Measurements
3.5. Crystallographic Data Collection and Refinement
3.6. Luminescence Measurements
4. Conclusions
Supplementary Materials
Acknowledgments
Author Contributions
Conflicts of Interest
References
- Atzori, M.; Benmansour, S.; Mínguez Espallargas, G.; Clemente-León, M.; Abhervé, A.; Gómez-Claramunt, P.; Coronado, E.; Artizzu, F.; Sessini, E.; Deplano, P.; et al. A Family of Layered Chiral Porous Magnets Exhibiting Tunable Ordering Temperatures. Inorg. Chem. 2013, 52, 10031–10040. [Google Scholar] [CrossRef] [PubMed]
- Weng, D.; Wang, Z.; Gao, S. Framework-Structured Weak Ferromagnets. Chem. Soc. Rev. 2011, 40, 3157–3181. [Google Scholar] [CrossRef] [PubMed]
- Huang, Y.; Jiang, F.; Hong, M. Magnetic lanthanide–transition-Metal organic–inorganic Hybrid Materials: From Discrete Clusters to Extended Frameworks. Coord. Chem. Rev. 2009, 253, 2814–2834. [Google Scholar] [CrossRef]
- Givaja, G.; Amo-Ochoa, P.; Gómez-García, C.J.; Zamora, F. Electrical Conductive Coordination Polymers. Chem. Soc. Rev. 2012, 41, 115–147. [Google Scholar] [CrossRef] [PubMed]
- Rocha, J.; Carlos, L.D.; Paz, F.A.A.; Ananias, D. Luminescent Multifunctional Lanthanides-Based Metal-Organic Frameworks. Chem. Soc. Rev. 2011, 40, 926–940. [Google Scholar] [CrossRef] [PubMed]
- Allendorf, M.D.; Bauer, C.A.; Bhakta, R.K.; Houk, R.J.T. Luminescent Metal-Organic Frameworks. Chem. Soc. Rev. 2009, 38, 1330–1352. [Google Scholar] [CrossRef] [PubMed]
- Coronado, E.; Galán-Mascarós, J.R.; Gómez-García, C.J.; Laukhin, V. Coexistence of Ferromagnetism and Metallic Conductivity in a Molecule-Based Layered Compound. Nature 2000, 408, 447–449. [Google Scholar] [CrossRef] [PubMed]
- Graham, A.W.; Kurmoo, M.; Day, P. β″-(bedt-ttf)4[(H2O)Fe(C2O4)3]·PhCN: The First Molecular Superconductor Containing Paramagnetic Metal Ions. J. Chem. Soc. Chem. Commun. 1995, 20, 2061–2062. [Google Scholar] [CrossRef]
- Coronado, E.; Gómez-García, C.J.; Nuez, A.; Romero, F.M.; Waerenborgh, J.C. Synthesis, Chirality, and Magnetic Properties of Bimetallic Cyanide-Bridged Two-Dimensional Ferromagnets. Chem. Mater. 2006, 18, 2670–2681. [Google Scholar] [CrossRef]
- Coronado, E.; Gómez-García, C.J.; Nuez, A.; Romero, F.M.; Rusanov, E.; Stoeckli-Evans, H. Ferromagnetism and Chirality in Two-Dimensional Cyanide-Bridged Bimetallic Compounds. Inorg. Chem. 2002, 41, 4615–4617. [Google Scholar] [CrossRef] [PubMed]
- Kurmoo, M. Magnetic Metal-Organic Frameworks. Chem. Soc. Rev. 2009, 38, 1353–1379. [Google Scholar] [CrossRef] [PubMed]
- Newton, G.N.; Nihei, M.; Oshio, H. Cyanide-Bridged Molecular Squares: The Building Units of Prussian Blue. Eur. J. Inorg. Chem. 2011, 2011, 3031–3042. [Google Scholar] [CrossRef]
- Biswas, S.; Gómez-García, C.J.; Clemente-Juan, J.M.; Benmansour, S.; Ghosh, A. Supramolecular 2D/3D Isomerism in a Compound Containing Heterometallic CuII2CoII Nodes and Dicyanamide Bridges. Inorg. Chem. 2014, 53, 2441–2449. [Google Scholar] [CrossRef] [PubMed]
