Gene Expression under Short-Term Low Temperatures: Preliminary Screening Method to Obtain Tolerant Citrus Rootstocks
Abstract
:1. Introduction
2. Materials and Methods
2.1. Plant Material and Growing Conditions
2.1.1. Experiment 1
2.1.2. Experiment 2
2.2. Obtaining Putative Genes
2.3. RNA Isolation and Gene Quantification by RT-PCR
2.4. Proline Quatification
2.5. Statistical Analyses
3. Results
3.1. Experiment 1
3.1.1. Gene Expression of the Putative Low-Temperature Response Genes in the Short Term
3.1.2. Gene Expression of the Synthesis and Transport of Proline and Its Quantification in Experiment 1
3.2. Experiment 2
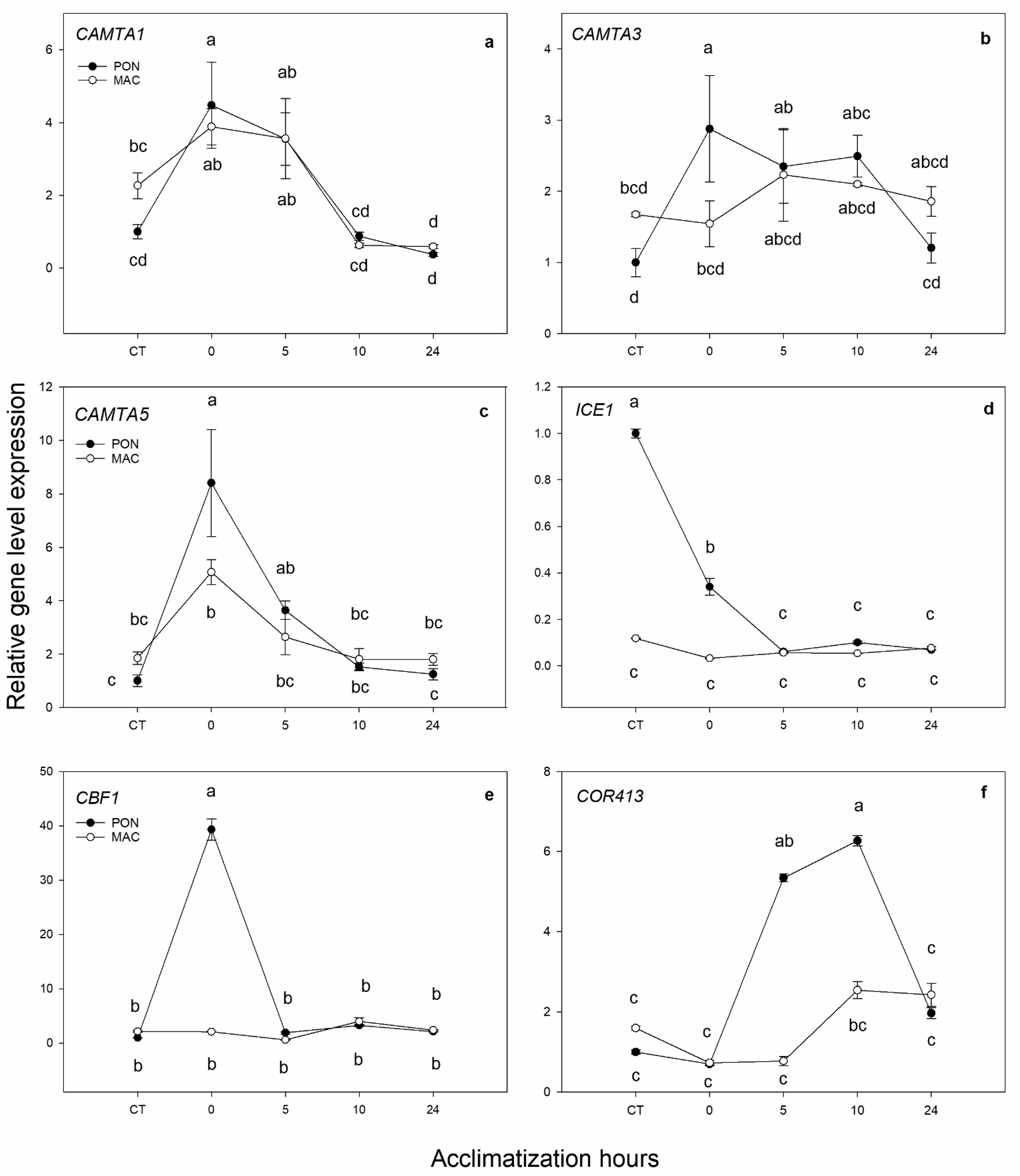
3.2.1. Gene Expression of the Putative Low-Temperature Response Genes after an Acclimatization Period
3.2.2. Gene Expression of the Synthesis and Transport of Proline and Its Quantification in Experiment 2
4. Discussion
5. Conclusions
Author Contributions
Funding
Institutional Review Board Statement
Informed Consent Statement
Data Availability Statement
Acknowledgments
Conflicts of Interest
References
- Attaway, J.A. A History of Florida Citrus Freezes; Florida Science Source: Longboat Key, FL, USA, 1997; ISBN 978-0-944961-03-2. [Google Scholar]
- Martínez-Cuenca, M.-R.; Iglesias, D.J.; Forner-Giner, M.A.; Primo-Millo, E.; Legaz, F. The effect of sodium bicarbonate on plant performance and iron acquisition system of FA-5 (Forner-Alcaide 5) citrus seedlings. Acta Physiol. Plant. 2013, 35, 2833–2845. [Google Scholar] [CrossRef]
- Martínez-Cuenca, M.-R.; Primo-Capella, A.; Forner-Giner, M.A. Key role of boron compartmentalisation-related genes as the initial cell response to low B in citrus genotypes cultured in vitro. Hortic. Environ. Biotechnol. 2019, 60, 519–530. [Google Scholar] [CrossRef]
- Martínez-Cuenca, M.-R.; Quiñones, A.; Forner-Giner, M.Á. Screening of ‘King’ mandarin (Citrus nobilis Lour) × Poncirus trifoliata ((L.) Raf.) hybrids as citrus rootstocks tolerants to iron chlorosis. Sci. Hortic. 2016, 198, 61–69. [Google Scholar] [CrossRef]
- Primo-Capella, A.; Martínez-Cuenca, M.-R.; Gil-Muñoz, F.; Forner-Giner, M.A. Physiological characterization and proline route genes quantification under long-term cold stress in Carrizo citrange. Sci. Hortic. 2021, 276, 109744. [Google Scholar] [CrossRef]
- Forner-Giner, M.; Alcaide, A.; Primo-Millo, E.; Forner, J. Performance of ‘Navelina’ orange on 14 rootstocks in Northern Valencia (Spain). Sci. Hortic. 2003, 98, 223–232. [Google Scholar] [CrossRef]
- Larcher, W. Die Kälteresistenz von Obstbäumen und Ziergehölzen subtropischer Herkunft. Ecol. Plant. 1971, 6, 1–14. [Google Scholar]
