Thermal Requirements, Phenology, and Maturation of Juice Grape Cultivars Subjected to Different Pruning Types
Abstract
1. Introduction
2. Materials and Methods
2.1. Treatments, Experimental Design and Experimental Area
2.2. Vine Growing Conditions and Production Pruning
2.3. Phenology, Thermal Requirement, and Ripening of Grape
2.4. Statistical Analyses
3. Results and Discussion
3.1. Phenological Stages and Thermal Requirement
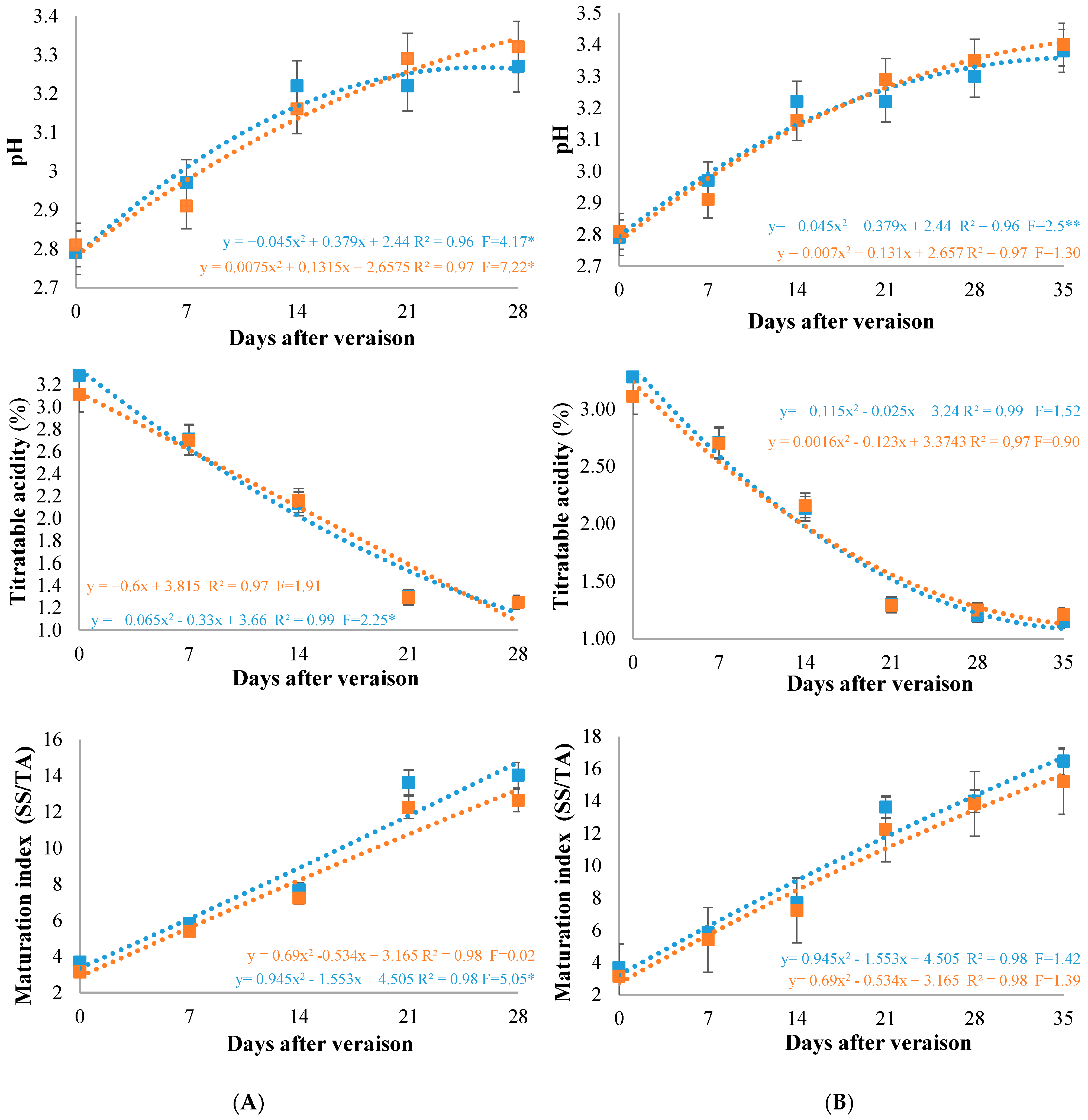
3.2. Quality Parameter
4. Conclusions
Author Contributions
Funding
Data Availability Statement
Acknowledgments
Conflicts of Interest
References
- Mello, M.R.; Machado, C.E. Comunicado Técnico n° 226Vitivinicultura Brasileira: Panorama 2021; Embrapa Uva e Vinho: Bento Gonçalves, Brazil, 2022; p. 17. [Google Scholar]
- Tecchio, M.A.; Silva, M.J.R.; Callili, D.; Hernandes, J.L.; Moura, M.F. Yield of white and red grapes, in terms of quality, from hybrids and Vitis labrusca grafted on different rootstocks. Sci. Hortic. 2020, 259, 108846. [Google Scholar] [CrossRef]
- Camargo, U.A.; Maia, J.D.G.; Ritschel, P. Cultivares de videira para processamento. In Implantação do Vinhedo, Cultivares e Manejo da Planta, 1st ed.; Silveira, S.V., Hoffmann, A., Garrido, L.R., Eds.; EMBRAPA: Brasília, Brazil, 2015; Volume 3, pp. 26–46. [Google Scholar]
- Rizzon, L.A.; Meneguzzo, J. Suco de Uva; Embrapa Informação Tecnológica: Brasília, Brazil, 2007; p. 45. [Google Scholar]
- Camargo, U.A.; Maia, J.D.G. Comunicado Técnico n° 53: BRS Cora—Nova Cultivar de Uva para Suco, Adaptada a Climas Tropicais; Embrapa Uva e Vinho: Bento Gonçalves, Brazil, 2004; pp. 1–7. [Google Scholar]
- Camargo, U.A.; Maia, J.D.G.; Nachtigal, J.C. Comunicado Técnico n° 63:BRS Violeta—Nova Cultivar de Uva para Suco e Vinho de Mesa; Embrapa Uva e Vinho: Bento Gonçalves, Brazil, 2005; pp. 1–8. [Google Scholar]
