Breeding Short-Day Strawberry Genotypes for Cultivation in Tropical and Subtropical Regions
Abstract
1. Introduction
2. Materials and Methods
2.1. First Experiment: Evaluation and Selection of Strawberry Genotypes
2.1.1. Plant Material
2.1.2. Field Test
2.1.3. Agronomic Characterization
2.1.4. Experimental Design and Statistical Analysis
2.2. Second Experiment: Post-Harvest Characterization of Selected Genotypes
2.2.1. Fruit Quality Characters of the Selected Genotypes
2.2.2. Statistical Analysis of Fruit Quality Data
3. Results and Discussion
3.1. First Experiment: Evaluation and Selection of Strawberry Genotypes
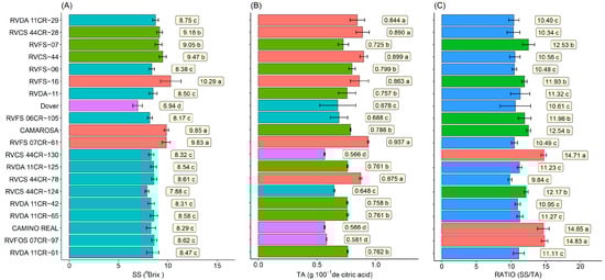
3.2. Second Experiment: Post-Harvest Characterization of Selected Genotypes
4. Conclusions
Author Contributions
Funding
Data Availability Statement
Acknowledgments
Conflicts of Interest
References
- Šamec, D.; Maretić, M.; Lugarić, I.; Mešić, A.; Salopek-Sondi, B.; Duralija, B. Assessment of the differences in the physical, chemical and phytochemical properties of four strawberry cultivars using principal component analysis. Food Chem. 2016, 194, 828–834. [Google Scholar] [CrossRef]
- López-Valencia, D.; Sánchez-Gómez, M.; Acuña-Caita, J.F.; Fischer, G. Physicochemical properties of seven outstanding straberry (Fragaria × ananassa Duch.) varieties cultivated in Cundinamarca (Colombia) during maturation. Corpoica Cienc. Tecnol. Agropecu. 2018, 19, 147–162. [Google Scholar] [CrossRef]
- Basu, A.; Nguyen, A.; Betts, N.M.; Lyons, T.J. Strawberry as a functional food: An evidence-based review. Crit. Rev. Food Sci. Nutr. 2014, 54, 790–806. [Google Scholar] [CrossRef] [PubMed]
- Michalska, A.; Carlen, C.; Heritier, J.; Andlauer, W. Profiles of bioactive compounds in fruits and leaves of strawberry cultivars. J. Berry Res. 2017, 7, 71–84. [Google Scholar] [CrossRef]
- Barth, E.; Resende, J.T.V.; Moreira, A.F.P.; Mariguele, K.H.; Zeist, A.R.; Silva, M.B.; Stulzer, G.C.G.; Mafra, J.C.M.; Gonçalves, L.S.A.; Roberto, S.R.; et al. Selection of Experimental Hybrids of Strawberry Using Multivariate Analysis. Agronomy 2020, 10, 598. [Google Scholar] [CrossRef]
- Perrotte, J.; Gaston, A.; Potier, A.; Petit, A.; Rothan, C.; Denoyes, B. Narrowing down the single homoeologous Fa PFRU locus controlling flowering in cultivated octoploid strawberry using a selective mapping strategy. Plant Biotechnol. J. 2016, 14, 2176–2189. [Google Scholar] [CrossRef]
- Ruan, J.; Yang, C.; Wang, G.; Wu, L.; Li, S.; Tao, P.; Wang, J. Segregation ratio in selfed and crossed progenies demonstrates single dominant gene inheritance of day-neutrality in strawberry. Hortic. Environ. Biotechnol. 2017, 58, 585–590. [Google Scholar] [CrossRef]
- Lobell, D.B.; Field, C.B. California perennial crops in a changing climate. Clim. Chang. 2011, 109, 317–333. [Google Scholar] [CrossRef]
- Cui, M.; Pham, M.D.; Hwang, H.; Chun, C. Flower development and fruit malformation in strawberries after short-term exposure to high or low temperature. Sci. Hortic. 2021, 288, 110308. [Google Scholar] [CrossRef]
- Mackenzie, S.J.; Chandler, C.K.; Hasing, T.; Whitaker, V. The role of temperature in the late-season decline in soluble solids content of strawberry fruit in a subtropical production system. HortScience 2011, 46, 1562–1566. [Google Scholar] [CrossRef]
- Moreira, A.F.P.; de Resende, J.T.V.; Shimizu, G.D.; Hata, F.T.; do Nascimento, D.; Oliveira, L.V.B.; Zanin, D.S.; Mariguele, K.H. Characterization of strawberry genotypes with low chilling requirement for cultivation in tropical regions. Sci. Hortic. 2022, 292, 110629. [Google Scholar] [CrossRef]
