Abstract
This study reports on extensive and in-depth investigations into the morphological, photosynthetic, and physiological indices of 10 different types of Cypripedium plant introduced from Changbai Mountain. It is an important prerequisite for the ex situ conservation of Cypripedium plants to provide new insights into their photosynthesis. This result can not only promote the production of vegetative plants but also promote the production of plants with lots of flowers and the physiological characteristics of Cypripedium plants for promoting the artificial introduction and cultivation of wild resources. A critical comparison of the results showed that high light intensity is one of the causes of the reduction in photosynthesis in the samples. Cypripedium macranthum had the most morphological advantages, while Cypripedium guttatum, the smallest plant type, had the lowest plant morphogenesis. Photoinhibition began daily at 12:00 pm and reached a second peak at 14:00 pm in all 10 types. C. macranthum, Cypripedium ventricosum, and Cypripedium calceolus had greater photosynthetic capacity than the other types. Using principal component analysis, the order of photosynthetic physiological characteristics of the 10 Cypripedium plants was CCMY > CVPP > CCRY > CMPP > CVRR > CSPY > CMWW > CMLL > CMDD > CGWW. These results lay the groundwork for future research on Cypripedium resource distribution and artificial conservation.
1. Introduction
Cypripedium (Orchidaceae) is a terrestrial plant genus originating from the north of Eurasia, with a widespread distribution. It is listed as a protected plant in China [1] and European countries [2] owing to its scarcity worldwide. There are approximately 50 species of Cypripedium, and the genus’s northern temperate distribution is primarily divided into the temperate regions of Asia, North America, Central America, and south of the Himalayan region [3]. China is one of the world’s main distribution centers of Cypripedium and has 36 species, of which 25 are endemic to China [4]. Under natural conditions, the ripening percentage of Cypripedium is very low, but the ripening percentage of cross-pollination is high [5]. C. macranthum Sw. f. is a wild variety of C. macranthum Sw. The natural hybrid C. ventricosum Sw. is a cross between C. calceolus L. and C. macranthum Sw., the study found that C. macranthum Sw. f., C. calceolus L., and C. shanxiense S. have a diverse range of habitats ranging from the broad-leaved forest to coniferous and broad-leaved mixed forest understory and forest edge, sparse forest shrub grassland, and alpine tundra belt. C. macranthum Sw. f. and C. ventricosum Sw. are found in the forest, forest edge, and forest shrub grassland at a range of elevations. C. guttatum Sw. is found in the broad-leaved forest, Betula ermanii forest edge, and alpine tundra grassland. However, because of habitat destruction and overexploitation of ornamental and medicinal plants, many Orchidaceae species are nearing extinction. As a result, further research and protection are required [6].
The optimal growing conditions for Cypripedium are still not completely understood, and artificial cultivation is difficult [7]. Although micropropagation of some Cypripedium seedlings had been successful, seed productivity is affected by light factors, and the success rate for seed-based reproduction is higher only under light conditions suitable for plant growth, avoiding strong light direct or excessive shade [8]. Furthermore, the seeds of Cypripedium require the formation of mycorrhizal symbiosis with fungi suitable for germination, which is one of the reasons for the rarity of the Cypripedium species [9]. This study investigated how the photosynthetic characteristics of Cypripedium may reflect their growth and development, to help determine the most appropriate growing conditions for different Orchidaceae plants [10,11]. The photosynthetic characteristics of Cypripedium plants are closely related to their morphology and photosynthetic product content and are influenced by a variety of factors such as light intensity, temperature, and relative humidity. In addition, the photosynthetic characteristics of Orchidaceae plants change as a result of mycorrhizal fungi symbiosis [12,13,14].
The diurnal variation in leaf photosynthesis represents the Cypripedium plants’ ability to tolerate a range of light intensities for growth. Chlorophyll fluorescence characteristics can be used to examine the absorption and use of light energy in leaves. Under the same lighting conditions, they demonstrate how well plants utilize and convert light energy. Soluble sugar can improve the fluidity of cell fluid and prevent adverse conditions from damaging cells [15]. Plants can increase their ability to photosynthesize and adjust to the light environment by accumulating soluble sugar and protein. Under the same lighting conditions, Cypripedium plants’ variable photosynthetic diurnal fluctuations, chlorophyll fluorescence properties, and photosynthetic products will change the plant’s form and ability to grow and develop.
Photosynthetic physiological characteristics are crucial for the establishment and cultivation of known Cypripedium plants and the cultivation of improved varieties, as well as to address issues with sparse populations. The illumination range of C. macranthum Sw. was 5–65%, C. macranthum Sw. f. was 12–65%, C. ventricosum Sw. was 9–45%, C. calceolus L. was 8–50%, C. shanxiense S. C. Chen was 4–55%, and C. guttatum Sw. was 19–100%, indicating that Cypripedium plants are suitable for planting in a more concealed environment. Past research on illumination at Cypripedium distribution sites in Changbai Mountain found that the light intensity required by them in the distribution area ranged from 5% to 100%. Exploring the photosynthetic physiological characteristics of different types of Cypripedium in Changbai Mountain is becoming a prerequisite for in-depth resource protection studies.
