UV-A Supplement Improved Growth, Antioxidant Capacity, and Anthocyanin Accumulation in Purple Lettuce (Lactuca sativa L.)
Abstract
1. Introduction
2. Materials and Methods
2.1. Plant Materials and Treatments
2.2. Growth and Photosynthesis Parameters
2.3. ROS Accumulation and Stability of Membranes
2.4. Enzymatic Antioxidant Measurement
2.5. Non-Enzymatic Antioxidant and Free Radical Scavenging Activity Measurement
2.6. Anthocyanin Content
2.7. Gene Expression
2.8. Statistical Analyses
3. Results
3.1. Growth
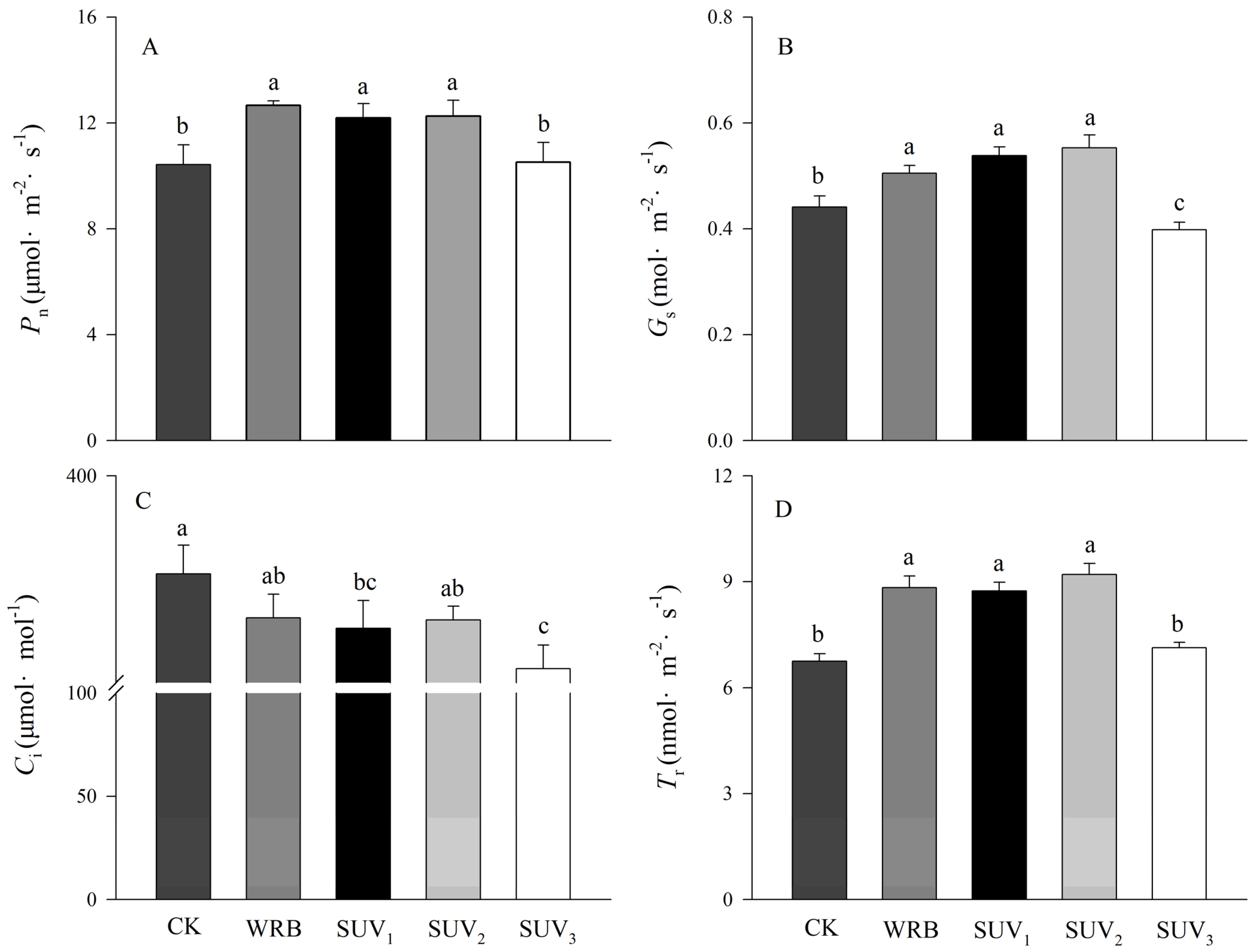
3.2. Photosynthesis Parameters
3.3. ROS Accumulation and Stability of Cell
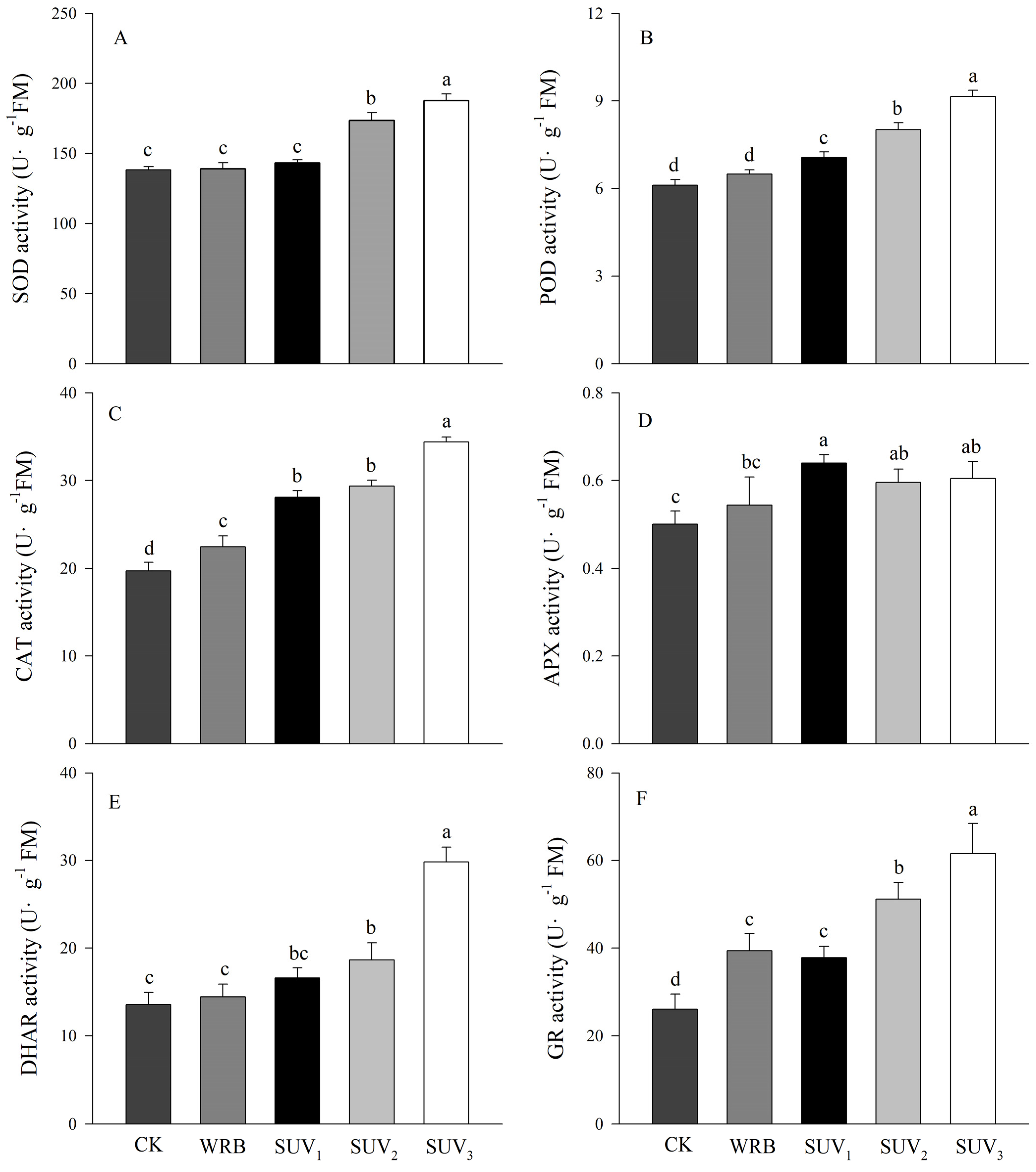
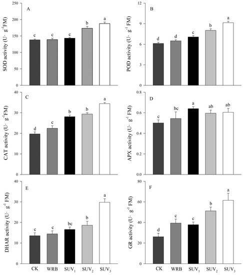
3.4. Enzymatic Antioxidant Mechanism
3.5. Non-Enzymatic Antioxidant Mechanism and Free Radical Scavenging Activity
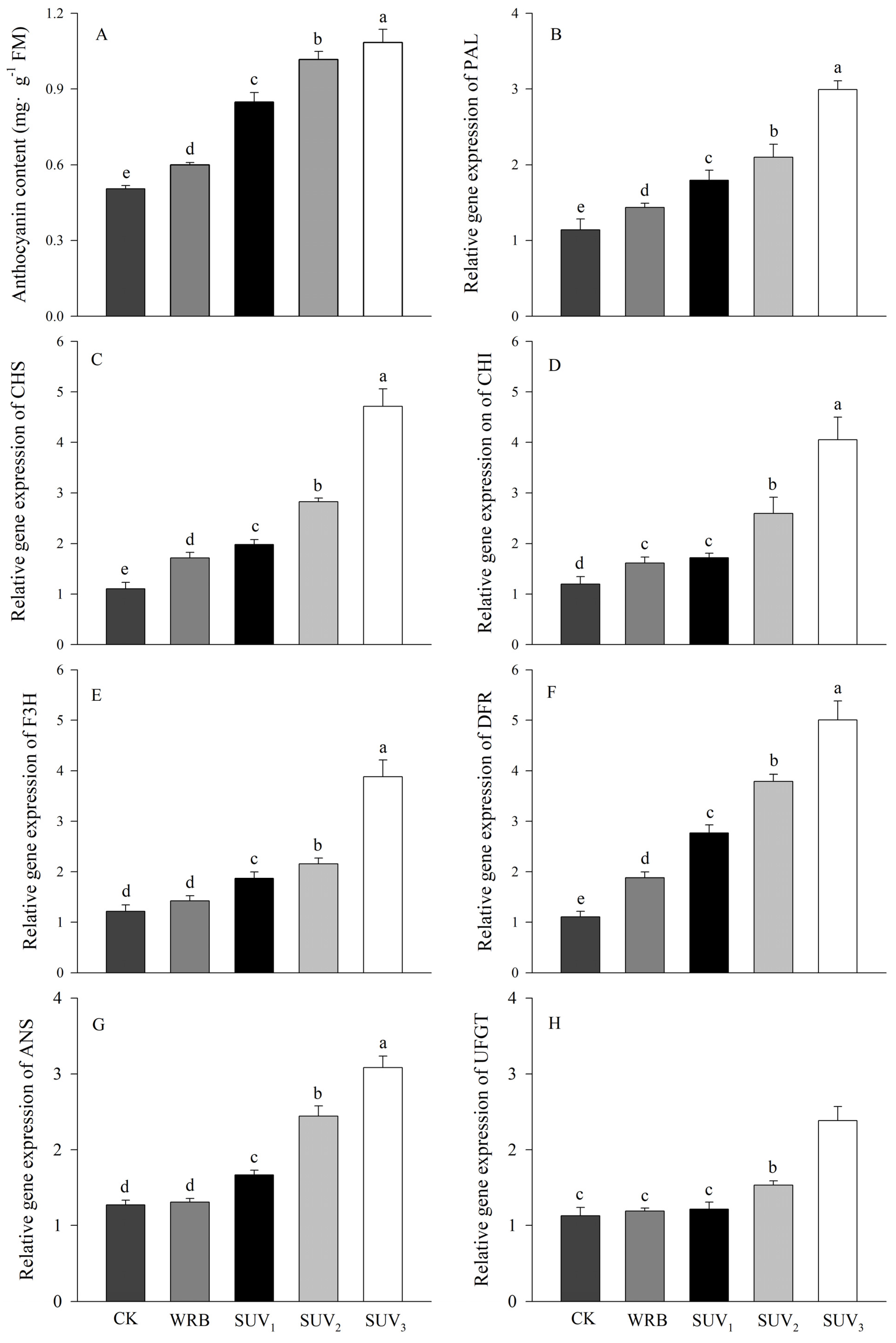
3.6. Anthocyanin Content and Synthesis-Related Structural Gene Expression
4. Discussion
4.1. UV-A Could Improve Growth via Enhancing Photosynthesis
4.2. UV-A Could Promote Antioxidant Capacity and Increase Anthocyanin Content
4.3. UV-A Supplementation Induces Upregulation of Structural Genes Related to Anthocyanin Biosynthesis in Purple Lettuce
5. Conclusions
Supplementary Materials
Author Contributions
Funding
Data Availability Statement
Conflicts of Interest
References
- Ilic, Z.S.; Fallik, E. Light quality manipulation improves vegetable quality at harvest and postharvest: A review. Environ. Exp. Bot. 2017, 139, 79–90. [Google Scholar] [CrossRef]
- Olle, M.; Virsile, A. The effects of light-emitting diode lighting on greenhouse plant growth and quality. Agric. Food Sci. 2013, 22, 223–234. [Google Scholar] [CrossRef]
- Azad, M.O.K.; Kjaer, K.H.; Adnan, M.; Naznin, M.T.; Lim, J.D.; Sung, I.J.; Park, C.H.; Lim, Y.S. The Evaluation of Growth Performance, Photosynthetic Capacity, and Primary and Secondary Metabolite Content of Leaf Lettuce Grown under Limited Irradiation of Blue and Red LED Light in an Urban Plant Factory. Agriculture 2020, 10, 28. [Google Scholar] [CrossRef]
