Fertilization and Soil Nutrients Impact Differentially Cranberry Yield and Quality in Eastern Canada
Abstract
:1. Introduction
2. Materials and Methods
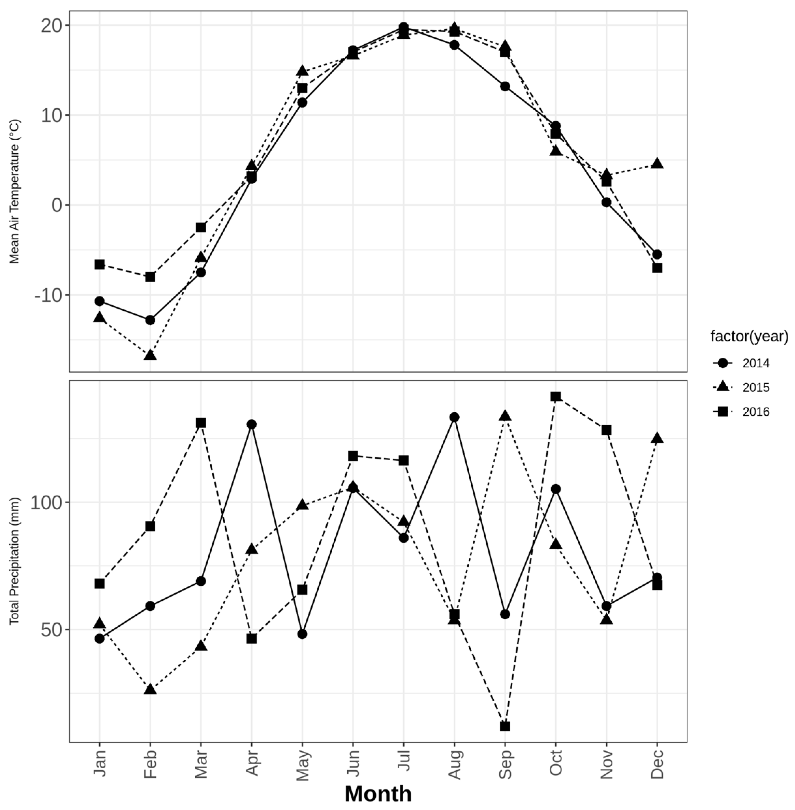
2.1. Experimental Site and Design
2.2. Soil Analysis
2.3. Fertilization
2.4. Plant Measurements
2.5. Berry Quality
2.6. Statistical Analysis
3. Results
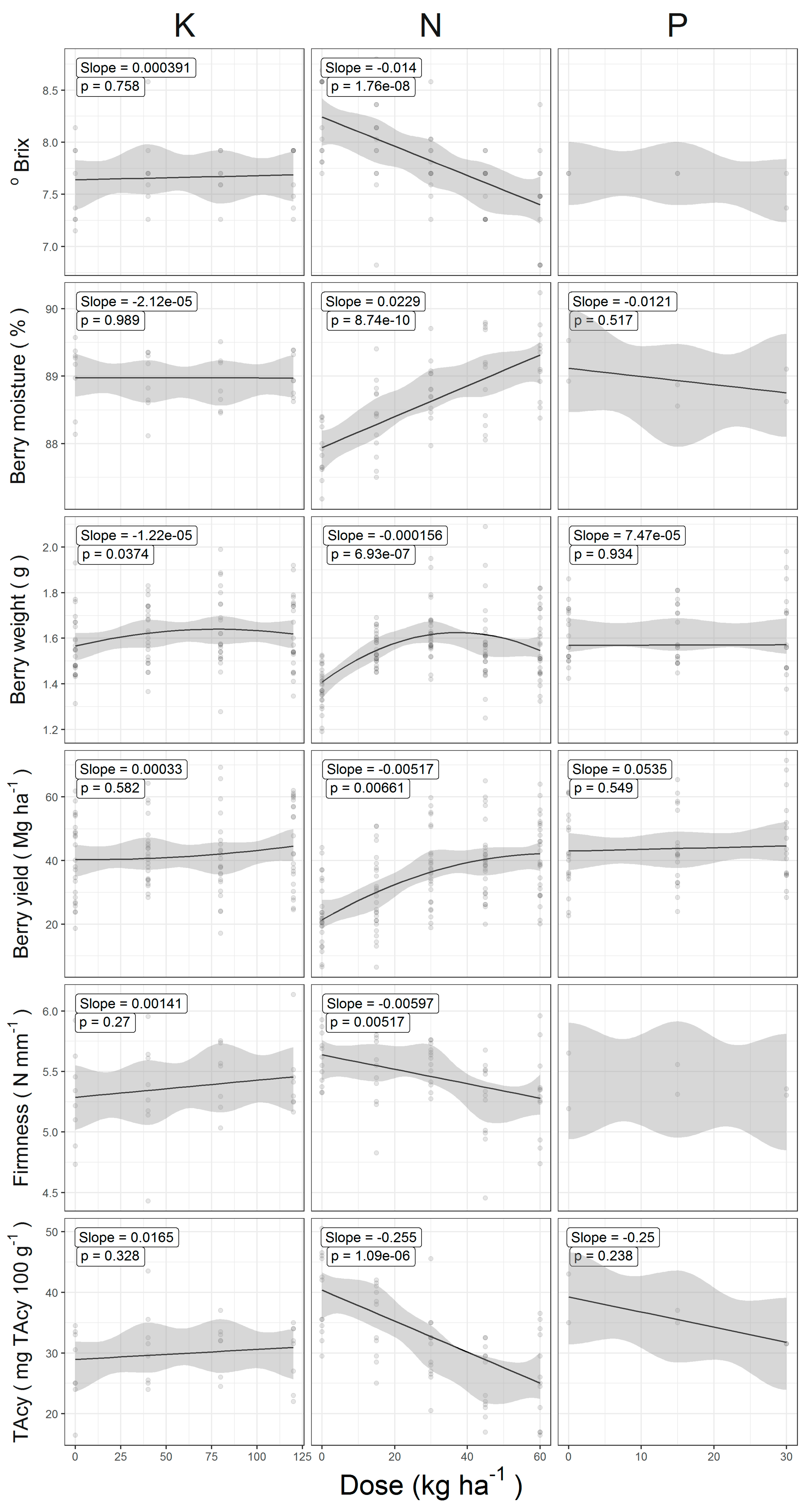
3.1. Effect of Nitrogen Source on Berry Yield and Quality
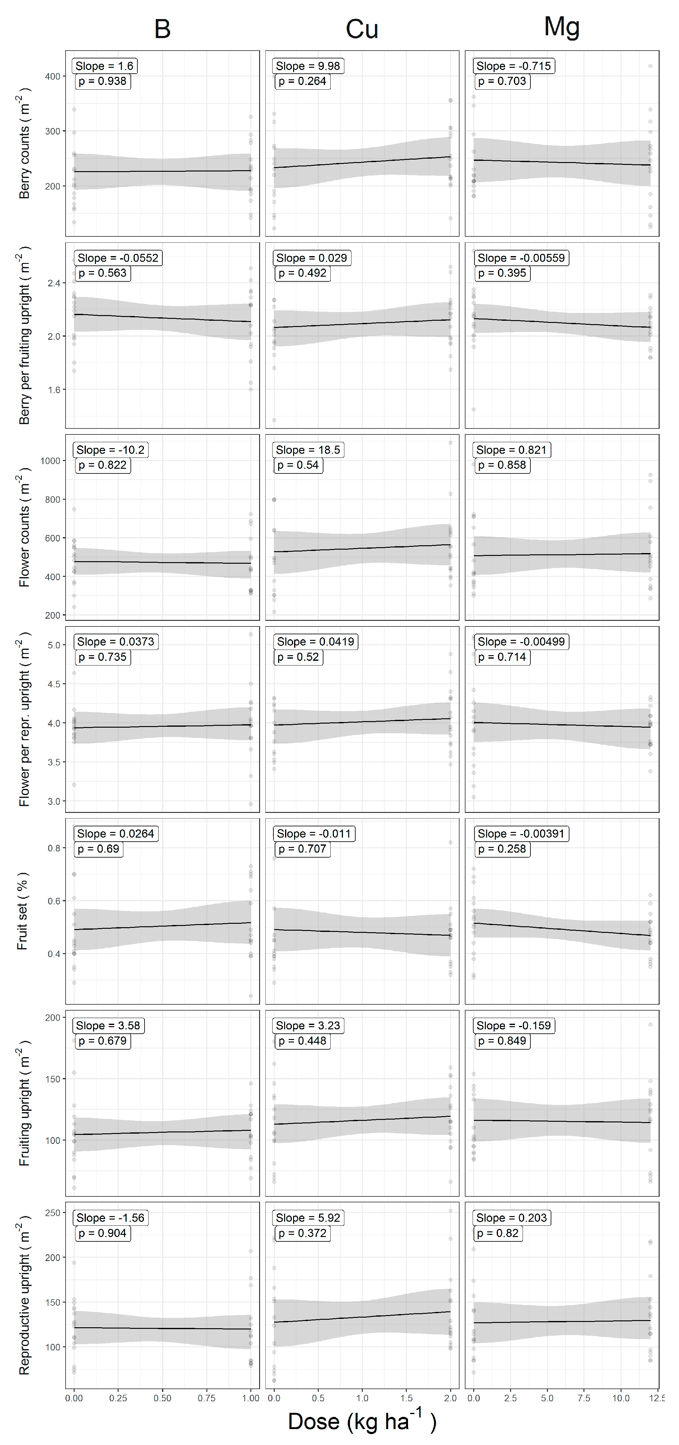
3.2. Effect of N, P, and K Regimes on Yield Parameters and Fruit Quality
3.3. Correlations among Berry Yield and Quality Parameters
3.4. Redundancy Analysis
4. Discussion
4.1. Impact of Fertilization on Berry Quality
4.2. Impact of Fertilization on Yield Parameters
4.3. Ranking of Soil Test Variables
5. Conclusions
Author Contributions
Funding
Informed Consent Statement
Conflicts of Interest
Appendix A

| Cropping Systems | 2014 | 2015 | 2016 | |
|---|---|---|---|---|
| N | Conventional | Ammonium sulfate (21-0-0) | Ammonium sulfate (21-0-0) | Ammonium sulfate (21-0-0) Sulfur coated urea (24-5-11) |
| Organic | Amino acids (8-0-0) | Fish emulsions (6-1-1) | ||
| P | Conventional | Triple superphosphate (0-46-0) | Triple superphosphate (0-46-0) | Triple superphosphate (0-46-0) |
| Organic | Bone meal (0-13-0) | Bone meal (0-13-0) | ||
| K | Conventional | Potassium sulfate (0-0-50) | Potassium sulfate (0-0-50) | Potassium sulfate (0-0-50) |
| Organic | ||||
| Mg | Conventional | Epsom salt (9% Mg) Sulfate of potassium and magnesium (0-0-22) | Epsom salt (9% Mg) Sulfate of potassium and magnesium (0-0-22) | Epsom salt (9% Mg) Sulfate of potassium and magnesium (0-0-22) |
| Organic | ||||
| Cu | Conventional | Copper sulfate (25% Cu) | Copper sulfate (25% Cu) | Copper sulfate (25% Cu) |
| Organic | ||||
| B | Conventional | Solubor (20% B) | Solubor (20% B) | Solubor (20% B) |
| Organic |


References
