Effects of Exchange, Anisotropic, and External Field Couplings on a Nanoscale Spin-2 and Spin-3/2 System: A Thermomagnetic Analysis
Abstract
1. Introduction
2. Model and Computational Method
2.1. Model
2.2. Monte Carlo Simulations (MCSs)
3. Results and Discussion
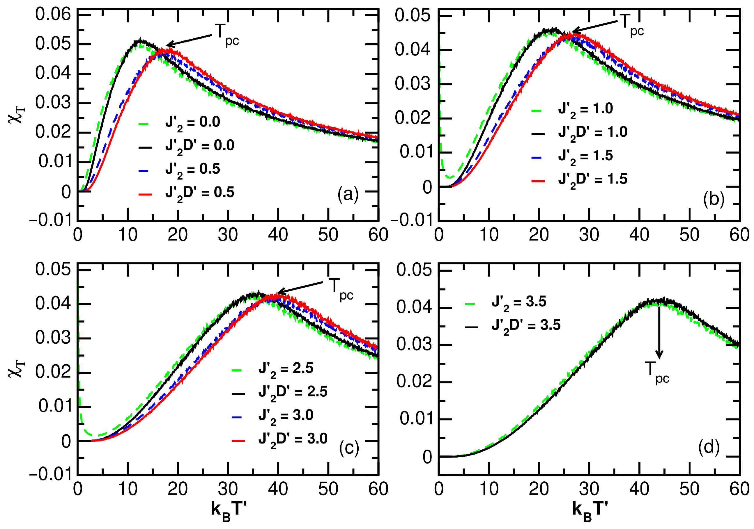