2. Materials and Methods
2.1. Material
The experimental materials used in this study were the whole plants of 10 Cypripedium sourced from a stand on the north slope of Changbai Mountain (altitude 2500 m, 127°40′ E–128°16′ E, 41°35′ N–42°25′ N), all types were transplanted from one population, and they were grown in Jilin Agricultural plant nursery. The whole plants were used in the experiment to measure morphological indices. The upper healthy leaves were used to determine the diurnal variation of photosynthesis, chlorophyll fluorescence parameters, and photosynthetic products. The primary source of water is natural rainfall for the materials, and we gave every plant an additional supplement of 2 L of tap water every week during the hot and dry summer (from 15 June to 15 July), watering plants in the morning when the temperature is suitable.
To distinguish different samples of the same types of Cypripedium in the same habitat, this study listed the sepal and labellum color of the samples and combined the species name with its traits as the plant’s abbreviation (Table 1 and Figure 1).
Table 1.
10 tested Cypripedium samples were given test numbers, types name, sepal color, and labellum color.
Figure 1.
The 10 samples of Cypripedium CMDD, CMLL, CMPP, CMWW, CVRR, CVPP, CCRY, CCMY, CSPY, and CGWW as shown in the figure.
Alkali-hydrolyzable nitrogen, available phosphorus, available potassium, and organic matter were applied at rates of 312.46 mg/kg, 38.02 mg/kg, 291.07 mg/kg, and 34.14 mg/kg, respectively, and the soil pH maintained at 5.87. The experiment was undertaken in the plant nursery of Jilin Agricultural University (altitude 259 m, 125°43′ E, 43°82′ N), Changchun City, Jilin province, China, which has four distinct seasons. The location has a continental monsoon climate zone with an annual average temperature of 4.8 °C, the highest temperature of 39.5 °C, and the lowest temperature of −39.8 °C. The samples were planted in the Jilin Agricultural University plant nursery with an average light transmittance of 30–50% and a temperature of 22–27 °C. In this small environment, the photosynthetic and physiological indices of the sample plants were investigated.
2.2. Determination Items and Methods
Morphological index determination: plants were counted, and morphological indices such as plant height, leaf length, leaf width, stem thickness (midway between the first and second node), and leaf number of the plants were measured 10 times for each sample. The leaf area for each plant was calculated using leaf length, width, and leaf number. Chlorophyll content was measured by the ethanol-acetone method. From May to July, the morphological indices were measured three times per month.
Leaf area formula:
Leaf area/plant = leaf length × leaf width × 0.72 × leaf number
0.72: the leaf index of Cypripedium.
Diurnal variation in leaf photosynthesis: The CIRAS-2 portable photosynthesis system (PPSystems, Amesbury, MA, USA) was used on sunny days during the growing season to measure parameters of the samples at two-hour intervals between 6:00 am and 18:00 pm, three measurements per time. Measurement parameters included the net photosynthetic rate (Pn), transpiration rate (E), stomatal conductance (Gs), intercellular CO2 concentration (Ci), relative humidity (Rh), and leaf temperature (Ti) were measured three times at each recording. The diurnal variation of leaf photosynthesis was measured three times on June 20 and the experimental results were averaged.
Chlorophyll fluorescence parameters: The CIRAS-2 portable photosynthesis system (PPSystems, Amesbury, MA, USA) was used on pretreated saturated pulse intensity (5000 mol m−2 s−1), initial fluorescence (Fo); maximum fluorescence (Fm); variable fluorescence (Fv), and PSII maximum photochemical efficiency (Fv/Fm); potential activity (Fv/Fo); chlorophyll fluorescence photochemical quenching coefficient (qP); non-photochemical quenching coefficient (NPQ); electron transfer rate (ETR); and other related indicators of dark-adapted leaves were measured three times. The photosynthetic indices were measured three times on June 20 and the experimental results were averaged.
Determination of Photosynthetic Products [16,17]: Soluble sugar content (Anthrone method), Soluble protein content (Coomassie brilliant blue G250 staining method).
2.3. Data Statistics and Analysis
Excel 2019 and SPSS 26.0 software (Creator: Norman H.Nie, C.Hadlai (Tex) Hull and Dale H.Bent, Version: 26.0, California, USA) were used to analyze the different significance of the photosynthetic physiological characteristics, plant morphological indices, diurnal variation of leaf photosynthesis, chlorophyll fluorescence, and photosynthetic products.
3. Results and Analysis
3.1. Morphological Index Comparison
3.1.1. Comparative Analysis of Morphological Indices of 10 Cypripedium Samples
To investigate the Cypripedium sample varieties with the strongest growth force under the same light conditions., the plant height, leaf length, leaf width, stem diameter, leaf number, and leaf area were measured. The results are shown in Table 2.
Table 2.
Morphological characteristics of 10 Cypripedium samples, including plant height, leaf length, leaf width, stem thickness, leaf number, and leaf area.