- Sandler, H.A.; DeMoranville, C.J. Cranberry production: A guide for Massachusetts—Summary edition. In Cranberry Production Guide; Station, C., Ed.; University of Massachusetts: Wareham, MA, USA, 2008; Volume 5, p. 37. [Google Scholar]
- APCQ. Association des Producteurs de Canneberges du Québec (Quebec Cranberry Growers Association). Available online: http://www.notrecanneberge.com/Content/Page/Stats (accessed on 1 May 2021).
- Vorsa, N.; Polashock, J.; Cunningham, D.; Roderick, R. Genetic inferences and breeding implications from analysis of cranberry germplasm anthocyanin profiles. J. Am. Soc. Hortic. Sci. 2003, 128, 691–697. [Google Scholar] [CrossRef] [Green Version]
- Hart, J.M.; Strik, B.C.; DeMoranville, C.; Davenport, J.R.; Roper, T. Cranberries: A nutrient management guide for south coastal Oregon. In OSU Extension Catalog; Service, E., Ed.; Oregon State University: Corvallis, OR, USA, 2015; p. 52. [Google Scholar]
- Baumann, T.E.; Eaton, G.W. Competition among berries on the cranberry upright. J. Am. Soc. Hortic. Sci. 1986, 111, 869–872. [Google Scholar]
- Eaton, G.W. Floral induction and biennial bearing in the cranberry. Fruit Var. J. 1978, 32, 58–60. [Google Scholar]
- Dana, M.N. Cranberry Management; Prentice-Hall: Englewood Cliffs, NJ, USA, 1990; pp. 334–362. [Google Scholar]
- Diaz-Garcia, L.; Rodriguez-Bonilla, L.; Phillips, M.; Lopez-Hernandez, A.; Grygleski, E.; Atucha, A.; Zalapa, J. Comprehensive analysis of the internal structure and firmness in American cranberry (Vaccinium macrocarpon Ait.) fruit. PLoS ONE 2019, 14, e0222451. [Google Scholar] [CrossRef] [PubMed] [Green Version]
- Berezina, E.V.; Brilkina, A.A.; Veselov, A.P. Content of phenolic compounds, ascorbic acid, and photosynthetic pigments in Vaccinium macrocarpon Ait. dependent on seasonal plant development stages and age (the example of introduction in Russia). Sci. Hortic. 2017, 218, 139–146. [Google Scholar] [CrossRef]
- Forney, C.F.; Kalt, W.; Jordan, M.A.; Vinqvist-Tymchuk, M.R.; Fillmore, S.A.E. Blueberry and cranberry fruit composition during development. J. Berry Res. 2012, 2, 169–177. [Google Scholar] [CrossRef] [Green Version]
