Experimental Thermal Conductivity Studies of Agar-Based Aqueous Suspensions with Lignin Magnetic Nanocomposites
Abstract
1. Introduction
2. Materials and Methods
2.1. Materials
2.2. Characterization Techniques
3. Results and Discussion
3.1. Morphological Characterization: Transmission Electron Microscopy (TEM)
3.2. Thermogravimetric Analysis (TGA) and Magnetization Properties
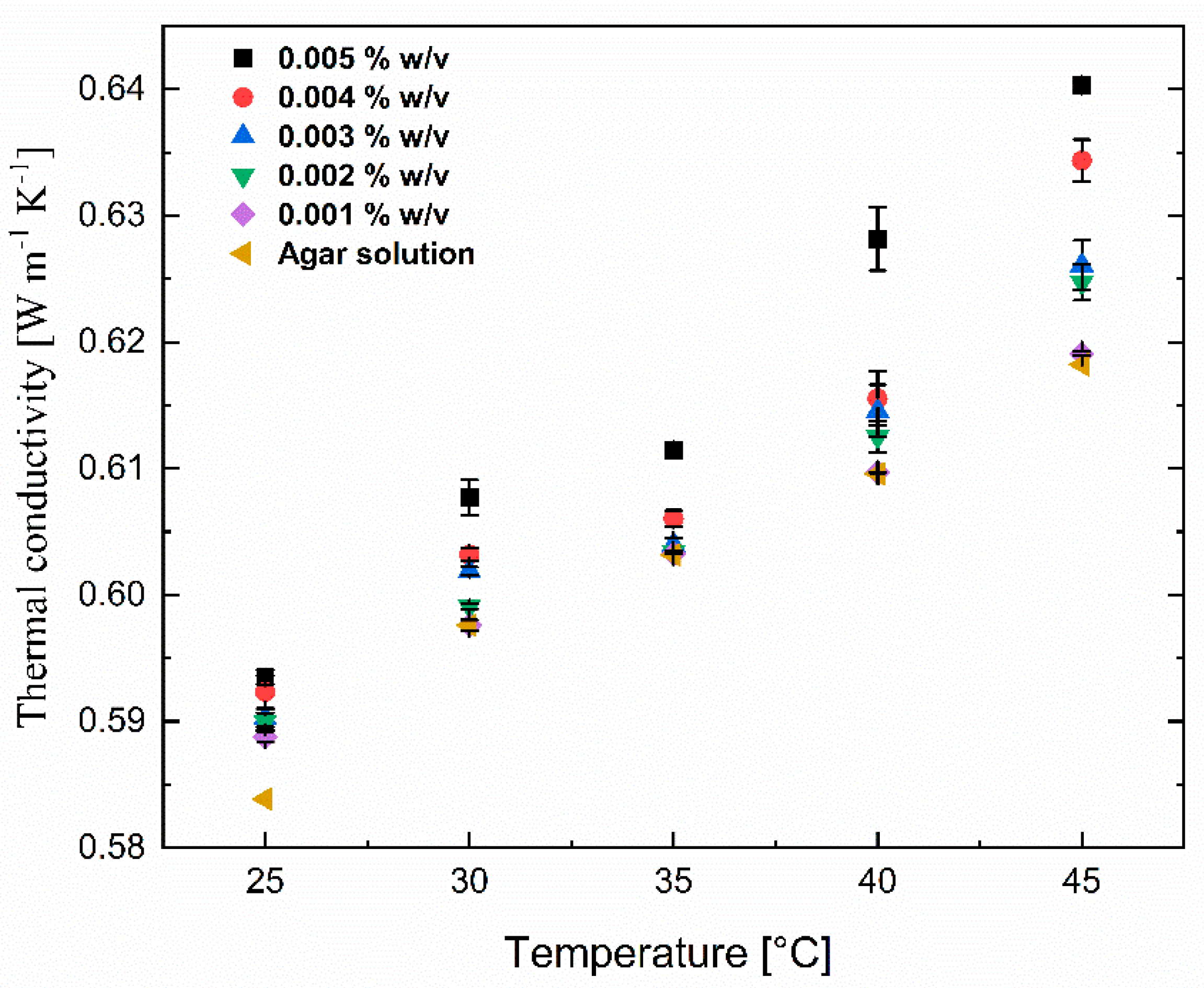
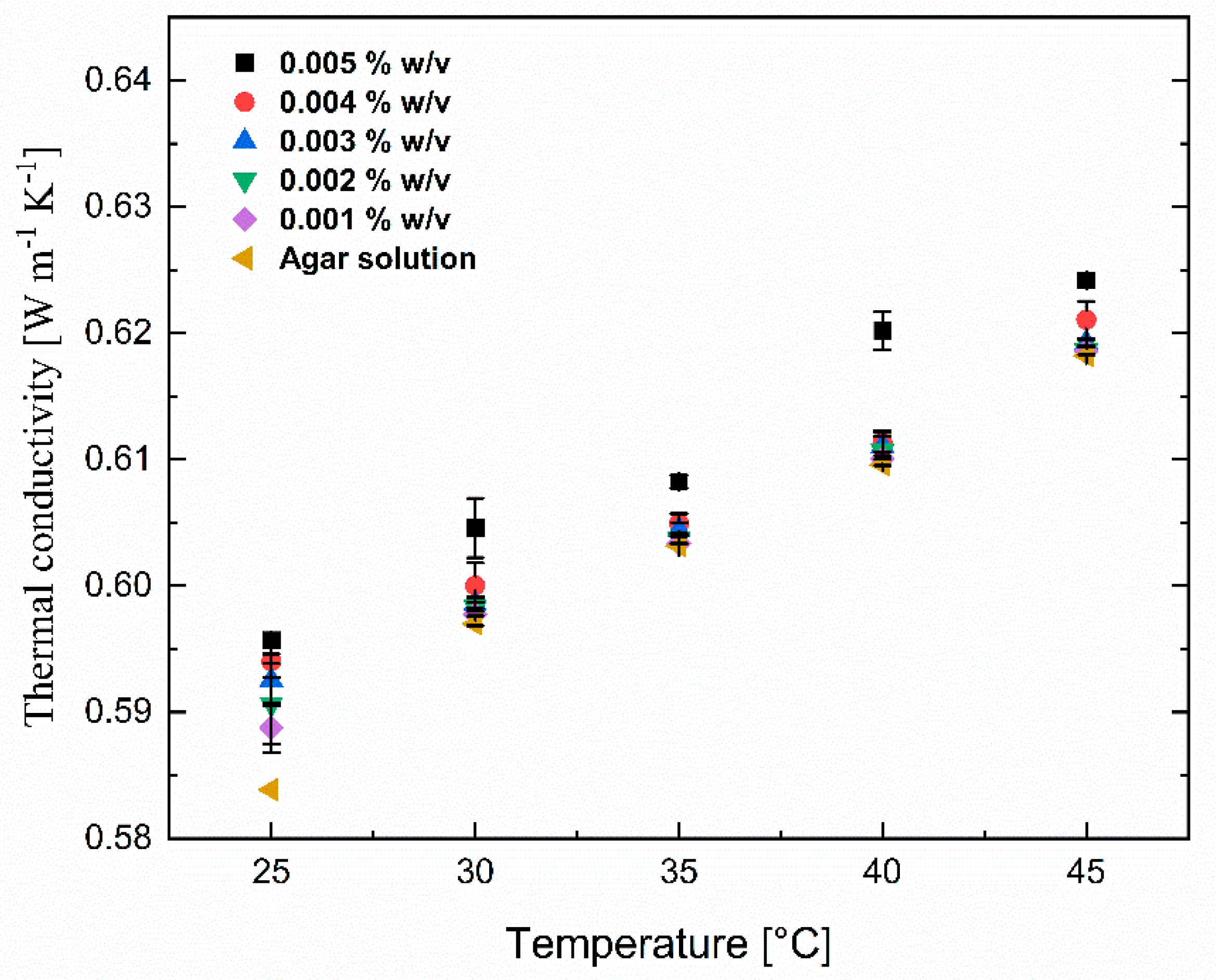
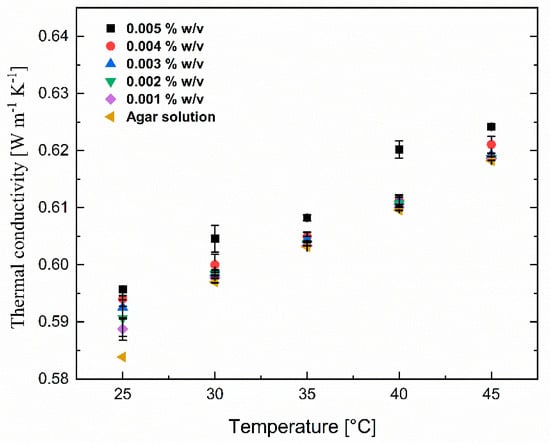
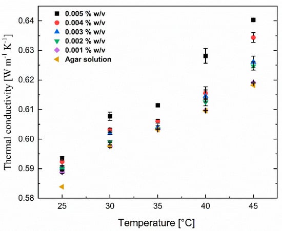
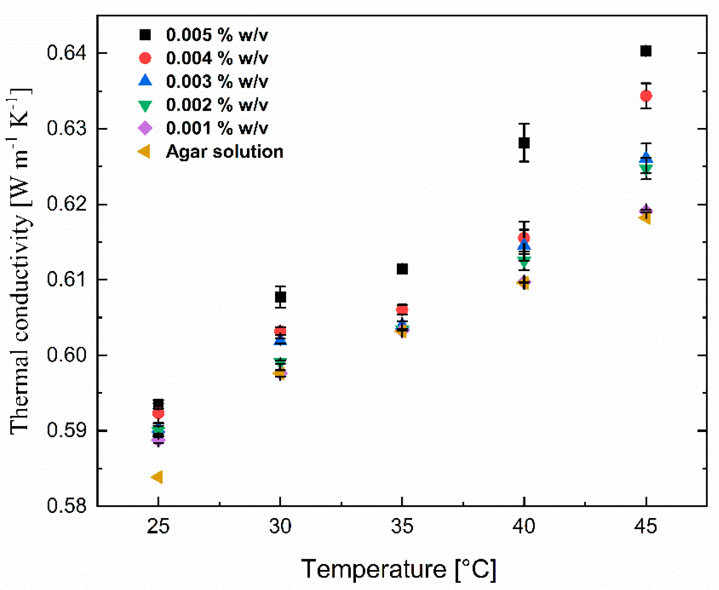
3.3. Thermal Conductivity Measurements of Lignin@Fe3O4 and Fe3O4 Aqueous Agar Suspensions
4. Conclusions
Supplementary Materials
Author Contributions
Funding
Institutional Review Board Statement
Informed Consent Statement
Data Availability Statement
Acknowledgments
Conflicts of Interest
References
- Abu-Nada, E. Effects of variable viscosity and thermal conductivity of Al2O3–water nanofluid on heat transfer enhancement in natural convection. Int. J. Heat Fluid Flow 2009, 30, 679–690. [Google Scholar] [CrossRef]
- Choi, S.U.S.; Eastman, J.A. Enhancing Thermal Conductivity of Fluids with Nanoparticles; No. ANL/MSD/CP-84938; CONF-951135-29: Argonne National Lab. (ANL): Argonne, IL, USA, 1995. [Google Scholar]
- Puliti, G.; Paolucci, S.; Sen, M. Nanofluids and their properties. Appl. Mech. Rev. 2011, 64, 30803. [Google Scholar] [CrossRef]
- Sangaiya, P.; Jayaprakash, R. A review on iron oxide nanoparticles and their biomedical applications. J. Supercond. Nov. Magn. 2018, 31, 3397–3413. [Google Scholar] [CrossRef]
- Arico, A.S.; Bruce, P.; Scrosati, B.; Tarascon, J.M.; Van Schalkwijk, W. Nanostructured materials for advanced energy conversion and storage devices. Nat. Mater. 2005, 4, 366–377. [Google Scholar] [CrossRef] [PubMed]
- Younes, H.; Mao, M.; Murshed, S.S.; Lou, D.; Hong, H.; Peterson, G. Nanofluids: Key parameters to enhance thermal conductivity and its applications. Appl. Therm. Eng. 2022, 207, 118202. [Google Scholar] [CrossRef]
