Rational Control of Spin-Crossover Particle Sizes: From Nano- to Micro-Rods of [Fe(Htrz)2(trz)](BF4)
Abstract
:1. Introduction
2. Results and Discussion
2.1. Experimental Choices and Protocol
2.2. Morphologies and Sizes of the [Fe(Htrz)2(trz)](BF4) Particles
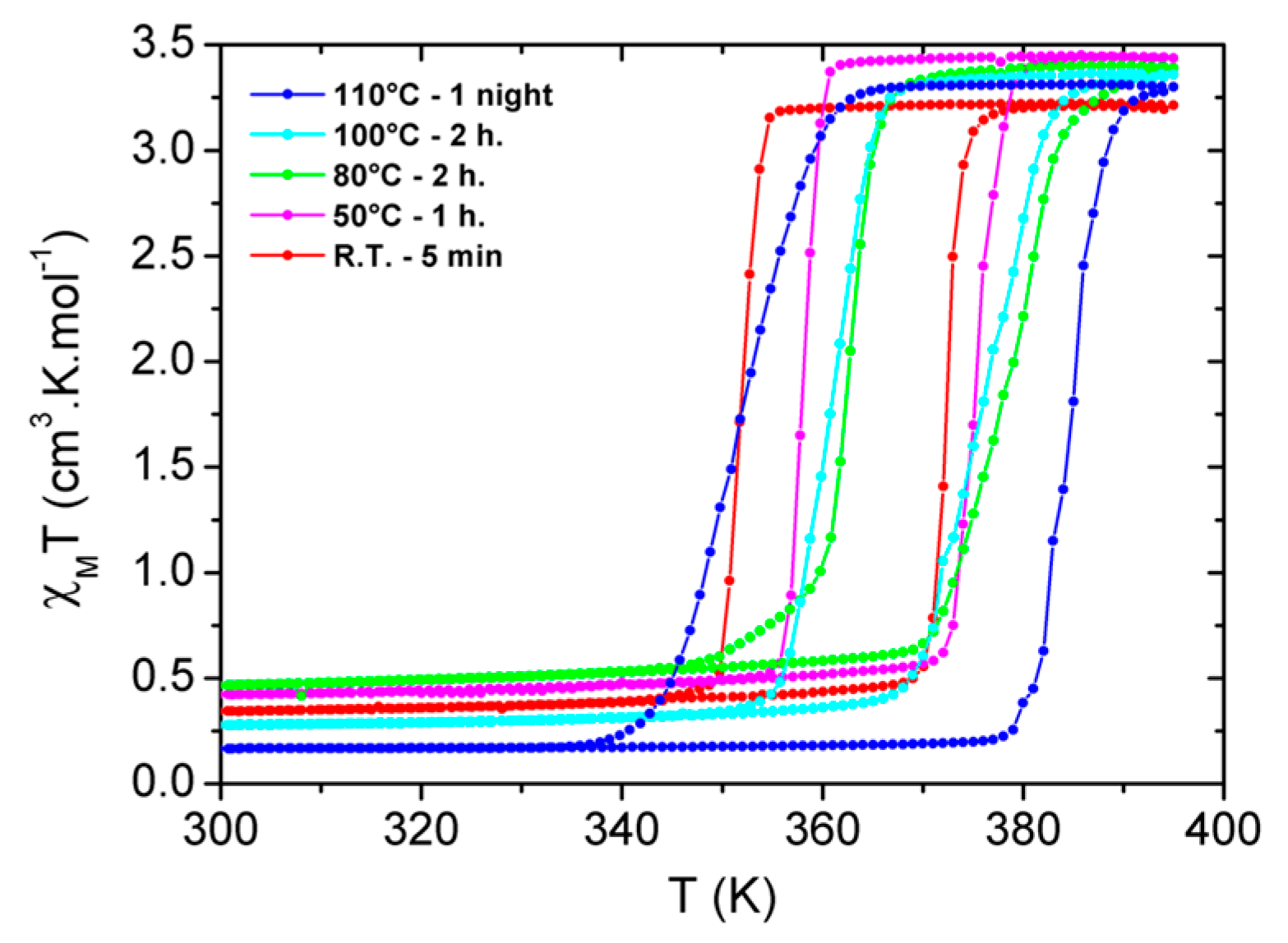
