Exogenous Application of L-Arginine Improves Protein Content and Increases Yield of Pereskia aculeata Mill. Grown in Soilless Media Container
Abstract
1. Introduction
2. Materials and Methods
2.1. Experimental Site
2.2. Seedling Production and Transplant
2.3. Irrigation and Nutrition
2.4. Experimental Design and Treatments
2.5. Sample Collection and Storage for Biochemical Analysis
2.6. Assessment of Antioxidant Enzymes Activity
2.7. Assessment of Oxidative Stress Indicating Substances
2.8. Chlorophyll and Carotenoid Analysis
2.9. Crude Protein Content in Leaves
2.10. Physiological Parameters
2.11. Growth Parameters
2.12. Statistical Analysis
3. Results
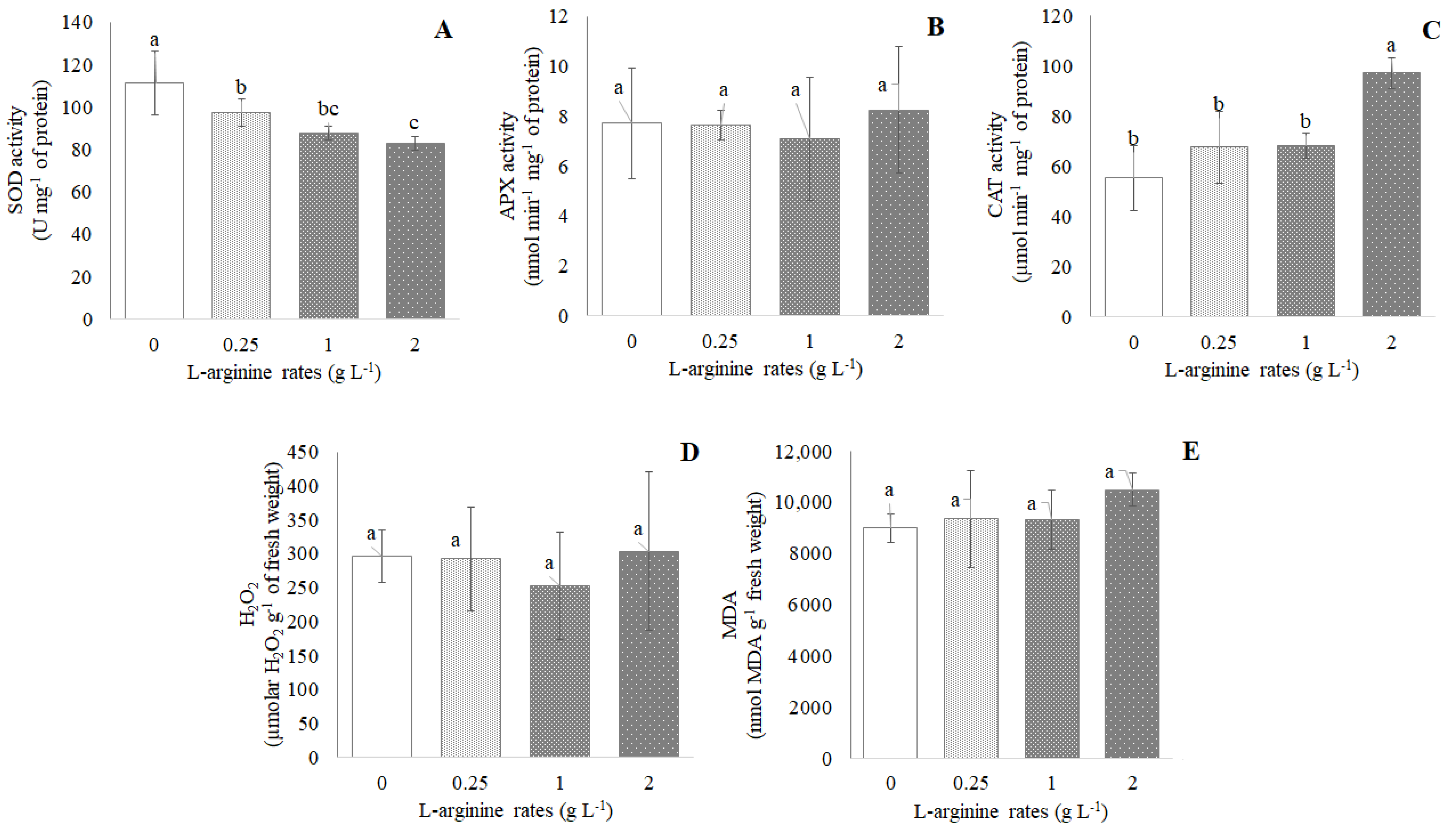
3.1. Antioxidant Enzymes and Oxidative Stress Indicating Substances
3.2. Crude Protein Content
3.3. Photosynthesis and Pigments
3.4. Plant Growth and Yield
4. Discussion
Author Contributions
Funding
Acknowledgments
Conflicts of Interest
References
- Takeiti, C.Y.; Antonio, G.C.; Motta, E.M.P.; Collares-Queiroz, F.P.; Park, K.J. Nutritive Evaluation of a Non-Conventional Leafy Vegetable (Pereskia Aculeata Miller). Int. J. Food Sci. Nutr. 2009, 60, 148–160. [Google Scholar] [CrossRef]
- De Almeida ME, F.; Junqueira AM, B.; Simão, A.A.; Corrêa, A.D. Caracterização Química Das Hortaliças Não-Convencionais Conhecidas Como Ora-pro-Nobis. Biosci. J. 2014, 30, 431–439. [Google Scholar]
- NEPA/UNICAMP. Tabela Brasileira de Composição de Alimentos-TACO, 4th ed.; UNICAMP/NEPA Campinas: Campinas, Brazil, 2011. [Google Scholar]
- Müller, O.; Krawinkel, M. Malnutrition and Health in Developing Countries. Can. Med Assoc. J. 2005, 173, 279–286. [Google Scholar] [CrossRef] [PubMed]
- Trennepohl, B.I. Caracterização Físico-Química, Atividade Antioxidante e Atividades Biológicas da Espécie Pereskia Aculeata Mill; UFPR: Curitiba, Brazil, 2016. [Google Scholar]
- Barbosa CK, R.; Finger, F.L.; Casali VW, D.; Oliveira LS, D.e.; Pereira, D.M. Manejo e Conservação Pós-Colheita de Pereskia Aculeata Mill. Em Temperatura Ambiente. Hortic. Bras. 2012, 30, S7002–S7009. [Google Scholar]
- Butterworth, C.A.; Wallace, R.S. Molecular Phylogenetics of the Leafy Cactus Genus Pereskia (Cactaceae). Syst. Bot. 2005, 30, 800–808. [Google Scholar] [CrossRef]
- Groppa, M.D.; Benavides, M.P. Polyamines and Abiotic Stress: Recent Advances. Amino Acids 2008, 34, 35. [Google Scholar] [CrossRef]
- Hayat, S.; Hayat, Q.; Alyemeni, M.N.; Wani, A.S.; Pichtel, J.; Ahmad, A. Role of Proline under Changing Environments: A Review. Plant Signal. Behav. 2012, 7, 1456–1466. [Google Scholar] [CrossRef]