- Turner, D.R.; Chesman, A.S.R.; Murray, K.S.; Deacon, G.B.; Batten, S.R. The Chemistry and Complexes of Small Cyano Anions. Chem. Commun. 2011, 47, 10189–10210. [Google Scholar] [CrossRef] [PubMed]
- Batten, S.R.; Murray, K.S. Structure and Magnetism of Coordination Polymers Containing Dicyanamide and Tricyanomethanide. Coord. Chem. Rev. 2003, 246, 103–130. [Google Scholar] [CrossRef]
- Bhowmik, P.; Biswas, S.; Chattopadhyay, S.; Diaz, C.; Gómez-García, C.J.; Ghosh, A. Synthesis, Crystal Structure and Magnetic Properties of Two Alternating Double μ1,1 and μ1,3 Azido Bridged Cu(II) and Ni(II) Chains. Dalton Trans. 2014, 43, 12414–12421. [Google Scholar] [CrossRef] [PubMed]
- Adhikary, C.; Koner, S. Structural and Magnetic Studies on Copper(II) Azido Complexes. Coord. Chem. Rev. 2010, 254, 2933–2958. [Google Scholar] [CrossRef]
- Escuer, A.; Aromí, G. Azide as a Bridging Ligand and Magnetic Coupler in Transition Metal Clusters. Eur. J. Inorg. Chem. 2006, 2006, 4721–4736. [Google Scholar] [CrossRef]
- Escuer, A.; Esteban, J.; Perlepes, S.P.; Stamatatos, T.C. The Bridging Azido Ligand as a Central Player in High-Nuclearity 3d-Metal Cluster Chemistry. Coord. Chem. Rev. 2014, 275, 87–129. [Google Scholar] [CrossRef]
- Gu, Z.; Zuo, J.; You, X. A Three-Dimensional Ferromagnet Based on Linked Copper-Azido Clusters. Dalton Trans. 2007, 4067–4072. [Google Scholar] [CrossRef] [PubMed]
- Tamaki, H.; Zhong, Z.J.; Matsumoto, N.; Kida, S.; Koikawa, M.; Achiwa, N.; Hashimoto, Y.; Okawa, H. Design of Metal-Complex Magnets. Syntheses and Magnetic Properties of Mixed-Metal Assemblies {NBu4[MCr(ox)3]}x (NBu4+ = Tetra(n-Butyl)Ammonium Ion; ox2− = Oxalate Ion; M = Mn2+, Fe2+, Co2+, Ni2+, Cu2+, Zn2+). J. Am. Chem. Soc. 1992, 114, 6974–6979. [Google Scholar] [CrossRef]
- Kumar, G.; Gupta, R. Molecularly Designed Architectures—The Metalloligand Way. Chem. Soc. Rev. 2013, 42, 9403–9453. [Google Scholar] [CrossRef] [PubMed]
- Das, L.K.; Gómez-García, C.J.; Drew, M.G.B.; Ghosh, A. Playing with Different Metalloligands [NiL] and Hg to [NiL] Ratios to Tune the Nuclearity of Ni(II)–Hg(II) Complexes: Formation of Di-, Tri-, Hexa- and Nona-Nuclear Ni–Hg Clusters. Polyhedron 2015, 87, 311–320. [Google Scholar] [CrossRef]
- Das, L.K.; Gómez-García, C.; Ghosh, A. Influence of the Central Metal Ion in Controlling the Self-Assembly and Magnetic Properties of 2D Coordination Polymers Derived from [(NiL)2M]2+ Nodes (M = Ni, Zn and Cd) (H2L = Salen-Type Di-Schiff Base) and Dicyanamide Spacers. Dalton Trans. 2015, 44, 1292–1302. [Google Scholar] [CrossRef] [PubMed]
- Kitagawa, S.; Kawata, S. Coordination Compounds of 1,4-Dihydroxybenzoquinone and its Homologues. Structures and Properties. Coord. Chem. Rev. 2002, 224, 11–34. [Google Scholar] [CrossRef]
- Ishikawa, N.; Sugita, M.; Ishikawa, T.; Koshihara, S.Y.; Kaizu, Y. Lanthanide Double-Decker Complexes Functioning as Magnets at the Single-Molecular Level. J. Am. Chem. Soc. 2003, 125, 8694–8695. [Google Scholar] [CrossRef] [PubMed]