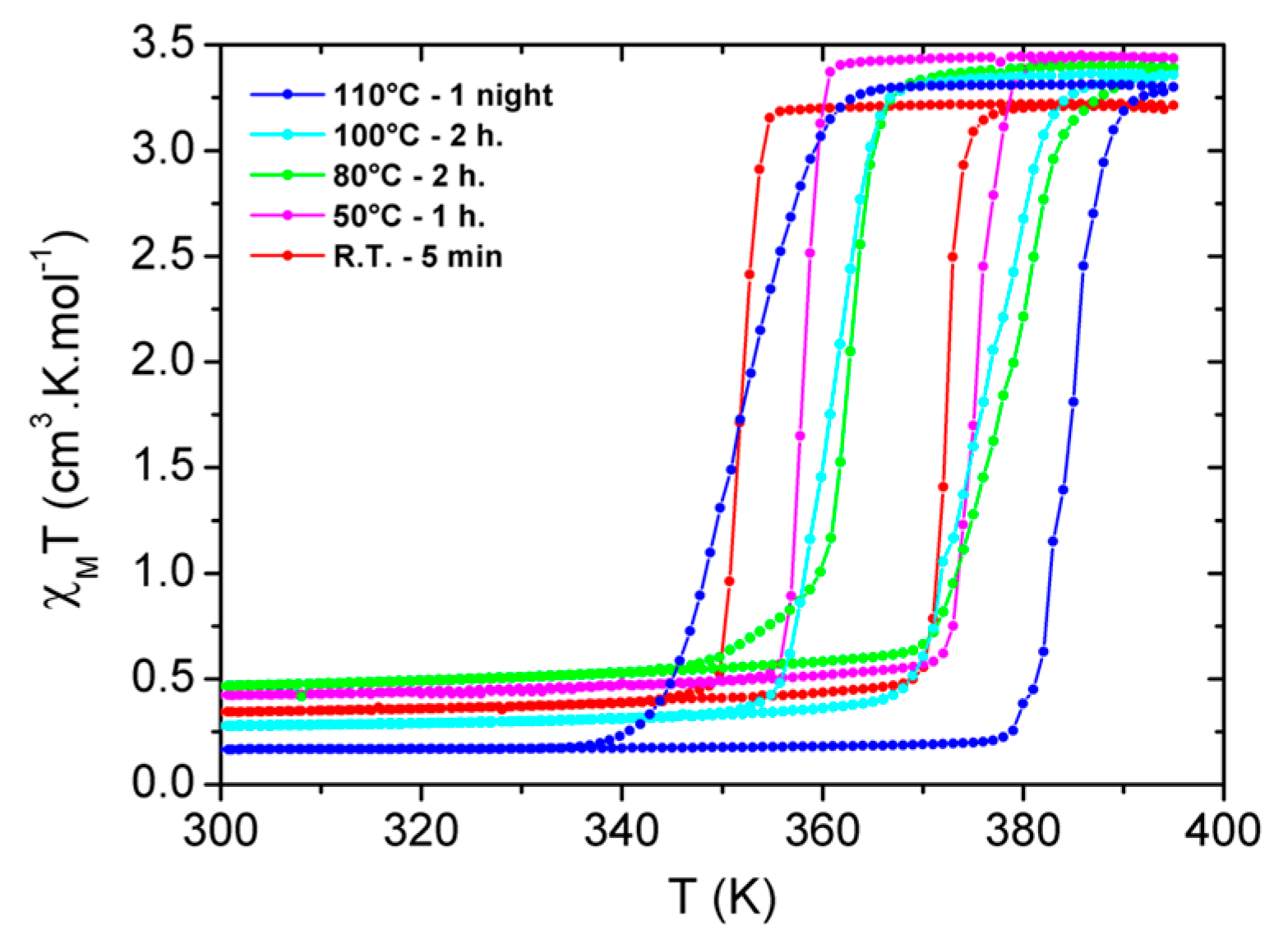
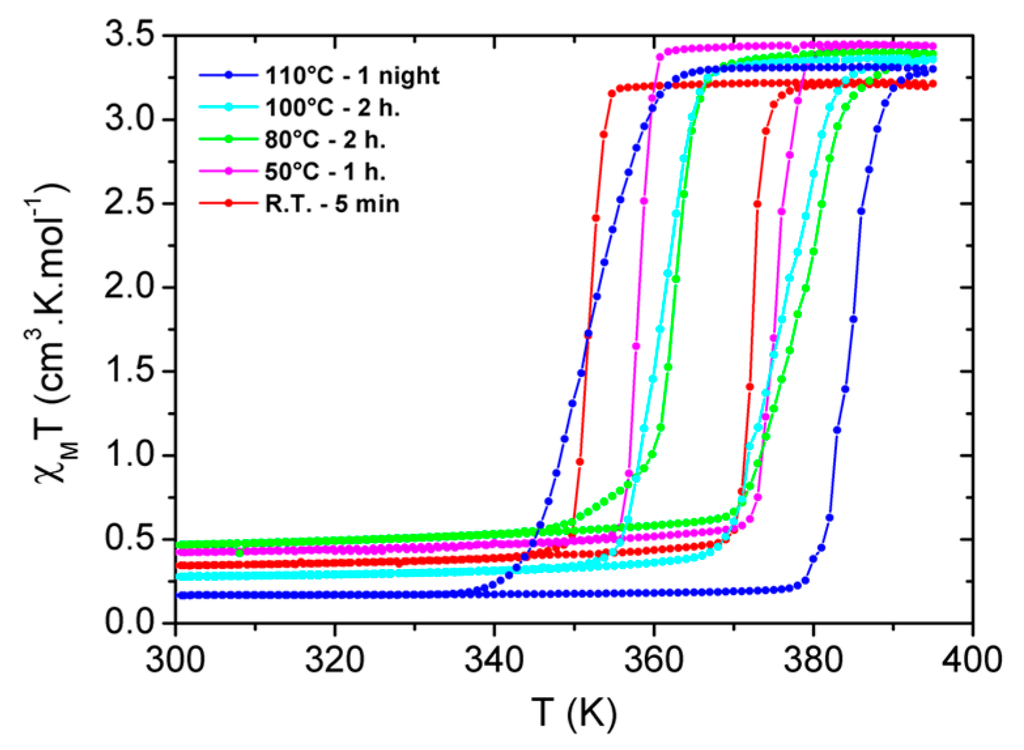
2.3. Magnetic Properties vs. Size of the Particles
2.4. Powder X-ray Diffraction
3. Experimental Details
3.1. Synthesis
3.2. TEM
3.3. Magnetic measurements
3.4. PXRD
4. Conclusions
Supplementary Files
Supplementary File 1Acknowledgments
Author Contributions
Conflicts of Interest
References
- Gütlich, P.; Goodwin, H.A. Spin crossover-An overall perspective. Top. Curr. Chem. 2004, 233, 1–47. [Google Scholar]
- Halcrow, M.A. (Ed.) Spin-Crossover Materials: Properties and Applications; John Wiley & Sons: Chichester, UK, 2013.
