Effects of 1-Methylcyclopropene Treatment on Fruit Quality during Cold Storage in Apple Cultivars Grown in Korea
Abstract
1. Introduction
2. Materials and Methods
2.1. Plant Materials and Treatment
2.2. Assessments of Fruit Quality Attributes
2.3. Extraction of Cell Wall Materials
2.4. Determination of Total Sugar and Uronic Acid Content
2.5. Extraction of Cell Wall Hydrolase Enzyme Activities
2.6. Determination of Cell Wall Hydrolase Enzyme Activities
2.7. Transcriptional Analysis of Ethylene Biosynthesis and Receptor Genes
2.8. Statistical Analysis
3. Results
3.1. Fruit Quality Attributes
3.2. Total Sugar and Uronic Acid Contents
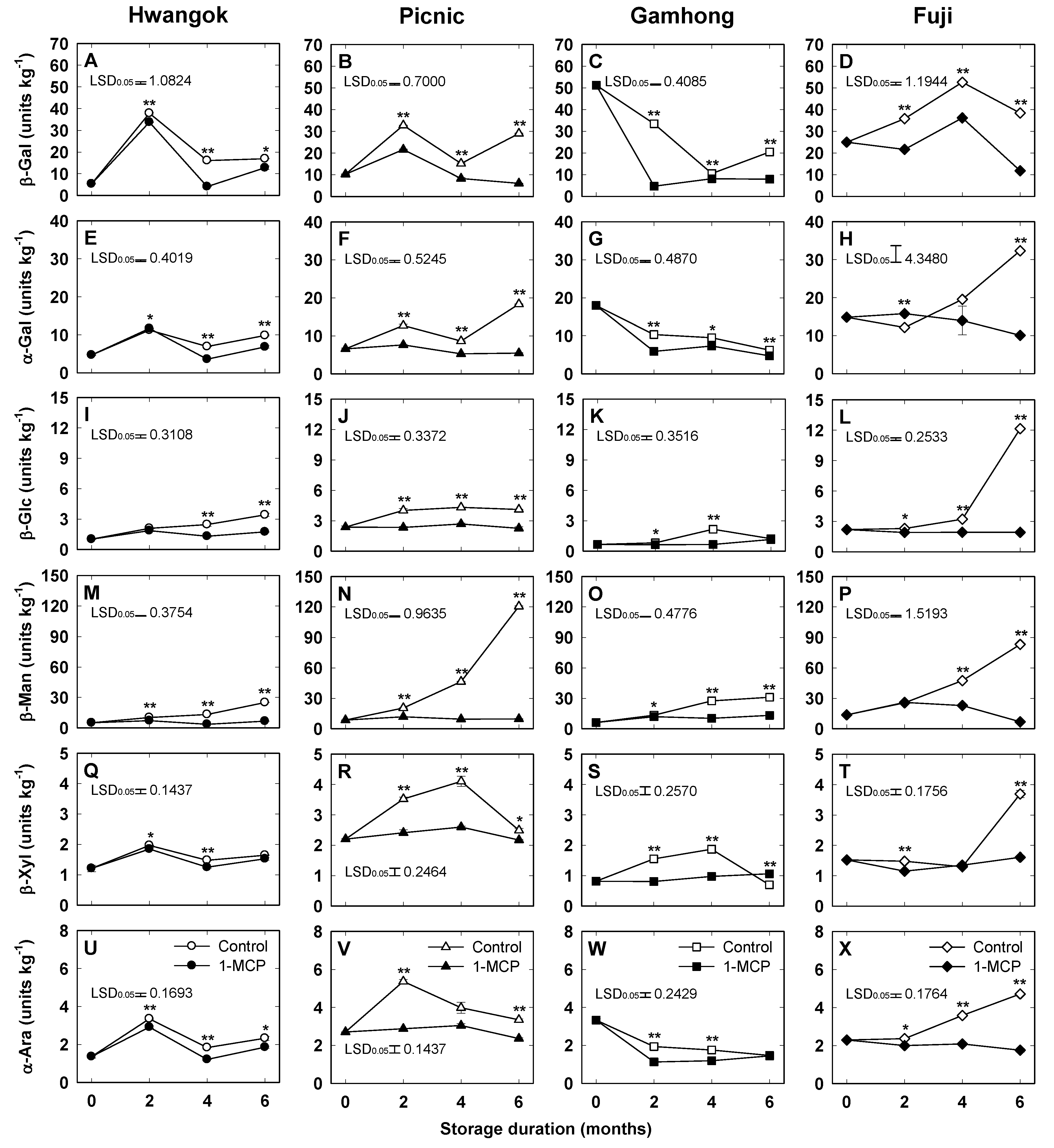
3.3. Cell Wall Hydrolase Enzyme Activities
3.4. Expression Analysis of Ethylene Biosynthesis and Receptor Genes
3.5. Pearson’s Correlation Coefficient Analysis
4. Discussion
5. Conclusions
Supplementary Materials
Author Contributions
Funding
Institutional Review Board Statement
Informed Consent Statement
Data Availability Statement
Conflicts of Interest
References
- Foreign Agriculture Service, United States Department of Agriculture (USDA). South Korea: 2017 Apple Report. Available online: https://www.fas.usda.gov/data/south-korea-2017-apple-report (accessed on 18 October 2017).