- Maxwell, J.C. A Treatise on Electricity and Magnetism; Clarendon Press: Oxford, UK, 1873; Volume 1. [Google Scholar]
- Gui, N.G.J.; Stanley, C.; Nguyen, N.-T.; Rosengarten, G. Ferrofluids for heat transfer enhancement under an external magnetic field. Int. J. Heat Mass Transf. 2018, 123, 110–121. [Google Scholar] [CrossRef]
- Taylor, R.; Coulombe, S.; Otanicar, T.; Phelan, P.; Gunawan, A.; Lv, W.; Rosengarten, G.; Prasher, R.; Tyagi, H. Small particles, big impacts: A review of the diverse applications of nanofluids. J. Appl. Phys. 2013, 113, 011301. [Google Scholar] [CrossRef]
- Kleinstreuer, C.; Feng, Y. Experimental and theoretical studies of nanofluid thermal conductivity enhancement: A review. Nanoscale Res. Lett. 2011, 6, 1–13. [Google Scholar]
- Lajvard, M.; Moghimi-Rad, J.; Hadi, I.; Gavili, A.; Isfahani, T.D.; Zabihi, F.; Sabbaghzadeh, J. Experimental investigation for enhanced ferrofluid heat transfer under magnetic field effect. J. Magn. Magn. Mater. 2010, 322, 3508–3513. [Google Scholar] [CrossRef]
- Hasan, M.J.; Chen, P.; Dominick, N.; Vasquez, E.S.; Ureña-Benavides, E.E. Novel castor oil/water/ethanol Pickering emulsions stabilized by magnetic nanoparticles and magnetically controllable demulsification. Colloids Surf. A. 2023, 677 Pt B, 132424. [Google Scholar] [CrossRef]
- Popescu, R.C.; Andronescu, E.; Vasile, B.S. Recent advances in magnetite nanoparticle functionalization for nanomedicine. Nanomaterials 2019, 9, 1791. [Google Scholar] [CrossRef]
- Daoush, W.M. Co-precipitation and magnetic properties of magnetite nanoparticles for potential biomedical applications. J. Nanomed. Res. 2017, 5, 118. [Google Scholar] [CrossRef]
- Woo, K.; Hong, J.; Choi, S.; Lee, H.-W.; Ahn, J.-P.; Kim, C.S.; Lee, S.W. Easy synthesis and magnetic properties of iron oxide nanoparticles. Chem. Mater. 2004, 16, 2814–2818. [Google Scholar] [CrossRef]
