Abstract
The impact of rhenium doping on the transport properties and electron localization in monolayer graphene was experimentally investigated. In this study, we report the emergence of unsaturated negative magnetoresistance in Re-doped graphene devices, which is observed exclusively at low temperatures. Moreover, angle-dependent measurements reveal a pronounced anisotropy in the negative magnetoresistance. This phenomenon is attributed to the disorder and localized magnetic moments introduced by Re doping, which lead to charge carrier localization and are accompanied by substantial magnetocrystalline anisotropy energy.
1. Introduction
Monolayer graphene is a zero-bandgap semimetal characterized by a linear electron dispersion relation, which plays a crucial role in its unique electronic properties [1,2]. Due to its distinctive hexagonal lattice structure and the associated pseudospin quantum number, monolayer graphene exhibits quantum interference effects that are markedly different from those observed in conventional two-dimensional (2D) systems [3,4]. In typical 2D metals, the scattering of charge carriers by impurities, mediated through spin-orbit interactions, often leads to phenomena such as weak localization or weak anti-localization, which can significantly influence the electrical transport properties [5,6]. Nevertheless, both theoretical and experimental studies indicate that strong valley scattering in graphene can induce negative magnetoresistance associated with weak localization [7,8,9,10,11]. The introduction of point defects or lattice disorder serves to significantly enhance valley scattering, thereby facilitating the emergence of weak localization phenomena. This interplay between disorder and localization is critical for understanding the transport properties of graphene, especially in the context of its potential applications in next-generation electronic devices.
Recently, various treatments have been reported to introduce the disorder and enhance the scattering centers in graphene, including metal atom doping [1,12], ion bombardment [13,14,15], chemical treatment [16,17,18], and magnetic proximity interactions [19,20]. Metal atom treatment is an effective approach for introducing defects in two-dimensional films. For instance, Na-doped ZnO films exhibit ferromagnetism and a transition from positive to negative magnetoresistance. The observed ferromagnetism is attributed to the formation of Zn vacancy complexes, while the negative magnetoresistance arises from the suppression of spin-dependent scattering [21]. Similarly, metal-doped graphene systems (e.g., Ni-, Co-, Ag-, Au-, and Pt-doped graphene) have been reported to exhibit negative magnetoresistance effects [22,23]. However, the temperature range for observing negative magnetoresistance in graphene strongly depends on the specific metal dopant. In transition metal-doped graphene, such as Co- and Ni-doped systems, negative magnetoresistance typically emerges at temperatures above 30 K [22]. In contrast, in noble metal-doped graphene, such as Au- and Ag-treated samples, negative magnetoresistance can be observed even at 4.2 K, suggesting that a different underlying mechanism governs its origin [23]. Therefore, a comprehensive investigation of the electrical transport properties of graphene modified with heavy metals is crucial to fully elucidate the impact of metal doping on its electronic behavior.
In this study, we investigate electron localization phenomena in graphene doped with the heavy metal Re. Our results show that the incorporation of Re atoms induces disorder-driven scattering centers. It also generates local magnetic moments in the graphene lattice. The strong interaction between the dopant atoms and the graphene structure is further corroborated by electrical transport measurements. Systematic characterization of the magnetoresistance and Hall resistance as functions of the applied magnetic field, temperature, and angle reveals a pronounced negative magnetoresistance effect. Furthermore, our results provide compelling evidence that Re doping introduces strong scattering centers in graphene at low temperatures. These findings offer valuable insights into the electronic properties of Re-doped graphene and its potential applications in advanced electronic devices.