- Lee, M.J.; Son, J.E.; Oh, M.M. Growth and phenolic compounds of Lactuca sativa L. grown in a closed-type plant production system with UV-A,-B, or-C lamp. J. Sci. Food Agric. 2014, 94, 197–204. [Google Scholar] [CrossRef] [PubMed]
- Naznin, M.T.; Lefsrud, M.; Gravel, V.; Azad, M.O.K. Blue Light added with Red LEDs Enhance Growth Characteristics, Pigments Content, and Antioxidant Capacity in Lettuce, Spinach, Kale, Basil, and Sweet Pepper in a Controlled Environment. Plants 2019, 8, 93. [Google Scholar] [CrossRef] [PubMed]
- Bian, Z.; Yang, Q.; Li, T.; Cheng, R.; Barnett, Y.; Lu, C. Study of the beneficial effects of green light on lettuce grown under short-term continuous red and blue light-emitting diodes. Physiol. Plant. 2018, 164, 226–240. [Google Scholar] [CrossRef]
- Johkan, M.; Shoji, K.; Goto, F.; Hashida, S.-n.; Yoshihara, T. Blue light-emitting diode light irradiation of seedlings improves seedling quality and growth after transplanting in red leaf lettuce. HortScience 2010, 45, 1809–1814. [Google Scholar] [CrossRef]
- Claypool, N.; Lieth, J. Physiological responses of pepper seedlings to various ratios of blue, green, and red light using LED lamps. Sci. Hortic. 2020, 268, 109371. [Google Scholar] [CrossRef]
- Chen, X.-l.; Xue, X.-z.; Guo, W.-z.; Wang, L.-c.; Qiao, X.-j. Growth and nutritional properties of lettuce affected by mixed irradiation of white and supplemental light provided by light-emitting diode. Sci. Hortic. 2016, 200, 111–118. [Google Scholar] [CrossRef]
- Shioshita, R.; Enoka, J.; Aiona, D.K.; Wall, M. Coloration and growth of red lettuce grown under UV-radiation transmitting and non-transmitting covers. In Proceedings of the XXVII International Horticultural Congress-IHC2006: International Symposium on Advances in Environmental Control, Automation, Seoul, Republic of Korea, 13–19 August 2006; Volume 761, pp. 221–225. [Google Scholar]
