Radiation-Induced Paramagnetic Centers in Meso- and Macroporous Synthetic Opals from EPR and ENDOR Data
Abstract
1. Introduction
2. Materials and Methods
3. Results and Discussion
4. Conclusions
- After X-ray and gamma-irradiation at RT in all samples, two groups of paramagnetic centers (unstable and fast relaxing vs. more stable and slower relaxing E’-centers) are formed. The first group is ascribed to the presence of two types of PCs, namely to the broken silicon bonds in SiO2 (SiOO· or SiO2≡Si–), and peroxy radicals O3≡Si–O–O·.
- By using pulsed high-field W-band EPR, the spectroscopic parameters g1 = 2.0020 ± 0.0004; g2 = 2.0060 ± 0.0002; and g3 = 2.0372 ± 0.002, which are not dependent on the average size of the silica spheres for the peroxy radicals, were defined with high precision.
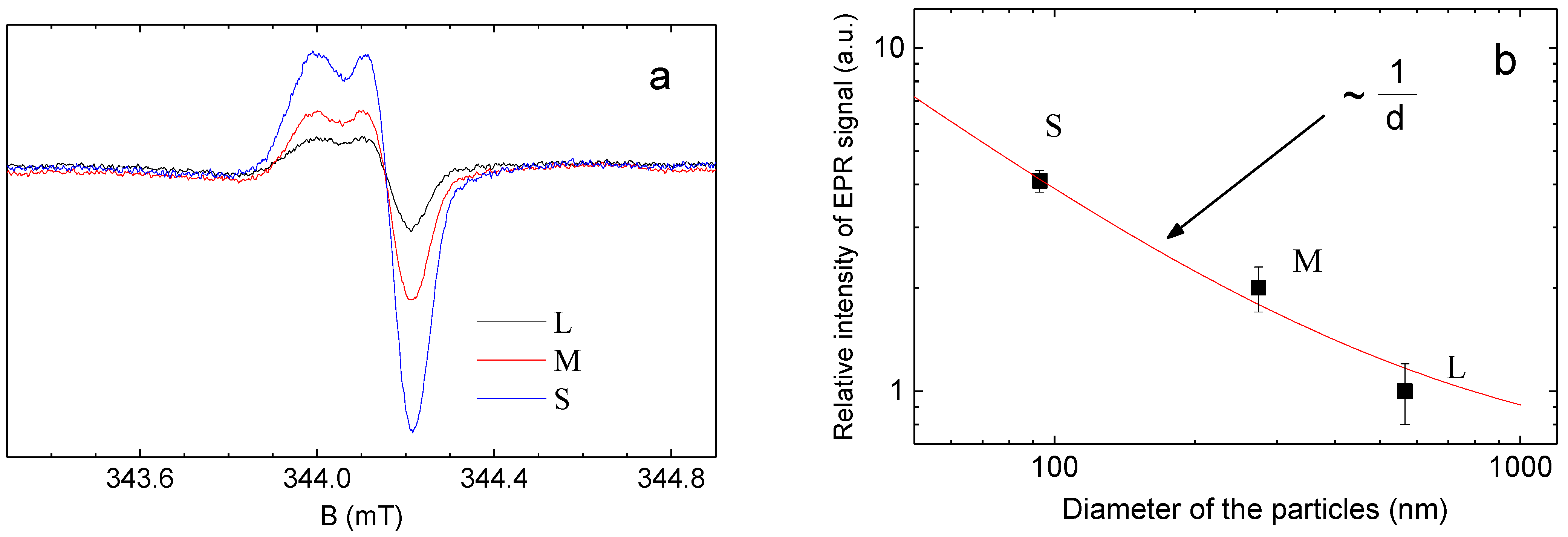
- For the long relaxing E’-centers (T1 ≈ 1 μs at T = 300 K in the magnetic field of 340 mT and T1 ≈ 700μs at T = 120 K in the magnetic field of 3400 mT), the intensity of the EPR spectra inversely depends on the average size of the silica spheres. It is ascribed to the preferable location of the E’-centers in the shell (in the near surface layer) of the SiO2 spheres.
- The half-life of the EPR intensity time decay at room temperature was defined ast1/2 = 648 ± 30 h and does not depend on the average size of the silica spheres. The EPR spectra disappear (within the sensitivity of our equipment) after annealing for 10 min atT = 423 K. The sensitivity of the EPR spectrum intensity to irradiation, the size of silica spheres, and the possibility of the rapid annealing of radiation-induced paramagnetic centers make the considered system suitable for the development of compact radiation monitoring equipment.