- Foreign Agriculture Service, United States Department of Agriculture (USDA). South Korea: Apple Report Update. Available online: https://kr.usembassy.gov/wp-content/uploads/sites/75/2019-Apple-Update_Seoul_Korea-Republic-of_12-03-2019.pdf (accessed on 8 December 2019).
- Shin, Y.U.; Whang, J.H.; Yae, B.W.; Kim, W.C.; Moon, J.Y.; Kim, J.H. ‘Gamhong’ a mid-season apple cultivar with high sugar content. Hortic. Sci. Technol. 1993, 11, 250–251. [Google Scholar]
- Yoo, J.; Lee, J.; Kwon, S.I.; Chung, K.H.; Lee, D.H.; Choi, I.M.; Mattheis, J.P.; Kang, I.K. Differences in ethylene and fruit quality attributes during storage in new apple cultivars. Hortic. Sci. Technol. 2016, 34, 257–268. [Google Scholar] [CrossRef]
- Abeles, F.B.; Morgan, P.W.; Saltveit, M.E. Ethylene in Plant Biology, 2nd ed.; Academic Press: San Diego, CA, USA, 1992. [Google Scholar] [CrossRef]
- Bouzayen, M.; Latche, A.; Nath, P.; Pech, J.C. Mechanism of fruit ripening. In Plant Developmental Biology-Biotechnological Perspectives; Pua, E.A., Davey, H.R., Eds.; Springer: Berlin, Germany, 2010; pp. 319–339. [Google Scholar] [CrossRef]
- Dal Cin, V.; Danesin, M.; Boschetti, A.; Dorigoni, A.; Ramina, A. Ethylene biosynthesis and perception in apple fruitlet abscission (Malus domestica L. Borkh). J. Exp. Bot. 2005, 56, 2995–3005. [Google Scholar] [CrossRef]
- Wiersma, P.A.; Zhang, H.; Lu, C.; Zuail, A.; Toivonen, P.M.A. Survey of the expression of genes for ethylene synthesis and perception during maturation and ripening of ‘Sunrise’ and ‘Golden Delicious’ apple fruit. Postharvest Biol. Technol. 2007, 44, 204–211. [Google Scholar] [CrossRef]
- Li, T.; Tan, D.; Yang, X.; Wang, A. Exploring the apple genome reveals six ACC synthase genes expressed during fruit ripening. Sci. Hortic. 2013, 157, 119–123. [Google Scholar] [CrossRef][Green Version]
- Yang, X.; Song, J.; Campbell-Palmer, L.; Fillmore, S.; Zhang, Z. Effect of ethylene and 1-MCP on expression of genes involved in ethylene biosynthesis and perception during ripening of apple fruit. Postharvest Biol. Technol. 2013, 78, 55–66. [Google Scholar] [CrossRef]
- Mata, C.I.; Magpantay, J.; Hertog, M.L.A.T.M.; Van de Poel, B.; Nicolai, B.M. Expression and protein levels of ethylene receptors, CTRs and EIN2 during tomato fruit ripening as affected by 1-MCP. Postharvest Biol. Technol. 2021, 179, 111573. [Google Scholar] [CrossRef]
- Martinez-Romero, D.; Bailen, G.; Serrano, M.; Guillen, F.; Valverde, J.M.; Zapata, P.; Castillo, S.; Valero, D. Tools to maintain postharvest fruit and vegetable quality through the inhibition of ethylene action: A review. Critic. Rev. Food Sci. Nutr. 2007, 47, 543–560. [Google Scholar] [CrossRef]
- Wei, J.; Ma, F.; Shi, S.; Qi, X.; Zhu, X.; Yuan, J. Changes and postharvest regulation of activity and gene expression of enzymes related to cell wall degradation in ripening apple fruit. Postharvest Biol. Technol. 2010, 56, 147–154. [Google Scholar] [CrossRef]