- García-Macías, P.; Ordidge, M.; Vysini, E.; Waroonphan, S.; Battey, N.H.; Gordon, M.H.; Hadley, P.; John, P.; Lovegrove, J.A.; Wagstaffe, A. Changes in the flavonoid and phenolic acid contents and antioxidant activity of red leaf lettuce (Lollo Rosso) due to cultivation under plastic films varying in ultraviolet transparency. J. Agric. Food Chem. 2007, 55, 10168–10172. [Google Scholar] [CrossRef]
- Hideg, É.; Jansen, M.A.; Strid, Å. UV-B exposure, ROS, and stress: Inseparable companions or loosely linked associates? Trends Plant Sci. 2013, 18, 107–115. [Google Scholar] [CrossRef]
- Balakumar, T.; Gayathri, B.; Anbudurai, P. Oxidative stress injury in tomato plants induced by supplemental UV-B radiation. Biol. Plant. 1997, 39, 215–221. [Google Scholar] [CrossRef]
- Mariz-Ponte, N.; Mendes, R.; Sario, S.; De Oliveira, J.F.; Melo, P.; Santos, C. Tomato plants use non-enzymatic antioxidant pathways to cope with moderate UV-A/B irradiation: A contribution to the use of UV-A/B in horticulture. J. Plant Physiol. 2018, 221, 32–42. [Google Scholar] [CrossRef] [PubMed]
- Zhou, X.; Zhou, M.; Liu, Y.; Ye, Q.; Gu, J.; Luo, G. Isolation and identification of antioxidant compounds from gynura bicolor stems and leaves. Int. J. Food Prop. 2016, 19, 233–241. [Google Scholar] [CrossRef]
- Mao, P.; Duan, F.; Zheng, Y.; Yang, Q. Blue and UV-A light wavelengths positively affected accumulation profiles of healthy compounds in pak-choi. J. Sci. Food Agric. 2021, 101, 1676–1684. [Google Scholar] [CrossRef] [PubMed]
- Moon, Y.R.; Lee, M.H.; Tovuu, A.; Lee, C.H.; Chung, B.Y.; Park, Y.I.; Kim, J.H. Acute exposure to UV-B sensitizes cucumber, tomato, and Arabidopsis plants to photooxidative stress by inhibiting thermal energy dissipation and antioxidant defense. J. Radiat. Res. 2011, 52, 238–248. [Google Scholar] [CrossRef]