- Malgarim, M.B.; Afinovicz, A.P.; Euleuterio, M.D.; Pierin, F.F.; Dias, J.S.; Sozim, M. Diferentes tipos de poda na produçãoda videira cv. Bordô. Semin. Cienc. Agrar. 2009, 30, 1203–1206. [Google Scholar] [CrossRef]
- Yilmaz, T.; Fennell, A. Spur and Short cane pruning influence bud viability, yield and fruit quality. Proc. S. D. Acad. Sci. 2021, 100, 81–91. [Google Scholar]
- Aliquó, G.; Catania, A.; Aguado, G. La poda de la vid. In Secretaria de Agricultura, Ganadería, Pesca y Alimentación; Instituto Nacional de Tecnología Agropecuaria (INTA): Mendoza, Argentina, 2010; pp. 9–14. [Google Scholar]
- Hernandes, J.L.; Pedro Júnior, M.J.; Santos, A.O.; Tecchio, M.A. Fenologia e produção de cultivares americanas e híbridas de uvas para vinho, em Jundiaí-SP. Rev. Bras. Frutic. 2010, 32, 135–142. [Google Scholar] [CrossRef]
- Barros, L.B.; Margoti, G.; Fowler, J.G.; De Mio, L.L.M.; Biasi, L.A. Thermal requirement and phenology of different cultivars of Vitis labrusca on different rootstocks. Semin. Cienc. Agrar. 2015, 36, 2433–2442. [Google Scholar] [CrossRef]
- Silva, M.J.R.; Paiva, A.P.M.; Pimentel Junior, A.; Sánchez, C.A.P.C.; Callili, D.; Moura, M.F.; Leonel, S.; Tecchio, M.A. Yield performance of new juice grape varieties grafted onto different rootstocks under tropical conditions. Sci. Hortic. 2018, 241, 194–200. [Google Scholar] [CrossRef]
- Lima, M.A.C.; Choudhury, M.M. Características dos cachos de uva. In Uva de Mesa: Pós-Colheita, 2nd ed.; Lima, M.A.C., Ed.; Embrapa Semiárido-Informação Tecnológica: Petrolina, Brazil, 2007; pp. 21–30. [Google Scholar]
- Santos, H.G.; Jacomine, P.K.T.; Anjos, L.H.C.; Oliveira, V.A.; Lumbreras, J.F.; Coelho, M.R.; Almeida, J.A.; Cunha, T.J.F.; Oliveira, J.B. Sistema Brasileiro de Classificação de Solos, 3rd ed.; Embrapa: Brasília, Brazil, 2013; 353p, Available online: https://www.embrapa.br/solos/sibcs (accessed on 10 May 2023).