2. Results
Figure 1a presents a schematic illustration of Re-doped monolayer graphene. In this diagram, the Si/SiO2 substrate is depicted in purple, the Ti/Au Hall electrodes are represented in yellow, graphene is shown in orange, Re atoms are indicated by blue spheres, and boron nitride (BN) is illustrated in green. The primary function of BN is to shield the graphene devices from environmental contaminants. Figure 1b presents an optical image of Re-doped graphene, showing large Re particles attached to the otherwise smooth graphene surface. Re atoms were introduced onto the graphene surface via magnetron sputtering at a deposition rate of 1 Å/s for a duration of 3 s. Theoretically, this process could lead to the formation of a ~0.3 nm thick Re film on the graphene surface. However, considering the instrument’s preheating phase, only a limited number of Re atoms are expected to be deposited within this short duration.
Figure 1.
(a) Schematic illustration of the Re-doped graphene device, where the colors of BN, Re, graphene, and the Ti/Au Hall bar and the Si/SiO2 substrate are green, blue, orange, yellow, and purple, respectively. (b) The optical image of the Re-doped graphene device. (c) The resistance as a function of temperature. (d) Room-temperature Raman spectra for monolayer graphene (black line) and Re-doped graphene (red line).
Figure 1c displays the temperature-dependent resistance curves of both pristine monolayer graphene and Re-doped graphene. Notably, the resistance of Re-doped graphene at low temperatures is approximately an order of magnitude higher than that of pristine graphene. This observation suggests that Re atoms are effectively incorporated into the graphene lattice, inducing structural disorder and lattice defects. As a result, carrier mobility is significantly reduced, leading to an increase in resistance. Raman spectroscopy, a widely used technique for analyzing the structural properties of graphene, was utilized in this study. Figure 1d presents the Raman spectra of both Re-doped (red line) and pristine graphene (black line). The pristine graphene exhibits typical monolayer characteristics, with no detectable D peak at 1350 cm−1, confirming its high crystalline quality. In contrast, Re-doped graphene shows a notable decrease in the 2D/G peak intensity ratio, indicating successful Re incorporation. Moreover, the emergence of a D peak at 1350 cm−1 suggests the introduction of structural defects near the K point in the graphene lattice. These results demonstrate that Re doping induces lattice distortions and defect formation, altering the structural integrity of graphene.
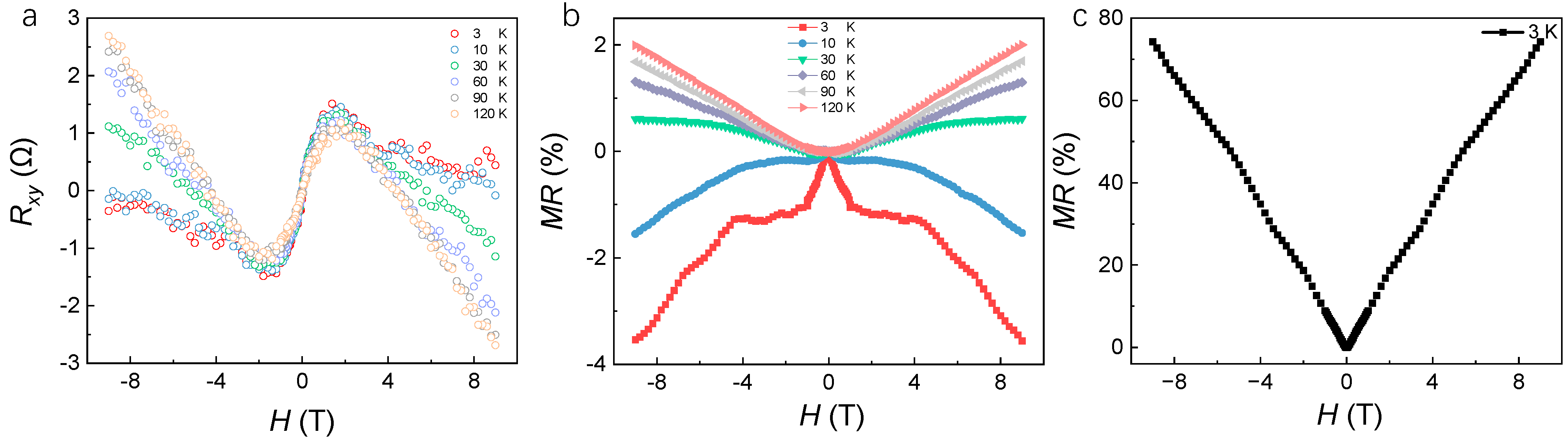
Figure 2a presents the Hall resistance of Re-doped graphene, exhibiting a clear nonlinearity. Previous studies have identified two primary mechanisms responsible for nonlinear Hall resistance: one arising from the two-carrier transport model and the other associated with magnetic effects [20,23]. In the case of our device, the latter explanation is more plausible. Notably, at temperatures of 3 K and 10 K, the Hall resistance tends to saturate at high magnetic fields, suggesting that the graphene has reached a state of magnetic saturation. Furthermore, the magnetic properties of Re-doped graphene can be further substantiated through magnetoresistance measurements. Figure 2b displays the magnetoresistance as a function of the applied magnetic field at various temperatures, where the magnetoresistance values are determined using the following equation [24]:
where represents the resistance at a given magnetic field, and Rxx(0) denotes the resistance at zero field. As shown in Figure 2b, when the temperature increases from 30 K to 120 K, the magnetoresistance of Re-doped graphene is positive and follows a quadratic dependence on the magnetic field. However, in contrast to the electrical transport behavior of pure graphene devices (Figure 2c), Re-doped graphene exhibits negative magnetoresistance at lower temperatures of 3 K and 10 K. Notably, at 3 K, the negative magnetoresistance reaches a value of 3.8%. Negative magnetoresistance is a well-documented phenomenon in ferromagnetic materials, often associated with spin-dependent scattering and the suppression of spin disorder.
Figure 2.
(a) Magnetic field dependence of the Hall resistance of the Re-doped graphene device at different temperatures. (b) The magnetoresistance data of the Re-doped graphene device at different temperatures. (c) The magnetoresistance data of the monolayer graphene device at 3 K.
The magnetic polaron model is commonly employed to explain the phenomenon of negative magnetoresistance [25,26]. In this model, local magnetic moments arise due to the incorporation of dopant atoms within the material. The interaction between these localized moments, combined with Mott’s variable-range hopping mechanism, leads to various magnetoresistance behaviors depending on the specific nature of the spin interaction mechanisms involved [26]. To qualitatively evaluate the influence of Re doping on the magnetic transport properties of monolayer graphene, we employed the modified Khosla–Fischer equation to fit the magnetoresistance versus magnetic field (MR-H) curve at a temperature of 3 K [27]. When localized magnetic scattering centers are present in the system, the magnetoresistance can be effectively described by the following equation:
Here, a, b, c, and d represent the fitting coefficients; is defined as Rxx(H) − Rxx(0), where Rxx(H) is the resistance at the applied magnetic field H; Rxx(0) is the resistance at zero magnetic field; is Rxx(0); and HZ represents the applied magnetic field along the out-of-plane direction. The first term in the equation accounts for the negative magnetoresistance component, illustrated by the purple dashed line in Figure 3. This component arises from Kondo scattering of charge carriers in graphene, which is influenced by the localized spin surrounding the Re atom [28]. Conversely, the second term corresponds to the positive magnetoresistance component, depicted by the blue dashed line in Figure 3, which is attributed to the Lorentz force acting on the charge carriers. The overall fitting result is represented by the red dotted line in Figure 3. The excellent agreement between the fitted curve and the experimental data confirms that the Khosla–Fischer equation effectively describes the observed magnetoresistance behavior, demonstrating that Re doping successfully induces localized spins within the graphene structure.
Figure 3.
The magnetoresistance vs. magnetic field with H applied perpendicular to the plane. The red line and dotted line are the fitting curves obtained by Equation (2).