- Gao, C.; Xing, D.; Li, L.; Zhang, L. Implication of reactive oxygen species and mitochondrial dysfunction in the early stages of plant programmed cell death induced by ultraviolet-C overexposure. Planta 2008, 227, 755–767. [Google Scholar] [CrossRef]
- Kalbina, I.; Strid, A. The role of NADPH oxidase and MAP kinase phosphatase in UV-B-dependent gene expression in Arabidopsis. Plant Cell Environ. 2006, 29, 1783–1793. [Google Scholar] [CrossRef]
- Jenkins, G.I.; Long, J.C.; Wade, H.K.; Shenton, M.R.; Bibikova, T.N. UV and blue light signalling: Pathways regulating chalcone synthase gene expression in Arabidopsis. New Phytol. 2001, 151, 121–131. [Google Scholar] [CrossRef]
- Lucas, R.M.; Norval, M.; Neale, R.E.; Young, A.R.; de Gruijl, F.R.; Takizawa, Y.; van der Leun, J.C. The consequences for human health of stratospheric ozone depletion in association with other environmental factors. Photochem. Photobiol. Sci. 2015, 14, 53–87. [Google Scholar] [CrossRef]
- Lee, J.S.; Kim, Y.H. Growth and Anthocyanins of Lettuce Grown under Red or Blue Light-emitting Diodes with Distinct Peak Wavelength. Korean J. Hortic. Sci. Technol. 2014, 32, 330–339. [Google Scholar] [CrossRef]
- Zhang, T.; Shi, Y.Y.; Piao, F.Z.; Sun, Z.Q. Effects of different LED sources on the growth and nitrogen metabolism of lettuce. Plant Cell Tissue Organ Cult. 2018, 134, 231–240. [Google Scholar] [CrossRef]
- Brehe, J.E.; Burch, H.B. Enzymatic assay for glutathione. Anal. Biochem. 1976, 74, 189–197. [Google Scholar] [CrossRef] [PubMed]
- Dewanto, V.; Wu, X.; Adom, K.K.; Liu, R.H. Thermal processing enhances the nutritional value of tomatoes by increasing total antioxidant activity. J. Agric. Food Chem. 2002, 50, 3010–3014. [Google Scholar] [CrossRef]