Plant height varied between the 10 types of Cypripedium. CVRR was the tallest with a height of 43.70 ± 1.47 cm, and CGWW was the shortest at 6.75 ± 0.33 cm. Variance analysis revealed that CGWW was significantly different from the other eight samples except for CSPY. CSPY and CGWW which were significantly different from CMDD and CMLL.
CMPP had the longest leaf length, and CGWW had the shortest; the difference between CMDD and CCMY, CSPY, and CGWW was significant, and the difference between CMLL and CSPY and CGWW was significant; CCMY had the largest leaf width, and CGWW the smallest. CMDD had significantly wider leaves than CSPY and CGWW. CMLL had the largest stem diameter and CVPP had the smallest. CGWW had the least number of leaves, and CMPP had the largest leaf area per plant with CGWW the smallest. There was no significant difference in stem diameter between the different types.
C. macranthum, C. ventricosum, and C. calceolus differed in flower color, but whether flower color influences plant morphology was not thoroughly investigated in this study. The morphological indices of the samples were compared and there were no significant differences in their plant morphological indices, except for C. shanxiense and C. guttatum which both differed significantly from the other types.
3.1.2. Comparative Analysis of Chlorophyll Content of 10 Cypripedium Samples
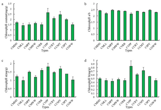
Chlorophyll content and composition proportions play auxiliary roles in determining the photosynthetic characteristics of plants. As shown in Figure 2, the chlorophyll, chlorophyll a, and chlorophyll b content of CVPP were the highest of all types, and the chlorophyll and chlorophyll content of CMLL was the lowest.
Figure 2.
(a) Chlorophyll content of 10 Cypripedium samples. (b) Chlorophyll a/b (c) Chlorophyll a (d) Chlorophyll b.
According to the content of chlorophyll a and b, the chlorophyll a/b values of the 10 Cypripedium plants were 2.43, 2.19, 2.45, 2.42, 2.34, 2.14, 2.36, 2.30, 2.44 and 2.29 from CMDD to CGWW, respectively. The order from large to small was CMPP > CSPY > CMDD > CMWW > CCRY > CVRR > CCMY > CMLL > CVPP (Figure 2a–d).
3.2. Comparison of Diurnal Variation of Photosynthesis in Leaves of Cypripedium
The photosynthetic diurnal variability of Cypripedium plants, as shown in Figure 3a, Pn changed in a bimodal curve for all the samples, but different types of peak times were observed. In general, Pn values began to rise from 6:00 am and gradually decreased after reaching each type’s peaks which occurred at different times. CMWW reached its first peak at 8:00 am, and the other types reached their first peaks at approximately 10:00 am. All parameters decreased until 12:00 pm, then rose again to reach a second peak at 14:00 pm. The first peak value for all types was higher than their second peak. CMWW had the highest daily average Pn, followed by CVRR, CMPP, CVPP, CCRY, CMDD, CMLL, CCMY, and CSPY, with CGWW being the lowest. Although peak Pn times differed, the bimodal curve functions were similar.

Figure 3.
Photosynthetic characteristics of 10 Cypripedium samples. (a) Net photosynthetic rate of samples (Pn). (b) Transpiration rate of samples (E). (c) Stomatal conductance of samples (Gs). (d) Intercellular CO2 concentration of samples (Ci). (e) Relative humidity of samples (Rh). (f) Leaf temperature of samples (Ti).
The diurnal variation of E fluctuated greatly, and the variation trend of types was different from 6:00 am to 10:00 am. However, except for CMWW and CCRY, the E value for all other types decreased after 10:00 am and reached a minimum at 12:00 pm before increasing until 14:00 pm when they decreased again. The lowest E value of all Cypripedium occurred at 12:00 pm, and its decrease at this time was related to the photoinhibition of plants caused by enhanced light radiation (Figure 3b).
In this experiment, the trend of daytime change in Gs of different types of Cypripedium was similar, with it decreasing first and then increasing. The Gs of all tested materials decreased to their lowest level at 12:00 pm. The highest daily average of Gs was found in CGWW, followed by CSPY, CMDD, CMPP, CCMY, CMLL, CMWW, CVPP, CCRY, and CVRR. The Ci of Cypripedium began to decline from 6:00 am, increased from 12:00 pm, and then declined after 14:00 pm. The largest average diurnal variation of Ci was in CCMY, followed by CCRY, CVPP, CMPP, CMLL, CSPY, CMWW, CGWW, CVRR, and CMDD. The daily variation of Rh in all types showed a trend of decreasing from its highest value at 6:00 am to its lowest at 12:00 pm and then increased. Ti increased and then decreased with the maximum temperature at 14:00 pm (Figure 3c–f).
3.3. Comparison of Chlorophyll Fluorescence of Cypripedium Plants
Chlorophyll fluorescence is a useful indicator of plant photosynthesis and stress [18]. It reflects the overall level of the reaction processes of photosynthesis, such as light energy absorption, excitation energy transfer, and photochemical reactions. The chlorophyll fluorescence parameters of the samples are shown in Table 3.