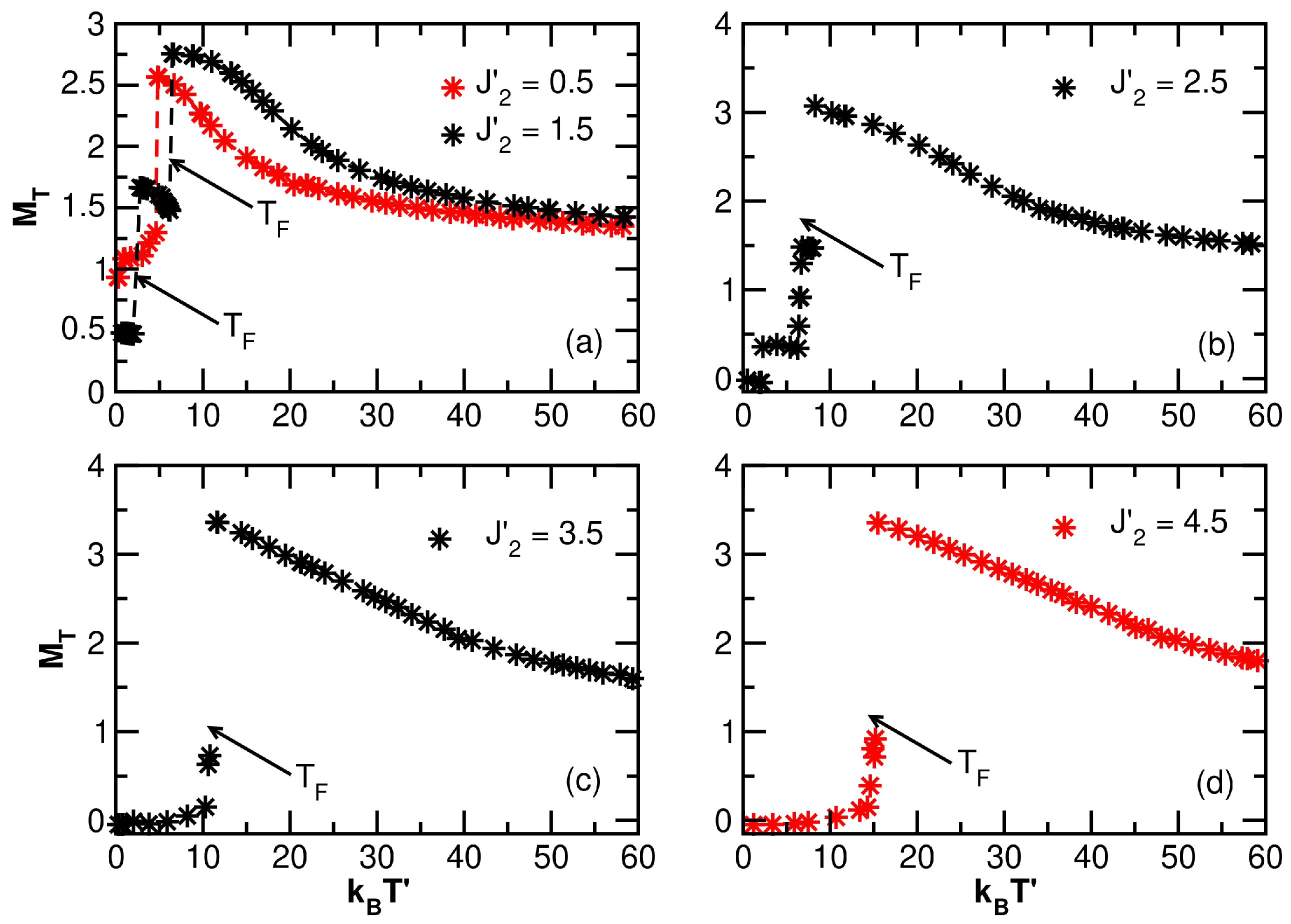
3.1. Exchange Effects
3.1.1. Model
3.2. Anisotropic Effects
3.2.1. Model
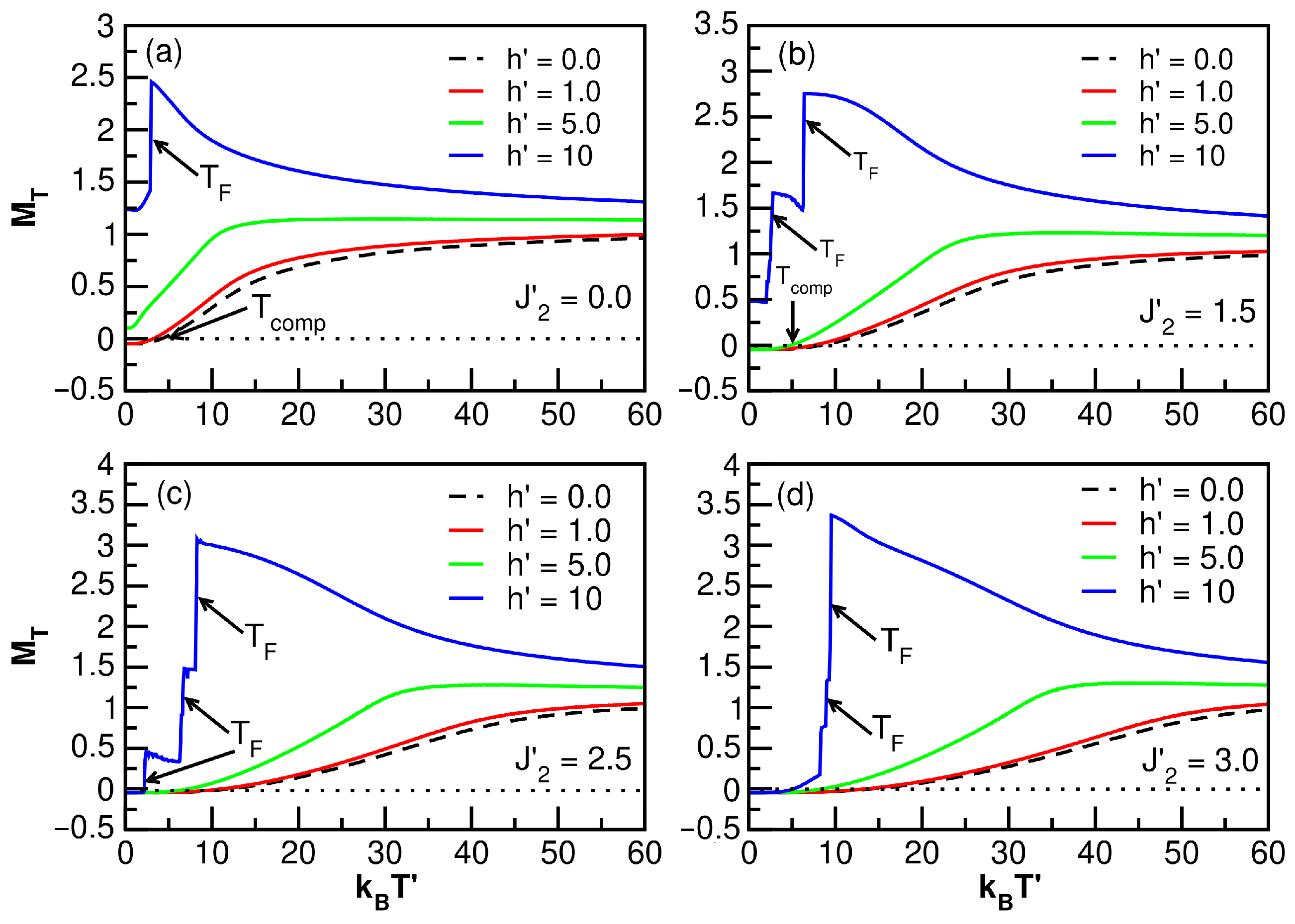
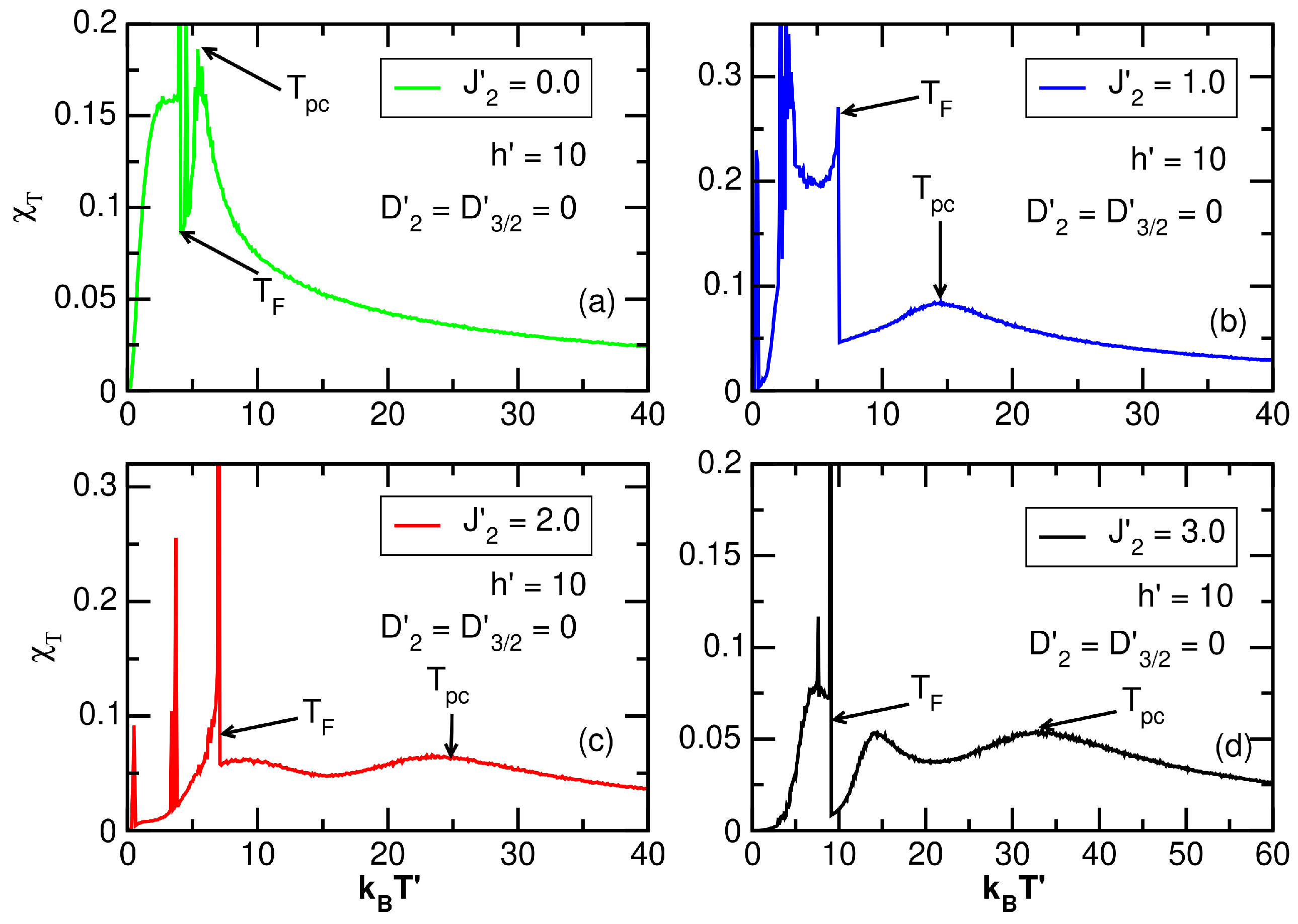
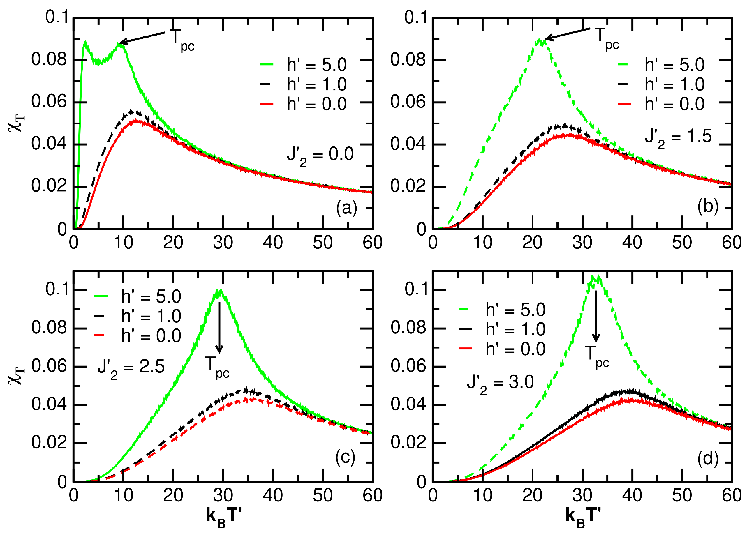
3.3. External Fields Effects