- Yelenosky, G. Cold Hardiness in Citrus. In Horticultural Reviews; Janick, J., Ed.; John Wiley & Sons, Inc.: Hoboken, NJ, USA, 1985; pp. 201–238. ISBN 978-1-118-06073-5. [Google Scholar]
- Davies, F.S.; Albrigo, L.G. Citrus; CAB INTERNATIONAL: Wallingford, UK, 1994; ISBN 0851988679. [Google Scholar]
- Inch, S.; Stover, E.; Driggers, R.; Lee, R.F. Freeze Response of Citrus and Citrus-related Genotypes in a Florida Field Planting. Horts 2014, 49, 1010–1016. [Google Scholar] [CrossRef]
- Joublan, J.P.; Cordero, N. Comportamiento de algunos cítricos sobre diferentes portainjertos, en su tercera temporada de crecimiento, Quillón VIII Región, Chile. Agric. Téc. 2002, 62, 469–479. [Google Scholar] [CrossRef]
- Yelenosky, G. Accumulation of Free Proline in Citrus Leaves during Cold Hardening of Young Trees in Controlled Temperature Regimes. Plant Physiol. 1979, 64, 425–427. [Google Scholar] [CrossRef] [PubMed] [Green Version]
- Thomashow, M.F. Role of Cold-Responsive Genes in Plant Freezing Tolerance. Plant Physiol. 1998, 118, 1–8. [Google Scholar] [CrossRef] [PubMed] [Green Version]
- Liu, Y.; Dang, P.; Liu, L.; He, C. Cold acclimation by the CBF-COR pathway in a changing climate: Lessons from Arabidopsis thaliana. Plant Cell Rep. 2019, 38, 511–519. [Google Scholar] [CrossRef] [PubMed] [Green Version]
- Yang, T.; Chaudhuri, S.; Yang, L.; Du, L.; Poovaiah, B.W. A calcium/calmodulin-regulated member of the receptor-like kinase family confers cold tolerance in plants. J. Biol. Chem. 2010, 285, 7119–7126. [Google Scholar] [CrossRef] [PubMed] [Green Version]
- Zhao, C.; Wang, P.; Si, T.; Hsu, C.-C.; Wang, L.; Zayed, O.; Yu, Z.; Zhu, Y.; Dong, J.; Tao, W.A.; et al. MAP Kinase Cascades Regulate the Cold Response by Modulating ICE1 Protein Stability. Dev. Cell 2017, 43, 618–629.e5. [Google Scholar] [CrossRef] [PubMed] [Green Version]
- Chinnusamy, V.; Ohta, M.; Kanrar, S.; Lee, B.; Hong, X.; Agarwal, M.; Zhu, J.-K. ICE1: A regulator of cold-induced transcriptome and freezing tolerance in Arabidopsis. Genes Dev. 2003, 17, 1043–1054. [Google Scholar] [CrossRef] [Green Version]
- Ding, Y.; Li, H.; Zhang, X.; Xie, Q.; Gong, Z.; Yang, S. OST1 Kinase Modulates Freezing Tolerance by Enhancing ICE1 Stability in Arabidopsis. Dev. Cell 2015, 32, 278–289. [Google Scholar] [CrossRef] [Green Version]
- Ding, Y.; Jia, Y.; Shi, Y.; Zhang, X.; Song, C.; Gong, Z.; Yang, S. OST1-mediated BTF3L phosphorylation positively regulates CBFs during plant cold responses. EMBO J. 2018, 37, e98228. [Google Scholar] [CrossRef] [PubMed]
- Miura, K.; Jin, J.B.; Lee, J.; Yoo, C.Y.; Stirm, V.; Miura, T.; Ashworth, E.N.; Bressan, R.A.; Yun, D.-J.; Hasegawa, P.M. SIZ1-Mediated Sumoylation of ICE1 Controls CBF3/DREB1A Expression and Freezing Tolerance in Arabidopsis. Plant Cell 2007, 19, 1403–1414. [Google Scholar] [CrossRef] [Green Version]