- Rennie, T.J.; Mercer, D.G. Effect of blanching on convective drying and osmotic dehydration of cranberries. Trans. ASABE 2013, 56, 1863–1870. [Google Scholar] [CrossRef]
- Sinha, N.; Sidhu, J.; Barta, J.; Wu, J.; Cano, M.P. Handbook of Fruits and Fruit Processing; John Wiley & Sons: Hoboken, NJ, USA, 2012. [Google Scholar]
- DeMoranville, C.J.; Sandler, H.A.; Jeranyama, P.; Averill, A.L.; Caruso, F.L.; Sylvia, M.; Ghantous, K. 2014 Chart Book: Table of Contents; University of Massachusetts Amherst: Amherst, MA, USA, 2014. [Google Scholar]
- McArthur, D.A.J.; Eaton, G.W. Cranberry growth and yield response to fertilizer and paclobutrazol. Sci. Hortic. 1989, 38, 131–146. [Google Scholar] [CrossRef]
- Engels, C.; Kirkby, E.; White, P. Mineral nutrition, yield and source–sink relationships. In Marschner’s Mineral Nutrition of Higher Plants; Elsevier Ltd.: Amsterdam, The Netherlands, 2012; pp. 85–133. [Google Scholar] [CrossRef]
- Vanden Heuvel, J.E.; Davenport, J.R. Growth and carbon partitioning in cranberry uprights as influenced by nitrogen supply. Hortscience 2006, 41, 1552–1558. [Google Scholar] [CrossRef] [Green Version]
- Eaton, G.W. Effect of N, P, and K fertilizer applications on cranberry leaf nutrient composition, fruit color and yield in a mature bog. J. Am. Soc. Hortic. Sci. 1971, 96, 430–433. [Google Scholar]
- Rosen, C.J.; Allan, D.L.; Luby, J.J. Nitrogen form and solution pH influence growth and nutrition of 2 Vaccinium clones. J. Am. Soc. Hortic. Sci. 1990, 115, 83–89. [Google Scholar] [CrossRef]
- Davenport, J.; McMoranville, J.; Hart, J.M.; Patten, K.; Peterson, L.; Planer, T.; Poole, A. Cranberry tissue testing for producing beds in North America. In OSU Extension Catalog; Service, E., Ed.; Oregon State University: Corvallis, OR, USA, 1995. [Google Scholar]
- Davenport, J.; DeMoranville, C.J.; Hart, J.; Roper, T. Nitrogen for Bearing Cranberries in North America; Extension Service, Oregon State University: Corvallis, OR, USA, 2000. [Google Scholar]