- Benelli, C.; Gatteschi, D. Magnetism of Lanthanides in Molecular Materials with Transition-Metal Ions and Organic Radicals. Chem. Rev. 2002, 102, 2369–2387. [Google Scholar] [CrossRef] [PubMed]
- Roy, L.E.; Hughbanks, T. Magnetic Coupling in Dinuclear Gd Complexes. J. Am. Chem. Soc. 2006, 128, 568–575. [Google Scholar] [CrossRef] [PubMed]
- Sessoli, R.; Gatteschi, D.; Caneschi, A.; Novak, M. Magnetic Bistability in a Metal-Ion Cluster. Nature 1993, 365, 141–143. [Google Scholar] [CrossRef]
- Armelao, L.; Quici, S.; Barigelletti, F.; Accorsi, G.; Bottaro, G. Design of Luminescent Lanthanide Complexes: From Molecules to Highly Efficient Photo-Emitting Materials. Coord. Chem. Rev. 2010, 254, 487–505. [Google Scholar] [CrossRef]
- Guillou, O.; Daiguebonne, C.; Calvez, G.; Bernot, K. A Long Journey in Lanthanide Chemistry: From Fundamental Crystallogenesis Studies to Commercial Anticounterfeiting Taggants. Acc. Chem. Res. 2016, 49, 844–856. [Google Scholar] [CrossRef] [PubMed]
- Li, B.; Wen, H.; Cui, Y.; Qian, G.; Chen, B. Multifunctional Lanthanide Coordination Polymers. Prog. Polym. Sci. 2015, 48, 40–84. [Google Scholar] [CrossRef]
- Bünzli, J.G. On the Design of Highly Luminescent Lanthanide Complexes. Coord. Chem. Rev. 2015, 293–294, 19–47. [Google Scholar] [CrossRef]
- Song, X.; Song, S.; Zhang, H. (Eds.) Luminescent Lanthanide Metal–Organic Frameworks. In Lanthanide Metal–Organic Frameworks; Springer-Verlag: Heidelberg, Germany, 2014; pp. 109–144.
- Binnemans, K. Interpretation of Europium(III) Spectra. Coord. Chem. Rev. 2015, 295, 1–45. [Google Scholar] [CrossRef]
- Bunzli, J.C.; Piguet, C. Taking Advantage of Luminescent Lanthanide Ions. Chem. Soc. Rev. 2005, 34, 1048–1077. [Google Scholar] [CrossRef] [PubMed]
- Moore, E.G.; Samuel, A.P.; Raymond, K.N. From Antenna to Assay: Lessons Learned in Lanthanide Luminescence. Acc. Chem. Res. 2009, 42, 542–552. [Google Scholar] [CrossRef] [PubMed]
- Wu, J.; Zhang, H.; Du, S. Tunable Luminescence and White Light Emission of Mixed lanthanide–organic Frameworks Based on Polycarboxylate Ligands. J. Mater. Chem. C 2016, 4, 3364–3374. [Google Scholar] [CrossRef]
- Uh, H.; Petoud, S. Novel Antennae for the Sensitization of Near Infrared Luminescent Lanthanide Cations. C. R. Chim. 2010, 13, 668–680. [Google Scholar] [CrossRef]
- Abrahams, B.F.; Coleiro, J.; Ha, K.; Hoskins, B.F.; Orchard, S.D.; Robson, R. Dihydroxybenzoquinone and Chloranilic Acid Derivatives of Rare Earth Metals. J. Chem. Soc. Dalton Trans. 2002, 1586–1594. [Google Scholar] [CrossRef]
- Benmansour, S.; Gómez-García, C.J. A Heterobimetallic Anionic 3,6-Connected 2D Coordination Polymer Based on Nitroanilate as Ligand. Polymers 2016, 8, 89. [Google Scholar] [CrossRef]
- Bock, H.; Nick, S.; Nather, C.; Bats, J. Structures of Charge-Perturbed Molecules. 47 Disodium and Dipotassium Nitranilates-the Cyanine Distorsion of the Six-Membered Carbon Ring. Z. Naturforsch. B Chem. Sci. 1994, 49, 1021–1030. [Google Scholar] [CrossRef]