- Sadeghinezhad, E.; Mehrali, M.; Saidur, R.; Mehrali, M.; Latibari, S.T.; Akhiani, A.R.; Metselaar, H.S.C. A comprehensive review on graphene nanofluids: Recent research, development and applications. Energy Convers. Manag. 2016, 111, 466–487. [Google Scholar] [CrossRef]
- Leong, K.; Ahmad, K.K.; Ong, H.C.; Ghazali, M.; Baharum, A. Synthesis and thermal conductivity characteristic of hybrid nanofluids—A review. Renew. Sustain. Energy Rev. 2017, 75, 868–878. [Google Scholar] [CrossRef]
- Schneider, W.D.H.; Dillon, A.J.P.; Camassola, M. Lignin nanoparticles enter the scene: A promising versatile green tool for multiple applications. Biotechnol. Adv. 2021, 47, 107685. [Google Scholar] [CrossRef] [PubMed]
- Xiao, D.; Ding, W.; Zhang, J.; Ge, Y.; Wu, Z.; Li, Z. Fabrication of a versatile lignin-based nano-trap for heavy metal ion capture and bacterial inhibition. Chem. Eng. J. 2019, 358, 310–320. [Google Scholar] [CrossRef]
- Kai, D.; Tan, M.J.; Chee, P.L.; Chua, Y.K.; Yap, Y.L.; Loh, X.J. Towards lignin-based functional materials in a sustainable world. Green Chem. 2016, 18, 1175–1200. [Google Scholar] [CrossRef]
- Zhou, X.; Jin, C.; Liu, G.; Wu, G.; Huo, S.; Kong, Z. Functionalized lignin-based magnetic adsorbents with tunable structure for the efficient and selective removal of Pb(II) from aqueous solution. Chem. Eng. J. 2021, 420, 130409. [Google Scholar] [CrossRef]
- Ebrahimi, R.; de Faoite, D.; Finn, D.; Stanton, K. Accurate measurement of nanofluid thermal conductivity by use of a polysaccharide stabilising agent. Int. J. Heat Mass Transf. 2019, 136, 486–500. [Google Scholar] [CrossRef]
- Abareshi, M.; Goharshadi, E.K.; Zebarjad, S.M.; Fadafan, H.K.; Youssefi, A. Fabrication, characterization and measurement of thermal conductivity of Fe3O4 nanofluids. J. Magn. Magn. Mater. 2010, 322, 3895–3901. [Google Scholar] [CrossRef]
- Rajan, A.; Sharma, M.; Sahu, N.K. Assessing magnetic and inductive thermal properties of various surfactants functionalised Fe3O4 nanoparticles for hyperthermia. Sci. Rep. 2020, 10, 15045. [Google Scholar] [CrossRef]