- Krongyut, W.; Srilaong, V.; Uthairatanakij, A.; Wongs-Aree, C.; Esguerra, E.B.; Kanlayanarat, S. Physiological changes and cell wall degradation in papaya fruits cv. ‘Kaek Dum’ and ‘Red Maradol’ treated with 1-methylcyclopropene. Int. Food Res. J. 2011, 18, 1251–1259. [Google Scholar]
- Chang, E.H.; Lee, J.S.; Kim, J.G. Cell wall degrading enzymes activity is altered by high carbon dioxide treatment in postharvest ‘Mihong’ peach fruit. Sci. Hortic. 2017, 225, 399–407. [Google Scholar] [CrossRef]
- Yoo, J.; Suk, Y.; Lee, J.; Jung, H.Y.; Choung, M.G.; Park, K.I.; Han, J.S.; Cho, Y.J.; Lee, D.H.; Kang, I.K. Preharvest sprayable 1-methylcyclopropene (1-MCP) effects on fruit quality attributes and cell wall metabolism in cold stored ‘Fuji’ apples. Hortic. Sci. Technol. 2018, 36, 853–862. [Google Scholar] [CrossRef]
- Watkins, C.B.; Nock, J.F.; Whitaker, B.D. Responses of early, mid, and late season apple cultivars to postharvest application of 1-methylcyclopropene (1-MCP) under air and controlled atmosphere storage conditions. Postharvest Biol. Technol. 2000, 19, 17–32. [Google Scholar] [CrossRef]
- Yoo, J.; Kang, B.K.; Lee, J.; Kim, D.H.; Lee, D.H.; Jung, H.Y.; Choi, D.G.; Choung, M.G.; Choi, I.M.; Kang, I.K. Effect of preharvest and postharvest 1-methylcyclopropene (1-MCP) treatments on fruit quality attributes in cold-stored ‘Fuji’ apples. Hortic. Sci. Technol. 2015, 33, 542–549. [Google Scholar] [CrossRef]
- Win, N.M.; Yoo, J.; Kwon, S.I.; Watkins, C.B.; Kang, I.K. Characterization of fruit quality attributes and cell wall metabolism in 1-methylcyclopropene (1-MCP)-treated ‘Summer King’ and ‘Green Ball’ apples during cold storage. Front. Plant Sci. 2019, 10, 1513. [Google Scholar] [CrossRef] [PubMed]
- Blankenship, S.M.; Dole, J.M. 1-Methylcyclopropene: A review. Postharvest Biol. Technol. 2003, 28, 1–25. [Google Scholar] [CrossRef]
- Watkins, C.B. The use of 1-methylcyclopropene (1-MCP) on fruits and vegetables. Biotechnol. Adv. 2006, 24, 389–409. [Google Scholar] [CrossRef]
- Watkins, C.B. Overview of 1-methylcyclopropene trials and uses for edible horticultural crops. HortScience 2008, 43, 86–94. [Google Scholar] [CrossRef]
- Blanpied, G.D.; Silsby, K.J. Predicting harvest date windows for apples. Cornell Coop. Ext. 1992, 221, 12. [Google Scholar]
- Ban, S.H.; Yun, W.H.; Kim, G.H.; Kwon, S.I.; Choi, C. Genetic identification of apple cultivars bred in Korea using simple sequence repeat markers. Hortic. Environ. Biotechnol. 2014, 55, 531–539. [Google Scholar] [CrossRef]
- Zhang, J.; Ma, Y.; Dong, C.; Terry, L.A.; Watkins, C.B.; Yu, Z.; Cheng, Z.M. Meta-analysis of the effects of 1-methylcyclopropene (1-MCP) treatment on climacteric fruit ripening. Hortic. Res. 2020, 7, 208. [Google Scholar] [CrossRef]
- Alwan, T.F.; Watkins, C.B. Intermittent warning effects on superficial scald development of ‘Cortland’, ‘Delicious’ and ‘Law Rome’ apple fruit. Postharvest Biol. Technol. 1999, 16, 203–212. [Google Scholar] [CrossRef]
- Yamaki, S.; Machida, Y.; Kakiuchi, N. Changes in cell wall polysaccharides and monosaccharides during development and ripening of Japanese pear fruit. Plant Cell Physiol. 1979, 20, 311–321. [Google Scholar] [CrossRef]