Table 3.
Chlorophyll fluorescence parameters of 10 Cypripedium samples, including Fo, Fv/Fm, Fv/Fo, PSII, qP, NPQ, and ETR.
There were no significant differences in Fo, Fv/Fm, Fv/Fo, PSII, qP, NPQ, and ETR among the samples; CMLL had the highest initial fluorescence Fo value; CCRY had the highest Fv/Fm and Fv/Fo ratios, with Fv/Fo being the maximum ratio of PSII photochemical and non-photochemical quantum yield, indicating the potential activity of photoreaction center PSII. Fv/Fm is the maximum light energy conversion efficiency of PSII, which reflects the efficiency of the open PSII reaction center to capture the excitation energy—intrinsic photochemical efficiency. The Chlorophyll fluorescence parameter is an important index to evaluate the effect of stress on plant photosystems, and among the chlorophyll fluorescence parameters, Fv/Fo and Fv/Fm reflect the potential activity of PSII and primary light energy conversion efficiency of PSII, respectively. Fv/Fo and Fv/Fm decreased under adverse conditions [19]. Fv/Fm values ranged from 0.72–0.84 for all types, with the Fv/Fm values of CMPP, CMWW, CVRR, CVPP, and CCRY within the range 0.75–0.85, indicating that the growth environment had no stress effect on their photosynthesis. The Fv/Fm values of CMDD, CMLL, CCMY, CSPY, and CGWW, however, were 0.72, showing that the growth environment had a slight and reversible stress effect on photosynthesis (Table 3).
PSII is a photochemical quantum efficiency that reflects the proportion of energy used by leaves for photosynthetic electron transport from the absorbed light energy. It reflects not only the number of PSII in the reaction, but also the photochemical efficiency when the reaction center is partially closed, and its size reflects the degree of opening of the PSII reaction center. The PSII value of CCMY was the largest, CCRY had the highest photochemical quenching coefficient (qP), CVPP the highest non-photochemical quenching coefficient (NPQ), and CMLL the highest electron transfer rate (ETR) (Table 3).
3.4. Comparison of Photosynthate Content in Cypripedium Plants
The amount of soluble sugar reflects the adaptability of plants to light conditions [20]. There were no significant differences in soluble sugar content among the 10 types, but CCRY had the highest, which indicated that CCRY could accumulate more soluble sugar under 30% light conditions (Figure 4a).
Figure 4.
(a,b) is soluble sugar and protein contents of the Cypripedium samples.
There were some differences in soluble protein content among the plants: the order of soluble protein content from largest to smallest was CMPP > CCMY > CVPP > CSPY > CVRR > CCRY > CMDD > CMWW > CGWW > CMLL, and the results of the variance analysis showed that there was no significant difference in soluble protein content among all tested materials (Figure 4b).
3.5. Principal Component Analysis of Cypripedium Plants’ Photosynthetic Physiological Characteristics
The Cypripedium plants were subjected to principal component analysis of 25 morphological characteristics (plant height, leaf length, leaf width, stem thick, leaf number, leaf area), the diurnal variation in leaf photosynthesis (Pn, E, Gs, Ci, Rh, Ti), chlorophyll fluorescence parameters (Fo, Fv/Fm, Fv/Fo, PSII, qP, NPQ, ETR), and photosynthetic product content indices (chlorophyll content, chlorophyll a/b, chlorophyll a, chlorophyll b, soluble sugar content, Soluble protein content).
The results revealed that under the assumption that the variables were not lost, the first four principal components’ eigenvalues were greater than one and that the cumulative variance contribution rate was 84.82%. As a result, these four principal components could be used to replace the previously mentioned 25 indicators. Thus, they can be used more effectively for analyzing and evaluating the physiological characteristics of photosynthetic organisms (Table 4).
Table 4.
On 25 photosynthetic physiological indices from 10 Cypripedium samples, principal component analysis was performed. Other indices could be effectively replaced by the first four major components, the table shows the load matrix and variance contribution rate.
Table 4 showed that the contribution rate of the first principal component was 34.158% and the eigenvalue was 8.54, which indicated it was important in analysis and evaluation. These seven indices had positive effects on the first principal component, indicating that the morphological characteristics and diurnal variation of leaf photosynthesis had significant effects on the photosynthetic characteristics of Cypripedium. The contribution rate of the second principal component was 21.358%, and the eigenvalue was 5.340. These three chlorophyll fluorescence parameters could be considered important evaluation indices for evaluating the photosynthetic physiological characteristics of Cypripedium. The contribution rate of the third principal component was 18.228%, and the eigenvalue was 4.557. The chlorophyll fluorescence parameters had a greater impact on this principal component. The fourth principal component contributed 11.075% and had a characteristic value of 2.769.
The comprehensive evaluation function was obtained by the weighted sum of the corresponding principal component score and weight. The comprehensive scores and ranking results of the photosynthetic physiological characteristics showed that the larger the comprehensive value, the better the photosynthetic physiological characteristics. The order of photosynthetic physiological characteristics of the 10 Cypripedium plants was CCMY > CVPP > CCRY > CMPP > CVRR > CSPY > CMWW > CMLL > CMDD > CGWW (Table 5).
