Early-Summer Deficit Irrigation Increases the Dry-Matter Content and Enhances the Quality of Ambrosia™ Apples At- and Post-Harvest
Abstract
:1. Introduction
2. Materials and Methods
2.1. Orchard and Treatment
2.2. Climate and Sampling Timeline Data
2.3. Measurements
2.3.1. Tree Water Relations
2.3.2. Prediction of the Fruit Development and Quality Metric on the Trees
2.3.3. Measurement of the DMC
2.3.4. Color Attributes
2.4. Harvest Assessment and Post-Harvest Handling
2.4.1. Measurement of the Compositional Properties
2.4.2. Incidence of Soft Scald Disorder
2.5. Statistical Analyses
3. Results
3.1. Fruit Development and Maturation
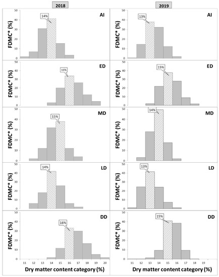
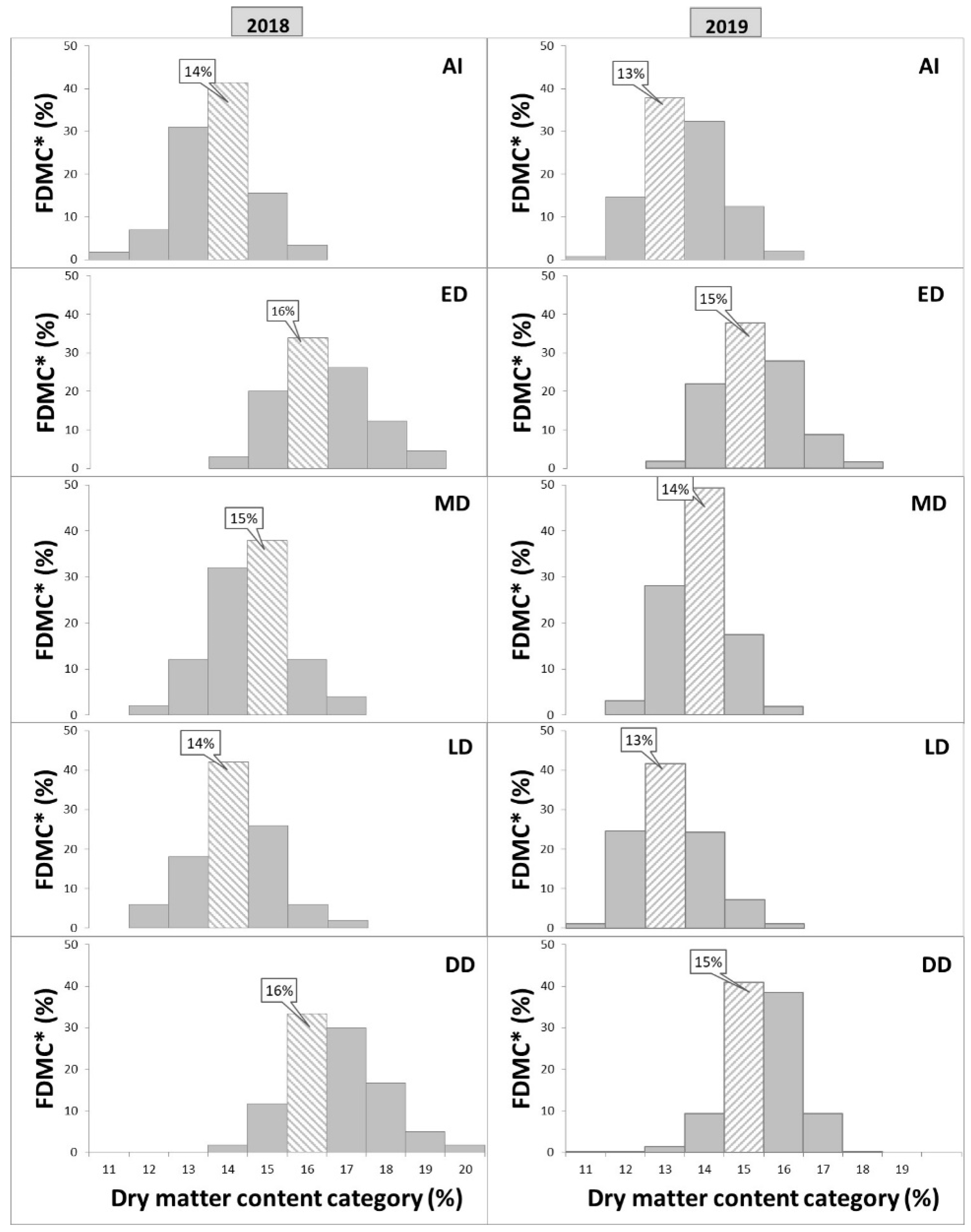
3.2. Changes in DMC
3.3. Red Blush Colour on the Surface
3.4. Changes of the Compositional Quality At- and Post-Harvest
3.5. Soft Scald Disorder in Storage
3.6. Stem Water Potential
4. Discussion and Suggestions
5. Conclusions
Supplementary Materials
Funding
Institutional Review Board Statement
Informed Consent Statement
Data Availability Statement
Acknowledgments
Conflicts of Interest
References
- Toivonen, P.M.; Lu, C.; Stoochnoff, J. Postharvest quality implications of pre-harvest treatments applied to enhance AmbrosiaTM apple red blush color at harvest. Can. J. Plant Sci. 2019, 99, 40–49. [Google Scholar] [CrossRef]
- Hampson, C.R.; McKenzie, D.L. Sensory characteristics of 21 new apple cultivars after short-term cold air storage. J. Am. Pomol. Soc. 2006, 60, 9–19. [Google Scholar]
- Palmer, J.; Harker, F.R.; Tustin, D.S.; Johnston, J. Fruit dry matter concentration: A new quality metric for apples. J. Sci. Food Agric. 2010, 90, 2586–2594. [Google Scholar] [CrossRef] [PubMed]
- Smock, R.M. Controlled atmosphere storage of fruits. Hort. Rev. 1979, 1, 301–336. [Google Scholar]