- Pressey, R. β-Galactosidases in ripening tomatoes. Plant Physiol. 1983, 71, 132–135. [Google Scholar] [CrossRef] [PubMed]
- Ai, T.N.; Naing, A.H.; Arun, M.; Lim, S.H.; Kim, C.K. Sucrose-induced anthocyanin accumulation in vegetative tissue of Petunia plants requires anthocyanin regulatory transcription factors. Plant Sci. 2016, 252, 144–150. [Google Scholar] [CrossRef]
- Guardo, D.M.; Tadiello, A.; Farneti, B.; Lorenz, G.; Masuero, D.; Vrhovsek, U.; Costa, G.; Velasco, R.; Costa, F. A multidisciplinary approach providing new insight into fruit flesh browning physiology in apple (Malus domestica Borkh.). PLoS ONE 2013, 8, e78004. [Google Scholar] [CrossRef] [PubMed]
- Bai, J.H.; Baldwin, E.A.; Goodner, K.L.; Mattheis, J.P.; Brecht, J.K. Response of four apple cultivars to 1-methylcyclopropene treatment and controlled atmosphere storage. HortScience 2005, 40, 1534–1538. [Google Scholar] [CrossRef]
- Harker, F.R.; Kupferman, E.M.; Marin, A.B.; Gunson, F.A.; Triggs, C.M. Eating quality standards for apples based on preferences. Postharvest Biol. Technol. 2008, 50, 70–78. [Google Scholar] [CrossRef]
- Mattheis, J.P.; Rudell, D.R.; Hanrahan, I. Impacts of 1-methylcyclopropene and controlled atmosphere established during conditioning on development of bitter pit in ‘Honeycrisp’ apples. HortScience 2017, 52, 132–137. [Google Scholar] [CrossRef]
- DeEll, J.R.; Murr, D.P.; Porteous, M.D.; Rupasinghe, H.P.V. Influence of temperature and duration of 1-methylcyclopropene (1-MCP) treatment on apple quality. Postharvest Biol. Technol. 2002, 24, 349–353. [Google Scholar] [CrossRef]
- McMurchie, E.J.; McGlasson, W.B.; Eaks, I.L. Treatment of fruit with propylene gives information about the biogenesis of ethylene. Nature 1972, 237, 235–236. [Google Scholar] [CrossRef] [PubMed]
- Chu, C.L. Use of internal ethylene concentration as a maturity index of eleven apple cultivars. Acta Hortic. 1984, 157, 129–134. [Google Scholar] [CrossRef]
- Mir, N.A.; Curell, E.; Khan, N.; Whitaker, M.; Beaudry, R.M. Harvest maturity, storage temperature, and 1-MCP application frequency alter firmness retention and chlorophyll fluorescence of ‘Redchief Delicious’ apples. J. Am. Soc. Hortic. Sci. 2001, 126, 618–624. [Google Scholar] [CrossRef]
- Delong, J.M.; Prange, R.K.; Harrison, P.A. The influence of 1-methylcyclopropene on ‘Cortland’ and ‘McIntosh’ apple quality following long-term storage. HortScience 2004, 39, 1062–1065. [Google Scholar] [CrossRef]
- Jung, S.K.; Watkins, C.B. Internal ethylene concentrations in apple fruit at harvest affect persistence of inhibition of ethylene production after 1-methylcyclopropene treatment. Postharvest Biol. Technol. 2014, 95, 1–6. [Google Scholar] [CrossRef]
- Lahaye, M.; Bouin, C.; Barbacci, A.; Gall, S.L.; Foucat, L. Water and cell wall contributions to apple mechanical properties. Food Chem. 2018, 268, 386–394. [Google Scholar] [CrossRef] [PubMed]