- Robl, C. Complexes with Substituted 2,5-Dihydroxy-Para-Benzoquinones Ca[C6(NO2)2O4]·4H2O, Sr[C6(NO2)2O4]·4H2O. Z. Naturforsch. B Chem. Sci. 1987, 42, 972–976. [Google Scholar]
- Robl, C.; Weiss, A. Complexes with Substituted 2,5-Dihydroxy-Para-Benzochinones ZnC6(NO2)2O4·2H2O. Z. Naturforsch. B Chem. Sci. 1986, 41, 1337–1340. [Google Scholar] [CrossRef]
- Cotton, F.A.; Murillo, C.A.; Villagran, D.; Yu, R. Uniquely Strong Electronic Communication between [Mo2] Units Linked by Dioxolene Dianions. J. Am. Chem. Soc. 2006, 128, 3281–3290. [Google Scholar] [CrossRef] [PubMed]
- Kabir, M.; Kawahara, M.; Adachi, K.; Kawata, S.; Ishii, T. One-Dimensional Manganese Assembled Compounds of Bromanilic Acid and Nitranilic Acid. Mol. Cryst. Liq. Cryst. 2002, 376, 65–70. [Google Scholar] [CrossRef]
- Benmansour, S.; Gómez-Claramunt, P.; Vallés-García, C.; Mínguez Espallargas, G.; Gómez García, C.J. Key Role of the Cation in the Crystallization of Chiral Tris(Anilato)Metalate Magnetic Anions. Cryst. Growth Des. 2016, 16, 518–526. [Google Scholar] [CrossRef]
- Benmansour, S.; Vallés-García, C.; Gómez-Claramunt, P.; Mínguez Espallargas, G.; Gómez-García, C.J. 2D and 3D Anilato-Based Heterometallic M(I)M(III) Lattices: The Missing Link. Inorg. Chem. 2015, 54, 5410–5418. [Google Scholar] [CrossRef] [PubMed]
- Jhu, Z.; Yang, C.; Lee, G. Two New Series of Rare-Earth Organic Frameworks Involving Two Structural Architectures: Syntheses, Structures and Magnetic Properties. CrystEngComm 2013, 15, 2456–2465. [Google Scholar] [CrossRef]
- Sorace, L.; Gatteschi, D. Electronic Structure and Magnetic Properties of Lanthanide Molecular Complexes. In Lanthanide and Actinides in Molecular Magnetism; Layfield, R.A., Murugesu, M., Eds.; Wiley-VCH Verlag GmbH & Co. KGaA: Weinheim, Geramny, 2015; Volume 1, pp. 1–25. [Google Scholar]
- Szostak, M.M.; Kozankiewicz, B.; Lipinski, J. Low-Temperature Photoluminescence of p-Nitroaniline and o-Methyl-p-Nitroaniline Crystals. Spectrochim. Acta A Mol. Biomol. Spectrosc. 2007, 67, 1412–1416. [Google Scholar] [CrossRef] [PubMed]
- Malinowski, M.; Frukacz, Z.; Szuflinska, M.; Wnuk, A.; Kaczkan, M. Optical Transitions of Ho3 in YAG. J. Alloys Compd. 2000, 300–301, 389–394. [Google Scholar] [CrossRef]
- Liu, L.; Zhang, N.; Leng, Z.; Liang, Y.; Li, R.; Zou, L.; Gan, S. Highly bright multicolour emission through energy migration in core/shell Nanotubes. Dalton Trans. 2015, 44, 6645–6654. [Google Scholar] [CrossRef] [PubMed]
- Huang, Y.; Gao, H.; Twamley, B.; Shreeve, J.M. Highly Dense Nitranilates-Containing Nitrogen-Rich Cations. Chem. Eur. J. 2009, 15, 917–923. [Google Scholar] [CrossRef] [PubMed]
- Bain, G.A.; Berry, J.F. Diamagnetic Corrections and Pascal’s Constants. J. Chem. Educ. 2008, 85, 532–536. [Google Scholar] [CrossRef]
- CrysAlisPro, Version 171.33.55; Oxford Diffraction Ltd.: Oxforshire, UK, 2004.