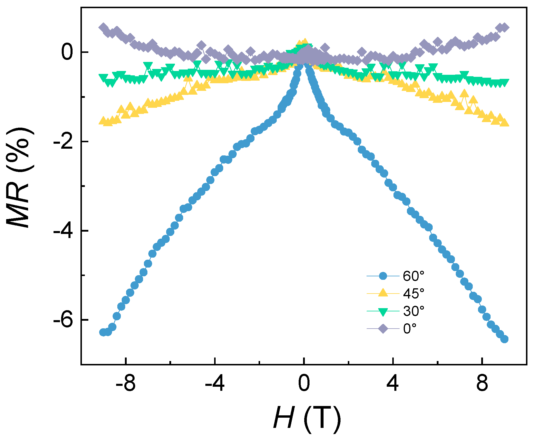
Furthermore, to systematically investigate the transport properties of Re-doped graphene, we examined the magnetoresistance and Hall resistance by rotating the sample within the xz plane at angles of 0°, 15°, 30°, 45°, 60°, and 90°, as illustrated in Figure 4. In this configuration, the direction of the current is aligned along the x-axis, where 0° indicates that the magnetic field is parallel to the current direction, while 90° signifies that the magnetic field is oriented along the z-axis. As depicted in Figure 4a,b, both Hall resistance and magnetoresistance exhibit significant variations with the change in angle, indicating that Re-doped graphene possesses pronounced magnetic anisotropy. Notably, Figure 4b reveals that the magnetoresistance of Re-doped graphene is negative when the angle between the magnetic field and the current lies between 90° and 45°. Conversely, when the angle is less than 15°, the magnetoresistance transitions to a positive value. This observation suggests that Re doping effectively enhances the carrier density in graphene. The presence of a higher concentration of charge carriers allows our sample to exist in a strongly localized state or in a transitional state between weakly localized and strongly localized conditions. Consequently, there are multiple contributions to the magnetoresistance, which can manifest as either negative or positive values [29].
Figure 4.
(a) The Hall resistance Rxy vs. magnetic field H of the Re-doped graphene device at different angles. (b) Magnetic field dependence of the magnetoresistance at different angles. The temperature was set at 3 K and the sample was rotated in xz-plane.
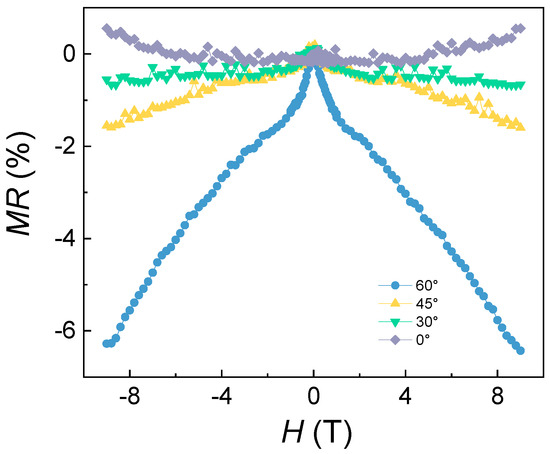
Simultaneously, we conducted a detailed investigation into the variation of magnetoresistance with the magnetic field in the yz plane. Figure 5 presents the magnetoresistance of Re-doped graphene as a function of the magnetic field at different temperatures. In this context, 0° indicates that the current is directed along the x-axis of the graphene, while the magnetic field is oriented along the y-axis. The data reveals that the magnetoresistance reaches its maximum value at an angle of 60°. As the angle decreases, there is a corresponding gradual reduction in the magnetoresistance. Notably, when the magnetic field is applied in the in-plane direction, the magnetoresistance transitions to a positive value. These findings further corroborate the presence of significant magnetic anisotropy in Re-doped graphene.
Figure 5.
The magnetoresistance vs. magnetic field at different angles, where the temperature is set at 3 K and the sample is rotated in yz-plane.