- Resende, J.T.V.; Gabriel, A.; Moreira, A.F.P.; Gonçalves, L.S.A.; Resende, N.; Goes, C.D.M.; Zanin, D.S. Application of mixed models in the study of the adaptability and stability of short-day and neutral-day strawberry cultivars. Res. Soc. Dev. 2020, 9, 110953104. [Google Scholar] [CrossRef]
- Corrêa, J.V.W.; Weber, G.G.; Zeist, A.R.; Resende, J.T.V.; Silva, P.R. ISSR Analysis Reveals High Genetic Variation in Strawberry Three-Way Hybrids Developed for Tropical Regions. Plant Mol. Biol. Rep. 2021, 39, 566–576. [Google Scholar] [CrossRef]
- Sønsteby, A.; Hytonen, T. Manipulating Flower Induction Through Temperature and Photoperiod Fluctuations. Int. J. Fruit Sci. 2005, 5, 17–27. [Google Scholar] [CrossRef]
- Van Delm, T.; Melis, P.; Stoffels, K.; Baets, W. The Effect of Long-Day Treatment on Runners and Inflorescences on Everbearing Strawberry Cultivar ‘Capri’. In XXIX International Horticultural Congress on Horticulture: Sustaining Lives, Livelihoods and Landscapes (IHC2014); ISHS: Leuven, Belgium, 2014; Volume II 1117, pp. 285–290. [Google Scholar] [CrossRef]
- Antunes, L.E.C.; Ristow, N.C.; Krolow, A.C.R.; Carpenedo, S.; Reisser Júnior, C. Yield and quality of strawberry cultivars. Hortic. Bras. 2010, 28, 222–226. [Google Scholar] [CrossRef]
- Camargo, L.K.P.; Pilati, L.; Zchonski, F.L.; de Resende, J.T.V.; Silva, P.R. Genetic diversity of Brazilian farmers-made strawberry genotypes and their relationship with commercial cultivars. Genet. Resour. Crop Evol. 2022, 69, 1879–1888. [Google Scholar] [CrossRef]
- Cockerton, H.M.; Karlström, A.; Johnson, A.W.; Li, B.; Stavridou, E.; Hopson, K.J.; Li, B.; Stavridou, E.; Hopson, K.J.; Whitehouse, A.B.; et al. Genomic informed breeding strategies for strawberry yield and fruit quality traits. Front. Plant Sci. 2021, 12, 2102. [Google Scholar] [CrossRef]
- Vieira, S.D.; Souza, D.C.; Martins, I.A.; Ribeiro, G.H.M.R.; Resende, L.V.; Ferraz, A.K.L.; Galvão, A.G.; Resende, J.T.V. Selection of experimental strawberry (Fragaria × ananassa) hybrids based on selection índices. Genet. Mol. Res. 2017, 16, gmr16019052. [Google Scholar] [CrossRef]
- Kaczmarska, E.; Gawroński, J. Agronomic performance and heterosis of strawberry inbred hybrids obtained by top-cross mating system. Acta Sci. Pol. Hortorum Cultus 2019, 18, 85–97. [Google Scholar] [CrossRef]
- Sieczko, L.; Masny, A.; Pruski, K.; Żurawicz, E.; Mądry, W. Multivariate assessment of cultivars’ biodiversity among the Polish strawberry core collection. Hortic. Sci. 2015, 42, 83–93. [Google Scholar] [CrossRef]
- Galvão, A.G.; Resende, L.V.; Maluf, W.R.; Resende, J.T.V.; Ferraz, A.K.L.; Marodin, J.C. Breeding new improved clones for strawberry production in Brazil. Acta Sci. Agron. 2017, 39, 149–155. [Google Scholar] [CrossRef]
- Barth, E.; de Resende, J.T.V.; Mariguele, K.H.; de Resende, M.D.V.; da Silva, A.L.B.R.; Ru, S. Multivariate Analysis Methods Improve the Selection of Strawberry Genotypes with Low Cold Requirement. Sci. Rep. 2022, 12, e11458. [Google Scholar] [CrossRef] [PubMed]
- Furlani, P.R.; Fernandez Júnior, F. Cultivo Hidropônico de Morango em Ambiente Protegido. In Simpósio Nacional do Morango & Encontro de Pequenas Frutas e Frutas Nativas do Mercosul; Embrapa: Pelotas, Brazil, 2004; Volume 2, pp. 102–115. [Google Scholar]
- Mendiburu, F. Agricolae: Statistical procedures for agricultural research. R Package Version 2014, 1, 1–4. [Google Scholar]