- Gütlich, P.; Gaspar, A.B.; Garcia, Y. Spin state switching in iron coordination compounds. Beilstein J. Org. Chem. 2013, 9, 342–391. [Google Scholar] [CrossRef] [PubMed]
- Aromí, G.; Barrios, L.A.; Roubeau, O.; Gamez, P. Triazoles and tetrazoles: Prime ligands to generate remarkable coordination materials. Coord. Chem. Rev. 2011, 255, 485–546. [Google Scholar] [CrossRef]
- Roubeau, O. Triazole-based one-dimensional spin-crossover coordination polymers. Chem. Eur. J. 2012, 18, 15230–15244. [Google Scholar] [CrossRef] [PubMed]
- Lavrenova, L.G.; Shakirova, O.G. Spin crossover and thermochromism of iron(II) coordination compounds with 1,2,4-triazoles and tris(pyrazol-1-yl)methanes. Eur. J. Inorg. Chem. 2013, 2013, 670–682. [Google Scholar] [CrossRef]
- Haasnoot, J.G.; Vos, G.; Groeneveld, W.L. 1,2,4-triazole complexes, III Complexes of transition metal(II) nitrates and fluoroborates. Z. Naturforschung 1977, 32b, 1421–1430. [Google Scholar] [CrossRef]
- Kahn, O.; Kröber, J.; Jay, C. Spin transition molecular materials for displays and data recording. Adv. Mater. 1992, 4, 718–728. [Google Scholar] [CrossRef]
- Kahn, O.; Jay Martinez, C. Spin-transition polymers: From molecular materials toward memory devices. Science 1998, 279, 44–48. [Google Scholar] [CrossRef]
- Létard, J.F.; Guionneau, P.; Goux-Capes, L. Towards spin crossover applications. Top. Curr. Chem. 2004, 235, 221–249. [Google Scholar]
- Linares, J.; Codjovi, E.; Garcia, Y. Pressure and temperature spin crossover sensors with optical detection. Sensors 2012, 12, 4479–4492. [Google Scholar] [CrossRef] [PubMed]
- Gentili, D.; Demitri, N.; Schäfer, B.; Liscio, F.; Bergenti, I.; Ruani, G.; Ruben, M.; Cavallini, M. Multi-modal sensing in spin crossover compounds. J. Mater. Chem. C 2015, 3, 7836–7844. [Google Scholar] [CrossRef]
- Shepherd, H.J.; Molnár, G.; Nicolazzi, W.; Salmon, L.; Bousseksou, A. Spin crossover at the nanometer scale. Eur. J. Inorg. Chem. 2013, 2013, 653–661. [Google Scholar] [CrossRef]
- Martinho, P.N.; Rajnak, C.; Ruben, M. Nanoparticles, thin films and surface patterns from spin-cross-over materials and electrical spin state control. In Spin-Crossover Materials: Properties and Applications, 1st ed.; Halcrow, M.A., Ed.; John Wiley & Sons: Chichester, UK, 2013; pp. 375–404. [Google Scholar]
- Quintero, C.M.; Gural’skiy, I.A.; Salmon, L.; Molnár, G.; Bergaud, C.; Bousseksou, A. Soft lithographic patterning of spin crossover complexes. Part 1: Fluorescent dectection of the spin transition in single nano-objects. J. Mater. Chem. 2012, 22, 3745–3751. [Google Scholar] [CrossRef]
- Seredyuk, M.; Gaspar, A.B.; Ksenofontov, V.; Reiman, S.; Galyametdinov, Y.; Haase, W.; Rentschler, E.; Gütlich, P. Room temperature operational thermochromic liquid crystals. Chem. Mater. 2006, 18, 2513–2519. [Google Scholar] [CrossRef]
- Faulmann, C.; Chahine, J.; Malfant, I.; Caro, D.; Cormary, B.; Valade, L. A facile route for the preparation of nanoparticles of the spin-crossover complex [Fe(Htrz)2(trz)](BF4) in xerogel transparent composite film. Dalton Trans. 2011, 40, 2480–2485. [Google Scholar] [CrossRef] [PubMed]