3. Discussion
It is crucial to highlight that the observed negative magnetoresistance in Re-doped graphene likely arises from a combination of several factors. Firstly, the introduction of Re as a dopant generates local spin states within the graphene lattice, a phenomenon corroborated by the fact that the experimental data collected at 3 K can be well-described by the Khosla–Fischer model. Furthermore, the incorporation of heteroatoms into the carbon lattice significantly enhances scattering due to defects. When a magnetic field is applied perpendicular to the surface of the sample, the charge carriers are forced to undergo cyclotron motion, with the radius of this motion given by Equation (3) [30]:
In this context, H denotes the strength of the applied magnetic field, is the cyclotron radius of the charge carriers, n is the carrier concentration, is the reduced Planck constant, and e is the electron charge. It is apparent that an increase in magnetic field strength leads to a reduction in the cyclotron radius of the charge carriers. This reduction in radius reduces the scattering events at defect boundaries, thereby increasing the mean free path of the carriers and ultimately causing a decrease in electrical resistance. Notably, our observations of the Re-doped graphene sample reveal that the magnitude of this effect becomes more pronounced at lower temperatures.
4. Conclusions
We present strong evidence regarding the significant impact of Re doping on charge transport and magnetoresistance in graphene. Resistance measurements reveal that the lattice disorder introduced by the incorporation of Re metal atoms substantially alters the transport properties of graphene, resulting in a tenfold increase in resistance at low temperatures. Furthermore, the observation of negative magnetoresistance in Re-doped graphene devices suggests that Re atoms induce local magnetic moments and contribute to disorder within the graphene lattice. Our findings indicate that Re doping is a promising approach for effectively modulating the electrical transport characteristics of graphene.
5. Methods
5.1. Preparation of a Re-Doped Graphene Device:
Monolayer graphene is prepared through the plasma-assisted exfoliation of graphite single crystals (purchased from HQ Graphene company, Groningen, the Netherlands), as described in Reference [31]. The silicon substrate, which features a 300 nm thick layer of silicon dioxide (referred to as Si/SiO2, purchased from Angview Technology, Shang Hai, China), provides excellent optical contrast for the observation of monolayer graphene, thereby facilitating its identification. Once the monolayer graphene is located, it is subsequently transferred to a silicon wafer equipped with a Hall electrode using a pick-up method. A polycarbonate (PC, purchased from Angview Technology, Shanghai, China) layer is employed as the pickup medium at a temperature of 90 °C. Following this, the monolayer graphene is thermally released onto a Ti (5 nm)/Au (25 nm) Hall electrode at a temperature of 130 °C. The sample is then immersed in chloroform to dissolve the PC layer, leaving the graphene adhered to the Hall electrode. Then the device is placed in an argon-filled bag and transported to the micro-nano fabrication center. Inside a glove box, the Si/SiO2/graphene device is affixed to the magnetron sputtering tray using double-sided tape. A separate tray containing a pristine graphene device is also loaded into the magnetron. The magnetron sputtering system used in this process is the LAB 18, manufactured by Kurt J. Lesker (Pittsburgh, PA, USA). Once the chamber vacuum reaches 10−6 Pa, Re deposition begins using a high-purity (99.99%) Re target sourced from Zhongnuo New Material (Shanghai, China). The Re atoms are sputtered onto the graphene surface for 3 s at a deposition rate of 1 Å/s, ensuring controlled surface treatment. Finally, to protect the device from moisture and oxygen in the ambient environment, a layer of boron nitride is applied over the structure.
5.2. Transport Measurements
The electrical transport properties were assessed using a standard four-probe technique within the Physical Property Measurement System (PPMS, DynaCool, purchased from Quantum Design, San Diego, CA, USA). The four-probe method is employed to minimize the influence of contact resistance. Initially, the device is connected to the resistance puck of the PPMS using a gold wire. The puck is then placed into the PPMS chamber via the sample holder. The chamber is subsequently cooled after the vacuum is pumped down to 6 torr. The magnetic field was varied between −9 T and 9 T, with the test current maintained at a constant value of 100 nA. For the temperature-dependent measurements, the system was operated over a temperature range from 3 K to 120 K, ensuring that the magnetic field remained perpendicular to the surface of the device. In the angular rotation experiments, the orientation of the magnetic field was systematically varied from 90° to 0°, while the temperature was held constant at 3 K throughout the duration of the tests.