3.3.1. Model
3.3.2. Model
3.4. Thermal Effects
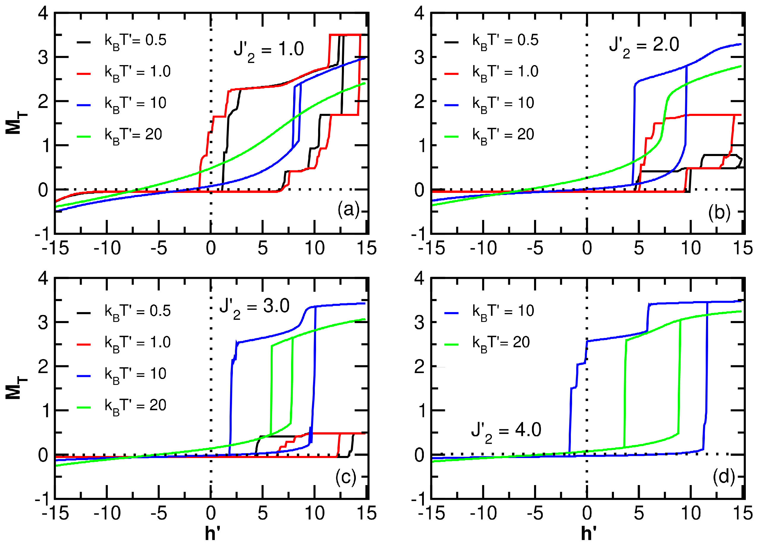
3.4.1. Model: Magnetic Hysteresis
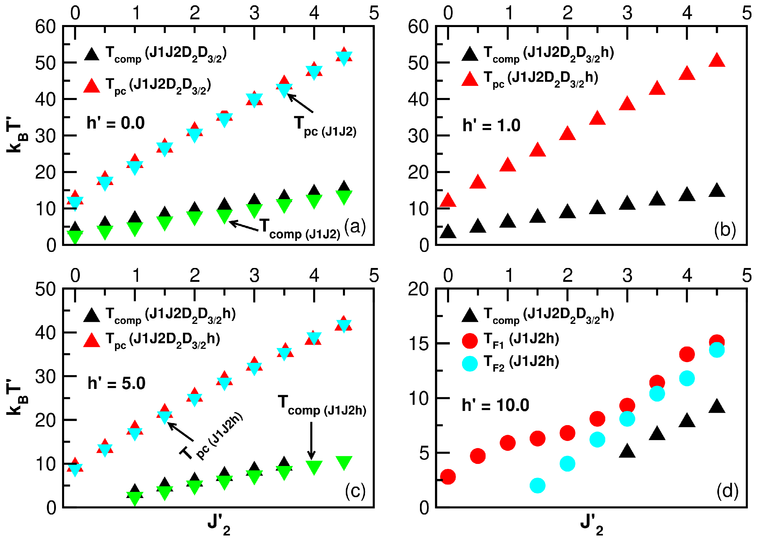
3.4.2. Exchange Effects on Temperature
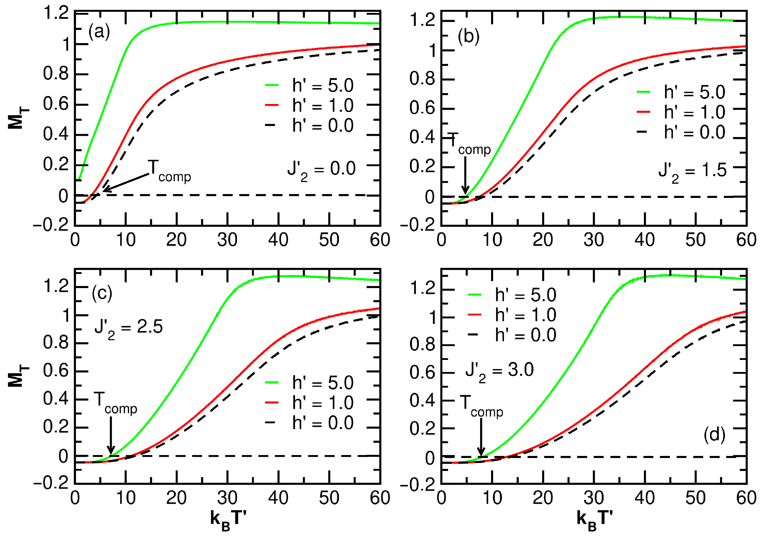
- In Figure 14a, in the absence of an external field, the pseudocritical and compensation temperatures are compared for the and models. For both models, and grow proportionally with . Furthermore, the presence of the and fields only slightly affects , leading to a slight increase, while the behavior of in both cases was similar.