- Ben, J.; Gaweda, M. Changes of pectic compounds in Jonathan apples under various storage conditions. Acta Physiol. Plant 1985, 7, 45–54. [Google Scholar]
- Barajas, J.A.S.; Labavitch, J.; Greve, C.; Enciso, T.O.; Rangel, E.M.; Cepeda, J.S. Cell wall disassembly during papaya softening: Role of ethylene in changes in composition, pectin-derived oligomers (PDOs) production and wall hydrolases. Postharvest Biol. Technol. 2009, 51, 158–167. [Google Scholar] [CrossRef]
- Gwanpua, S.G.; Buggenhout, S.V.; Verlinden, B.E.; Christiaens, S.; Shpigelman, A.; Vicent, V.; Kermani, Z.J.; Nicolai, B.M.; Hendrickx, M.; Geeraerd, A. Pectin modifications and the role of pectin-degrading enzymes during postharvest softening of ‘Jonagold’ apples. Food Chem. 2014, 158, 283–291. [Google Scholar] [CrossRef]
- Giongo, L.; Poncetta, P.; Loretti, P.; Costa, F. Texture profiling of blueberries (Vaccinium spp.) during fruit development: Ripening and storage. Postharvest Biol. Technol. 2013, 76, 34–39. [Google Scholar] [CrossRef]
- Billy, L.; Mehinagic, E.; Royer, G.; Renard, C.M.G.C.; Arvisenet, G.; Prost, C.; Jourjon, F. Relationship between texture and pectin composition of two apple cultivars during storage. Postharvest Biol. Technol. 2008, 47, 315–324. [Google Scholar] [CrossRef]
- Vicente, A.R.; Saladie, M.; Rose, J.K.C.; Labavitch, J.M. The linkage between cell wall metabolism and fruit softening: Looking to the future. J. Sci. Food Agric. 2007, 87, 1435–1448. [Google Scholar] [CrossRef]
- Chang, K.H.; Lee, D.H.; Byun, J.K. Changes in activities of cell wall hydrolases during softening in peach fruits. J. Korean Soc. Hortic. Sci. 1999, 40, 359–362. [Google Scholar]
- Ruiz, K.B.; Bressanin, D.; Ziosi, V.; Costa, G.; Torrigiani, P.; Tadiello, A.; Trainotti, L.; Bonghi, C. Early jasmonate application interferes with peach fruit development and ripening as revealed by several differentially expressed seed and mesocarp genes. Acta Hortic. 2010, 884, 101–106. [Google Scholar] [CrossRef]
- Payasi, A.; Mishra, N.N.; Chaves, A.L.S.; Singh, R. Biochemistry of fruit softening an overview. Physiol. Mol. Biol. Plants 2009, 15, 103–113. [Google Scholar] [CrossRef] [PubMed]
- Brummell, D.A.; Harpster, M.H. Cell wall metabolism in fruit softening and quality and its manipulation in transgenic plants. Plant Mol. Biol. 2001, 47, 311–340. [Google Scholar] [CrossRef] [PubMed]
- Huang, S.; Sawaki, T.; Takahashi, A.; Mizuno, S.; Takezawa, K.; Matsumura, A.; Yokotsuka, M.; Hirasawa, Y.; Sonoda, M.; Nakagawa, H.; et al. Melon EIN3-like transcription factors (CmEIL1 and CmEIL2) are positive regulators of an ethylene- and ripening-induced 1-aminocyclopropane-1-carboxylic acid oxidase gene (CmACO1). Plant Sci. 2010, 178, 251–257. [Google Scholar] [CrossRef]
- Wakasa, Y.; Kudo, H.; Ishikawa, R.; Akada, S.; Senda, M.; Niizeki, M.; Harada, T. Low expression of an endopolygalacturonase gene in apple fruit with long-term storage potential. Postharvest Biol. Technol. 2006, 39, 193–198. [Google Scholar] [CrossRef]