- Siddiqui, M.H.; Al-Whaibi, M.H.; Basalah, M.O. Role of Nitric Oxide in Tolerance of Plants to Abiotic Stress. Protoplasma 2011, 248, 447–455. [Google Scholar] [CrossRef] [PubMed]
- Winter, G.; Todd, C.D.; Trovato, M.; Forlani, G.; Funck, D. Physiological Implications of Arginine Metabolism in Plants. Front. Plant Sci. 2015, 6, 1–14. [Google Scholar] [CrossRef] [PubMed]
- Smith, T.A. Polyamines. Annu. Rev. Plant Physiol. 1985, 36, 117–143. [Google Scholar] [CrossRef]
- El-Bassiouny HM, S.; Mostafa HA, M.; El-Khawas, S.A.; Hassanein, R.A.; Khalil, S.I.; Abd El-Monem, A.A. Physiological Responses of Wheat Plant to Foliar Treatments with Arginine or Putrescine. Aust. J. Basic Appl. Sci. 2008, 2, 1390–1403. [Google Scholar]
- Xia, J.; Yamaji, N.; Che, J.; Shen, R.F.; Ma, J.F. Normal Root Elongation Requires Arginine Produced by Argininosuccinate Lyase in Rice. Plant J. 2014, 78, 215–226. [Google Scholar] [CrossRef] [PubMed]
- Duarte, M.D.R.; Hayashi, S.S. Estudo Anatômico de Folha e Caule de Pereskia Aculeata Mill.(Cactaceae). Rev. Bras. Farmacogn. 2005, 15, 103–109. [Google Scholar] [CrossRef]
- Hirner, A.; Ladwig, F.; Stransky, H.; Okumoto, S.; Keinath, M.; Harms, A.; Frommer, W.B.; Koch, W. Arabidopsis LHT1 Is a High-Affinity Transporter for Cellular Amino Acid Uptake in Both Root Epidermis and Leaf Mesophyll. Plant Cell 2006, 18, 1931–1946. [Google Scholar] [CrossRef]
- Gazola, D.; Zucareli, C.; Silva, R.R.; Fonseca, I.C.D.B. Aplicação Foliar de Aminoácidos e Adubação Nitrogenada de Cobertura Na Cultura Do Milho Safrinha. Rev. Bras. Eng. Agrícola Ambient. 2014, 18, 700–707. [Google Scholar] [CrossRef][Green Version]
- Lima, M.D.G.D.S.; Mendes, C.R.; Nascimento, R.; Lopes, N.F.; Carvalho MA, P. Avaliação Bioquímica de Plantas de Milho Pulverizadas Com Uréia Isolada e Em Associação Com Aminoácidos. Rev. Ceres 2009, 56, 358–363. [Google Scholar]
- Mógor, Á.F.; Ono, E.O.; Rodrigues, J.D.; Mógor, G. Aplicação Foliar de Extrato de Alga, Ácido L-Glutâmico e Cálcio Em Feijoeiro. Sci. Agrar. 2008, 9, 431–437. [Google Scholar] [CrossRef]
- Civiero, J.C.; Daros, E.; Fiori-Tutida, A.C.; Alves, M.J.; Figueiredo, G.G. Crescimento Inicial Da Cana-de-Açucar Em Função Do Tamanho Do Mini-Reboleo Da Aplicação de Bioestimulantes. Rev. Bras. Tecnol. Appl. Nas Ciências Agrárias 2016, 9, 7–15. [Google Scholar] [CrossRef]
- Lambais, G.R. Aminoácidos Como Coadjuvantes da Adubação Foliar e do Uso do Glifosato na Cultura de Soja; ESALQ/USP: Piracicaba, Brazil, 2011. [Google Scholar]
- Bettoni, M.B.; Fabbrin, E.G.D.S.; Procopiuk, M.; Mógor, A.F. Crescimento de Mudas de Orégano Submetidas a Doses e Frequências de Aplicação de Ácido L-Glutâmico Em Sistema Orgânico. Rev. Bras. Plantas Med. 2014, 16, 83–88. [Google Scholar] [CrossRef]