- Harkat-Madouri, L.; Asma, B.; Madani, K.; Said, Z.B.-O.S.; Rigou, P.; Grenier, D.; Allalou, H.; Remini, H.; Adjaoud, A.; Boulekbache-Makhlouf, L. Chemical composition, antibacterial and antioxidant activities of essential oil of Eucalyptus globulus from Algeria. Ind. Crops Prod. 2015, 78, 148–153. [Google Scholar] [CrossRef]
- Mitchell, C.A. History of Controlled Environment Horticulture: Indoor Farming and Its Key Technologies. Hortscience 2022, 57, 247–256. [Google Scholar] [CrossRef]
- Kang, S.; Zhang, Y.T.; Zhang, Y.Q.; Zou, J.; Yang, Q.C.; Li, T. Ultraviolet-A Radiation Stimulates Growth of Indoor Cultivated Tomato (Solanum lycopersicum) Seedlings. Hortscience 2018, 53, 1429–1433. [Google Scholar] [CrossRef]
- Nayak, L.; Biswal, B.; Ramaswamy, N.; Iyer, R.; Nair, J.; Biswal, U. Ultraviolet-A induced changes in photosystem II of thylakoids: Effects of senescence and high growth temperature. J. Photochem. Photobiol. B Biol. 2003, 70, 59–65. [Google Scholar] [CrossRef]
- Verdaguer, D.; Jansen, M.A.; Llorens, L.; Morales, L.O.; Neugart, S. UV-A radiation effects on higher plants: Exploring the known unknown. Plant Sci. 2017, 255, 72–81. [Google Scholar] [CrossRef]
- Gill, S.S.; Tuteja, N. Reactive oxygen species and antioxidant machinery in abiotic stress tolerance in crop plants. Plant Physiol. Biochem. 2010, 48, 909–930. [Google Scholar] [CrossRef]
- Saxena, I.; Srikanth, S.; Chen, Z. Cross talk between H2O2 and interacting signal molecules under plant stress response. Front. Plant Sci. 2016, 7, 570. [Google Scholar] [CrossRef] [PubMed]
- Kitajima, S.; Kitamura, M.; Koja, N. Triple mutation of Cys26, Trp35, and Cys126 in stromal ascorbate peroxidase confers H2O2 tolerance comparable to that of the cytosolic isoform. Biochem. Biophys. Res. Commun. 2008, 372, 918–923. [Google Scholar] [CrossRef] [PubMed]
- Agati, G.; Tattini, M. Multiple functional roles of flavonoids in photoprotection. New Phytol. 2010, 186, 786–793. [Google Scholar] [CrossRef]