- Benedict, C.; Skinner, J.S.; Meng, R.; Chang, Y.; Bhalerao, R.; Huner, N.P.A.; Finn, C.E.; Chen, T.H.H.; Hurry, V. The CBF1-dependent low temperature signalling pathway, regulon and increase in freeze tolerance are conserved in Populus spp. Plant Cell Environ. 2006, 29, 1259–1272. [Google Scholar] [CrossRef]
- Doherty, C.J.; Van Buskirk, H.A.; Myers, S.J.; Thomashow, M.F. Roles for Arabidopsis CAMTA Transcription Factors in Cold-Regulated Gene Expression and Freezing Tolerance. Plant Cell 2009, 21, 972–984. [Google Scholar] [CrossRef] [Green Version]
- Kidokoro, S.; Yoneda, K.; Takasaki, H.; Takahashi, F.; Shinozaki, K.; Yamaguchi-Shinozaki, K. Different Cold-Signaling Pathways Function in the Responses to Rapid and Gradual Decreases in Temperature. Plant Cell 2017, 29, 760–774. [Google Scholar] [CrossRef] [Green Version]
- Kushad, M.M.; Yelenosky, G. Evaluation of Polyamine and Proline Levels during Low Temperature Acclimation of Citrus 1. Plant Physiol. 1987, 84, 692–695. [Google Scholar] [CrossRef]
- Vu, J.C.V.; Yelenosky, G. Photosnythetic responses of rough lemon and sour orange to soil flooding, chilling, and short-term temperature fluctuations during growth. Environ. Exp. Bot. 1992, 32, 471–477. [Google Scholar] [CrossRef]
- Vu, J.C.V.; Yelenosky, G. Photosynthesis and freeze tolerance comparisons of the newly released “ambersweet” hybrid with “valencia” orange. Environ. Exp. Bot. 1993, 33, 391–395. [Google Scholar] [CrossRef]
- Anwar Hossain, M.; Hoque, M.A.; Burritt, D.J.; Fujita, M. Chapter 16—Proline Protects Plants Against Abiotic Oxidative Stress: Biochemical and Molecular Mechanisms. In Oxidative Damage to Plants; Academic Press: San Diego, CA, USA, 2014; pp. 477–522. ISBN 978-0-12-799963-0. [Google Scholar]
- Kaur, G.; Asthir, B. Proline: A key player in plant abiotic stress tolerance. Biol. Plant. 2015, 59, 609–619. [Google Scholar] [CrossRef]
- Kishor, P.B.K.; Sangam, S.; Amrutha, R.N.; Laxmi, P.S.; Naidu, K.R.; Rao, K.R.S.S.; Rao, S.; Reddy, K.J.; Theriappan, P.; Sreenivasulu, N. Regulation of proline biosynthesis, degradation, uptake and transport in higher plants: Its implications in plant growth and abiotic stress tolerance. Curr. Sci. 2005, 88, 424–438. [Google Scholar]
- Lehmann, S.; Funck, D.; Szabados, L.; Rentsch, D. Proline metabolism and transport in plant development. Amino Acids 2010, 39, 949–962. [Google Scholar] [CrossRef] [Green Version]
- Verbruggen, N.; Hermans, C. Proline accumulation in plants: A review. Amino Acids 2008, 35, 753–759. [Google Scholar] [CrossRef]
- Verslues, P.E.; Sharma, S. Proline Metabolism and Its Implications for Plant-Environment Interaction. Arab. Book 2010, 8, e0140. [Google Scholar] [CrossRef] [Green Version]