- DeEll, J.R. Pome fruits: Apple quality and storage. In Controlled and Modified Atmospheres for Fresh and Fresh-Cut Produce; Gil, M.I., Beaudry, R., Eds.; Academic Press: Cambridge, MA, USA, 2020; Chapter 14.1; pp. 293–298. [Google Scholar] [CrossRef]
- Hoehn, E.; Gasser, F.; Guggenbuehl, B.; Casutt, M. Consumer demands on eating quality of apples: Minimum requirements on firmness, soluble solids and acidity. In Proceedings of the ISHS Acta Horticulturae 600: VIII International Controlled Atmosphere Research Conference, Leuven, Belgium, 16–18 August 2021; ISHS: Leuven, Belgium, 2003; pp. 693–696. [Google Scholar] [CrossRef]
- Harker, F.R.; Kupferman, E.M.; Marin, A.B.; Gunson, F.A. Eating quality standards for apples based on consumer preferences. Postharvest Biol. Technol. 2008, 50, 70–78. [Google Scholar] [CrossRef]
- Nour, V.; Trandafir, I.; Ionica, M.E. Compositional Characteristics of Fruits of several Apple (Malus domestica Borkh) Cultivars. Not. Bot. Hort. Agrobot. Cluj-Napoca 2010, 38, 228–233. [Google Scholar]
- Peiris, K.H.S.; Dull, G.G.; Leffler, R.G.; Kays, S.J. Spatial variability of soluble solids or dry-matter content within individual fruits, bulbs, or tubers: Implications for the development and use of NIR spectrometric techniques. HortScience 1999, 34, 114–118. [Google Scholar] [CrossRef] [Green Version]
- Rizzolo, A.; Vanoli, M.; Spinelli, L.; Torricelli, A. Sensory characteristics, quality and optical properties measured by time-resolved reflectance spectroscopy in stored apples. Postharvest Biol. Technol. 2010, 58, 1–12. [Google Scholar] [CrossRef]
- Rizzolo, A.; Vanoli, P.; Bianchi, G. Relationship between texture sensory profiles and optical properties measured by time-resolved reflectance spectroscopy during post storage shelf life of “Braeburn’ apples. J. Hortic. Res. 2014, 22, 113–121. [Google Scholar] [CrossRef] [Green Version]
- Walsh, K. Dry Matter Matters. 2016. Available online: http://www.industry.mangoes.net.au/resource-collection/2016/3/6/dry-matter-matters (accessed on 17 November 2016).