- From the W-band ENDOR experiments with filling pores with DMSO, it follows that E’-centers can be used for proton sensing. The ENDOR experiments also confirm that the E’-centers obtained by EPR are mainly distributed in the near-surface layer of the silica spheres. Stability, relative narrow EPR spectrum, long relaxation times even in the high magnetic fields of 3400 mT, and strong electron–nuclear interaction with protons of DMSO allow us to consider E’-centers in opal as a model of the two-dimensional system for the development of quantum technologies.
Author Contributions
Funding
Institutional Review Board Statement
Informed Consent Statement
Data Availability Statement
Acknowledgments
Conflicts of Interest
References
- Singh, B.; Na, J.; Konarova, M.; Wakihara, T.; Yamauchi, Y.; Salomon, C.; Gawande, M.B. Functional mesoporous silica nanomaterials for catalysis and environmental applications. Bull. Chem. Soc. Jpn. 2020, 93, 1459–1496. [Google Scholar] [CrossRef]
- Joannopoulos, J.D.; Johnson, S.G.; Winn, J.N.; Meade, R.D. Photonic Crystals: Molding the Flow of Light, 3rd ed.; Princeton University Press: Princeton, NJ, USA, 2008; pp. 1–304. [Google Scholar]
- Marlow, F.; Muldarisnur Sharifi, P.; Brinkmann, R.; Mendive, C. Opals: Status and prospects. Angew. Chem. Int. Ed. 2009, 48, 6212–6233. [Google Scholar] [CrossRef] [PubMed]
- Armstrong, E.; O’Dwyer, C. Artificial opal photonic crystals and inverse opal structures–fundamentals and applications from optics to energy storage. J. Mater. Chem. C 2015, 3, 6109–6143. [Google Scholar] [CrossRef]
- Fathi, F.; Rashidi, M.R.; Pakchin, P.S.; Ahmadi-Kandjani, S.; Nikniazi, A. Photonic crystal based biosensors: Emerging inverse opals for biomarker detection. Talanta 2021, 221, 121615. [Google Scholar] [CrossRef] [PubMed]
- Olla, C.; Carbonaro, C.M. The void side of silica: Surveying optical properties and applications of mesoporous silica. J. Phys. Condens. Matter 2024, 36, 253002. [Google Scholar] [CrossRef]
- D’Arienzo, M.; Morazzoni, F.; Ruffo, R.; Scotti, R. Using the electron spin resonance to detect the functional centers in materials for sensor devices. Ionics 2021, 27, 1839–1851. [Google Scholar] [CrossRef]
- Salh, R. Defect related luminescence in silicon dioxide network: A review. In Crystalline Silicon-Properties and Uses; Basu, S., Ed.; InTechOpen: Rijeka, Croatia, 2011; pp. 135–172. [Google Scholar] [CrossRef]
- Galukhin, A.; Osin, Y.; Rodionov, A.; Mamin, G.; Gafurov, M.; Orlinskii, S. Radiation-induced paramagnetic centers in nanoporous synthetic opals–a probe for near surface protons. Magn. Reson. Solids 2018, 20, 18203. [Google Scholar]
- Gafurov, M.; Galukhin, A.; Osin, Y.; Murzakhanov, F.; Gracheva, I.; Mamin, G.; Orlinskii, S. Probing the surface of synthetic opals with the vanadyl containing crude oil by using EPR and ENDOR techniques. Magn. Reson. Solids 2019, 21, 19101. [Google Scholar] [CrossRef]
- Kühnhold-Pospischil, S.; Saint-Cast, P.; Hofmann, M.; Weber, S.; Jakes, P.; Eichel, R.A.; Granwehr, J. A study on Si/Al2O3 paramagnetic point defects. J. Appl. Phys. 2016, 120, 195304. [Google Scholar] [CrossRef]
- Jansen, R. Silicon spintronics. Nat. Mater. 2012, 11, 400–408. [Google Scholar] [CrossRef]
- Arora, A. Magneto-optics of layered two-dimensional semiconductors and heterostructures: Progress and prospects. J. Appl. Phys. 2021, 129, 120902. [Google Scholar] [CrossRef]