- Figure 14b, with , proportional increases in and with respect to an increase in the ferromagnetic interaction can be seen for the model. Comparing this result to that in the absence of crystal fields (i.e., model), it can be seen that the behaviors of the temperatures and are analogous to those in Figure 14a. This confirms that the crystal fields only slightly affect .
- When increasing the external field to for the same models ( and ), as shown in Figure 14c, it is possible to establish that the direct proportionality between and is maintained with respect to . There is a similarity in the values, and the interval in which the system experiences compensation points when the anisotropic effect is not considered () is slightly widened.
- In the model for larger magnetic fields (), as shown in Figure 14d, although exists, it occurs in a larger and different range (, ) compared to the case in Figure 14c. The most relevant observation in this situation is the appearance of double possible sudden transitions, which are proportional to , when anisotropic couplings are not considered () in the model.
4. Conclusions
Author Contributions
Funding
Institutional Review Board Statement
Informed Consent Statement
Data Availability Statement
Acknowledgments
Conflicts of Interest
References
- Madera, J.C.; Restrepo-Parra, E.; De La Espriella, N. FeCo: Hysteresis, Pseudo-Critical, and Compensation Temperatures on Quasi-Spherical Nanoparticle. Nanomaterials 2025, 15, 320. [Google Scholar] [CrossRef] [PubMed]
- Zhao, G.; Wang, L.; Liu, H. High-Performance Magnetic Materials: Fe-Co Alloys and Their Applications. J. Appl. Phys. 2012, 112, 103908. [Google Scholar]
- Cullity, B.D.; Graham, C.D. Introduction to Magnetic Materials, 2nd ed.; IEEE Press Editorial Board: New Jersey, NJ, USA, 2009; p. 394. [Google Scholar]
- Gubkin, V.I.; Krivoruchko, A.N. Magnetic and Structural Properties of Fe-Co Alloys for Applications in High-Performance Magnetic Devices. J. Magn. Magn. Mater. 2011, 323, 999–1005. [Google Scholar]
- Reiss, G.; Hütten, A. Applications beyond data storage. Nat. Mater. 2005, 4, 725–726. [Google Scholar] [CrossRef]
- Shihao, L.; Lau, K.B.; Wuu, D.; Wei, F.; Lin, M.; Cheong, A.; Wang, P.; Tan, C.C.; Ramamurty, U. 3D printing of ductile equiatomic Fe-Co alloy for soft magnetic applications. Addit. Manuf. 2021, 47, 102291. [Google Scholar]
- Chaudhary, V.; Mantri, S.A.; Ramanujan, R.V.; Banerjee, R. Additive manufacturing of magnetic materials. Prog. Mater. Sci. 2020, 114, 100688. [Google Scholar] [CrossRef]
- Rodriguez-Sotelo, D.; Rodriguez-Licea, M.A.; Soriano-Sanchez, A.G.; Espinosa-Calderon, A.; Perez-Pinal, F.J. Advanced Ferromagnetic Materials in Power Electronic Converters: A State of the Art. IEEE Access 2020, 8, 56238–56252. [Google Scholar] [CrossRef]
- Aronhime, N.; Ohodnicki, P.; McHenry, M.E. Virtual bound states elements and their effects on magnetic and electrical properties of Fe-Ni based metal amorphous nanocomposites. Scr. Mater. 2019, 169, 9–13. [Google Scholar] [CrossRef]
- Bian, B.; Jin, L.; Zheng, Q.; Wang, F.; Xu, X.; Du, J. Exchange-coupled nanocomposites with novel microstructure and enhanced remanence by a new approach. J. Mater. Sci. Technol. 2021, 79, 118–122. [Google Scholar] [CrossRef]