- Trimble, S. NIR Vs. Penetrometer to Judge Produce Quality. 2019. Available online: https://cid-inc.com/blog/nir-vs-penetrometer-to-judge-produce-quality/ (accessed on 13 May 2021).
- Toivonen, P.M.; Lannard, B. Dry matter content association with time of on-tree maturation, quality at harvest and changes in quality after controlled atmosphere storage for ‘Royal Gala’ apples. Can. J. Plant Sci. 2021, 101, 98–106. [Google Scholar] [CrossRef]
- Ng, J.K.T.; Schröder, R.; Sutherland, P.W.; Hallett, I.C.; Hall, M.I.; Prakash, R.; Smith, B.G.; Melton, L.D.; Johnston, J.W. Cell wall structures leading to cultivar differences in softening rates develop early during apple (Malus x domestica) fruit growth. BMC Plant Biol. 2013, 13, 183. [Google Scholar] [CrossRef] [PubMed] [Green Version]
- BCMAFF: British Columbia Ministry of Agriculture Food and Fisheries. Grower workshop for AmbrosiaTM apple. Proceedings, 23 January 2011. Summerland, BC. 2001. 2001. Available online: www.agf.gov.bc.ca/treefrt/product/ambrosiaproceed.pdf (accessed on 30 April 2015).
- BC Tree Fruit Production Guide. Available online: https://www.bctfpg.ca/horticulture/varieties-and-pollination/apple-varieties (accessed on 20 August 2021).
- Cline, J.A.; Commercial production of Ambrosia™ Apples in Ontario. Agdex 211/32. August 2009. Ontario Ministry of Agriculture, Food and Rural Affairs, Guelph, ON. 2009. Available online: http://www.omafra.gov.on.ca/english/crops/facts/09-041.htm (accessed on 13 May 2021).
- Palmer, J.; Diack, R.; Johnston, J.; Boldingh, H. Manipulation of fruit dry matter accumulation and fruit size in ‘Scifresh’apple through alteration of the carbon supply, and its relationship with apoplastic sugar composition. J. Hort. Sci. Biotech. 2013, 88, 483–489. [Google Scholar]
- Saei, A.; Tustin, D.S.; Zamani, Z.; Talaie, A.; Hall, A.J. Cropping effects on the loss of apple fruit firmness during storage: The relationship between texture retention and fruit dry matter concentration. Sci. Hort. 2011, 130, 256–265. [Google Scholar] [CrossRef]
- Toivonen, P. Relation between preharvest conditions, harvest maturity and postharvest performance of apples. In Proceedings of the ISHS Acta Horticulturae 1256: VI International Conference Postharvest Unlimited, Madrid, Spain, 17–20 October 2017; ISHS: Leuven, Belgium, 2019; pp. 469–480. [Google Scholar] [CrossRef]
- Musacchi, S.; Serra, S. Apple fruit quality: Overview on pre-harvest factors. Sci. Hortic. 2018, 234, 409–430. [Google Scholar] [CrossRef]
- Boland, A.; Ziehri, A.; Beaumont, J. Guide to Best Practice in Water Management: Orchard Crops; Murray-Darling Basin Commission, Department of Natural Resources and Environment: Melbourne, VIC, Australia, 2002. [Google Scholar]
- Lu, C.; Xu, H. Summer fruitlet thinning enhanced quality attributes of Ambrosia™ apple at harvest and after 4 months of cold air storage. Can. J. Plant Sci. 2021, 101, 1041–1050. [Google Scholar] [CrossRef]
- Xu, H.; Ediger, D. Rootstocks with Different Vigor Influenced Scion–Water Relations and Stress Responses in AmbrosiaTM Apple Trees (Malus Domestica var. Ambrosia). Plants 2021, 10, 614. [Google Scholar] [CrossRef]
- Goodwin, I.; Boland, A.M. Scheduling Deficit Irrigation of Fruit Trees for Optimizing Water Use Efficiency in Deficit irrigation Practices; FAO Technical Papers, Water Reports 22; Food and Agriculture Organization: Rome, Italy, 2002; Available online: www.fao.org/docrep (accessed on 30 May 2021).