- Sou, T.; Nagashima, A.R. KMggplot2: R Commander Plug-in for Data Visualization with ‘ggplot2′; R Project: Vienna, Austria, 2018. [Google Scholar]
- Husson, F.; Josse, J.; Le, S.; Mazet, J. FactoMineR: Multivariate Exploratory Data Analysis and Data Mining with R; Version 1.42; R Project: Vienna, Austria, 2019. [Google Scholar]
- Zeist, A.R.; Resende, J.T.V. Strawberry breeding in Brazil: Current momentum and perspectives. Hortic. Bras. 2019, 37, 7–16. [Google Scholar] [CrossRef]
- Instituto Adolfo Lutz. Normas Analíticas do Instituto Adolfo Lutz. Métodos Físico-Químicos para Análises de Alimentos, 4th ed. (1st Digital ed.); Instituto Adolfo Lutz: São Paulo, Brazil, 2008. [Google Scholar]
- Bucić-Kojić, A.; Planinić, M.; Tomas, S.; Bilić, M.; Velić, D. Study of solid–liquid extraction kinetics of total polyphenols from grape seeds. J. Food Eng. 2007, 81, 236–242. [Google Scholar] [CrossRef]
- AOAC. Official Methods of Analysis of the Association of Official Analytical Chemists, 40th ed.; AOAC: Washington, DC, USA, 1984. [Google Scholar]
- Benassi, M.T.; Antunes, A.J. A comparison of metaphosphoric and oxalic acids as extractants solutions for the determination of vitamin C in selected vegetables. Arq. Biol. Tecnol. 1988, 31, 507–513. [Google Scholar]
- AOAC. Official Methods of Analysis of the Association of Official Analytical Chemists, 16th ed.; AOAC: Arlington, TX, USA, 1995; Volume 1. [Google Scholar]
- Ferreira, D.F. Programa Sisvar; Versão 5.1; Universidade Federal de Lavras: Lavras, Brazil, 2016. [Google Scholar]
- R Core Team. R: A Language and Environment for Statistical Computing; R Foundation for Statistical Computing: Vienna, Austria, 2022; Available online: https://www.R-project.org/ (accessed on 3 February 2020).
- Pinheiro, D.F.; Resende, J.T.V.D.; Constantino, L.V.; Hata, F.T.; Hata, N.N.Y.; Lustosa, S.B.C. Physical, biochemical, and sensory properties of strawberries grown in high-altitude tropical climate. Ciência Agrotecnologia 2021, 45, e008221. [Google Scholar] [CrossRef]
- Park, S.W.; Kim, S.K.; Kwack, Y.; Chun, C. Simulation of the number of strawberry transplants produced by an autotrophic transplant production method in a plant factory with artificial lighting. Horticulturae 2020, 6, 63. [Google Scholar] [CrossRef]
- Gabriel, A.; Resende, J.T.V.; Zeist, A.R.; Resende, L.V.; Resende, N.C.V.; Galvão, A.G.; Zeist, R.A.; Lima Filho, R.B.; Corrêa, J.V.W.; Camargo, C.K. Phenotypic stability of strawberry cultvars assessed in three environments. Genet. Mol. Res. 2018, 33, 3. [Google Scholar] [CrossRef]
- Kyriacou, M.C.; Rouphael, Y. Towards a new definition of quality for fresh fruits and vegetables. Sci. Hortic. 2018, 234, 463–469. [Google Scholar] [CrossRef]
- Sone, K.; Mochizuki, T.; Noguchi, Y. Relationship between stability of eating quality of strawberry cultivars and their sugar and organic acid contents. J. Jpn. Soc. Hortic. Sci. 2000, 69, 736–743. [Google Scholar] [CrossRef]
- Dusenge, M.E.; Duarte, A.G.; Way, D.A. Plant carbon metabolism and climate change: Elevated CO2 and temperature impacts on photosynthesis, photorespiration and respiration. New Phytol. 2019, 221, 32–49. [Google Scholar] [CrossRef] [PubMed]
- Osatuke, A.; Pritts, M. Strawberry flavor is influenced by the air temperature differential during fruit development but not management practices. Agronomy 2021, 11, 606. [Google Scholar] [CrossRef]