- Tang, Y.J.; Parker, F.T.; Harper, H.; Berkowitz, A.E.; Jiang, Q.; Smith, D.J.; Brand, M.; Wang, F. Co/sub 50/Fe/sub 50/fine particles for power frequency applications. IEEE Trans. Magn. 2004, 40, 2002–2004. [Google Scholar] [CrossRef]
- Li, D.; Wang, Z.; Han, X.; Li, Y.; Guo, X.; Zuo, Y.; Xi, L. Improved high-frequency soft magnetic properties of FeCo films on organic ferroelectric PVDF substrate. J. Magn. Magn. Mater. 2015, 375, 33–37. [Google Scholar] [CrossRef]
- Chaudhary, V.; Tan, L.P.; Sharma, V.K.; Ramanujan, R.V. Accelerated study of magnetic Fe-Co-Ni alloys through compositionally graded spark plasma sintered samples. J. Alloys Compd. 2021, 869, 159318. [Google Scholar] [CrossRef]
- Can, H.; Icin, K.; Akyol, S.; Topal, U.; Öztürk, S.; Sözeri, H. The magnetic field sensing performance of FeCo-based soft magnetic alloys with varying Fe/Co ratio. J. Alloys Compd. 2023, 966, 171515. [Google Scholar] [CrossRef]
- Adamczyk, J.M.T.; Barrick, E.J.; Pearce, C.J.; Delaney, R.E.; Ury, N.; Dillon, R.P.; Monson, T.C.; Carroll, J.D.; Susan, D.F.; Valdez, N.R.; et al. Functional Grading Between Soft-Magnetic Fe-Co/Fe-Ni Alloys and the Effect on Magnetic and Microstructural Properties. ACS Appl. Eng. Mater. 2024, 2, 818–828. [Google Scholar] [CrossRef] [PubMed]
- Wang, L.; Zhang, H.; Hu, A.; Li, Y.; Pei, R. Research on Torque Performance of a Traction Motor by Using Fe-Co-V Soft Magnetic Alloys. IEEE Trans. Magn. 2022, 58, 1–6. [Google Scholar] [CrossRef]
- Yu, G.; Huang, J.; Xiao, L.; Xu, Y.; Zou, J. Effect of High-Pressure Environment on Deep-Sea Permanent Magnet Synchronous Motors with Fe–Co–V Alloy. IEEE Trans. Magn. 2023, 59, 8204105. [Google Scholar] [CrossRef]
- Muralles, M.; Oh, J.T.; Chen, Z. Atomistic investigation of effect of alloying on mechanical properties and microstructural evolution of ternary FeCo-X (X = V, Nb, Mo, W). Comput. Mater. Sci. 2024, 241, 113030. [Google Scholar] [CrossRef]
- Ahsan, U.U.; Singh, H. Temperature dependent magnetization in Co@Fe Nanoparticles. Phys. B Condens. Matter. 2022, 627, 413488. [Google Scholar] [CrossRef]
- Cheng, T.; Yang, Z.; Zhang, X.; Yu, G. The physical properties of iron-rich Fe-Co alloys: Analysis from the perspective of Co concentration. Phys. Lett. A 2025, 540, 130396. [Google Scholar] [CrossRef]
- Patelli, N.; Cugini, F.; Wang, D.; Sanna, S.; Solzi, M.; Hahn, H.; Pasquini, L. Structure and magnetic properties of Fe-Co alloy nanoparticles synthesized by pulsed-laser inert gas condensation. J. Alloys Compd. 2022, 890, 161863. [Google Scholar] [CrossRef]
- Cai, W.J.; Jiang, J.G.; Zhang, Z.D.; Liu, Z.X.; Zhang, L.J.; Long, Z.K.; Bi, k. Carbon nanofibers embedded with Fe-Co alloy nanoparticles via electrospinning as lightweight high-performance electromagnetic wave absorbers. Rare Met. 2024, 43, 2769–2783. [Google Scholar] [CrossRef]
- Dou, Y.; Zhang, X.; Zhao, X.; Li, X.; Jiang, X.; Yan, X.; Yu, L. N, O-Doped Walnut-Like Porous Carbon Composite Microspheres Loaded with Fe/Co Nanoparticles for Adjustable Electromagnetic Wave Absorption. Nano-Micro Small 2024, 20, 2308585. [Google Scholar] [CrossRef] [PubMed]
- Hu, T.; Deng, F.; Feng, H.; Zhang, J.; Shao, B.; Feng, C.; Tang, W.; Tang, L. Fe/Co bimetallic nanoparticles embedded in MOF-derived nitrogen-doped porous carbon rods as efficient heterogeneous electro-Fenton catalysts for degradation of organic pollutants. Appl. Mater. Today 2021, 24, 101161. [Google Scholar] [CrossRef]