- Herrera, J.M.; Titos-Padilla, S.; Pope, S.J.A.; Berlanga, I.; Zamora, F.; Delgado, J.J.; Kamenev, K.V.; Wang, X.; Prescimone, A.; Brechin, E.K.; et al. Studies on bifunctional Fe(II)-triazole spin crossover nanoparticles: Time-dependent luminescence, surface grafting and the effect of silica shell and hydrostatic pressure on the magnetic properties. J. Mater. Chem. C 2015, 3, 7819–7829. [Google Scholar] [CrossRef]
- Létard, J.F.; Daro, N.; Nguyen, O. Nanoparticles of a spin transition compound. Patent WO2007/065996, 14 June 2007. [Google Scholar]
- Forestier, T.; Mornet, S.; Daro, N.; Nishihara, T.; Mouri, S.I.; Tanaka, K.; Fouché, O.; Freysz, E.; Létard, J.F. Nanoparticles of iron(II) spin-crossover. Chem. Commun. 2008, 4327–4329. [Google Scholar] [CrossRef] [PubMed]
- Coronado, E.; Galán-Mascarós, J.R.; Monrabal-Capilla, M.; Garciá-Martinez, J.; Pardo-Ibañez, P. Bistable spin-crossover nanoparticles showing magnetic thermal hysteresis near room temperature. Adv. Mater. 2007, 19, 1359–1361. [Google Scholar] [CrossRef]
- Mader, D.; Pillet, S.; Carteret, C.; Stébé, M.J.; Blin, J.L. Confined growth of spin crossover nanoparticles in surfactant-based matrices: Enhancing shape anisotropy. J. Dispers. Sci. Sci. Technol. 2011, 32, 1771–1779. [Google Scholar] [CrossRef]
- Gural’skiy, I.A.; Quintero, C.M.; Molnár, G.; Fritsky, I.O.; Salmon, L.; Bousseksou, A. Synthesis of spin-crossover nano- and micro-objects in homogeneous media. Chem. Eur. J. 2012, 18, 9946–9954. [Google Scholar] [CrossRef] [PubMed]
- Forestier, T.; Kaiba, A.; Pechev, S.; Denux, D.; Guionneau, P.; Etrillard, C.; Daro, N.; Freysz, E.; Létard, J.F. Nanoparticles of [Fe(NH2-trz)3]Br2·3H2O (NH2-trz = 4-amino-1,2,4-triazole) prepared by the reverse micelle technique: Influence of particle and coherent domain size on spin-crossover properties. Chem. Eur. J. 2009, 15, 6122–6130. [Google Scholar] [CrossRef] [PubMed]
- Galán-Mascarós, J.R.; Coronado, E.; Forment-Aliaga, A.; Monrabal-Capilla, M.; Pinilla-Cienfuegos, E.; Ceolin, M. Tuning size and thermal hysteresis in bistable spin crossover nanoparticles. Inorg. Chem. 2010, 49, 5706–5714. [Google Scholar] [CrossRef] [PubMed]
- Tokarev, A.; Salmon, L.; Guari, Y.; Molnár, G.; Bousseksou, A. Synthesis of spin crossover nano-objects with different morphologies and properties. New J. Chem. 2011, 35, 2081–2088. [Google Scholar] [CrossRef]
- Kröber, J.; Audière, J.P.; Claude, R.; Codjovi, E.; Kahn, O.; Haasnoot, J.G.; Grolière, F.; Jay, C.; Bousseksou, A.; Linarès, J.; et al. Spin transitions and thermal hystereses in the molecular-based materials [Fe(Htrz)3](BF4)2·H2O (Htrz = 1,2,4-4H-triazole; 1,2,4-triazolato). Chem. Mater. 1994, 6, 1404–1412. [Google Scholar] [CrossRef]
- Grosjean, A.; Daro, N.; Pechev, S.; Moulet, L.; Etrillard, C.; Chastanet, G.; Guionneau, P. The spin-crossover phenomenon at the coherent-domains scale in 1D polymeric powders: Evidence for a structural fatigability. Eur. J. Inorg. Chem. 2016. [Google Scholar] [CrossRef]
- Pileni, M.P. Reverse Micelles; Elsevier: Amsterdam, The Netherlands, 1989. [Google Scholar]
- Tanford, C. Micelle shape and size. J. Phys. Chem. 1972, 76, 3020–3024. [Google Scholar] [CrossRef]