- Mariz-Ponte, N.; Martins, S.; Goncalves, A.; Correia, C.M.; Ribeiro, C.; Dias, M.C.; Santos, C. The potential use of the UV-A and UV-B to improve tomato quality and preference for consumers. Sci. Hortic. 2019, 246, 777–784. [Google Scholar] [CrossRef]
- Yang, J.; Shi, W.; Li, B.; Bai, Y.; Hou, Z. Preharvest and postharvest UV radiation affected flavonoid metabolism and antioxidant capacity differently in developing blueberries (Vaccinium corymbosum L.). Food Chem. 2019, 301, 125248. [Google Scholar] [CrossRef] [PubMed]
- Ban, Y.; Honda, C.; Hatsuyama, Y.; Igarashi, M.; Bessho, H.; Moriguchi, T. Isolation and functional analysis of a MYB transcription factor gene that is a key regulator for the development of red coloration in apple skin. Plant Cell Physiol. 2007, 48, 958–970. [Google Scholar] [CrossRef]
- Solfanelli, C.; Poggi, A.; Loreti, E.; Alpi, A.; Perata, P. Sucrose-specific induction of the anthocyanin biosynthetic pathway in Arabidopsis. Plant Physiol. 2006, 140, 637–646. [Google Scholar] [CrossRef]
- Zheng, Y.; Tian, L.; Liu, H.; Pan, Q.; Zhan, J.; Huang, W. Sugars induce anthocyanin accumulation and flavanone 3-hydroxylase expression in grape berries. Plant Growth Regul. 2009, 58, 251–260. [Google Scholar] [CrossRef]
- Arakawa, O.; Hori, Y.; Ogata, R. Relative effectiveness and interaction of ultraviolet-B, red and blue light in anthocyanin synthesis of apple fruit. Physiol. Plant. 1985, 64, 323–327. [Google Scholar] [CrossRef]
- Fernandes de Oliveira, A.; Nieddu, G. Accumulation and partitioning of anthocyanins in two red grape cultivars under natural and reduced UV solar radiation. Aust. J. Grape Wine Res. 2016, 22, 96–104. [Google Scholar] [CrossRef]
- Jiang, M.; Ren, L.; Lian, H.; Liu, Y.; Chen, H. Novel insight into the mechanism underlying light-controlled anthocyanin accumulation in eggplant (Solanum melongena L.). Plant Sci. 2016, 249, 46–58. [Google Scholar] [CrossRef]