- DeMoranville, C.J.; Ghantous, K. 2018–2020 Chart Book: Nutrition Management; University of Massachusetts, Amherst: Amherst, MA, USA, 2018. [Google Scholar]
- Roper, T.R. Mineral nutrition of cranberry: What we know and what we thought we knew. In Proceedings of the IX International Vaccinium Symposium, Corvallis, OR, USA, 14–18 July 2008; Volume 810, pp. 613–625. [Google Scholar]
- DeMoranville, C. Reducing phosphorus use in cranberry production: Horticultural and environmental implications. In Proceedings of the X International Symposium on Vaccinium and Other Superfruits, Maastricht, The Netherlands, 17–22 June 2012; VanKooten, O., Brouns, F., Eds.; Volume 1017, pp. 447–453. [Google Scholar]
- Parent, L.E.; Marchand, S. Response to phosphorus of cranberry on high phosphorus testing acid sandy soils. Soil Sci. Soc. Am. J. 2006, 70, 1914–1921. [Google Scholar] [CrossRef]
- Davenport, J.R.; Provost, J. Cranberry tissue nutrient levels as impacted by three levels of nitrogen fertilizer and their relationship to fruit yield and quality. J. Plant Nutr. 1994, 17, 1625–1634. [Google Scholar] [CrossRef]
- Eaton, G.W.; Meehan, C.N. Effects of N application and K application on leaf composition, yield, and fruit-quality of bearing Mcfarlin cranberries. Can. J. Plant Sci. 1976, 56, 107–110. [Google Scholar] [CrossRef]
- Aitchison, J. The Statistical Analysis of Compositional Data; Chapman and Hall Ltd.: New York, NY, USA, 1986; p. 416. [Google Scholar]
- Pawlowsky-Glahn, V.; Buccianti, A. Compositional Data Analysis: Theory and Applications; Wiley: Hoboken, NJ, USA, 2011. [Google Scholar]
- McCown, B.H.; Zeldin, E.L. ‘HyRed’, an early, high fruit color cranberry hybrid. Hortscience 2003, 38, 304–305. [Google Scholar] [CrossRef] [Green Version]
- National Climate Data and Information Archive of Environment. The Meteorological Service of Canada; Government of Canada: Ottawa, ON, Canada, 2021.