Table 5.
The first four principal component factor scores, as well as the overall scores and rankings.
4. Discussion
4.1. Analysis of Photosynthetic Physiological Characteristics of C. macranthum
C. macranthum Sw. and C. macranthum Sw. f. had greater advantages in leaf width and stem thickness under the same light conditions, indicating that photosynthetic characteristics play an important role in plant growth and development.
Diurnal variation in photosynthesis is a comprehensive response of the plant’s photosynthetic system to environmental factors under a microclimate and understanding the diurnal variation of photosynthesis is important for understanding the conditions required for plant introduction and cultivation. The flowering and seed-setting rates of Cypripedium vary greatly in different habitats, and light, as an environmental factor, affects their reproductive success rate [21,22]. Zhang et al. suggested that Cypripedium leaves had different response patterns to different light conditions [23]. In environments with high light transmittance, Cypripedium plants receive higher radiation and accumulate more biomass, which is advantageous for their growth and reproduction.
In this study, the change in Pn of all the Cypripedium plants showed a bimodal curve. Differences between cultivation conditions and the field environment other than light intensity, temperature, and moisture, such as altitude, light quality, soil conditions, and other factors, may have led to different net photosynthetic curves. This indicates that different environmental conditions can affect the photosynthetic and physiological characteristics of the genus.
Initial fluorescence (Fo) is defined when the PSII reaction center is completely open; an increase in Fo indicates that the PSII reaction center is irreversibly damaged, and a decrease in Fo indicates an increase in heat dissipation of the antenna pigment. The chlorophyll fluorescence parameters of the samples revealed that the utilization and conversion of light energy by different Cypripedium did not differ when exposed to the same light environment.
Soluble proteins in cells have hydrophilic properties, can coordinate with soluble sugars, prevent cell dehydration and cytoplasmic crystallization, maintain the structure and function of the cell membrane, and enhance the ability to adapt to adverse conditions by increasing the synthesis of further soluble proteins. Different Cypripedium types accumulate different soluble protein content under the same environmental conditions, which is the response of different plant species to environmental factors, and, to a certain extent, reflects the adaptability of plants to the environment, particularly light conditions. This study found that C. macranthum had stronger adaptability to light.
4.2. Analysis of Photosynthetic Physiological Characteristics of C. ventricosum
C. ventricosum was the tallest of the 10 samples. Different light intensities are the main reason for differences in plant height, crown width, leaf length, and leaf width. C. ventricosum, with later photoinhibition, can maintain a higher photosynthetic rate and adapt to a wider range of light conditions; therefore, it is necessary to avoid excessive light inhibition on plant growth and development during cultivation and C. ventricosum had a high photosynthetic capacity. Cypripedium tibeticum, growing in the subalpine region of Shangri-La, had the highest maximum photosynthetic rate at the edge of the forest with the highest light intensity, followed by a gap, and the lowest under the forest with the lowest light intensity [23], indicating that changes in light conditions lead to changes in leaf morphology and plant growth.
4.3. Analysis of Photosynthetic Physiological Characteristics of C. calceolus
The morphological indices of Cypripedium plants are closely related to their photosynthetic characteristics [24], and the morphology of plants can also reflect their adaptability to light conditions. When the morphological indices of the 10 samples were compared, C. calceolus had better light adaptability.
The growth period of Cypripedium has different requirements for Rh; a lower Rh leads to stomatal closure of leaves, whereas a higher Rh leads to infection by plant pathogens. High levels of PSII represent photosynthetic organs with strong electron transport capacity, allowing more absorbed light energy to be used for photochemical reactions, thereby increasing the photosynthetic capacity of the mesophyll cells [25]. C. calceolus demonstrated superior electron transfer and self-protection abilities in the current study.
Soluble sugar, as a product of photosynthesis, is an effective osmotic adjustment substance, in adverse conditions, by the breaking down of malate to malic acid. The diurnal fluctuations of malic acid content in a range of Phalaenopsis species are typical of CAM plants, and the cool night temperature and diurnal temperature difference are conducive to the accumulation of malic acid in Phalaenopsis [20], with higher night temperature decreased soluble sugar content in their leaves [17,26]. The amount of soluble sugar reflects the adaptability of plants to light conditions. C. calceolus had a higher photosynthetic capacity in this study. The overall results of this experiment demonstrated that the photosynthetic physiological characteristics of C. calceolus were superior in making them more suitable for their introduction and cultivation.