- Jiménez-Arias, D.; García-Machado, F.J.; Morales-Sierra, S.; Luis, J.C.; Suarez, E.; Hernández, M.; Valdés, F.; Borges, A.A. Lettuce Plants Treated with L-Pyroglutamic Acid Increase Yield under Water Deficit Stress. Environ. Exp. Bot. 2019, 158, 215–222. [Google Scholar] [CrossRef]
- Tsouvaltzis, P.; Koukounaras, A.; Siomos, A.S. Application of Amino Acids Improves Lettuce Crop Uniformity and Inhibits Nitrate Accumulation Induced by the Supplemental Inorganic Nitrogen Fertilization. Int. J. Agric. Biol. 2014, 16, 951–955. [Google Scholar]
- Matysiak, K.; Kierzek, R.; Siatkowski, I.; Kowalska, J.; Krawczyk, R. Effect of Exogenous Application of Amino Acids L-Arginine and Glycine on Maize under Temperature Stress. Agronomy 2020, 10, 769. [Google Scholar] [CrossRef]
- Kraus, T.E.; McKersie, B.D.; Fletcher, R.A. Paclobutrazol-Induced Tolerance of Wheat Leaves to Paraquat May Involve Increased Antioxidant Enzyme Activity. J. Plant Physiol. 1995, 145, 570–576. [Google Scholar] [CrossRef]
- Azevedo, R.A.; Alas, R.M.; Smith, R.J.; Lea, P.J. Response of Antioxidant Enzymes to Transfer from Elevated Carbon Dioxide to Air and Ozone Fumigation, in the Leaves and Roots of Wild-Type and a Catalase-Deficient Mutant of Barley. Physiol. Plant. 1998, 104, 280–292. [Google Scholar] [CrossRef]
- Giannopolitis, C.N.; Ries, S.K. Superoxide Dismutases: I. Occurrence in Higher Plants. Plant Physiol. 1977, 59, 309–314. [Google Scholar] [CrossRef] [PubMed]
- Nakano, Y.; Asada, K. Hydrogen Peroxide Is Scavenged by Ascorbate-Specific Peroxidase in Spinach Chloroplasts. Plant Cell Physiol. 1981, 22, 867–880. [Google Scholar]
- Alexieva, V.; Sergiev, I.; Mapelli, S.; Karanov, E. The Effect of Drought and Ultraviolet Radiation on Growth and Stress Markers in Pea and Wheat. Plant Cell Environ. 2001, 24, 1337–1344. [Google Scholar] [CrossRef]
- Heath, R.L.; Packer, L. Photoperoxidation in Isolated Chloroplasts. Arch. Biochem. Biophys. 1968, 125, 189–198. [Google Scholar] [CrossRef]
- Lichtenhaler, H.K.; Wellburn, A.R. Determinations of Total Carotenoids and Chlorophylls a and b of Leaf Extracts in Different Solvents. Biochem. Soc. Trans. 1983, 11, 591–592. [Google Scholar] [CrossRef]
- AOAC. Oficial Methods of Analysis, 17th ed.; The Association of Official Analytical Chemists: Gaithersburg, MD, USA, 2000. [Google Scholar]
- Hasanuzzaman, M.; Bhuyan MH, M.; Zulfiqar, F.; Raza, A.; Mohsin, S.M.; Mahmud, J.A.l.; Fujita, M.; Fotopoulos, V. Reactive Oxygen Species and Antioxidant Defense in Plants under Abiotic Stress: Revisiting the Crucial Role of a Universal Defense Regulator. Antioxidants 2020, 9, 681. [Google Scholar] [CrossRef] [PubMed]