- Griscom, D.L. Trapped-electron centers in pure and doped glassy silica: A review and synthesis. J. Non-Cryst. Solids 2011, 357, 1945–1962. [Google Scholar] [CrossRef]
- Alessi, A.; Agnello, S.; Buscarino, G.; Pan, Y.; Mashkovtsev, R.I. EPR on Radiation-Induced Defects in SiO2. In Applications of EPR in Radiation Research; Lund, A., Shiotani, M., Eds.; Springer: Berlin/Heidelberg, Germany, 2014; pp. 255–295. [Google Scholar] [CrossRef]
- Alessi, A.; Agnello, S.; Buscarino, G.; Boizot, B.; Cannas, M.; Gelardi, F.M. β-ray irradiation effects on silica nanoparticles. IOP Conf. Ser. Mater. Sci. Eng. 2015, 80, 012011. [Google Scholar] [CrossRef]
- Murphy, D.M.; Chiesa, M. EPR of paramagnetic centres on solid surfaces. In Electron Paramagnetic Resonance, Volume 21; Gilbert, B.C., Ed.; RSC Publishing: London, UK, 2008; pp. 105–130. [Google Scholar] [CrossRef]
- Gromov, O.I.; Feklichev, E.D.; Zhidomirov, G.M.; Rybaltovskii, A.O.; Sviridov, A.P.; Grigoriev, Y.V.; Ischenko, A.A.; Bagratashvili, V.N.; Golubeva, E.N. Influence of solvent electron affinity on paramagnetic defects in hybrid Si/SiOx luminescent nanoparticles. J. Nanopart. Res. 2019, 21, 127. [Google Scholar] [CrossRef]
- Agnello, S.; Boscaino, R.; Cannas, M.; Gelardi, F.M. Creation of paramagnetic defects by gamma irradiation in amorphous silica. Appl. Magn. Reson. 2000, 19, 579–585. [Google Scholar] [CrossRef]
- Mahmud, H.H.; Mansour, A.; Ezz-Eldin, F.M. Generation and bleaching of E′-centers induced in a-SiO2 by γ-irradiation. J. Radioanal. Nucl. Chem. 2014, 302, 261–272. [Google Scholar] [CrossRef]
- Stesmans, A.; Clémer, K.; Afanas’ev, V.V. Electron spin resonance probing of fundamental point defects in nanometer-sized silica particles. Phys. Rev. B. 2005, 72, 155335. [Google Scholar] [CrossRef]
- Aboelezz, E.; Pogue, B.W. Review of nanomaterial advances for ionizing radiation dosimetry. Appl. Phys. Rev. 2023, 10, 021312. [Google Scholar] [CrossRef]
- Bracci, M.; Bruzzese, P.C.; Famulari, A.; Fioco, D.; Guidetti, A.; Liao, Y.K.; Podvorica, L.; Rezayi, S.F.; Serra, I.; Thangavel, K.; et al. Paramagnetic species in catalysis research: A unified approach towards (the role of EPR in) heterogeneous, homogeneous and enzyme catalysis. In Electron Paramagnetic Resonance: Volume 27; Chechik, V., Murphy, D.M., Bode., B.E., Eds.; RCS: Croydon, UK, 2020; pp. 1–46. [Google Scholar] [CrossRef]
- Goldberg, M.A.; Akopyan, A.V.; Gafurov, M.R.; Makshakova, O.N.; Donskaya, N.O.; Fomin, A.S.; Polikarpova, P.P.; Anisimov, A.V.; Murzakhanov, F.F.; Leonov, A.V.; et al. Iron-doped mesoporous powders of hydroxyapatite as molybdenum-impregnated catalysts for deep oxidative desulfurization of model fuel: Synthesis and experimental and theoretical studies. J. Phys. Chem. C 2021, 125, 11604–11619. [Google Scholar] [CrossRef]
- Alessi, A.; Kuhnhenn, J.; Buscarino, G.; Di Francesca, D.; Agnello, S. The relevance of point defects in studying silica-based materials from bulk to nanosystems. Electronics 2019, 8, 1378. [Google Scholar] [CrossRef]
- Wong, S.; Kitaev, V.; Ozin, G.A. Colloidal Crystal Films: Advances in Universality and Perfection. J. Am. Chem. Soc. 2003, 125, 15589–15598. [Google Scholar] [CrossRef]
- Galukhin, A.; Bolmatenkov, D.; Emelianova, A.; Zharov, I.; Gor, G.Y. Porous Structure of Silica Colloidal Crystals. Langmuir 2019, 35, 2230–2235. [Google Scholar] [CrossRef] [PubMed]