- Hare, P.D.; Cress, W.A. Metabolic implications of stress-induced proline accumulation in plants. Plant Growth Regul. 1997, 21, 79–102. [Google Scholar] [CrossRef]
- Rentsch, D.; Hirner, B.; Schmelzer, E.; Frommer, W.B. Salt stress-induced proline transporters and salt stress-repressed broad specificity amino acid permeases identified by suppression of a yeast amino acid permease-targeting mutant. Plant Cell 1996, 8, 1437. [Google Scholar] [CrossRef] [Green Version]
- Grallath, S.; Weimar, T.; Meyer, A.; Gumy, C.; Suter-Grotemeyer, M.; Neuhaus, J.-M.; Rentsch, D. The AtProT Family. Compatible Solute Transporters with Similar Substrate Specificity But Differential Expression Patterns. Plant Physiol. 2005, 137, 117. [Google Scholar] [CrossRef] [PubMed] [Green Version]
- Agüero, J.; del Carmen Vives, M.; Velázquez, K.; Pina, J.A.; Navarro, L.; Moreno, P.; Guerri, J. Effectiveness of gene silencing induced by viral vectors based on Citrus leaf blotch virus is different in Nicotiana benthamiana and citrus plants. Virology 2014, 460–461, 154–164. [Google Scholar] [CrossRef] [Green Version]
- Estornell, L.H.; Gómez, M.D.; Pérez-Amador, M.A.; Talón, M.; Tadeo, F.R. Secondary abscission zones: Understanding the molecular mechanisms triggering stylar abscission in citrus. Acta Hortic. 2016, 65–72. [Google Scholar] [CrossRef]
- Brunner, A.M.; Yakovlev, I.A.; Strauss, S.H. Validating internal controls for quantitative plant gene expression studies. BMC Plant Biol. 2004, 4, 14. [Google Scholar] [CrossRef] [Green Version]
- Pfaffl, M.W. A new mathematical model for relative quantification in real-time RT–PCR. Nucleic Acids Res. 2001, 29, e45. [Google Scholar] [CrossRef]
- Hu, C.A.; Delauney, A.J.; Verma, D.P. A bifunctional enzyme (delta 1-pyrroline-5-carboxylate synthetase) catalyzes the first two steps in proline biosynthesis in plants. Proc. Natl. Acad. Sci. USA 1992, 89, 9354–9358. [Google Scholar] [CrossRef] [PubMed] [Green Version]
- Ding, Y.; Shi, Y.; Yang, S. Advances and challenges in uncovering cold tolerance regulatory mechanisms in plants. New Phytol. 2019, 222, 1690–1704. [Google Scholar] [CrossRef] [Green Version]
- Zhang, Y.; Zheng, S.; Liu, Z.; Wang, L.; Bi, Y. Both HY5 and HYH are necessary regulators for low temperature-induced anthocyanin accumulation in Arabidopsis seedlings. J. Plant Physiol. 2011, 168, 367–374. [Google Scholar] [CrossRef] [PubMed]
- Shi, Y.; Ding, Y.; Yang, S. Molecular Regulation of CBF Signaling in Cold Acclimation. Trends Plant Sci. 2018, 23, 623–637. [Google Scholar] [CrossRef]
- Chinnusamy, V.; Zhu, J.-K.J.; Zhu, J.-K.J. Cold stress regulation of gene expression in plants. Trends Plant Sci. 2007, 12, 444–451. [Google Scholar] [CrossRef]