4.4. Analysis of Photosynthetic Physiological Characteristics of C. shanxiense
Ti was higher in C. shanxiense, affected by plant transpiration, and was positively correlated with light intensity. The moisture information and health status of plants can be judged according to Ti. At present, the most suitable photosynthetic indices for the growth of Cypripedium plants need to be analyzed according to different habitat conditions. Zhang et al. studied the photosynthetic characteristics of C. flavum at different altitudes and found that the photosynthetic rate, stomatal conductance, transpiration rate, quantum yield, and carboxylation efficiency at high altitudes were higher than those at low altitudes [21]. In addition to altitude, photosynthesis rates, with the maximum rates of C. flavum, C. guttatum, and C. tibeticum increased by 3.0%, 7.7%, and 15.7%, respectively, and those of Cypripedium lichiangense and C. yunnanense decreased by 33.2% and 17.8%, respectively [23]. However, Yong et al. suggested that factors such as reduced light intensity and soil moisture could also lead to a decline in the vitality of transplanted Cypripedium japonicum [27].
The maximum fluorescence (Fm) occurs when the PSII reaction center is completely closed, and the decrease in Fm indicates that it is inhibited by light. The decrease in variable fluorescence (Fv) under photoinhibition was primarily due to the decrease in Fm [28]. Studies have shown that C. guttatumu has a reduced Fv/Fm ratio in its leaves when exposed to intense light [29], suggesting that Cypripedium plants also have reduced photochemical yields when exposed to excessive light [23]. In this work, the photochemical yield of C. shanxiense was low, and the leaves had photoinhibition.
4.5. Analysis of Photosynthetic Physiological Characteristics of C. guttatum
Orchidaceae plants respond to changing climatic factors and light conditions, and the morphological characteristics of the samples under the same light conditions were quite different, indicating that the morphology of Cypripedium on Changbai Mountain was related to its growth and distribution. C. guttatum was a small type that can grow under a variety of light conditions [30]. Plant height, leaf number, branch number, and other morphological indicators are commonly used to indicate the level of plant morphogenesis [31]. C. guttatum had the smallest plant type and the lowest plant morphogenesis in terms of plant height, leaf length, leaf width, stem thickness, leaf number, and leaf area. However, whether the morphogenesis of Cypripedium plants is negatively correlated with the required range of light intensity needs further study.
High light intensity is one of the reasons for plant photosynthetic noon-break [24], and Orchidaceae plants exhibit a certain degree of photoinhibition under high light conditions. Zhang et al. reported that the net photosynthetic rate of wild C. guttatum under 22%, 45%, and 76% light transmittance was represented by a single peak curve, with the peak occurring at 10:00 am [29], and that the diurnal course of photosynthesis in C. tibeticum and Cypripedium yunnanense was bimodal [32]. E and Gs were higher in C. guttatum and Gs represents the degree of stomatal opening, which regulates water consumption and affects Ci, and is linked to leaf characteristics of plants, including the pore apparatus area and pore depth [23]. C. guttatum had small indices of chlorophyll fluorescence parameters, making it better suited to living in a shaded environment. The principal component factors of C. guttatum ranked lower, which was largely consistent with the findings of a comparative study on the morphological and photosynthetic physiological indexes of Cypripedium plants.
5. Conclusions
Light conditions can affect the physiological characteristics of Cypripedium plants, and C. macranthum, C. ventricosum, and C. calceolus had similar plant morphological indices. However, C. macranthum had the widest distribution and morphological advantages, whereas C. guttatum was the smallest plant type and had the lowest morphogenesis. At midday, all 10 Cypripedium samples showed photoinhibition, and high light intensity was one of the causes of the midday photosynthetic depression in Cypripedium plants. C. macranthum, C. ventricosum, and C. calceolus had higher light use efficiency, whereas C. shanxiense and C. guttatum had the lowest. C. ventricosum had a higher chlorophyll content to adapt to the light environment, whereas C. calceolus and C. macranthum accumulated more photosynthetic products. Using principal component analysis, the order of photosynthetic physiological characteristics of the 10 samples was CCMY > CVPP > CCRY > CMPP > CVRR > CSPY > CMWW > CMLL > CMDD > CGWW. These results, in terms of photosynthetic physiological characteristics, open new possibilities for mitigating the endangered status of Cypripedium plants. In addition to conditions for their introduction and cultivation, the population distribution, succession, and development of wild Cypripedium plants in their natural state must be studied in conjunction with multiple factors such as light, altitude, associated plants, and symbiotic fungi under their habitat conditions. This is also one of the future research directions for Cypripedium plants, which is critical for conducting in situ and ex situ protection and conservation.
Author Contributions
L.C. directed and performed the experiment, and provided technical advice. Conceptualisation, L.C., S.L. and Y.L.; validation, Y.Z. (Yuqing Zhang) and Y.B.; data curation, H.C. and W.L.; Y.Z. (Yunwei Zhou) provided laboratories, instruments, and equipment; edited and reviewed this manuscript; connected with all authors and involve them in major decisions about the publication. All authors have read and agreed to the published version of the manuscript.
Funding
This work was supported by the National Natural Science Foundation of China (Grant No. 32171866); The Key Research and Development Project of Jilin Provincial Science and Technology Department (Grant No. 20210202081NC); Natural Science Foundation of Jilin Provincial Science and Technology Department (Grant No. 20200201029JC); The Key Research and Development Project of Changchun Science and Technology Bureau (Grant No. 21ZGN08); The Scientific Research Start-up Fund of Jilin Agricultural University.