- Caron, J.; Pelletier, V.; Kennedy, C.D.; Gallichand, J.; Gumiere, S.; Bonin, S.; Bland, W.L.; Pepin, S. Guidelines of irrigation and drainage management strategies to enhance cranberry production and optimize water use in North America. Can. J. Soil Sci. 2017, 97, 82–91. [Google Scholar] [CrossRef] [Green Version]
- Kettler, T.A.; Doran, J.W.; Gilbert, T.L. Simplified method for soil particle-size determination to accompany soil-quality analyses. Soil Sci. Soc. Am. J. 2001, 65, 849–852. [Google Scholar] [CrossRef] [Green Version]
- Mehlich, A. Mehlich-3 soil test extractant a modification of Mehlich-2 extractant. Commun. Soil Sci. Plant Anal. 1984, 15, 1409–1416. [Google Scholar] [CrossRef]
- Kennedy, C.D.; Alverson, N.; Jeranyama, P.; DeMoranville, C. Seasonal dynamics of water and nutrient fluxes in an agricultural peatland. Hydrol. Process. 2018, 32, 698–712. [Google Scholar] [CrossRef]
- Fuleki, T.; Francis, F.J. Quantitative methods for Anthocyanins.1. Extraction and determination of total anthocyanin in cranberries. J. Food Sci. 1968, 33, 72–77. [Google Scholar] [CrossRef]
- Lamikanra, O.; Kueneman, D.; Ukuku, D.; Bett-Garber, K.L. Effect of processing under ultraviolet light on the shelf life of fresh-cut cantaloupe melon. J. Food Sci. 2005, 70, C534–C539. [Google Scholar] [CrossRef]
- R Development Core Team. R: A Language and Environment for Statistical Computing; R Foundation for Statistical Computing: Vienna, Austria, 2021. [Google Scholar]
- Wickham, H.; Averick, M.; Bryan, J.; Chang, W.; McGowan, L.D.A.; François, R.; Grolemund, G.; Hayes, A.; Henry, L.; Hester, J. Welcome to the Tidyverse. J. Open Source Softw. 2019, 4, 1686. [Google Scholar] [CrossRef]
- LaZerte, S.E.; Albers, S. Weathercan: Download and format weather data from Environment and Climate Change Canada. J. Open Source Softw. 2018, 3, 571. [Google Scholar] [CrossRef] [Green Version]
- Kahle, D.; Wickham, H.; Kahle, M.D. ggmap: Spatial Visualization with ggplot2. R J. 2013, 5, 144–161. [Google Scholar] [CrossRef] [Green Version]
- Pinheiro, J.; Bates, D.; DebRoy, S.; Sarkar, D.; R Core Team. nlme: Linear and Nonlinear Mixed Effects Models. R J. 2019, 3, 139. [Google Scholar]
- Clark-Carter, D. z Scores. In Wiley StatsRef: Statistics Reference Online; Wiley: Hoboken, NJ, USA, 2014. [Google Scholar] [CrossRef]
- Makowski, D.; Ben-Shachar, M.S.; Chen, S.H.A.; Lüdecke, D. Indices of effect existence and significance in the Bayesian framework. Front. Psychol. 2019, 10, 2767. [Google Scholar] [CrossRef] [PubMed]
- Amrhein, V.; Greenland, S.; McShane, B. Scientists rise up against statistical significance. Nature 2019, 567, 305–307. [Google Scholar] [CrossRef] [PubMed] [Green Version]
- Oksanen, J.; Blanchet, F.G.; Kindt, R.; Legendre, P.; Minchin, P.R.; O’hara, R.; Simpson, G.L.; Solymos, P.; Stevens, M.H.H.; Wagner, H. Package ‘vegan’. Community Ecol. Package Version 2013, 2, 1–295. [Google Scholar]
- Greenacre, M. Compositional data analysis. Annu. Rev. Stat. Appl. 2021, 8, 271–299. [Google Scholar] [CrossRef]
- Borcard, D.; Gillet, F.O.; Legen, P. Numerical Ecology with R, 2nd ed.; Springer: Cham, Switzerland, 2018. [Google Scholar] [CrossRef]
- Legendre, P.; Legendre, L. Numerical Ecology, 3rd ed.; Elsevier: Amsterdam, The Netherlands, 2012. [Google Scholar]
- Filzmoser, P.; Hron, K.; Reimann, C. Univariate statistical analysis of environmental (compositional) data: Problems and possibilities. Sci. Total Environ. 2009, 407, 6100–6108. [Google Scholar] [CrossRef]