- Hasanuzzaman, M.; Nahar, K.; Rahman, A.; Inafuku, M.; Oku, H.; Fujita, M. Exogenous Nitric Oxide Donor and Arginine Provide Protection against Short-Term Drought Stress in Wheat Seedlings. Physiol. Mol. Biol. Plants 2018, 24, 993–1004. [Google Scholar] [CrossRef] [PubMed]
- Nasibi, F.; Yaghoobi, M.M.; Kalantari, K.M. Effect of Exogenous Arginine on Alleviation of Oxidative Damage in Tomato Plant Underwater Stress. J. Plant Interact. 2011, 6, 291–296. [Google Scholar] [CrossRef]
- Tapiero, H.; Mathé, G.; Couvreur, P.; Tew KD, I. Arginine. Biomed. Pharmacother. 2002, 56, 439–445. [Google Scholar] [CrossRef]
- Corpas, F.J.; Barroso, J.B.; Carreras, A.; Valderrama, R.; Palma, J.M.; León, A.M.; Sandalio, L.M.; Del Río, L.A. Constitutive Arginine-Dependent Nitric Oxide Synthase Activity in Different Organs of Pea Seedlings during Plant Development. Planta 2006, 224, 246–254. [Google Scholar] [CrossRef] [PubMed]
- Sung, C.H.; Hong, J.K. Sodium Nitroprusside Mediates Seedling Development and Attenuation of Oxidative Stresses in Chinese Cabbage. Plant Biotechnol. Rep. 2010, 4, 243–251. [Google Scholar] [CrossRef]
- Sadak, M.S.; Abdelhamid, M.T.; Schmidhalter, U. Efecto de La Aplicación Foliar de Aminoácidos Sobre El Rendimiento y Parámetros Fisiológicos En Plantas de Haba Irrigadas Con Agua de Mar. Acta Biol. Colomb. 2015, 20, 141–152. [Google Scholar] [CrossRef]
- Yang, Z.; Mhamdi, A.; Noctor, G. Analysis of Catalase Mutants Underscores the Essential Role of CATALASE2 for Plant Growth and Day Length-Dependent Oxidative Signalling. Plant. Cell Environ. 2019, 42, 688–700. [Google Scholar] [CrossRef]
- Su, T.; Wang, P.; Li, H.; Zhao, Y.; Lu, Y.; Dai, P.; Ren, T.; Wang, X.; Li, X.; Shao, Q.; et al. The Arabidopsis Catalase Triple Mutant Reveals Important Roles of Catalases and Peroxisome-Derived Signaling in Plant Development. J. Integr. Plant Biol. 2018, 60, 591–607. [Google Scholar] [CrossRef]
- Mhamdi, A.; Queval, G.; Chaouch, S.; Vanderauwera, S.; Van Breusegem, F.; Noctor, G. Catalase Function in Plants: A Focus on Arabidopsis Mutants as Stress-Mimic Models. J. Exp. Bot. 2010, 61, 4197–4220. [Google Scholar] [CrossRef]
- Palma, J.M.; Mateos, R.M.; López-Jaramillo, J.; Rodríguez-Ruiz, M.; González-Gordo, S.; Lechuga-Sancho, A.M.; Corpas, F.J. Plant Catalases as NO and H2S Targets. Redox Biol. 2020, 34, 101525. [Google Scholar] [CrossRef]
- Tiburcio, A.F.; Kaur-Sawhney, R.; Galston, A.W. Polyamine Metabolism. Biochem. Plants 1990, 16, 283–325. [Google Scholar]
- Slocum, R.D. Genes, Enzymes and Regulation of Arginine Biosynthesis in Plants. Plant Physiol. Biochem. 2005, 43, 729–745. [Google Scholar] [CrossRef] [PubMed]