Data Availability Statement
The original contributions presented in the study are included in the article, further inquiries can be directed to the corresponding authors.
Conflicts of Interest
The authors declare that the research was conducted in the absence of any commercial or financial relationships that could be construed as a potential conflict of interest.
References
- Zhang, J.-Y.; Liao, M.; Cheng, Y.-H.; Feng, Y.; Ju, W.-B.; Deng, H.-N.; Li, X.; Plenković-Moraj, A.; Xu, B. Comparative chloroplast genomics of seven endangered Cypripedium species and phylogenetic relationships of Orchidaceae. Front. Plant Sci. 2022, 13, 911702. [Google Scholar] [CrossRef] [PubMed]
- Kull, T.; Selgis, U.; Peciña, M.V.; Metsare, M.; Ilves, A.; Tali, K.; Sepp, K.; Kull, K.; Shefferson, R.P. Factors influencing IUCN threat levels to orchids across Europe on the basis of national red lists. Ecol. Evol. 2016, 6, 6245–6265. [Google Scholar] [CrossRef] [PubMed]
- Cribb, P.; Sandison, M.S. A preliminary assessment of the conservation status of Cypripedium species in the wild. Bot. J. Linn. Soc. 1998, 126, 183–190. [Google Scholar] [CrossRef]
- Jiang, H.; Chen, M.C.; Lee, Y.I. In vitro germination and low-temperature seed storage of Cypripedium lentiginosum P.J. Cribb & S.C. Chen, a rare and endangered lady’s slipper orchid. Sci. Hortic. 2017, 225, 471–479. [Google Scholar] [CrossRef]
- Liu, X.J.; Zhang, D.W.; Li, R.J. Cytotaxonomy and Cytogeography of Vicia sect. Vicilla in Northeast of China. J. For. Res. 1998, 9, 19–26. [Google Scholar] [CrossRef]
- Lee, D.-h.; Kim, S.-d.; Kim, H.-m.; Moon, A.-R.; Kim, S.-Y.; Park, B.-B.; Son, S.-w. Stage Structure and Population Persistence of Cypripedium japonicum Thunb., a Rare and Endangered Plants. Korean J. Environ. Ecol. 2021, 35, 548–557. [Google Scholar] [CrossRef]
- Shimura, H.; Koda, Y. Micropropagation of Cypripedium macranthos var. rebunense through protocorm-like bodies derived from mature seeds. Plant Cell Tissue Organ Cult. 2004, 78, 273–276. [Google Scholar] [CrossRef]
- Kull, T. Fruit-set and recruitment in populations of Cypripedium calceolus L. in Estonia. Bot. J. Linn. Soc. 1998, 126, 27–38. [Google Scholar] [CrossRef]
- Kirillova, I.A.; Kirillov, D.V. Effect of lighting conditions on the reproductive success of Cypripedium calceolus L. (Orchidaceae, Liliopsida). Biol. Bull. 2019, 46, 1317–1324. [Google Scholar] [CrossRef]
- Pastenes, C.; Santa-Marıa, E.; Infante, R.; Franck, N. Domestication of the Chilean guava (Ugni molinae Turcz.), a forest understorey shrub, must consider light intensity. Sci. Hortic. 2003, 98, 71–84. [Google Scholar] [CrossRef]
- Lin, M.-J.; Hsu, B.-D. Photosynthetic plasticity of Phalaenopsis in response to different light environments. J. Plant Physiol. 2004, 161, 1259–1268. [Google Scholar] [CrossRef]
- Cameron, D.D.; Leake, J.R.; Read, D.J. Mutualistic mycorrhiza in orchids: Evidence from plant–fungus carbon and nitrogen transfers in the green-leaved terrestrial orchid Goodyera repens. New Phytol. 2006, 171, 405–416. [Google Scholar] [CrossRef]
- Cameron, D.D.; Johnson, I.; Read, D.J.; Leake, J.R. Giving and receiving: Measuring the carbon cost of mycorrhizas in the green orchid, Goodyera repens. New Phytol. 2008, 180, 176–184. [Google Scholar] [CrossRef]
- Julou, T.; Burghardt, B.; Gebauer, G.; Berveiller, D.; Damesin, C.; Selosse, M.-A. Mixotrophy in orchids: Insights from a comparative study of green individuals and nonphotosynthetic individuals of Cephalanthera damasonium. New Phytol. 2005, 166, 639–653. [Google Scholar] [CrossRef]
- Long, S.P.; Zhu, X.G.; Naidu, S.L.; Ort, D.R. Can improvement in photosynthesis increase crop yields? Plant Cell Environ. 2006, 29, 315–330. [Google Scholar] [CrossRef]
- Da Rocha Perini, V.; Leles, B.; Furtado, C.; Prosdocimi, F. Complete chloroplast genome of the orchid Cattleya crispata (Orchidaceae: Laeliinae), a Neotropical rupiculous species. Mitochondrial DNA Part A 2016, 27, 4075–4077. [Google Scholar] [CrossRef]