- Boubekri, A.; Elmaddahi, Z.; Farchakh, A.; Hafidi, M.E. Critical and compensation temperature in a ferrimagnetic mixed spin Ising trilayer nano-graphene superlattice. Phys. B Condens. Matter. 2022, 626, 413526. [Google Scholar] [CrossRef]
- Madera, J.C.; Karimou, M.; De La Espriella, N. Effect of exchange, anisotropy, and external field interactions on the hysteresis and compensation of a two-dimensional ferrimagnet. Physica A 2023, 632, 129341. [Google Scholar] [CrossRef]
- Newman, M.E.J. Monte Carlo Methods in Statistical Physics, 2nd ed.; Oxford University Press: Oxford, UK, 2001; pp. 45–69. [Google Scholar]
- Landau, D.P.; Binder, K. A Guide Monte Carlo Simulations in Statistical Physics, 2nd ed.; Cambridge University Press: New York, NY, USA, 2005. [Google Scholar]
- Madera, J.C.; De La Espriella, N.; Burgos, R. Hysteresis and Double-Spin Compensation Behaviors in a Ferro-Ferrimagnetic Model of High Half-Integer Spins. Phys. Status Solidi B 2023, 260, 2200517. [Google Scholar] [CrossRef]
- Blundell, S. Magnetism in Condensed Matter, 1st ed.; Oxford University Press Inc.: New York, NY, USA, 2001; pp. 187–188. [Google Scholar]
- Blachowicz, T.; Ehrmann, A.; Wortmann, M. Exchange Bias in Nanostructures: An Update. Nanomaterials 2023, 13, 2418. [Google Scholar] [CrossRef]
- Mendive, T.E.; Paudyal, D.; Petit, L.; Staunton, J.B. First-order ferromagnetic transitions of lanthanide local moments in divalent compounds: An itinerant electron positive feedback mechanism and Fermi surface topological change. Phys. Rev. B 2020, 101, 174437. [Google Scholar] [CrossRef]
- Neves Bez, H. Magnetocaloric Materials and First Order Phase Transitions. Ph.D. Thesis, Technical University of Denmark, Lyngby, Denmark, 2016. [Google Scholar]
- Biswas, A.; Zarkevich, N.A.; Pathak, A.K.; Dolotko, O.; Hlova, I.Z.; Smirnov, A.V.; Mudryk, Y.; Johnson, D.D.; Pecharsky, V.K. First-order magnetic phase transition in Pr2In with negligible thermomagnetic hysteresis. Phys. Rev. B 2020, 101, 224402. [Google Scholar] [CrossRef]
- Ostler, T.; Barker, J.; Evans, R.; Chantrell, R.W.; Atxitia, U.; Chubykalo-Fesenko, O.; Moussaoui, S.E.; Guyader, L.L.; Mengotti, E.; Heyderman, L.J.; et al. Ultrafast heating as a sufficient stimulus for magnetization reversal in a ferrimagnet. Nat. Commun. 2012, 3, 666. [Google Scholar] [CrossRef]
- Barker, J.; Atxitia, U.U.; Ostler, T.A.; Hovorka, O.; Chubykalo, F.O.O.; Chantrell, R.W. Two-magnon bound state causes ultrafast thermally induced magnetisation switching. Sci. Rep. 2013, 3, 3262. [Google Scholar] [CrossRef]
- Marrows, C.H.; Chapon, L.C.; Langridge, S. Spintronics and functional materials. Mater. Today 2009, 12, 70–77. [Google Scholar] [CrossRef]
- Spaldin, N.A. Magnetic Materials Fundamentals and Applications, 2nd ed.; Cambridge University Press: Cambridge, UK, 2011. [Google Scholar]
- Yang, Q.; Zhou, Z.; Sun, N.X.; Liu, M. Perspectives of voltage control for magnetic exchange bias in multiferroic heterostructures. Phys. Lett. A 2017, 381, 1213–1222. [Google Scholar] [CrossRef]
- Axel Hoffmann, A.; Zhang, W. Antiferromagnets for spintronics. J. Magn. Magn. Mater. 2022, 553, 169216. [Google Scholar] [CrossRef]
- Chen, C.; Zheng, C.; Hu, S.; Zhang, J.; Liu, Y. Temperature-Dependent Compensation Points in GdxFe1-x Ferrimagnets. Materials 2025, 18, 1193. [Google Scholar] [CrossRef]