- Tian, J.; Wang, L.P.; Yang, Y.J.; Sun, J.; Guo, S.R. Exogenous Spermidine Alleviates the Oxidative Damage in Cucumber Seedlings Subjected to High Temperatures. J. Am. Soc. Hortic. Sci. 2012, 137, 11–19. [Google Scholar] [CrossRef]
- Li, Y.; Xu, X.; Lei, B.; Zhuang, J.; Zhang, X.; Hu, C.; Cui, J.; Liu, Y. Magnesium-Nitrogen Co-Doped Carbon Dots Enhance Plant Growth through Multifunctional Regulation in Photosynthesis. Chem. Eng. J. 2021, 422, 130114. [Google Scholar] [CrossRef]
- Ahmed, A.M.A.; El-Gohary, A.E.; Osman, S.A.; Khalid, K.A. Arginine and Salinity Stress Affect Morphology and Metabolism of Indian Borage (Plectranthus Amboinicus Lour.). Shengtai Xuebao Acta Ecol. Sin. 2020, 40, 417–424. [Google Scholar] [CrossRef]
- Rodriguez-Concepcion, M.; Avalos, J.; Bonet, M.L.; Boronat, A.; Gomez-Gomez, L.; Hornero-Mendez, D.; Limon, M.C.; Meléndez-Martínez, A.J.; Olmedilla-Alonso, B.; Palou, A.; et al. A Global Perspective on Carotenoids: Metabolism, Biotechnology, and Benefits for Nutrition and Health. Prog. Lipid Res. 2018, 70, 62–93. [Google Scholar] [CrossRef]
- Botrel, N.; Godoy, R.L.D.O.; Madeira, N.R.; Amaro, G.B.; Castro e Melo, R.A. Estudo Comparativo da Composição Proteica e do Perfil de Aminoácidos em Cinco Clones de Ora-pro-Nóbis; Embrapa Hortaliças: Brasília, Brazil, 2019. [Google Scholar]
- Souza, M.R.D.M.; Pereira PR, G.; Magalhães, I.D.P.B.; Sediyama MA, N.; Vidigal, S.M.; Milagres CS, F.; Baracat-Pereira, M.C. Mineral, Protein and Nitrate Contents in Leaves of Pereskia Aculeata Subjected to Nitrogen Fertilization. Pesqui. Agropecuária Trop. 2016, 46, 43–50. [Google Scholar] [CrossRef]



| Rates (g L−1) | A | Gs | Ci | E |
|---|---|---|---|---|
| 0 | 9.33 ± 1.16 b | 0.099 ± 0.003 a | 230.66 ± 13.53 a | 1.27 ± 0.13 a |
| 0.25 | 11.18 ± 1.29 ab | 0.119 ± 0.024 a | 212.64 ± 16.43 ab | 1.34 ± 0.30 a |
| 1 | 10.85 ± 1.34 ab | 0.083 ± 0.024 a | 191.76 ± 19.45 b c | 1.16 ± 0.21 a |
| 2 | 12.84 ± 1.51 a | 0.101 ± 0.007 a | 172.29 ± 12.20 c | 1.24 ± 0.05 a |
| LSD | 2.73 | 0.039 | 30.02 | 0.43 |
| CV (%) | 5.35 | 9.76 | 7.44 | 8.46 |
| Rates (g L−1) | Chl a | Chl b | Total Chl | Carot |
|---|---|---|---|---|
| 0 | 7.82 ± 0.56 b | 2.25 ± 0.34 a | 10.19 ± 0.81 a | 4.92 ± 0.59 b |
| 0.25 | 8.11 ± 0.10 ab | 2.47 ± 0.09 a | 10.59 ± 0.17 a | 5.33 ± 0.08 ab |
| 1 | 7.76 ± 0.37 b | 2.36 ± 0.19 a | 10.12 ± 0.56 a | 5.08 ± 0.20 b |
| 2 | 8.57 ± 0.18 a | 2.45 ± 0.12 a | 11.06 ± 0.26 a | 5.66 ± 0.12 a |
| LSD | 0.63 | 0.36 | 0.94 | 0.54 |
| CV (%) | 4.92 | 9.34 | 5.62 | 6.46 |
| Rates (g L−1) | Fresh Mass | Dry Mass | Water Content | |||||