- Roper, T. The Physiology of Cranberry Yield; Wisconsin Cranberry Crop Management Newsletter: Madison, WI, USA, 2006; p. 21. [Google Scholar]
- Parent, L.E.; Rozane, D.E.; de Deus, J.A.L.; Natale, W. Diagnosis of nutrient composition in fruit crops: Major developments. In Fruit Crops; Elsevier: Amsterdam, The Netherlands, 2020; pp. 145–156. [Google Scholar]
- Gallardo, R.K.; Klingthong, P.; Zhang, Q.; Polashock, J.; Atucha, A.; Zalapa, J.; Rodriguez-Saona, C.; Vorsa, N.; Iorizzo, M. Breeding trait priorities of the cranberry industry in the United States and Canada. HortScience 2018, 53, 1467–1474. [Google Scholar] [CrossRef] [Green Version]
- Stevens, N.E. Thickness of cuticle in cranberry fruits. Am. J. Bot. 1932, 19, 432–435. [Google Scholar] [CrossRef]
- Boucher, V. Effet des Doses de Fertilisant Azoté sur le Rendement et la Qualité des Fruits de Canneberge Produits au Québec; Université Laval: Quebec City, QC, Canada, 1999. [Google Scholar]
- Jamaly, R.; Marchand, S.; Parent, S.-E.; Gumiere, S.J.; Deland, J.-P.; Parent, L.-E. Impact of Fertilization on the Firmness of Cranberry (Vaccinium macrocarpon AIT). In Proceedings of the North American Cranberry Researcher and Extension Workers Conference, Plymouth, MA, USA, 27–30 August 2017. [Google Scholar]
- Davenport, J.R. The effect of nitrogen fertilizer rates and timing on cranberry yield and fruit quality. J. Am. Soc. Hortic. Sci. 1996, 121, 1089–1094. [Google Scholar] [CrossRef] [Green Version]
- Sapers, G.M.; Phillips, J.G.; Rudolf, H.M.; Divito, A.M. Cranberry quality selection procedures for breeding programs. J. Am. Soc. Hortic. Sci. 1983, 108, 241–246. [Google Scholar]
- Vorsa, N.; Welker, W.V. Relationship between fruit size and extractable anthocyanin content in cranberry. Hortscience 1985, 20, 402–403. [Google Scholar]
- Vorsa, N.; Johnson-Cicalese, J. American cranberry. In Fruit Breeding; Springer: Boston, MA, USA, 2012; Volume 8, pp. 191–223. [Google Scholar]
- Bourne, M.C. Texture of temperate fruits. J. Texture Stud. 1979, 10, 25–44. [Google Scholar] [CrossRef]
- Davenport, J.R.; Vorsa, N. Cultivar fruiting and vegetative response to nitrogen fertilizer in cranberry. J. Am. Soc. Hortic. Sci. JASHS 1999, 124, 90. [Google Scholar] [CrossRef] [Green Version]
- Brown, A.O.; McNeil, J.N. Fruit production in cranberry (Ericaceae: Vaccinium macrocarpon): A bet-hedging strategy to optimize reproductive effort. Am. J. Bot. 2006, 93, 910–916. [Google Scholar] [CrossRef]
- DeVetter, L.; Colquhoun, J.; Zalapa, J.; Harbut, R. Yield estimation in commercial cranberry systems using physiological, environmental, and genetic variables. Sci. Hortic. 2015, 190, 83–93. [Google Scholar] [CrossRef]
- Birrenkott, B.A.; Stang, E.J. Selective flower removal increases cranberry fruit set. HortScience 1990, 25, 1226–1228. [Google Scholar] [CrossRef] [Green Version]
- Roper, T.R.; Klueh, J.; Hagidimitriou, M. Shading, timing and intensity influences fruit-set and yield in cranberry. Hortscience 1995, 30, 525–527. [Google Scholar] [CrossRef] [Green Version]
- DeMoranville, C.J.; Davenport, J.R.; Patten, K.; Roper, T.R.; Strik, B.C.; Vorsa, N.; Poole, A.P. Fruit mass development in three cranberry cultivars and five production regions. J. Am. Soc. Hortic. Sci. 1996, 121, 680–685. [Google Scholar] [CrossRef] [Green Version]