- Wang, Y.; Zhou, B.; Sun, M.; Li, Y.; Kawabata, S. UV-A light induces anthocyanin biosynthesis in a manner distinct from synergistic blue plus UV-B light and UV-A/blue light responses in different parts of the hypocotyls in turnip seedlings. Plant Cell Physiol. 2012, 53, 1470–1480. [Google Scholar] [CrossRef] [PubMed]
- Su, N.; Wu, Q.; Qi, N.; Liu, Y.; Li, N.; Cui, J. Effect of partial shading treatments on anthocyanin synthesis in the hypocotyls of soybean sprouts under UV-A irradiation. J. Plant Growth Regul. 2017, 36, 50–59. [Google Scholar] [CrossRef]
- Wu, Q.; Su, N.; Zhang, X.; Liu, Y.; Cui, J.; Liang, Y. Hydrogen peroxide, nitric oxide and UV RESISTANCE LOCUS8 interact to mediate UV-B-induced anthocyanin biosynthesis in radish sprouts. Sci. Rep. 2016, 6, 29164. [Google Scholar] [CrossRef] [PubMed]





| Treatments | Stem Diameter (mm) | Plant Expansion (cm) | Leaf Number | Fresh Mass (g) | Dry Weight (g) |
|---|---|---|---|---|---|
| W (CK) | 8.6 ± 0.2 d | 38.0 ± 1.2 b | 12.8 ± 1.0 b | 84 ± 6 b | 4.6 ± 0.2 c |
| WRB | 11.3 ± 0.1 c | 39.8 ± 1.5 a | 15.0 ± 0.8 a | 109 ± 7 a | 6.1 ± 0.2 b |
| SUV1 | 12.2 ± 0.3 b | 35.1 ± 1.0 c | 15.3 ± 0.5 a | 108 ± 4 a | 6.5 ± 0.1 a |
| SUV2 | 13.0 ± 0.9 a | 33.5 ± 1.5 c | 15.3 ± 1.0 a | 106 ± 2 a | 6.4 ± 0.1 a |
| SUV3 | 11.8 ± 0.6 bc | 29.6 ± 0.5 d | 14.3 ± 1.0 a | 81 ± 7 b | 5.8 ± 0.2 b |
| Treatments | ASA (µg·g−1 FM) | DHA (µg·g−1 FM) | ASA/DHA | GSH (nmol·g−1 FM) | GSSG (nmol·g−1 FM) | GSH/GSSG | TP (mg·g−1 DM) | Flavonoids (mg·g−1 DM) | DRSC (%) |
|---|---|---|---|---|---|---|---|---|---|
| W (CK) | 245 ± 8 d | 47.6 ± 5.3 b | 5.2 ± 0.5 bc | 128 ± 2 e | 21.1 ± 2.8 c | 6.2 ± 0.9 b | 2.7 ± 0.1 d | 11.7 ± 0.2 d | 23.3 ± 2.0 e |
| WRB | 251 ± 12 d | 52.5 ± 5.1 ab | 4.8 ± 0.4 c | 227 ± 5 d | 26.0 ± 1.7 bc | 8.7 ± 0.5 a | 4.2 ± 0.2 c | 13.5 ± 0.7 c | 30.7 ± 1.9 d |
| SUV1 | 330 ± 8 c | 63.8 ± 6.5 a | 5.2 ± 0.4 bc | 233 ± 12 c | 26.8 ± 2.1 b | 8.7 ± 0.4 a | 4.4 ± 0.1 c | 15.0 ± 0.71 b | 34.7 ± 1.8 c |