- Soil Survey Staff. Soil Taxonomy: A Basic System of Soil Classification for Making and Interpreting Soil Surveys, 2nd ed.; USDA, NRCS: Washington, DC, USA, 1999. Available online: https://www.nrcs.usda.gov/wps/portal/nrcs/main/soils/survey/class/taxonomy/ (accessed on 27 November 2022).
- Conceição, M.A.F.; Tecchio, M.A.; Souza, R.T.; Silva, M.J.R.; Moura, M.F. Estimativa dos coeficientes de cultivo (kc) de videiras para suco. Agrometeoros 2017, 25, 203–210. [Google Scholar] [CrossRef]
- Coombe, B.G. Growth Stages of the Grapevine: Adoption of a system for identifying grapevine growth stages. Aust. J. Grape Wine Res. 1995, 1, 104–110. [Google Scholar] [CrossRef]
- Winkler, A.J. Viticultura; Compañia Editorial Continental: Coyoacán, Mexico, 1965; 792p. [Google Scholar]
- Sozim, M.; Ayub, R.A.; Malgarim, M.B. Efeito do tipo de poda na produção e qualidade da videira cv, Vênus. Sci. Agrar. 2007, 8, 169–172. [Google Scholar] [CrossRef]
- Mariani, J.A.; Nava, G.A. Productivity and chemical quality of grapevines cultivated in agroecological system under subtropical climate. Rev. Bras. Frutic. 2018, 40, e924. [Google Scholar] [CrossRef]
- Camargo, U.A.; Maia, J.D.G.; Ritschel, P. Embrapa Uva e Vinho: Novas Cultivares Brasileiras de Uva; Embrapa Uva e Vinho: Bento Gonçalves, Brazil, 2010; p. 64. [Google Scholar]
- Brixner, G.F.; Schöffel, E.R.; Lago, I.; Radünz, A.L.; Krüger, A.P. Risco de geada e duração dos subperíodos fenológicos da ‘Cabernet Sauvignon’ na Região da Campanha. Rev. Bras. Eng. Agríc. Ambient. 2014, 18, 210–216. [Google Scholar] [CrossRef]
- Chiarotti, F.; Morgoti, G.; Fowler, J.G.; Cuquel, F.; Biasi, L.A. Caracterização fenológica, exigência térmica e maturação da uva ‘Bordô’ em Bocaiuva do Sul, PR. Agrária 2014, 9, 338–342. [Google Scholar] [CrossRef]
- Ahmed, S.; Roberto, S.R.; Shahab, M.; Colombo, R.C.; Silvestre, J.P.; Koyama, R.; Souza, R.T. Proposal of double-cropping system for “BRS Isis” seedless grape grown in subtropical area. Sci. Hortic. 2019, 251, 118–126. [Google Scholar] [CrossRef]
- Callili, D.; Silva, M.J.R.; Sánchez, C.A.P.C.; Watanabe, C.Y.; Macedo, B.M.P.; Domingues Neto, F.J.; Teixeira, L.A.J.; Tecchio, M.A. Rootstock and potassium fertilization, in terms of phenology, thermal demand and chemical evolution, of berries on Niagara Rosada grapevine under subtropical conditions. Bragantia 2022, 81, e2022. [Google Scholar] [CrossRef]
- Brasil. Complementação dos Padrões de Identidade e Qualidade do Vinho e Derivados da Uva e do Vinho. In Instrução Normativa N° 14 de 8 de Fevereiro de 2018; Diário Oficial da União; Ministério da Agricultura, Pecuária e Abastecimento: Brasília, Brazil, 2018; pp. 1–27. Available online: https://www.gov.br/agricultura/pt-br/assuntos/noticias/mapa-atualiza-padroes-de-vinho-uva-e-derivados/INMAPA142018PIQVinhoseDerivados.pdf (accessed on 15 January 2023).