- Sheldrick, G.M. A Short History of SHELX. Acta Cryst. A 2008, 64, 112–122. [Google Scholar] [CrossRef] [PubMed]








| 1 | 2 | 3 | 4 | 5 | |
|---|---|---|---|---|---|
| Formula | C18H32N6 O40Sm2 | C18H32N6 O40Gd2 | C18H32N6 O40Tb2 | C18H32N6 O40Dy2 | C18H32N6 O40Ho2 |
| F. Wt. | 1273.20 | 1286.90 | 1290.31 | 1297.46 | 1302.32 |
| Space group | P-1 | P-1 | P-1 | P-1 | P-1 |
| Crystal system | Triclinic | Triclinic | Triclinic | Triclinic | Triclinic |
| a (Å) | 8.0077(3) | 8.0303(5) | 8.0175(5) | 7.9851(4) | 8.0448(5) |
| b (Å) | 10.7464(4) | 10.7457(7) | 10.7254(7) | 10.6978(5) | 10.7517(7) |
| c (Å) | 12.1755(5) | 12.1628(7) | 12.1377(8) | 12.1147(6) | 12.1739(9) |
| α (°) | 112.443(4) | 112.596(6) | 112.479(6) | 112.273(5) | 112.566(7) |
| β (°) | 99.977(3) | 100.577(5) | 100.477(5) | 100.339(4) | 100.498(6) |
| γ (°) | 101.730(3) | 101.737(6) | 101.785(5) | 101.870(4) | 101.758(5) |
| V/Å3 | 911.01(7) | 908.08(11) | 904.28(11) | 898.52(8) | 911.62(12) |
| Z | 1 | 1 | 1 | 1 | 1 |
| T (K) | 120 | 120 | 120 | 120 | 120 |
| ρcalc/g·cm−3 | 2.273 | 2.328 | 2.351 | 2.357 | 2.358 |
| μ/mm−1 | 3.340 | 3.770 | 4.030 | 4.277 | 4.458 |
| F(000) | 600 | 616 | 622 | 612 | 628 |
| R(int) | 0.0439 | 0.0231 | 0.0273 | 0.0397 | 0.0211 |
| θ range (deg) | 2.91–25.04 | 2.82–25.04 | 2.91–25.04 | 2.92–25.07 | 2.82–25.04 |
| Total reflections | 9815 | 5886 | 5967 | 10448 | 6076 |
| Unique reflections | 3215 | 3213 | 3202 | 3180 | 3219 |
| Data with I > 2σ(I) | 2911 | 2989 | 2928 | 3041 | 3036 |
| Nvar | 280 | 325 | 331 | 310 | 328 |
| R1 a on I > 2σ(I) | 0.0392 | 0.0275 | 0.0285 | 0.0242 | 0.0279 |
| wR2 b (all) | 0.0935 | 0.0578 | 0.0612 | 0.0597 | 0.0678 |
| GOF c on F2 | 1.076 | 1.056 | 1.048 | 1.081 | 1.082 |
| Δρmax (eÅ−3) | 2.859 | 0.865 | 1.103 | 1.413 | 1.425 |
| Δρmin (eÅ−3) | −1.340 | −0.596 | −0.654 | −0.685 | −0.623 |
| Atoms | Sm (1) | Gd (2) | Tb (3) | Dy (4) | Ho (5) |
|---|---|---|---|---|---|
| Ln–O2 | 2.490(4) | 2.441(3) | 2.420(3) | 2.455(3) | 2.482(3) |
| Ln–O3 | 2.453(4) | 2.479(3) | 2.470(3) | 2.409(3) | 2.448(3) |
| Ln–O12 | 2.480(5) | 2.459(3) | 2.450(3) | 2.442(3) | 2.466(3) |