- Cakmak, N.K.; Said, Z.; Sundar, L.S.; Ali, Z.M.; Tiwari, A.K. Preparation, characterization, stability, and thermal conductivity of rGO-Fe3O4-TiO2 hybrid nanofluid: An experimental study. Powder Technol. 2020, 372, 235–245. [Google Scholar] [CrossRef]
- Ma, H.; Gao, B.; Wang, M.; Yuan, Z.; Shen, J.; Zhao, J.; Feng, Y. Strategies for enhancing thermal conductivity of polymer-based thermal interface materials: A review. J. Mater. Sci. 2021, 56, 1064–1086. [Google Scholar] [CrossRef]
- Kugabaeva, G.D.; Kydralieva, K.A.; Bondarenko, L.S.; Baimuratova, R.K.; Karpenkov, D.Y.; Golovkova, E.A.; Degtyarenko, P.N.; Golubeva, N.D.; Uflyand, I.E.; Dzhardimalieva, G.I. Polymer-Assisted Synthesis, Structure and Magnetic Properties of Bimetallic FeCo-and FeNi/N-Doped Carbon Nanocomposites. Magnetochemistry 2023, 9, 213. [Google Scholar] [CrossRef]
- Doganay, S.; Turgut, A.; Cetin, L. Magnetic field dependent thermal conductivity measurements of magnetic nanofluids by 3ω method. J. Magn. Magn. Mater. 2019, 474, 199–206. [Google Scholar] [CrossRef]
- Tlili, H.; Elaoud, A.; Asses, N.; Horchani-Naifer, K.; Ferhi, M.; Goya, G.F.; Fuentes-García, J.A. Reduction of Oxidizable Pollutants in Waste Water from the Wadi El Bey River Basin Using Magnetic Nanoparticles as Removal Agents. Magnetochemistry 2023, 9, 157. [Google Scholar] [CrossRef]
- Massart, R. Preparation of aqueous magnetic liquids in alkaline and acidic media. IEEE Trans. Magn. 1981, 17, 1247–1248. [Google Scholar] [CrossRef]
- Petrie, F.A. Magnetic-Lignin Nanoparticles as Potential Ethanol Extractants from Aqueous Solutions. M.S. Thesis, University of Dayton, Dayton, OH, USA, 2019. [Google Scholar]
- Westphal, E.N. Lignin-Magnetite Nanoparticles Aiding in Pickering Emulsions and Oil Manipulation and Their Rheological Properties. Master’s Thesis, University of Dayton, Dayton, OH, USA, 2021. [Google Scholar]