- Schaffer, R.J.; Friel, E.N.; Souleyre, E.J.F.; Bolitho, K.; Thodey, K.; Ledger, S.; Bowen, J.H.; Ma, J.H.; Nain, B.; Cohen, D.; et al. A genomics approach reveals that aroma production in apple is controlled by ethylene predominantly at the final step in each biosynthetic pathway. Plant Physiol. 2007, 144, 1899–1912. [Google Scholar] [CrossRef]
- Lv, J.; Zhang, M.; Zhang, J.; Ge, Y.; Li, C.; Meng, K.; Li, J. Effects of methyl jasmonate on expression of genes involved in ethylene biosynthesis and signaling pathway during postharvest ripening of apple fruit. Sci. Hortic. 2018, 229, 157–166. [Google Scholar] [CrossRef]
- Sisler, E.C.; Serek, M. Inhibitors of ethylene responses in plants at the receptor level: Recent development. Physiol. Plant 1997, 100, 577–582. [Google Scholar] [CrossRef]
- Serek, M.; Wolering, E.J.; Sisler, E.C.; Frello, S.; Sriskandarajah, S. Controlling ethylene responses in flowers at the receptor level. Biotechnol. Adv. 2006, 24, 368–381. [Google Scholar] [CrossRef]
- Tieman, D.W.; Taylor, M.G.; Ciarde, J.A.; Klee, H.J. The tomato ethylene receptors NR and Le-ETR4 are negative regulators of ethylene response and exhibit functional compensation within a multigene family. Proc. Nat. Acad. Sci. USA 2000, 97, 5663–5668. [Google Scholar] [CrossRef] [PubMed]
- Tatsuki, M.; Endo, A. Analyses of expression patterns of ethylene receptor genes in apple (Malus domestica Borkh.) fruits treated with or without 1-methylcyclopropene (1-MCP). J. Jpn. Soc. Hortic. Sci. 2006, 75, 481–487. [Google Scholar] [CrossRef]






Publisher’s Note: MDPI stays neutral with regard to jurisdictional claims in published maps and institutional affiliations. |
© 2021 by the authors. Licensee MDPI, Basel, Switzerland. This article is an open access article distributed under the terms and conditions of the Creative Commons Attribution (CC BY) license (https://creativecommons.org/licenses/by/4.0/).
Share and Cite
Yoo, J.; Win, N.M.; Mang, H.; Cho, Y.-J.; Jung, H.-Y.; Kang, I.-K. Effects of 1-Methylcyclopropene Treatment on Fruit Quality during Cold Storage in Apple Cultivars Grown in Korea. Horticulturae 2021, 7, 338. https://doi.org/10.3390/horticulturae7100338
Yoo J, Win NM, Mang H, Cho Y-J, Jung H-Y, Kang I-K. Effects of 1-Methylcyclopropene Treatment on Fruit Quality during Cold Storage in Apple Cultivars Grown in Korea. Horticulturae. 2021; 7(10):338. https://doi.org/10.3390/horticulturae7100338
Chicago/Turabian StyleYoo, Jingi, Nay Myo Win, Hyunggon Mang, Young-Je Cho, Hee-Young Jung, and In-Kyu Kang. 2021. "Effects of 1-Methylcyclopropene Treatment on Fruit Quality during Cold Storage in Apple Cultivars Grown in Korea" Horticulturae 7, no. 10: 338. https://doi.org/10.3390/horticulturae7100338
APA StyleYoo, J., Win, N. M., Mang, H., Cho, Y.-J., Jung, H.-Y., & Kang, I.-K. (2021). Effects of 1-Methylcyclopropene Treatment on Fruit Quality during Cold Storage in Apple Cultivars Grown in Korea. Horticulturae, 7(10), 338. https://doi.org/10.3390/horticulturae7100338