- Kataoka, K.; Sumitomo, K.; Fudano, T.; Kawase, K. Changes in sugar content of Phalaenopsis leaves before floral transition. Sci. Hortic. 2004, 102, 121–132. [Google Scholar] [CrossRef]
- Zou, T.; Zhang, J. A New Fluorescence Quantum Yield Efficiency Retrieval Method to Simulate Chlorophyll Fluorescence under Natural Conditions. Remote Sens. 2020, 12, 4053. [Google Scholar] [CrossRef]
- Kim, D.-H.; Son, S.; Jung, J.-Y.; Lee, J.-C.; Kim, P.-G. Photosynthetic characteristics and chlorophyll content of Cypripedium japonicum in its natural habitat. For. Sci. Technol. 2022, 18, 160–171. [Google Scholar] [CrossRef]
- Zheng, L.; Ceusters, J.; Van Labeke, M.-C. Light quality affects light harvesting and carbon sequestration during the diel cycle of crassulacean acid metabolism in Phalaenopsis. Photosynth. Res. 2019, 141, 195–207. [Google Scholar] [CrossRef]
- Yang, Z.-H.; Huang, W.; Yang, Q.-Y.; Chang, W.; Zhang, S.-B. Anatomical and diffusional determinants inside leaves explain the difference in photosynthetic capacity between Cypripedium and Paphiopedilum, Orchidaceae. Photosynth. Res. 2018, 136, 315–328. [Google Scholar] [CrossRef] [PubMed]
- Zhang, S.B.; Hu, H.; Xu, K.; Li, Z.R. Photosynthetic performances of five Cypripedium species after transplanting. Photosynthetica 2006, 44, 425–432. [Google Scholar] [CrossRef]
- Smallwood, P.A.; Trapnell, D.W. Species Distribution Modeling Reveals Recent Shifts in Suitable Habitat for Six North American Cypripedium spp. (Orchidaceae). Diversity 2022, 14, 694. [Google Scholar] [CrossRef]
- Zhang, S.-B.; Hu, H.; Xu, K.; Li, Z.-R.; Yang, Y.-P. Flexible and reversible responses to different irradiance levels during photosynthetic acclimation of Cypripedium guttatum. J. Plant Physiol. 2007, 164, 611–620. [Google Scholar] [CrossRef] [PubMed]
- Kull, T. Cypripedium calceolus L. J. Ecol. 1999, 87, 913–924. [Google Scholar] [CrossRef]
- Xu, D.-Q.; Shen, Y.-K. External and internal factors responsible for midday depression of photosynthesis. In Handbook of Photosynthesis, 2nd ed.; Taylor Francis Group: London, UK, 2005; pp. 287–297. [Google Scholar]
- Ko, S.-S.; Jhong, C.-M.; Shih, M.-C. Blue light acclimation reduces the photoinhibition of Phalaenopsis aphrodite (moth Orchid). Int. J. Mol. Sci. 2020, 21, 6167. [Google Scholar] [CrossRef]
- Zheng, B.-Q.; Zou, L.-H.; Li, K.; Wan, X.; Wang, Y. Photosynthetic, morphological, and reproductive variations in Cypripedium tibeticum in relation to different light regimes in a subalpine forest. PLoS ONE 2017, 12, e0181274. [Google Scholar] [CrossRef]
- Cho, Y.-C.; Kim, H.-G.; Koo, B.-Y.; Shin, J.-K. Dynamics and viability analysis of transplanted and natural lady’s slipper (Cypripedium japonicum) populations under habitat management in South Korea. Restor. Ecol. 2019, 27, 23–30. [Google Scholar] [CrossRef]
- El-Naggar, H.M.; Shehata, A.M.; Moubarak, M.; Osman, A.R. Optimization of Morphogenesis and In Vitro Production of Five Hyacinthus orientalis Cultivars. Horticulturae 2023, 9, 176. [Google Scholar] [CrossRef]
- Krause, G.H. Photoinhibition of photosynthesis. An evaluation of damaging and protective mechanisms. Physiol. Plant. 1988, 74, 566–574. [Google Scholar] [CrossRef]
- Liu, Y.C.; Tseng, K.M.; Chen, C.C.; Tsai, Y.T.; Liu, C.H.; Chen, W.H.; Wang, H.L. Warm-night temperature delays spike emergence and alters carbon pool metabolism in the stem and leaves of Phalaenopsis aphroide. Sci. Hortic. 2013, 161, 198–203. [Google Scholar] [CrossRef]
Disclaimer/Publisher’s Note: The statements, opinions and data contained in all publications are solely those of the individual author(s) and contributor(s) and not of MDPI and/or the editor(s). MDPI and/or the editor(s) disclaim responsibility for any injury to people or property resulting from any ideas, methods, instructions or products referred to in the content. |
© 2023 by the authors. Licensee MDPI, Basel, Switzerland. This article is an open access article distributed under the terms and conditions of the Creative Commons Attribution (CC BY) license (https://creativecommons.org/licenses/by/4.0/).