- Hasan, M.J.; Westphal, E.; Chen, P.; Saini, A.; Chu, I.-W.; Watzman, S.J.; Ureña-Benavides, E.; Vasquez, E.S. Adsorptive properties and on-demand magnetic response of lignin@Fe3O4 nanoparticles at castor oil–water interfaces. RSC Adv. 2023, 13, 2768–2779. [Google Scholar] [CrossRef] [PubMed]
- Hasan, M.J.; Yeganeh, F.; Ciric, A.; Chen, P.; Vasquez, E.S.; Ureña-Benavides, E.E. Liquid-Liquid Equilibria of Water+ Ethanol+ Castor Oil and the Effect of Cellulose Nanocrystal/Fe3O4 and Lignin/Fe3O4 Nanoparticles. J. Chem. Thermodyn. 2023, 180, 107007. [Google Scholar] [CrossRef]
- Petrie, F.A.; Gorham, J.M.; Busch, R.T.; Leontsev, S.O.; Ureña-Benavides, E.E.; Vasquez, E.S. Facile fabrication and characterization of kraft lignin@Fe3O4 nanocomposites using pH driven precipitation: Effects on increasing lignin content. Int. J. Biol. Macromol. 2021, 181, 313–321. [Google Scholar] [CrossRef]
- Wang, Y.-Y.; Meng, X.; Pu, Y.; Ragauskas, A.J. Recent Advances in the Application of Functionalized Lignin in Value-Added Polymeric Materials. Polymers 2020, 12, 2277. [Google Scholar] [CrossRef]
- Jang, S.P.; Choi, S.U.S. Role of Brownian motion in the enhanced thermal conductivity of nanofluids. Appl. Phys. Lett. 2004, 84, 4316–4318. [Google Scholar] [CrossRef]
- Kang, H.U.; Kim, S.H.; Oh, J.M. Estimation of thermal conductivity of nanofluid using experimental effective particle volume. Exp. Heat Transf. 2006, 19, 181–191. [Google Scholar] [CrossRef]
- Shorey, R.; Gupta, A.; Mekonnen, T.H. Hydrophobic modification of lignin for rubber composites. Ind. Crop. Prod. 2021, 174, 114189. [Google Scholar] [CrossRef]
- Wang, H.; Yang, D.; Xiong, W.; Liu, W.; Qiu, X. One-pot preparation of hydrophobic lignin/SiO2 nanoparticles and its reinforcing effect on HDPE. Int. J. Biol. Macromol. 2021, 180, 523–532. [Google Scholar] [CrossRef]
- Shahsavar, A.; Salimpour, M.R.; Saghafian, M.; Shafii, M.B. Effect of magnetic field on thermal conductivity and viscosity of a magnetic nanofluid loaded with carbon nanotubes. J. Mech. Sci. Technol. 2016, 30, 809–815. [Google Scholar] [CrossRef]