|---|---|---|---|---|---|---|---|---|
| Leaves | Stems | Total | Leaves | Stems | Total | Leaves | Total | |
| 0 | 132.5 ± 21.9 b | 68.7 ± 17.0 a | 224.9 ± 53.2 a | 12.7 ± 2.1 b | 12.5 ± 3.4 ª | 28.2 ± 5.8 b | 90.5 ± 0.2 a | 87.4 ± 1.0 a |
| 0.25 | 146.5 ± 11.9 ab | 94.8 ± 14.8 a | 264.5 ± 39.2 a | 14.6 ± 1.1 ab | 17.4 ± 2.8 ª | 36.0 ± 5.1 ab | 90.1 ± 0.1 ab | 86.7 ± 0.6 b |
| 1 | 155.2 ± 11.4 ab | 82.5 ± 10.6 a | 254.4 ± 34.1 a | 15.6 ± 1.5 a | 15.5 ± 2.8 ª | 34.7 ± 5.1 ab | 90.0 ± 0.3b c | 86.9 ± 0.3 ab |
| 2 | 158.5 ± 9.6 a | 95.4 ± 20.8 a | 275.4 ± 21.7 a | 16.4 ± 1.0 a | 17.1 ± 3.3 ª | 37.1 ± 3.6 a | 89.6 ± 0.4 c | 86.6 ± 1.2 b |
| LSD | 23.86 | 27.23 | 63.69 | 2.43 | 5.21 | 8.74 | 0.43 | 0.47 |
| CV (%) | 10.07 | 19.94 | 15.63 | 10.25 | 20.87 | 16.07 | 0.3 | 0.34 |
Publisher’s Note: MDPI stays neutral with regard to jurisdictional claims in published maps and institutional affiliations. |
© 2022 by the authors. Licensee MDPI, Basel, Switzerland. This article is an open access article distributed under the terms and conditions of the Creative Commons Attribution (CC BY) license (https://creativecommons.org/licenses/by/4.0/).
Share and Cite
Freitas, I.S.; Trennepohl, B.I.; Acioly, T.M.S.; Conceição, V.J.; Mello, S.C.; Dourado Neto, D.; Kluge, R.A.; Azevedo, R.A. Exogenous Application of L-Arginine Improves Protein Content and Increases Yield of Pereskia aculeata Mill. Grown in Soilless Media Container. Horticulturae 2022, 8, 142. https://doi.org/10.3390/horticulturae8020142
Freitas IS, Trennepohl BI, Acioly TMS, Conceição VJ, Mello SC, Dourado Neto D, Kluge RA, Azevedo RA. Exogenous Application of L-Arginine Improves Protein Content and Increases Yield of Pereskia aculeata Mill. Grown in Soilless Media Container. Horticulturae. 2022; 8(2):142. https://doi.org/10.3390/horticulturae8020142
Chicago/Turabian StyleFreitas, Isabela Scavacini, Bruna Isadora Trennepohl, Thiago Machado Silva Acioly, Vivyan Justi Conceição, Simone Costa Mello, Durval Dourado Neto, Ricardo Alfredo Kluge, and Ricardo Antunes Azevedo. 2022. "Exogenous Application of L-Arginine Improves Protein Content and Increases Yield of Pereskia aculeata Mill. Grown in Soilless Media Container" Horticulturae 8, no. 2: 142. https://doi.org/10.3390/horticulturae8020142
APA StyleFreitas, I. S., Trennepohl, B. I., Acioly, T. M. S., Conceição, V. J., Mello, S. C., Dourado Neto, D., Kluge, R. A., & Azevedo, R. A. (2022). Exogenous Application of L-Arginine Improves Protein Content and Increases Yield of Pereskia aculeata Mill. Grown in Soilless Media Container. Horticulturae, 8(2), 142. https://doi.org/10.3390/horticulturae8020142