- Pyrotis, S.; Abayomi, L.; Rees, D.; Orchard, J. Effect of temperature and humidity on strawberry firmness at two different sites in the Huelva Region of Spain. Acta Hortic. 2012, 26, 567–570. [Google Scholar] [CrossRef]
- Nasrin, T.A.A.; Rahman, M.A.; Hossain, M.A.; Islam, M.N.; Arfin, M.S. Postharvest quality response of strawberries with aloe vera coating during refrigerated storage. J. Hortic. Sci. Biotechnol. 2017, 92, 598–605. [Google Scholar] [CrossRef]
- Cervantes, L.; Ariza, M.T.; Miranda, L.; Lozano, D.; Medina, J.J.; Soria, C.; Martínez-Ferri, E. Stability of fruit quality traits of different strawberry varieties under variable environmental conditions. Agronomy 2020, 10, 1242. [Google Scholar] [CrossRef]
- Barth, E.; Resende, J.T.V.; Zeist, A.R.; Mariguele, K.H.; Zeist, R.A.; Gabriel, A.; Camargo, C.K.; Piran, F. Yield and quality of strawberry hybrids under subtropical conditions. Genet. Mol. Res. 2019, 18, e18156. [Google Scholar] [CrossRef]









| Genotypes of 1st Generation | Genotypes of 2nd Generation | Genotypes of 1st Generation | Genotypes of 2nd Generation |
|---|---|---|---|
| Parent ♂ | Selected Genotypes | Parent ♂ | Selected Genotypes |
| RVCS 44 | RVCS 44CR-28 RVCS 44CR-47 RVCS 44CR-66 RVCS 44CR-110 RVCS 44CR-117 RVCS 44CR-124 RVCS 44CR-130 RVCS 44CR-143 | RVFS 06 | RVFS 06CR-55 RVFS 06CR-105 RVFS 06CR-126 RVFS 06CR-151 RVFS 06CR-155 |
| RVFS 07 | RVFS 07CR-52 RVFS 07CR-61 RVFS 07CR-113 | RVDA 11 | RVDA 11CR-22 RVDA 11CR-29 RVDA 11CR-42 RVDA 11CR-61 RVDA 11CR-65 RVDA 11CR-90 RVDA 11CR-108 RVDA 11CR-110 RVDA 11CR-125 RVDA 11CR-128 RVDA 11CR-164 RVDA 11CR-185 |
| RVFC 07 | RVFC 07CR-97 | RVFOS 07 | RVFOS 07CR-97 |
Disclaimer/Publisher’s Note: The statements, opinions and data contained in all publications are solely those of the individual author(s) and contributor(s) and not of MDPI and/or the editor(s). MDPI and/or the editor(s) disclaim responsibility for any injury to people or property resulting from any ideas, methods, instructions or products referred to in the content. |
© 2023 by the authors. Licensee MDPI, Basel, Switzerland. This article is an open access article distributed under the terms and conditions of the Creative Commons Attribution (CC BY) license (https://creativecommons.org/licenses/by/4.0/).
Share and Cite
Lustosa da Silva, I.F.; Shimizu, G.D.; dos Santos, E.L.; Erpen-Dalla Corte, L.; Zeist, A.R.; Roberto, S.R.; de Resende, J.T.V. Breeding Short-Day Strawberry Genotypes for Cultivation in Tropical and Subtropical Regions. Horticulturae 2023, 9, 614. https://doi.org/10.3390/horticulturae9060614
Lustosa da Silva IF, Shimizu GD, dos Santos EL, Erpen-Dalla Corte L, Zeist AR, Roberto SR, de Resende JTV. Breeding Short-Day Strawberry Genotypes for Cultivation in Tropical and Subtropical Regions. Horticulturae. 2023; 9(6):614. https://doi.org/10.3390/horticulturae9060614
Chicago/Turabian StyleLustosa da Silva, Israel Felipe, Gabriel Danilo Shimizu, Eduardo Ladislau dos Santos, Lígia Erpen-Dalla Corte, André Ricardo Zeist, Sergio Ruffo Roberto, and Juliano Tadeu Vilela de Resende. 2023. "Breeding Short-Day Strawberry Genotypes for Cultivation in Tropical and Subtropical Regions" Horticulturae 9, no. 6: 614. https://doi.org/10.3390/horticulturae9060614
APA StyleLustosa da Silva, I. F., Shimizu, G. D., dos Santos, E. L., Erpen-Dalla Corte, L., Zeist, A. R., Roberto, S. R., & de Resende, J. T. V. (2023). Breeding Short-Day Strawberry Genotypes for Cultivation in Tropical and Subtropical Regions. Horticulturae, 9(6), 614. https://doi.org/10.3390/horticulturae9060614