- Li, H.; Ding, Y.; Shi, Y.; Zhang, X.; Zhang, S.; Gong, Z.; Yang, S. MPK3-and MPK6-Mediated ICE1 Phosphorylation Negatively Regulates ICE1 Stability and Freezing Tolerance in Arabidopsis. Dev. Cell 2017, 43, 630–642.e4. [Google Scholar] [CrossRef]
- Dong, C.-H.; Agarwal, M.; Zhang, Y.; Xie, Q.; Zhu, J.-K. The negative regulator of plant cold responses, HOS1, is a RING E3 ligase that mediates the ubiquitination and degradation of ICE1. Proc. Natl. Acad. Sci. USA 2006, 103, 8281–8286. [Google Scholar] [CrossRef] [PubMed] [Green Version]
- Ishitani, M.; Xiong, L.; Lee, H.; Stevenson, B.; Zhu, J.-K. HOS1, a Genetic Locus Involved in Cold-Responsive Gene Expression in Arabidopsis. Plant Cell 1998, 10, 1151. [Google Scholar] [CrossRef] [Green Version]
- Polisensky, D.H.; Braam, J. Cold-Shock Regulation of the Arabidopsis TCH Genes and the Effects of Modulating Intracellular Calcium Levels. Plant Physiol. 1996, 111, 1271. [Google Scholar] [CrossRef] [Green Version]
- Tähtiharju, S.; Sangwan, V.; Monroy, A.F.; Dhindsa, R.S.; Borg, M. The induction of kin genes in cold-acclimating Arabidopsis thaliana. Evidence of a role for calcium. Planta 1997, 203, 442–447. [Google Scholar] [CrossRef] [PubMed]
- Whalley, H.J.; Sargeant, A.W.; Steele, J.F.C.; Lacoere, T.; Lamb, R.; Saunders, N.J.; Knight, H.; Knight, M.R. Transcriptomic Analysis Reveals Calcium Regulation of Specific Promoter Motifs in Arabidopsis. Plant Cell 2011, 23, 4079. [Google Scholar] [CrossRef] [Green Version]
- Franklin, K.A.; Whitelam, G.C. Light-quality regulation of freezing tolerance in Arabidopsis thaliana. Nat. Genet. 2007, 39, 1410–1413. [Google Scholar] [CrossRef] [PubMed]
- Lee, C.-M.; Thomashow, M.F. Photoperiodic regulation of the C-repeat binding factor (CBF) cold acclimation pathway and freezing tolerance in Arabidopsis thaliana. Proc. Natl. Acad. Sci. USA 2012, 109, 15054. [Google Scholar] [CrossRef] [PubMed] [Green Version]
- Seo, E.; Lee, H.; Jeon, J.; Park, H.; Kim, J.; Noh, Y.-S.; Lee, I. Crosstalk between cold response and flowering in Arabidopsis is mediated through the flowering-time gene SOC1 and its upstream negative regulator FLC. Plant Cell 2009, 21, 3185–3197. [Google Scholar] [CrossRef] [Green Version]
- Breton, G.; Danyluk, J.; Charron, J.-B.F.; Sarhan, F. Expression profiling and bioinformatic analyses of a novel stress-regulated multispanning transmembrane protein family from cereals and Arabidopsis. Plant Physiol. 2003, 132, 64–74. [Google Scholar] [CrossRef] [Green Version]
- Ruibal, C.; Castro, A.; Fleitas, A.L.; Quezada, J.; Quero, G.; Vidal, S. A Chloroplast COR413 Protein From Physcomitrella patens Is Required for Growth Regulation Under High Light and ABA Responses. Front. Plant Sci. 2020, 11, 845. [Google Scholar] [CrossRef] [PubMed]