5.3. Raman Measurements
Raman measurements were performed using a LabRAM HR Evolution Raman spectrometer (purchased from Tianjin Dongfang Kejie Technology, Tianjin, China) at room temperature. A 532 nm excitation laser with an initial power of 0.5 mW was employed to avoid laser-induced heating or damage. The integration time for each spectrum was set to 5 s, and the spectral range was scanned from 1100 to 2800 cm−1.
Author Contributions
Y.Z. conducted experimental procedures and wrote the manuscript; J.Y. and W.L. contributed to experimental support; Z.H., Y.F. and Y.L. participated in discussions related to data interpretation; J.L. revised the manuscript. All authors have read and agreed to the published version of the manuscript.
Funding
This research was funded by the China Postdoctoral Science Foundation (grant number: 2024M753262) and the Anhui Province College Students Innovation Training Program (grant number S201410381031).
Institutional Review Board Statement
Not applicable.
Informed Consent Statement
Not applicable.
Data Availability Statement
The data that support the findings of this study are available from the corresponding authors upon reasonable request.
Acknowledgments
The authors acknowledge the support of the USTC Center for Micro- and Nanoscale Research and Fabrication.
Conflicts of Interest
The authors have no conflicts to disclose.
References
- Rein, M.; Richter, N.; Parvez, K.; Feng, X.; Sachdev, H.; Kläui, M.; Müllen, K. Magnetoresistance and Charge Transport in Graphene Governed by Nitrogen Dopants. ACS Nano 2015, 9, 1360–1366. [Google Scholar] [CrossRef] [PubMed]
- Ruan, H.; Guo, J.; Zhang, S.; Gao, Y.; Shang, W.; Liu, Y.; Su, M.; Liu, Y.; Wang, H.; Xie, T.; et al. In Situ Local Band Engineering of Monolayer Graphene Using Triboelectric Plasma. Small 2024, 20, 2309318. [Google Scholar] [CrossRef] [PubMed]
- Novoselov, K.S.; Geim, A.K.; Morozov, S.V.; Jiang, D.; Zhang, Y.; Dubonos, S.V.; Grigorieva, I.V.; Firsov, A.A. Electric field effect in atomically thin carbon films. Science 2004, 306, 666–669. [Google Scholar] [CrossRef] [PubMed]
- Bakalis, J.; Chernov, S.; Li, Z.; Kunin, A.; Withers, Z.H.; Cheng, S.; Adler, A.; Zhao, P.; Corder, C.; White, M.G.; et al. Momentum-Space Observation of Optically Excited Nonthermal Electrons in Graphene with Persistent Pseudospin Polarization. Nano Lett. 2024, 24, 9353–9359. [Google Scholar] [CrossRef]
- Hikami, S.; Larkin, A.I.; Nagaoka, Y. Spin-Orbit Interaction and Magnetoresistance in the Two Dimensional Random System. Prog. Theor. Phys. 1980, 63, 707–710. [Google Scholar] [CrossRef]
- Chen, A.; Maciejko, J.; Boettcher, I. Anderson Localization Transition in Disordered Hyperbolic Lattices. Phys. Rev. Lett. 2024, 133, 066101. [Google Scholar] [CrossRef]
- Aleiner, I.L.; Efetov, K.B. Effect of Disorder on Transport in Graphene. Phys. Rev. Lett. 2006, 97, 236801. [Google Scholar] [CrossRef]