| Ln–O13 | 2.483(4) | 2.478(3) | 2.461(3) | 2.440(3) | 2.481(3) |
| Ln–O1w | 2.483(5) | 2.429(3) | 2.414(3) | 2.403(3) | 2.440(4) |
| Ln–O2w | 2.459(5) | 2.463(4) | 2.434(3) | 2.326(3) | 2.464(4) |
| Ln–O3w | 2.390(5) | 2.433(3) | 2.334(3) | 2.421(3) | 2.439(4) |
| Ln–O4w | 2.480(5) | 2.453(3) | 2.411(4) | 2.421(3) | 2.367(4) |
| Ln–O5w | 2.469(6) | 2.345(3) | 2.450(3) | 2.435(3) | 2.471(3) |
| Ln–Oav | 2.465 | 2.442 | 2.427 | 2.417 | 2.451 |
| V (Å3) | 911.01(7) | 908.08(11) | 904.28(11) | 898.52(8) | 911.62(12) |
| θ (°) | 10.72 | 11.33 | 11.34 | 11.38 | 11.11 |
| Compound | Ln(III) | S | L | J | gJ a | χmTcalc b | χmTexp |
|---|---|---|---|---|---|---|---|
| 1 | Sm | 5/2 | 5 | 5/2 | 2/7 | 0.09 | 0.08 |
| 2 | Gd | 7/2 | 0 | 7/2 | 2 | 7.87 | 7.9 |
| 3 | Tb | 3 | 3 | 6 | 3/2 | 11.82 | 11.9 |
| 4 | Dy | 5/2 | 5 | 15/2 | 4/3 | 14.17 | 14.3 |
| 5 | Ho | 2 | 6 | 8 | 5/4 | 14.07 | 14.1 |
| 6 | Er | 3/2 | 6 | 15/2 | 6/5 | 11.48 | 11.4 |
© 2016 by the authors; licensee MDPI, Basel, Switzerland. This article is an open access article distributed under the terms and conditions of the Creative Commons Attribution (CC-BY) license (http://creativecommons.org/licenses/by/4.0/).
Share and Cite
Benmansour, S.; López-Martínez, G.; Canet-Ferrer, J.; Gómez-García, C.J. A Family of Lanthanoid Dimers with Nitroanilato Bridges. Magnetochemistry 2016, 2, 32. https://doi.org/10.3390/magnetochemistry2030032
Benmansour S, López-Martínez G, Canet-Ferrer J, Gómez-García CJ. A Family of Lanthanoid Dimers with Nitroanilato Bridges. Magnetochemistry. 2016; 2(3):32. https://doi.org/10.3390/magnetochemistry2030032
Chicago/Turabian StyleBenmansour, Samia, Gustavo López-Martínez, Josep Canet-Ferrer, and Carlos J. Gómez-García. 2016. "A Family of Lanthanoid Dimers with Nitroanilato Bridges" Magnetochemistry 2, no. 3: 32. https://doi.org/10.3390/magnetochemistry2030032
APA StyleBenmansour, S., López-Martínez, G., Canet-Ferrer, J., & Gómez-García, C. J. (2016). A Family of Lanthanoid Dimers with Nitroanilato Bridges. Magnetochemistry, 2(3), 32. https://doi.org/10.3390/magnetochemistry2030032