- Burd, M. “Excess” flower production and selective fruit abortion: A model of potential benefits. Ecology 1998, 79, 2123–2132. [Google Scholar] [CrossRef]
- Degaetano, A.T.; Shulman, M.D. A statistical evaluation of the relationship between cranberry yield in New-Jersey and meteorological factors. Agric. For. Meteorol. 1987, 40, 323–342. [Google Scholar] [CrossRef]
- Franklin, H.J.; Stevens, N.E. Weather and Water as Factors in Cranberry Production; University of Massachusetts: Amherst, MA, USA, 1946. [Google Scholar]
- Reganold, J.P.; Wachter, J.M. Organic agriculture in the twenty-first century. Nat. Plants 2016, 2, 15221. [Google Scholar] [CrossRef]
- Ponti, D.T.; Rijk, H.C.A.; Ittersum, V.M.K. The crop yield gap between organic and conventional agriculture. Agric. Syst. 2012, 108, 1–9. [Google Scholar] [CrossRef]
- De Moranville, C.J. 2017 Chart Book: Nutrition Management; University of Massachusetts Amherst: Amherst, MA, USA, 2017; p. 15. [Google Scholar]
- B Bray, R.H. A nutrient mobility concept of soil-plant relationships. Soil Sci. 1954, 78, 9–22. [Google Scholar] [CrossRef]
- Bray, R.H. Soil-plant relations: I. The quantitative relation of exchangeable potassium to crop yields and to crop response to potash additions. Soil Sci. 1944, 58, 305–324. [Google Scholar] [CrossRef]
- Haynes, R.J.; Swift, R.S. Effect of soil amendments and sawdust mulching on growth, yield and leaf nutrient content of highbush blueberry plants. Sci. Hortic. 1986, 29, 229–238. [Google Scholar] [CrossRef]
- Phillips, I.; Burton, E. Nutrient leaching in undisturbed cores of an acidic sandy podosol following simultaneous potassium chloride and di-ammonium phosphate application. Nutr. Cycl. Agroecosyst. 2005, 73, 1–14. [Google Scholar] [CrossRef]
- Al-Kanani, T.; MacKenzie, A.; Ross, G. Mineralogy of surface soil samples of some Quebec soils with reference to K status. Can. J. Soil Sci. 1984, 64, 107–113. [Google Scholar] [CrossRef]
- Kodama, H. Clay minerals in Canadian soils their origin, distribution and alteration. Can. J. Soil Sci. 1979, 59, 37–58. [Google Scholar] [CrossRef]
- Simard, R.R.; Dekimpe, C.R.; Zizka, J. The kinetics of nonexchangeable potassium and magnesium release from Quebec soils. Can. J. Soil Sci. 1989, 69, 663–675. [Google Scholar] [CrossRef] [Green Version]
- Feigenbaum, S.; Edelstein, R.; Shainberg, I. Release rate of potassium and structural cations from micas to ion-exchangers in dilute-solutions. Soil Sci. Soc. Am. J. 1981, 45, 501–506. [Google Scholar] [CrossRef]
- Mc Lean, E.O.; Watson, M. Soil Measurements of Plant-Available Potassium. In Potassium in Agriculture; Rde, M., Ed.; ASA CSSA and SSSA: Madison, WI, USA, 1985; pp. 277–308. [Google Scholar] [CrossRef]
- Kuchenbuch, R.; Jungk, A. Influence of potassium supply on the availability of potassium in the rhizosphere of rape (Brassica-Napus). Z. Fur Pflanzenernahrung. Und Bodenkd. 1984, 147, 435–448. [Google Scholar] [CrossRef]
- Marchand, S.; Parent, S.E.; Deland, J.P.; Parent, L.E. Nutrient Signature of Québec (Canada) cranberry (Vaccinium macrocarpon AIT.). Rev. Bras. Frutic. 2013, 35, 292–304. [Google Scholar] [CrossRef] [Green Version]
- Parent, L.E.; Gagné, G. Guide de Référence en Fertilisation; Les Impressions STAMPA Inc.: Québec, QC, Canada, 2010; p. 473. [Google Scholar]
- Davenport, J.R.; DeMoranville, C.J.; Hart, J.; Kumidini, S.; Patten, K.; Poole, A.; Roper, T.R. Spatial and temporal variability of cranberry soil pH. Acta Hortic. 2003, 626, 315–327. [Google Scholar] [CrossRef]