- Bianco, R.L. Water-Related Variables for Predicting Yield of Apple under Deficit Irrigation. Horticulturae 2019, 5, 8. [Google Scholar] [CrossRef] [Green Version]
- Mpelasoka, B.S.; Behboudian, M.H.; Mills, T.M. Effects of deficit irrigation on fruit maturity and quality of ‘Braeburn’apple. Sci. Hortic. 2001, 90, 279–290. [Google Scholar] [CrossRef]
- Küçükyumuk, C.; Kaçal, E.; Yildiz, H. Effects of Different Deficit Irrigation Strategies on Yield, Fruit Quality and Some Parameters: ‘Braeburn’ Apple Cultivar. Not. Bot. Horti Agrobot. Cluj-Napoca 2013, 41, 510–517. [Google Scholar] [CrossRef] [Green Version]
- Ebel, R.C.; Proebsting, E.L.; Patterson, M.E. Regulated deficit irrigation may alter apple maturity, quality, and storage life. HortScience 1993, 28, 141–143. [Google Scholar] [CrossRef] [Green Version]
- Mpelasoka, B.S.; Behboudian, M.H.; Dixon, J.; Neal, S.M.; Caspari, H.W. Improvement of fruit quality and storage potential of ‘Braeburn’ apple through deficit irrigation. J. Hortic. Sci. Biotechnol. 2000, 75, 615–621. [Google Scholar] [CrossRef]
- Mpelasoka, B.S.; Behboudian, M.H. Production of aroma volatiles in response to deficit irrigation and to crop load in relation to fruit maturity for ‘Braeburn’apple. Postharvest Biol. Technol. 2002, 24, 1–11. [Google Scholar] [CrossRef]
- BCMAFF. BC Tree Fruit Production Guide: Factors of Irrigation Management. 2016. p. 18. Available online: https://www.bctfpg.ca/horticulture/irrigation-air-quality/factors-of-irrigation-management/ (accessed on 28 February 2022).