- Ganguli, A.K.; Ganguly, A.; Vaidya, S. Microemulsion-based synthesis of nanocrystalline materials. Chem. Soc. Rev. 2010, 39, 474–485. [Google Scholar] [CrossRef] [PubMed]
- Dwars, T.; Paetzold, E.; Oehme, G. Reactions in micellar systems. Angew. Chem. Int. Ed. 2005, 44, 7174–7199. [Google Scholar] [CrossRef] [PubMed]
- Paul, B.K.; Moulik, S.P. Uses and applications of microemulsions. Curr. Sci. 2001, 80, 990–1001. [Google Scholar]
- Etrillard, C. Synthèse de Nanoparticules à Transition de Spin et Étude des Propriétés.Application en Électronique Moléculaire. Ph.D. Thesis, University of Bordeaux, Talence, France, 2011. [Google Scholar]
- Bartual-Murgui, C.; Natividad, E.; Roubeau, O. Critical assessment of the nature and properties of Fe(II) triazole-based spin-crossover nanoparticles. J. Mater. Chem. C 2015, 3, 7916–7924. [Google Scholar] [CrossRef]
- Gimenez-Marqués, M.; Garcia-Sanz de Larrea, M.L.; Coronado, E. Unravelling the chemical design of spin-crossover nanoparticles based on iron(II)–triazole coordination polymers: Towards a control of the spin transition. J. Mater. Chem. C 2015, 3, 7946–7953. [Google Scholar] [CrossRef]
- Grosjean, A.; Négrier, P.; Bordet, P.; Etrillard, C.; Mondieig, D.; Pechev, S.; Lebraud, E.; Létard, J.F.; Guionneau, P. Crystal structures and spin crossover in the polymeric material [Fe(Htrz)2(trz)](BF4) including coherent-domain size reduction effects. Eur. J. Inorg. Chem. 2013, 796–802. [Google Scholar] [CrossRef]
- Durand, P.; Pillet, S.; Bendeif, E.E.; Carteret, C.; Bouazaoui, M.; El Hamzaoui, H.; Capoen, B.; Salmon, L.; Hébert, S.; Ghanbaja, J.; et al. Room temperature bistability with wide thermal hysteresis in a spin crossover silica nanocomposite. J. Mater. Chem. C 2013, 1, 1933–1942. [Google Scholar] [CrossRef]




© 2016 by the authors; licensee MDPI, Basel, Switzerland. This article is an open access article distributed under the terms and conditions of the Creative Commons by Attribution (CC-BY) license (http://creativecommons.org/licenses/by/4.0/).
Share and Cite
Moulet, L.; Daro, N.; Etrillard, C.; Létard, J.-F.; Grosjean, A.; Guionneau, P. Rational Control of Spin-Crossover Particle Sizes: From Nano- to Micro-Rods of [Fe(Htrz)2(trz)](BF4). Magnetochemistry 2016, 2, 10. https://doi.org/10.3390/magnetochemistry2010010
Moulet L, Daro N, Etrillard C, Létard J-F, Grosjean A, Guionneau P. Rational Control of Spin-Crossover Particle Sizes: From Nano- to Micro-Rods of [Fe(Htrz)2(trz)](BF4). Magnetochemistry. 2016; 2(1):10. https://doi.org/10.3390/magnetochemistry2010010
Chicago/Turabian StyleMoulet, Lucie, Nathalie Daro, Céline Etrillard, Jean-François Létard, Arnaud Grosjean, and Philippe Guionneau. 2016. "Rational Control of Spin-Crossover Particle Sizes: From Nano- to Micro-Rods of [Fe(Htrz)2(trz)](BF4)" Magnetochemistry 2, no. 1: 10. https://doi.org/10.3390/magnetochemistry2010010
APA StyleMoulet, L., Daro, N., Etrillard, C., Létard, J.-F., Grosjean, A., & Guionneau, P. (2016). Rational Control of Spin-Crossover Particle Sizes: From Nano- to Micro-Rods of [Fe(Htrz)2(trz)](BF4). Magnetochemistry, 2(1), 10. https://doi.org/10.3390/magnetochemistry2010010