- Latypova, L.R.; Mukhamatdinov, I.I.; Rodionov, A.A.; Shurtakova, D.V.; Gafurov, M.R. Temperature Dependence of the Electron Spin–Lattice Relaxation Time of Vanadyl Porphyrins in Asphaltenes from the Ashalcha Oilfield. Appl. Magn. Reson. 2024, 55, 1221–1232. [Google Scholar] [CrossRef]
- Stoll, S.; Schweiger, A. EasySpin, a comprehensive software package for spectral simulation and analysis in EPR. J. Magn. Reson. 2006, 178, 42–55. [Google Scholar] [CrossRef] [PubMed]
- Stapelbroek, M.; Griscom, D.L.; Friebele, E.J.; Sigel, G.H., Jr. Oxygen-associated trapped-hole centers in high-purity fused silicas. J. Non-Cryst. Sol. 1979, 32, 313–326. [Google Scholar] [CrossRef]
- Griscom, D.L.; Brinker, C.J. Influence of Processing Parameters on the Defect Structures of Gel-Derived Silicas. Defect Diffus. Forum 1987, 53–54, 213–226. [Google Scholar] [CrossRef]
- Griscom, D.L.; Friebele, E.J. Fundamental defect centers in glass: Si 29 hyperfine structure of the nonbridging oxygen hole center and the peroxy radical in a-SiO2. Phys. Rev. B 1981, 24, 4896. [Google Scholar] [CrossRef]
- Shukla, A.K. ESR Applications in Paleontology and Geochronology. In ESR Spectroscopy for Life Science Applications: An Introduction—Techniques in Life Science and Biomedicine for the Non-Expert; Springer: Cham, Switzerland, 2021. [Google Scholar] [CrossRef]
- Yavkin, B.V.; Mamin, G.V.; Gafurov, M.R.; Orlinskii, S.B. Size-dependent concentration of N0 paramagnetic centres in HPHT nanodiamonds. Magn. Reson. Solids 2015, 17, 15101. [Google Scholar]








| Sample | Average Size, nm | as(BET), m2 g−1 | Pore Volume, cm3 g−1 | Φ | do, nm | dt, nm |
|---|---|---|---|---|---|---|
| S | 93 ± 6 | 33.8 ± 0.2 | 0.23 ± 0.01 | 0.33 ± 0.01 | 59 | 34 |
| M | 274 ± 15 | 9.4 ± 0.1 | 0.19 ± 0.01 | 0.28 ± 0.01 | 173 | 101 |
| L | 565 ± 20 | 5.1 ± 0.1 | 0.22 ± 0.01 | 0.32 ± 0.01 | 357 | 208 |
Disclaimer/Publisher’s Note: The statements, opinions and data contained in all publications are solely those of the individual author(s) and contributor(s) and not of MDPI and/or the editor(s). MDPI and/or the editor(s) disclaim responsibility for any injury to people or property resulting from any ideas, methods, instructions or products referred to in the content. |
© 2024 by the authors. Licensee MDPI, Basel, Switzerland. This article is an open access article distributed under the terms and conditions of the Creative Commons Attribution (CC BY) license (https://creativecommons.org/licenses/by/4.0/).
Share and Cite
Rodionov, A.; Latypova, L.; Mamin, G.; Gafurov, M. Radiation-Induced Paramagnetic Centers in Meso- and Macroporous Synthetic Opals from EPR and ENDOR Data. Magnetochemistry 2024, 10, 84. https://doi.org/10.3390/magnetochemistry10110084
Rodionov A, Latypova L, Mamin G, Gafurov M. Radiation-Induced Paramagnetic Centers in Meso- and Macroporous Synthetic Opals from EPR and ENDOR Data. Magnetochemistry. 2024; 10(11):84. https://doi.org/10.3390/magnetochemistry10110084
Chicago/Turabian StyleRodionov, Alexander, Larisa Latypova, Georgy Mamin, and Marat Gafurov. 2024. "Radiation-Induced Paramagnetic Centers in Meso- and Macroporous Synthetic Opals from EPR and ENDOR Data" Magnetochemistry 10, no. 11: 84. https://doi.org/10.3390/magnetochemistry10110084
APA StyleRodionov, A., Latypova, L., Mamin, G., & Gafurov, M. (2024). Radiation-Induced Paramagnetic Centers in Meso- and Macroporous Synthetic Opals from EPR and ENDOR Data. Magnetochemistry, 10(11), 84. https://doi.org/10.3390/magnetochemistry10110084