- Su, C.; Chen, K.; Ding, Q.; Mou, Y.; Yang, R.; Zhao, M.; Ma, B.; Xu, Z.; Ma, Y.; Pan, Y.; et al. Proteomic Analysis of the Function of a Novel Cold-Regulated Multispanning Transmembrane Protein COR413-PM1 in Arabidopsis. Int. J. Mol. Sci. 2018, 19, 2572. [Google Scholar] [CrossRef] [Green Version]
- Lundquist, P.K.; Rosar, C.; Bräutigam, A.; Weber, A.P.M. Plastid Signals and the Bundle Sheath: Mesophyll Development in Reticulate Mutants. Mol. Plant 2014, 7, 14–29. [Google Scholar] [CrossRef] [Green Version]
- Aggarwal, M.; Sharma, S.; Kaur, N.; Pathania, D.; Bhandhari, K.; Kaushal, N.; Kaur, R.; Singh, K.; Srivastava, A.; Nayyar, H. Exogenous Proline Application Reduces Phytotoxic Effects of Selenium by Minimising Oxidative stress and Improves Growth in Bean (Phaseolus vulgaris L.) Seedlings. Biol. Trace Elem. Res. 2011, 140, 354–367. [Google Scholar] [CrossRef]
- Ben Ahmed, C.; Magdich, S.; Ben Rouina, B.; Sensoy, S.; Boukhris, M.; Ben Abdullah, F. Exogenous proline effects on water relations and ions contents in leaves and roots of young olive. Amino Acids 2011, 40, 565–573. [Google Scholar] [CrossRef]
- Kamran, M.; Shahbaz, M.; Ashraf, M.; Akram, N.A. Alleviation of drought-induced adverse effects in spring wheat (Triticum aestivum L.) using proline as a pre-sowing seed treatment. Pak. J. Bot. 2009, 41, 621–632. [Google Scholar]
- Kaushal, N.; Gupta, K.; Bhandhari, K.; Kumar, S.; Thakur, P.; Nayyar, H. Proline induces heat tolerance in chickpea (Cicer arietinum L.) plants by protecting vital enzymes of carbon and antioxidative metabolism. Physiol. Mol. Biol. Plants 2011, 17, 203. [Google Scholar] [CrossRef] [Green Version]
- Khedr, A.H.A.; Abbas, M.A.; Wahid, A.A.A.; Quick, W.P.; Abogadallah, G.M. Proline induces the expression of salt-stress-responsive proteins and may improve the adaptation of Pancratium maritimum L. to salt-stress. J. Exp. Bot. 2003, 54, 2553–2562. [Google Scholar] [CrossRef] [Green Version]
- Zhiming Yan, Z.; Guo, S.; Shu, S.; Sun, J.; Tezuka, T. Effects of proline on photosynthesis, root reactive oxygen species (ROS) metabolism in two melon cultivars (Cucumis melo L.) under NaCl stress. Afr. J. Biotechnol. 2011, 10, 18381–18390. [Google Scholar] [CrossRef] [Green Version]





| GeneBank | Name | Phytozome | Primer Sequence 5′-3′ |
|---|---|---|---|
| Cold response | |||
| LOC18034255 | CAMTA1 | Ciclev10027833m | FOR 5′ TTCCCGTGAAACCAAGGAGTC 3′ |
| REV 5′ CAGACATGAAGGTGTCATCATCCAA 3′ | |||
| LOC18035748 | CAMTA3 | Ciclev10024764m | FOR 5′ TCAGTATCCAGAAGCGAGGGATC 3′ |
| REV 5′ TCTGCGTTGCTCAGAGCCAT 3′ | |||