- Warrington, I.J.; Fulton, T.A.; de Silva, H.N. Apple fruit growth and maturity are affected by early season temperatures. J. Amer. Soc. Hort. Sci. 1999, 124, 466–477. [Google Scholar] [CrossRef] [Green Version]
- Scholander, P.F.; Bradstreet, E.D.; Hemmingsen, E.A.; Hammel, H.T. Sap pressure in vascular plants: Negative hydrostatic pressure can be measured in plants. Science 1965, 148, 339–346. [Google Scholar] [CrossRef]
- Hao, X.; Ediger, D.; Singh, A.; Pagliocchini, C. Rootstock–Scion hydraulic balance influenced scion vigor and yield efficiency of Malus domestica cv. Honeycrisp on eight rootstocks. Horticulturae 2021, 7, 99. [Google Scholar] [CrossRef]
- Toivonen, P.M.; Lu, C.; Lannard, B. Visible spectroscopy IAD measures in apple: Impact of stress and shading on maturity indexing. Acta Hortic. 2016, 1119, 243–249. [Google Scholar] [CrossRef]
- Toivonen, P.M. Comparison of IAD and starch-iodine indices at harvest and how they relate to post-storage firmness retention in Ambrosia™ apples over three growing seasons. Can. J. Plant Sci. 2015, 95, 1177–1180. [Google Scholar] [CrossRef] [Green Version]
- Prengaman, K. Stress for success with Honeycrisp. Good Fruit Grower. 2020, 71, 18–19. [Google Scholar]
- Fujii, J.; Kenney, R.A. Seasonal Changes in the Photosynthetic Rate in Apple Trees. Plant Physiol. 1985, 78, 519–524. [Google Scholar] [CrossRef]







| AI | CI (10 d AFB *–10 d to harvest) | |||
| ED | CI (10 d AFB–47 d AFB) | DI (47 d–77 d AFB) | CI (77 d AFB–10 d to harvest) | |
| MD | CI (10 d–77 d AFB) | DI (77 d–108 d AFB) | CI (108 d AFB–10 d to harvest) | |
| LD | CI (10 d–108 d AFB) | DI (108 d AFB–10 d to harvest) | ||
| DD | CI (10 d–77 d AFB) | DI (77 d AFB–10 d to harvest) | ||
| Attribute | Year | Irrigation Treatments | ||||
|---|---|---|---|---|---|---|
| AI | ED | MD | LD | DD | ||
| a* | 2018 | 42.2 a 1 | 40.2 a | 40.0 a | 30.8 b | 28.1 c |
| 2019 | 36.9 b | 39.6 a | 37.0 b | 35.2 b | 30.9 c | |
| 2018 × 2019 | 39.6 a | 39.9 a | 38.5 a | 31.6 b | 30.9 b | |
| Year × Treatment | p < 0.0001 | |||||
| BCI | 2018 | 44.2 a | 42.7 a | 41.5 a | 33.8 b | 28.0 c |
| 2019 | 38.2 ab | 41.2 a | 38.0 ab | 35.4 b | 31.4 c | |
| 2018 × 2019 | 41.2 a | 41.9 a | 39.7 a | 32.6 b | 31.7 b | |
| Year × Treatment | p = 0.0003 | |||||
| Red blush coverage (%) | 2018 | 67.9 a | 66.7 a | 66.0 a | 55.4 b | 38.2 c |
| 2019 | 61.1 b | 71.7 a | 58.0 b | 58.8 b | 52.2 c | |
| 2018 × 2019 | 64.5 b | 69.2 a | 62.0 b | 57.1 c | 45.2 d | |
| Year × Treatment | p < 0.0001 | |||||
| Fruit weight (g) | 2018 | 242.2 a | 234.7 ab | 222.7 bc | 219.3 c | 153.4 d |
| 2019 | 255.3 a | 245.1 a | 243.1 ab | 230.6 bc | 221.2 c | |
| 2018 × 2019 | 248.8 a | 238.9 ab | 233.9 bc | 224.9 c | 187.3 d | |
| Year × Treatment | p < 0.0001 | |||||
| Attribute | Year and Stage | Irrigation Treatments | |||||
|---|---|---|---|---|---|---|---|
| AI | ED | MD | LD | DD | |||
| FF (N) | 2018 | at-harvest | 67.7 b 1 | 66.4 b | 67.4 b | 66.1 b | 75.4 a |
| post-harvest | 58.0 c | 62.3 b | 59.6 bc | 58.9 bc | 68.8 a | ||