- Tecchio, M.A.; Silva, M.J.R.; Cunha, S.R.; Callili, D.; Sánchez, C.A.P.C.; Souza, J.R.; Moura, M.F. Productive performance and physicochemical quality of grapes for processing grown on different rootstocks. Pesqui. Agropecu. Bras. 2022, 57, e02071. [Google Scholar] [CrossRef]
- Manfroi, L.; Miele, L.; Rizzon, L.A.; Barradas, C.I.N.; Souza, P.V.D. Evolução da maturação da uva ‘Cabernet Franc’ conduzida no sistema lira aberta. Ciênc. Agrotec. 2004, 28, 306–313. [Google Scholar] [CrossRef]
- Wrolstad, R.E.; Durst, R.W.; Lee, J. Tracking color and pigment changes in anthocyanin products. Trends Food. Sci. Technol. 2005, 16, 423–428. [Google Scholar] [CrossRef]
- Yamamoto, L.Y.; Assis, A.M.; Roberto, S.R.; Bovolenta, Y.R.; Nixford, S.L.; García-Romero, E.; Gómez-Alonso, S.; Hermanoín-Gutiérrez, I. Application of abscisic acid (S-ABA) to cv. Isabel grapes (Vitis vinifera × Vitis labrusca) for color improvement: Effects on color, phenolic composition and antioxidant capacity of their grape juice. Food Res. 2015, 77, 572–583. [Google Scholar] [CrossRef]
- Gurak, P.D.; Cabral, L.M.C.; Leão, M.H.M.R.; Matta, V.M.; Freitas, S.P. Quality evaluation of grape juice concentrated by reverse osmosis. J. Food Eng. 2010, 96, 421–426. [Google Scholar] [CrossRef]
- Ribeiro, T.P.; Lima, M.A.C.; Alves, R.E. Maturação e qualidade de uvas para suco em condições tropicais, nos primeiros ciclos de produção. Pesqui. Agropecu. Bras. 2012, 47, 1057–1065. [Google Scholar] [CrossRef]







| Cultivar/ Pruning | Budburst | Full-Bloom | Setting | ||||
| Season | Short | Mixed | Short | Mixed | Short | Mixed | |
| Bordo | I | 23 ± 1.5 | 22 ± 1.7 b | 52 ± 3.0 | 51 ± 2.0 b | 58 ± 3.1 | 57 ± 2.4 b |
| BRS Cora | I | 25 ± 1.8 | 27 ± 0.6 a | 54 ± 0.6 | 54 ± 0.9 a | 58 ± 0.6 | 61 ± 2.5 a |
| BRS Violeta | I | 23 ± 1.9 | 24 ± 1.8 b | 53 ± 1.4 | 53 ± 1.4 a | 58 ± 1.4 | 59 ± 0.7 b |
| p-value | I | 0.29 | 0.22 | 0.35 | |||
| Bordo | II | 23 ± 1.5 b | 23 ± 1.5 b | 57 ± 3.7 | 57 ± 3.7 | 61 ± 1.6 b | 61 ± 1.6 b |
| BRS Cora | II | 26 ± 1.0 a | 26 ± 2.0 a | 58 ± 3.1 | 58 ± 3.0 | 67 ± 1.5 a | 67 ± 1.4 a |
| BRS Violeta | II | 23 ± 0.8 b | 23 ± 0.6 b | 57 ± 2.3 | 56 ± 3.2 | 64 ± 2.6 b | 64 ± 2.6 b |
| p-value | II | 0.90 | 0.93 | 0.99 | |||
| Cultivar/ Pruning | Veraison | Harvest | Full Demands | ||||
|---|---|---|---|---|---|---|---|
| Season | Short | Mixed | Short | Mixed | Short | Mixed | |
| Bordo | I | 110 ± 2.1 a | 110 ± 1.8 a | 130 ± 4.4 a | 131 ± 2.3 a | 1574 ± 57.6 a | 1588 ± 28.6 a |
| BRS Cora | I | 109 ± 4.7 a | 109 ± 2.3 a | 133 ± 3.5 a | 130 ± 2.9 a | 1601 ± 45.2 a | 1567 ± 39.1 a |
| BRS Violeta | I | 97 ± 2.4 b | 97 ± 1.3 b | 118 ± 3.1 b | 118 ± 2.0 b | 1405 ± 44.2 b | 1408 ± 29.4 b |
| p-value | I | 0.99 | 0.33 | 0.34 | |||
| Bordo | II | 99 ± 1.4 b | 99 ± 2.3 b | 128 ± 1.7 b | 130 ± 2.9 a | 1470 ± 22.3 ab | 1492 ± 38.3 a |
| BRS Cora | II | 105 ± 2.1 a | 104 ± 2.3 a | 133 ± 2.2 a | 131 ± 2.1 a | 1517 ± 61.1 a | 1519 ± 28.9 a |
| BRS Violeta | II | 99 ± 1.5 b | 99 ± 1.6 b | 125 ± 2.3 b | 125 ± 1.2 b | 1440 ± 31.8 b | 1437 ± 14.8 b |
| p-value | II | 0.7 | 0.20 | 0.65 | |||
| Phenological Stages (DAP) | Scion | Pruning | ||||||
|---|---|---|---|---|---|---|---|---|