| LOC18031834 | CAMTA5 | Ciclev10004273m | FOR 5′ GAAGAATATCGGAGGATGAAGCTGG 3′ |
| REV 5′ CCATATCTGGGTCAAGTAGCCT REV 3′ | |||
| LOC18051975 | ICE1 | Ciclev10015052m | FOR 5′ GCCTTGGGTTGGACATTCAGCAG 3′ |
| REV 5′ CTGCTTGGGCAAGACATCCTGG 3′ | |||
| LOC18033409 | CBF1 | Ciclev10007068m | FOR 5′ TGGGATGCCCAGATTGTTG 3′ |
| REV 5′ CCTCCACAATTAGACTGAGGTGGT 3′ | |||
| LOC18053244 | COR413 IM1 | Ciclev10016585m | FOR 5′ CTCTTGGTTATTGTGGCTCCTCATC 3′ |
| REV 5′ TGGCAACAACTGAACCTTGCTC 3′ | |||
| Biosynthesis proline route | |||
| LOC18044634 | P5CS1 | Ciclev10030839m | FOR 5′ AAGGAAGCGGGCAAGTGGT 3′ |
| REV 5′ CCTCGTGGATGTATTCGACCC 3′ | |||
| LOC18051867 | d-OAT | Ciclev10015647m | FOR 5′ TCAAGGAGAGGCTGGGGTTA 3′ |
| REV 5′ CGAACTTCTTCCCAATCAGAGG 3′ | |||
| LOC18043556 | PROT1 | Ciclev10031324m | FOR 5′ TGGCTGGGAGTTTCAACAGTTCTC 3′ |
| REV 5′ CAAACACCAGATTAGCACATGCCC 3′ | |||
| LOC18047579 | PROT2 | Ciclev10020150m | FOR 5′ CTGGGCTTACGGCTCCAGTGTATC 3′ |
| REV 5′ GTGTCAAGGGTCTCGTAAACTGGCG 3′ | |||
| Reference genes | |||
| LOC18055321 | Ubiquitin | Ciclev10009771m | FOR 5′ TGGACGCTTCAGTCTGTTTG 3′ |
| REV 5′ TCGTCAATCACCCCTTCTTT 3′ | |||
| LOC18037526 | β-ACTIN | Ciclev10025866m | FOR 5′ CAGTGTTTGGATTGGAGGATCA 3′ |
| REV 5′ TCGCCCTTTGAGATCCACAT 3′ | |||
Publisher’s Note: MDPI stays neutral with regard to jurisdictional claims in published maps and institutional affiliations. |
© 2021 by the authors. Licensee MDPI, Basel, Switzerland. This article is an open access article distributed under the terms and conditions of the Creative Commons Attribution (CC BY) license (https://creativecommons.org/licenses/by/4.0/).
Share and Cite
Primo-Capella, A.; Martínez-Cuenca, M.-R.; Forner-Giner, M.Á. Gene Expression under Short-Term Low Temperatures: Preliminary Screening Method to Obtain Tolerant Citrus Rootstocks. Horticulturae 2021, 7, 447. https://doi.org/10.3390/horticulturae7110447
Primo-Capella A, Martínez-Cuenca M-R, Forner-Giner MÁ. Gene Expression under Short-Term Low Temperatures: Preliminary Screening Method to Obtain Tolerant Citrus Rootstocks. Horticulturae. 2021; 7(11):447. https://doi.org/10.3390/horticulturae7110447
Chicago/Turabian StylePrimo-Capella, Amparo, Mary-Rus Martínez-Cuenca, and Maria Ángeles Forner-Giner. 2021. "Gene Expression under Short-Term Low Temperatures: Preliminary Screening Method to Obtain Tolerant Citrus Rootstocks" Horticulturae 7, no. 11: 447. https://doi.org/10.3390/horticulturae7110447
APA StylePrimo-Capella, A., Martínez-Cuenca, M.-R., & Forner-Giner, M. Á. (2021). Gene Expression under Short-Term Low Temperatures: Preliminary Screening Method to Obtain Tolerant Citrus Rootstocks. Horticulturae, 7(11), 447. https://doi.org/10.3390/horticulturae7110447