- Nkurikiyimfura, I.; Wang, Y.; Pan, Z. Heat transfer enhancement by magnetic nanofluids—A review. Renew. Sustain. Energy Rev. 2013, 21, 548–561. [Google Scholar] [CrossRef]
- Bahiraei, M.; Hangi, M. Flow and heat transfer characteristics of magnetic nanofluids: A review. J. Magn. Magn. Mater. 2015, 374, 125–138. [Google Scholar] [CrossRef]
- Philip, J.; Shima, P.D.; Raj, B. Enhancement of thermal conductivity in magnetite based nanofluid due to chainlike structures. Appl. Phys. Lett. 2007, 91, 203108. [Google Scholar] [CrossRef]
- Wang, B.; Monroe, J.G.; Kumari, S.; Leontsev, S.O.; Vasquez, E.S.; Thompson, S.M.; Berg, M.J.; Walters, D.K.; Walters, K.B. Analytical model for electromagnetic induction in pulsating pipe flows. Int. J. Heat Mass Transf. 2021, 175, 121325. [Google Scholar] [CrossRef]
- Vasquez, E.S.; Prehn, E.M.; Walters, K.B. Assessing magnetic iron oxide nanoparticle properties under different thermal treatments. J. Therm. Anal. Calorim. 2021, 143, 35–46. [Google Scholar] [CrossRef]
- Priyadarshana, G.; Kottegoda, N.; Senaratne, A.; Alwis, A.D.; Karunaratne, V. Synthesis of magnetite nanoparticles by top-down approach from a high purity ore. J. Nanomater. 2016, 16, 317. [Google Scholar] [CrossRef]
- Mirzazadeh Ghanadi, A.; Heydari Nasab, A.; Bastani, D.; Seife Kordi, A.A. The effect of nanoparticles on the mass transfer in liquid–liquid extraction. Chem. Eng. Commun. 2015, 202, 600–605. [Google Scholar] [CrossRef]
- Ounacer, M.; Essoumhi, A.; Sajieddine, M.; Razouk, A.; Costa, B.F.O.; Dubiel, S.M.; Sahlaoui, M. Structural and magnetic studies of annealed iron oxide nanoparticles. J. Supercond. Nov. Magn. 2020, 33, 3249–3261. [Google Scholar] [CrossRef]
- Gautam, B. Tuning the Thermal Conductivity of Lignin@Fe₃O₄ Colloidal Suspension through External Magnetic Field. Master’s Thesis, University of Dayton, Dayton, OH, USA, 2022. Available online: http://rave.ohiolink.edu/etdc/view?acc_num=dayton1671034996620314 (accessed on 1 February 2024).