- Altland, A. Low-Energy Theory of Disordered Graphene. Phys. Rev. Lett. 2006, 97, 236802. [Google Scholar] [CrossRef]
- McCann, E.; Kechedzhi, K.; Fal’ko, V.I.; Suzuura, H.; Ando, T.; Altshuler, B.L. Weak-Localization Magnetoresistance and Valley Symmetry in Graphene. Phys. Rev. Lett. 2006, 97, 146805. [Google Scholar] [CrossRef]
- Morpurgo, A.F.; Guinea, F. Intervalley Scattering, Long-Range Disorder, and Effective Time-Reversal Symmetry Breaking in Graphene. Phys. Rev. Lett. 2006, 97, 196804. [Google Scholar] [CrossRef]
- Ostrovsky, P.M.; Gornyi, I.V.; Mirlin, A.D. Electron transport in disordered graphene. Phys. Rev. B 2006, 74, 235443. [Google Scholar] [CrossRef]
- Chen, J.H.; Jang, C.; Adam, S.; Fuhrer, M.S.; Williams, E.D.; Ishigami, M. Charged-impurity scattering in graphene. Nat. Phys. 2008, 4, 377–381. [Google Scholar] [CrossRef]
- Chen, J.-H.; Cullen, W.G.; Jang, C.; Fuhrer, M.S.; Williams, E.D. Defect Scattering in Graphene. Phys. Rev. Lett. 2009, 102, 236805. [Google Scholar] [CrossRef] [PubMed]
- Li, X.; Sagar, R.U.R.; Zhong, L.; Liu, Y.; Hui, D.; Zhang, M. Nonsaturating negative magnetoresistance in laser-induced graphene. Mater. Lett. 2019, 248, 43–47. [Google Scholar] [CrossRef]
- Zeng, J.; Ma, P.C.; Zhang, S.X.; Xu, L.J.; Li, Z.Z.; Zhai, P.F.; Hu, P.P.; Maaz, K.; Sun, Y.M.; Liu, J. Unrecovered ion-irradiated damage after thermal annealing in graphene field effect transistors. Appl. Surf. Sci. 2022, 588, 153005. [Google Scholar] [CrossRef]
- Muszynski, R.; Seger, B.; Kamat, P.V. Decorating Graphene Sheets with Gold Nanoparticles. J Phys. Chem. C 2008, 112, 5263–5266. [Google Scholar] [CrossRef]
- Zhang, W.; van Dijk, B.; Wu, L.; Maheu, C.; Tudor, V.; Hofmann, J.P.; Jiang, L.; Hetterscheid, D.; Schneider, G.F. Role of Vacancy Defects and Nitrogen Dopants for the Reduction of Oxygen on Graphene. ACS Catal. 2024, 14, 11065–11075. [Google Scholar] [CrossRef]
- Williams, G.; Seger, B.; Kamat, P.V. TiO2-Graphene Nanocomposites. UV-Assisted Photocatalytic Reduction of Graphene Oxide. ACS Nano 2008, 2, 1487–1491. [Google Scholar] [CrossRef]
- Zhang, Y.; Wang, W.; Huang, M.; Liu, P.; Hu, G.; Feng, C.; Lei, X.; Gu, M.; Yang, H.; Liu, K.; et al. MnPS3 spin-flop transition-induced anomalous Hall effect in graphite flake via van der Waals proximity coupling. Nanoscale 2020, 12, 23266–23273. [Google Scholar] [CrossRef]
- Wang, Z.; Tang, C.; Sachs, R.; Barlas, Y.; Shi, J. Proximity-Induced Ferromagnetism in Graphene Revealed by the Anomalous Hall Effect. Phys. Rev. Lett. 2015, 114, 016603. [Google Scholar] [CrossRef]
- Wang, Y.; Luo, X.; Tseng, L.; Ao, Z.; Li, T.; Xing, G.; Bao, N.; Suzukiis, K.; Ding, J.; Li, S.; et al. Ferromagnetism and Crossover of Positive Magnetoresistance to Negative Magnetoresistance in Na-Doped ZnO. Chem. Mater. 2015, 27, 1285–1291. [Google Scholar] [CrossRef]