- Parent, L.E.; Jamaly, R.; Atucha, A.; Parent, E.J.; Workmaster, B.A.; Ziadi, N.; Parent, S.-É. Current and next-year cranberry yields predicted from local features and carryover effects. PLoS ONE 2021, 16, e0250575. [Google Scholar] [CrossRef]






| Site | 10 | 45 | 9 | A9 |
|---|---|---|---|---|
| g kg−1 | ||||
| Clay | 23 | 26 | 28 | 36 |
| Silt | 40 | 32 | 41 | 36 |
| Sand total | 937 | 943 | 932 | 928 |
| • 1–2 mm | 6.1 | 19.1 | 34.1 | 13.2 |
| • 0.5–1.0 mm | 28.3 | 70.4 | 161.5 | 72.1 |
| • 0.25–0.5 mm | 332.9 | 283.5 | 405.3 | 417.3 |
| • 0.1–0.25 mm | 466.5 | 478.5 | 261.8 | 380.7 |
| • 0.25–0.01 mm | 103.2 | 91.5 | 69.2 | 44.7 |
| mean ± standard deviation | ||||
| pH (0.01 M CaCl2) | 4.2 | 4.3 ± 0.1 | 4.3 ± 0.1 | 4.1 ± 0.1 |
| g kg−1 (mean ± standard deviation) | ||||
| Total C | 3942 ± 664 | 12,170 ± 4218 | 10,615 ± 1875 | 10,528 ± 1836 |
| Total N | 162±88 | 479 ± 182 | 436 ± 173 | 400 ± 183 |
| Mehlich-3 analysis | mg kg−1 (mean ± standard deviation) | |||
| P | 63 ± 15 | 100 ± 21 | 164 ± 29.6 | 91 ± 19.2 |
| K | 8.5 ± 1.5 | 26.1 ± 6.8 | 16.6 ± 2.8 | 10.7 ± 3.2 |
| Ca | 31.6 ± 5.5 | 70.3 ± 24 | 106.1 ± 24.8 | 14.7 ± 4.1 |
| Mg | 10.7 ± 2 | 6.6 ± 2.6 | 9.8 ± 2.1 | 3.9 ± 1.3 |
| Cu | 1.8 ± 0.6 | 1.1 ± 0.6 | 1.7 ± 0.5 | 0.9 ± 0.3 |
| Zn | 0.6 ± 0.1 | 1.0 ± 0.2 | 2.0 ± 0.5 | 0.4 ± 0.1 |
| Mn | 1.5 ± 0.3 | 0.7 ± 0.3 | 1.2 ± 0.5 | 0.4 ± 0.3 |
| Fe | 177 ± 25 | 3043 ± 4 | 282 ± 30 | 239 ± 46 |
| Al | 594 ± 175 | 1240 ± 22 | 1510 ± 175 | 1488 ± 114 |
| 2014 | 2015 | 2016 | ||||
|---|---|---|---|---|---|---|
| Conventional | Conventional | Conventional | Organic | Conventional | Organic | |
| Nutrient | kg element ha−1 | |||||
| N | 0, 15, 30. 45, 60 | 0, 15, 30. 45, 60 | 0, 15, 30. 45, 60 | 0, 15, 30, 45, 60 | 0, 15, 30. 45, 60 | 0, 15, 30. 45, 60 |
| P | 0, 15, 30 | 0, 15, 30 | 0, 15, 30 | 0, 15, 30 | 15 | 15 |
| K | 0, 40, 80, 120 | 0, 40, 80, 120 | 0, 40, 80, 120 | 0, 40, 80, 120 | 0, 40, 80, 120 | 0, 40, 80, 120 |
| Mg | 0 or 12 | 0 or 12 | 0 or 12 | 0 or 12 | 12 | 12 |
| Cu | 0 or 2 | 0 or 2 | 0 or 2 | 0 or 2 | 2 | 2 |
| B | 0 or 1 | 0 or 1 | 0 or 1 | 0 or 1 | 1 | 1 |
Publisher’s Note: MDPI stays neutral with regard to jurisdictional claims in published maps and institutional affiliations. |
© 2021 by the authors. Licensee MDPI, Basel, Switzerland. This article is an open access article distributed under the terms and conditions of the Creative Commons Attribution (CC BY) license (https://creativecommons.org/licenses/by/4.0/).
Share and Cite
Jamaly, R.; Parent, S.-É.; Parent, L.E. Fertilization and Soil Nutrients Impact Differentially Cranberry Yield and Quality in Eastern Canada. Horticulturae 2021, 7, 191. https://doi.org/10.3390/horticulturae7070191
Jamaly R, Parent S-É, Parent LE. Fertilization and Soil Nutrients Impact Differentially Cranberry Yield and Quality in Eastern Canada. Horticulturae. 2021; 7(7):191. https://doi.org/10.3390/horticulturae7070191
Chicago/Turabian StyleJamaly, Reza, Serge-Étienne Parent, and Léon E. Parent. 2021. "Fertilization and Soil Nutrients Impact Differentially Cranberry Yield and Quality in Eastern Canada" Horticulturae 7, no. 7: 191. https://doi.org/10.3390/horticulturae7070191
APA StyleJamaly, R., Parent, S.-É., & Parent, L. E. (2021). Fertilization and Soil Nutrients Impact Differentially Cranberry Yield and Quality in Eastern Canada. Horticulturae, 7(7), 191. https://doi.org/10.3390/horticulturae7070191