| 2019 | at-arvest | 71.0 a | 70.1 ab | 70.6 ab | 69.5 bc | 68.9 c | |
| post-harvest | 47.2 bc | 50.1 a | 48.8 ab | 48.9 ab | 45.0 c | ||
| TA (mg malic acid L−1) | 2018 | at-harvest | 262.0 ab | 267.2 ab | 261.9 ab | 262.9 ab | 283.9 a |
| post-harvest | 187.1 c | 222.6 b | 186.8 c | 185.7 c | 234.4 a | ||
| 2019 | at-harvest | 262.3 a | 247.5 b | 259.3 b | 250.1 b | 248.7 b | |
| post-harvest | 165.8 d | 191.1 a | 172.5 c | 179.8 b | 175.5 bc | ||
| SSC (%) | 2018 | at-harvest | 13.3 c | 15.5 a | 13.9 b | 13.5 bc | 15.9 a |
| post-harvest | 13.4 c | 15.2 a | 13.7 b | 13.7 b | 15.1 a | ||
| 2019 | at-harvest | 11.4 c | 13.2 a | 11.5 c | 12.1 b | 13.2 a | |
| post-harvest | 12.3 d | 14.6 a | 13.3 b | 12.7 c | 14.4 a | ||
| FF (N) | TA (mg Malic Acid L−1) | SSC (%) | |
|---|---|---|---|
| Year | <0.0001 | <0.0001 | <0.0001 |
| Treat | <0.0001 | <0.0001 | <0.0001 |
| Stage | <0.0001 | <0.0001 | <0.0001 |
| Year × Treat | <0.0001 | <0.0001 | 0.0002 |
| Year × Stage | <0.0001 | 0.0025 | <0.0001 |
| Treat × Stage | <0.0001 | <0.0001 | 0.0034 |
| Year × Treat × Stage | <0.0001 | 0.0027 | <0.0001 |
| 2008 | 65.0 a 1 | 233.7 a | 14.3 a |
| 2009 | 59.0 b | 215.1 b | 12.8 b |
| Disorders | Year | Irrigation Treatments | ||||
|---|---|---|---|---|---|---|
| AI | ED | MD | LD | DD | ||
| Incidences (%) | 2018 | 5.8 c 1 | 2.9 c | 24.6 b | 27.5 b | 63.8 a |
| 2019 | 5.9 b | 4.8 b | 5.2 b | 6.2 b | 42.8 a | |
| 2018 × 2019 | 5.9 c | 3.7 c | 14.9 b | 16.9 b | 53.1 a | |
| Year × Treat | p < 0.0001 | |||||
| Severity (worst = 3) | 2018 | 0.06 c | 0.03 c | 0.33 b | 0.36 b | 1.16 a |
| 2019 | 0.09 b | 0.06 b | 0.08 b | 0.11 b | 0.62 a | |
| 2018 × 2019 | 0.08 c | 0.04 c | 0.21 b | 0.23 b | 0.89 a | |
| Year × Treat | p < 0.0001 | |||||
Publisher’s Note: MDPI stays neutral with regard to jurisdictional claims in published maps and institutional affiliations. |
© 2022 by the author. Licensee MDPI, Basel, Switzerland. This article is an open access article distributed under the terms and conditions of the Creative Commons Attribution (CC BY) license (https://creativecommons.org/licenses/by/4.0/).
Share and Cite
Lu, C. Early-Summer Deficit Irrigation Increases the Dry-Matter Content and Enhances the Quality of Ambrosia™ Apples At- and Post-Harvest. Horticulturae 2022, 8, 571. https://doi.org/10.3390/horticulturae8070571
Lu C. Early-Summer Deficit Irrigation Increases the Dry-Matter Content and Enhances the Quality of Ambrosia™ Apples At- and Post-Harvest. Horticulturae. 2022; 8(7):571. https://doi.org/10.3390/horticulturae8070571
Chicago/Turabian StyleLu, Changwen. 2022. "Early-Summer Deficit Irrigation Increases the Dry-Matter Content and Enhances the Quality of Ambrosia™ Apples At- and Post-Harvest" Horticulturae 8, no. 7: 571. https://doi.org/10.3390/horticulturae8070571
APA StyleLu, C. (2022). Early-Summer Deficit Irrigation Increases the Dry-Matter Content and Enhances the Quality of Ambrosia™ Apples At- and Post-Harvest. Horticulturae, 8(7), 571. https://doi.org/10.3390/horticulturae8070571