| SUV2 | 350 ± 3 b | 64.2 ± 1.0 a | 5.5 ± 0.1 b | 297 ± 8 b | 33.2 ± 3.2 a | 9.0 ± 0.9 a | 6.3 ± 0.1 b | 17.6 ± 0.3 a | 42.7 ± 1.7 b |
| SUV3 | 418 ± 11 a | 62.7 ± 7.4 a | 6.7 ± 0.6 a | 330 ± 4 a | 38.2 ± 3.1 a | 8.7 ± 0.8 a | 8.1 ± 0.2 a | 18.5 ± 0.2 a | 48.7 ± 0.8 a |
Disclaimer/Publisher’s Note: The statements, opinions and data contained in all publications are solely those of the individual author(s) and contributor(s) and not of MDPI and/or the editor(s). MDPI and/or the editor(s) disclaim responsibility for any injury to people or property resulting from any ideas, methods, instructions or products referred to in the content. |
© 2023 by the authors. Licensee MDPI, Basel, Switzerland. This article is an open access article distributed under the terms and conditions of the Creative Commons Attribution (CC BY) license (https://creativecommons.org/licenses/by/4.0/).
Share and Cite
Qin, H.; Xu, Y.; Liu, B.; Gao, Y.; Zheng, Y.; Li, Q. UV-A Supplement Improved Growth, Antioxidant Capacity, and Anthocyanin Accumulation in Purple Lettuce (Lactuca sativa L.). Horticulturae 2023, 9, 634. https://doi.org/10.3390/horticulturae9060634
Qin H, Xu Y, Liu B, Gao Y, Zheng Y, Li Q. UV-A Supplement Improved Growth, Antioxidant Capacity, and Anthocyanin Accumulation in Purple Lettuce (Lactuca sativa L.). Horticulturae. 2023; 9(6):634. https://doi.org/10.3390/horticulturae9060634
Chicago/Turabian StyleQin, Hengshan, Yaliang Xu, Binbin Liu, Yong Gao, Yinjian Zheng, and Qingming Li. 2023. "UV-A Supplement Improved Growth, Antioxidant Capacity, and Anthocyanin Accumulation in Purple Lettuce (Lactuca sativa L.)" Horticulturae 9, no. 6: 634. https://doi.org/10.3390/horticulturae9060634
APA StyleQin, H., Xu, Y., Liu, B., Gao, Y., Zheng, Y., & Li, Q. (2023). UV-A Supplement Improved Growth, Antioxidant Capacity, and Anthocyanin Accumulation in Purple Lettuce (Lactuca sativa L.). Horticulturae, 9(6), 634. https://doi.org/10.3390/horticulturae9060634