Disclaimer/Publisher’s Note: The statements, opinions and data contained in all publications are solely those of the individual author(s) and contributor(s) and not of MDPI and/or the editor(s). MDPI and/or the editor(s) disclaim responsibility for any injury to people or property resulting from any ideas, methods, instructions or products referred to in the content. |
© 2024 by the authors. Licensee MDPI, Basel, Switzerland. This article is an open access article distributed under the terms and conditions of the Creative Commons Attribution (CC BY) license (https://creativecommons.org/licenses/by/4.0/).
Share and Cite
Gautam, B.; Nabat Al-Ajrash, S.M.; Hasan, M.J.; Saini, A.; Watzman, S.J.; Ureña-Benavides, E.; Vasquez-Guardado, E.S. Experimental Thermal Conductivity Studies of Agar-Based Aqueous Suspensions with Lignin Magnetic Nanocomposites. Magnetochemistry 2024, 10, 12. https://doi.org/10.3390/magnetochemistry10020012
Gautam B, Nabat Al-Ajrash SM, Hasan MJ, Saini A, Watzman SJ, Ureña-Benavides E, Vasquez-Guardado ES. Experimental Thermal Conductivity Studies of Agar-Based Aqueous Suspensions with Lignin Magnetic Nanocomposites. Magnetochemistry. 2024; 10(2):12. https://doi.org/10.3390/magnetochemistry10020012
Chicago/Turabian StyleGautam, Bishal, Saja M. Nabat Al-Ajrash, Mohammad Jahid Hasan, Abhishek Saini, Sarah J. Watzman, Esteban Ureña-Benavides, and Erick S. Vasquez-Guardado. 2024. "Experimental Thermal Conductivity Studies of Agar-Based Aqueous Suspensions with Lignin Magnetic Nanocomposites" Magnetochemistry 10, no. 2: 12. https://doi.org/10.3390/magnetochemistry10020012
APA StyleGautam, B., Nabat Al-Ajrash, S. M., Hasan, M. J., Saini, A., Watzman, S. J., Ureña-Benavides, E., & Vasquez-Guardado, E. S. (2024). Experimental Thermal Conductivity Studies of Agar-Based Aqueous Suspensions with Lignin Magnetic Nanocomposites. Magnetochemistry, 10(2), 12. https://doi.org/10.3390/magnetochemistry10020012