- Potpattanapol, P.; Tang, I.M.; Somyanonthanakun, W.; Thongmee, S. Exchange Bias Effect in FeCo Nanoparticles. J. Supercond. Nov. Magn. 2018, 31, 791–796. [Google Scholar] [CrossRef]
- Kumari, K.; Kumar, A.; Shin, M.; Kumar, S.; Huh, S.H.; Koo, B.H. Investigating the magnetocrystalline anisotropy and the exchange bias through interface effects of nanocrystalline FeCo. J. Korean Phys. Soc. 2021, 79, 1180–1189. [Google Scholar] [CrossRef]
- Ahsan, J.U.; Singh, H. Atomistic simulation study of FeCo alloy nanoparticles. Appl. Phys. A 2022, 128, 443. [Google Scholar] [CrossRef]
- Wang, W.; Liu, Z.; Wang, X.; Zou, S.; Lv, D. Magnetic properties of a ferrimagnetic core–shell nanoparticle based on Monte Carlo method. Appl. Phys. A 2025, 131, 351. [Google Scholar] [CrossRef]
- Shi, K.; Wang, Z.; Jiang, W. Monte Carlo simulation of magnetic and thermodynamic properties of hexagonal decorated nanoparticle in a magnetic field. J. Mater. Sci. 2023, 58, 7620–7641. [Google Scholar] [CrossRef]
- Liu, Z.; Wang, W.; Li, B. Monte Carlo study of the magnetic and magnetocaloric properties of an edge-decorated graphene-like nanoparticle. J. Mater. Sci. 2024, 59, 13908–13930. [Google Scholar] [CrossRef]
- Jerrari, M.; Masrour, R.; Sahdane, T. Monte Carlo study of magnetic and magnetocaloric properties of the graphene alternate layers of a ferrimagnetic mixed spins S=3/2 and σ=2. MRS Commun. 2023, 13, 1171–1179. [Google Scholar] [CrossRef]
- Gupta, R.; Sangeeth, K.; Gupta, M.; Choudhary, R.J.; Sagdeo, A.; Singh, F.; Gupta, A. Magnetic properties of exchange-biased FeCo/CoO bilayer and its electronic structure. Appl. Phys. A 2022, 128, 342. [Google Scholar] [CrossRef]














Disclaimer/Publisher’s Note: The statements, opinions and data contained in all publications are solely those of the individual author(s) and contributor(s) and not of MDPI and/or the editor(s). MDPI and/or the editor(s) disclaim responsibility for any injury to people or property resulting from any ideas, methods, instructions or products referred to in the content. |
© 2025 by the authors. Licensee MDPI, Basel, Switzerland. This article is an open access article distributed under the terms and conditions of the Creative Commons Attribution (CC BY) license (https://creativecommons.org/licenses/by/4.0/).
Share and Cite
Madera, J.C.; Restrepo-Parra, E.; De La Espriella, N. Effects of Exchange, Anisotropic, and External Field Couplings on a Nanoscale Spin-2 and Spin-3/2 System: A Thermomagnetic Analysis. Magnetochemistry 2025, 11, 56. https://doi.org/10.3390/magnetochemistry11070056
Madera JC, Restrepo-Parra E, De La Espriella N. Effects of Exchange, Anisotropic, and External Field Couplings on a Nanoscale Spin-2 and Spin-3/2 System: A Thermomagnetic Analysis. Magnetochemistry. 2025; 11(7):56. https://doi.org/10.3390/magnetochemistry11070056
Chicago/Turabian StyleMadera, Julio Cesar, Elisabeth Restrepo-Parra, and Nicolás De La Espriella. 2025. "Effects of Exchange, Anisotropic, and External Field Couplings on a Nanoscale Spin-2 and Spin-3/2 System: A Thermomagnetic Analysis" Magnetochemistry 11, no. 7: 56. https://doi.org/10.3390/magnetochemistry11070056
APA StyleMadera, J. C., Restrepo-Parra, E., & De La Espriella, N. (2025). Effects of Exchange, Anisotropic, and External Field Couplings on a Nanoscale Spin-2 and Spin-3/2 System: A Thermomagnetic Analysis. Magnetochemistry, 11(7), 56. https://doi.org/10.3390/magnetochemistry11070056