| Season | Bordô | BRS Cora | BRS Violeta | p-Value | Short | Mixed | p-Value | |
| Budburst | I | 22 ± 1.6 b | 28 ± 4.2 a | 23 ± 1.8 b | <0.01 | 23 ± 1.8 b | 25 ± 4.9 a | <0.01 |
| II | 23 ± 1.4 c | 26 ± 1.5 a | 23 ± 0.7 b | <0.01 | 24 ± 1.9 | 24 ± 2.0 | 0.62 | |
| Full-bloom | I | 51 ± 2.6 b | 54 ± 0.7 a | 53 ± 1.3 ab | <0.01 | 53 ± 1.9 | 53 ± 2.1 | 0.46 |
| II | 56 ± 3.5 ab | 58 ± 2.9 a | 56 ± 2.7 b | <0.05 | 57 ± 3.0 | 57 ± 3.2 | 0.85 | |
| Setting | I | 58 ± 2.8 b | 60 ± 2.3 a | 59 ± 1.1 ab | <0.01 | 59 ± 1.9 | 59 ± 3.0 | 0.52 |
| II | 61 ± 1.6 c | 67 ± 1.4 a | 64 ± 2.5 b | <0.01 | 64 ± 3.0 | 64 ± 3.0 | 0.99 | |
| Veraison | I | 110 ± 1.9 a | 110 ± 5.8 a | 97 ± 1.9 b | <0.01 | 106 ± 7.1 | 106 ± 7.4 | 0.97 |
| II | 99 ± 1.9 b | 104 ± 2.1 a | 99 ± 1.5 b | <0.01 | 101 ± 3.2 | 101 ± 3.0 | 0.93 | |
| Harvest | I | 131 ± 3.4 a | 131 ± 3.4 a | 118 ± 2.5 b | <0.01 | 127 ± 7.4 | 126 ± 6.3 | 0.67 |
| II | 129 ± 2.4 b | 132 ± 2.2 a | 125 ± 1.7 c | <0.01 | 129 ± 4.0 | 129 ± 3.4 | 0.81 | |
| Full demands (DD) | I | 1581 ± 44.0 a | 1584 ± 44.1 a | 1406 ± 35.8 b | <0.01 | 1527 ± 100.2 | 1521 ± 86.7 | 0.67 |
| II | 1480 ± 32 b | 1518 ± 45 a | 1438 ± 24 c | <0.01 | 1476 ± 51.2 | 1481± 44.5 | 0.64 | |
Disclaimer/Publisher’s Note: The statements, opinions and data contained in all publications are solely those of the individual author(s) and contributor(s) and not of MDPI and/or the editor(s). MDPI and/or the editor(s) disclaim responsibility for any injury to people or property resulting from any ideas, methods, instructions or products referred to in the content. |
© 2023 by the authors. Licensee MDPI, Basel, Switzerland. This article is an open access article distributed under the terms and conditions of the Creative Commons Attribution (CC BY) license (https://creativecommons.org/licenses/by/4.0/).
Share and Cite
Sánchez, C.A.P.C.; Callili, D.; Carneiro, D.C.d.S.; Silva, S.P.S.d.; Scudeletti, A.C.B.; Leonel, S.; Tecchio, M.A. Thermal Requirements, Phenology, and Maturation of Juice Grape Cultivars Subjected to Different Pruning Types. Horticulturae 2023, 9, 691. https://doi.org/10.3390/horticulturae9060691
Sánchez CAPC, Callili D, Carneiro DCdS, Silva SPSd, Scudeletti ACB, Leonel S, Tecchio MA. Thermal Requirements, Phenology, and Maturation of Juice Grape Cultivars Subjected to Different Pruning Types. Horticulturae. 2023; 9(6):691. https://doi.org/10.3390/horticulturae9060691
Chicago/Turabian StyleSánchez, Camilo André Pereira Contreras, Daniel Callili, Débora Cavalcante dos Santos Carneiro, Safira Pataro Sampaio da Silva, Ana Carolina Barduzzi Scudeletti, Sarita Leonel, and Marco Antonio Tecchio. 2023. "Thermal Requirements, Phenology, and Maturation of Juice Grape Cultivars Subjected to Different Pruning Types" Horticulturae 9, no. 6: 691. https://doi.org/10.3390/horticulturae9060691
APA StyleSánchez, C. A. P. C., Callili, D., Carneiro, D. C. d. S., Silva, S. P. S. d., Scudeletti, A. C. B., Leonel, S., & Tecchio, M. A. (2023). Thermal Requirements, Phenology, and Maturation of Juice Grape Cultivars Subjected to Different Pruning Types. Horticulturae, 9(6), 691. https://doi.org/10.3390/horticulturae9060691