- Majumder, C.; Bhattacharya, S.; Saha, S.K. Anomalous large negative magnetoresistance in transition-metal decorated graphene: Evidence for electron-hole puddles. Phys. Rev. B 2019, 99, 045408. [Google Scholar] [CrossRef]
- Li, W.; He, Y.; Wang, L.; Ding, G.; Zhang, Z.; Lortz, R.W.; Sheng, P.; Wang, N. Electron localization in metal-decorated graphene. Phys. Rev. B 2019, 84, 045431. [Google Scholar] [CrossRef]
- Rehman Sagar, R.U.; Shehzad, K.; Ali, A.; Stadler, F.J.; Khan, Q.; Zhao, J.; Wang, X.; Zhang, M. Defect-induced, temperature-independent, tunable magnetoresistance of partially fluorinated graphene foam. Carbon 2019, 143, 179–188. [Google Scholar] [CrossRef]
- Zhou, Y.-B.; Han, B.-H.; Liao, Z.-M.; Wu, H.-C.; Yu, D.-P. From positive to negative magnetoresistance in graphene with increasing disorder. Appl. Phys. Lett. 2011, 98, 222502. [Google Scholar] [CrossRef]
- Rappoport, T.G.; Uchoa, B.; Castro Neto, A.H. Magnetism and magnetotransport in disordered graphene. Phys. Rev. B 2009, 80, 245408. [Google Scholar] [CrossRef]
- Khosla, R.P.; Fischer, J.R. Magnetoresistance in Degenerate CdS: Localized Magnetic Moments. Phys. Rev. B 1970, 2, 4084–4097. [Google Scholar] [CrossRef]
- Takiguchi, K.; Anh, L.D.; Chiba, T.; Koyama, T.; Chiba, D.; Tanaka, M. Giant gate-controlled proximity magnetoresistance in semiconductor-based ferromagnetic–non-magnetic bilayers. Nat. Phys. 2019, 15, 1134–1139. [Google Scholar] [CrossRef]
- Hong, X.; Cheng, S.H.; Herding, C.; Zhu, J. Colossal negative magnetoresistance in dilute fluorinated graphene. Phys. Rev. B 2011, 83, 085410. [Google Scholar] [CrossRef]
- Mayorov, A.S.; Gorbachev, R.V.; Morozov, S.V.; Britnell, L.; Jalil, R.; Ponomarenko, L.A.; Blake, P.; Novoselov, K.S.; Watanabe, K.; Taniguchi, T.; et al. Micrometer-Scale Ballistic Transport in Encapsulated Graphene at Room Temperature. Nano Lett. 2011, 11, 2396–2399. [Google Scholar] [CrossRef]
- Zhang, Y.; Wang, S.; Hu, G.; Huang, H.; Zheng, B.; Zhou, Y.; Feng, Y.; Ma, X.; He, J.; Lu, Y.; et al. Giant Carrier Mobility in Graphene with Enhanced Shubnikov–de Haas Quantum Oscillations: Implications for Low-Power-Consumption Device Applications. ACS Appl. Nano Mater. 2022, 5, 10860–10866. [Google Scholar] [CrossRef]
Disclaimer/Publisher’s Note: The statements, opinions and data contained in all publications are solely those of the individual author(s) and contributor(s) and not of MDPI and/or the editor(s). MDPI and/or the editor(s) disclaim responsibility for any injury to people or property resulting from any ideas, methods, instructions or products referred to in the content. |
© 2025 by the authors. Licensee MDPI, Basel, Switzerland. This article is an open access article distributed under the terms and conditions of the Creative Commons Attribution (CC BY) license (https://creativecommons.org/licenses/by/4.0/).




