Abstract
Purple carrots are rich in anthocyanins which are interesting as natural dyes in food and beverages. It is, thus, relevant to increase the concentration of anthocyanins by agricultural practices. We tested whether the combination of reduced nitrogen (N) supply and extended harvesting periods maximized the anthocyanin concentration of purple carrot roots, ideally without reducing their yield. The carrot variety ‘Deep Purple’ was grown with total N supplies of 220 kg N ha−1 (controls) and 73 kg N ha−1 (reduced N), respectively. Upon harvests in September, October and November, root yield and quality were assessed. Concentrations of chlorophylls (leaves) and anthocyanins (roots and leaves) were determined by spectroscopic and chemical analyses, and carbon and N content were quantified. Reduced N supply neither affected leaf or root biomass nor their chemical composition. Later harvests did not impact the yield of roots, but increased their diameter by 8.5–20%. Additionally, the anthocyanin concentrations of the roots increased by 40–50% in the controls, but not in N-limited plants, at late harvests. Consequently, extending the harvesting period might increase the anthocyanin concentration in roots of ‘Deep Purple’. Moreover, N supply might be reduced for this carrot variety without negative effects on root yield.
1. Introduction
Anthocyanins are polyphenols which give red, purple, or blue colour to different plant parts. In addition to the contribution to the appearance of plants aimed at attracting insects for pollination or dispersal of seeds, anthocyanins are antioxidative and antibiotic agents and may as well be phytoalexins [1,2,3]. Additionally, anthocyanins have been suggested as actors in photoprotection, cold hardiness, and drought resistance [1,3]. Due to their diverse functions, they were termed nature’s Swiss army knife [2].
The radical-scavenging function is especially interesting for human nutrition. In fact, anthocyanins have putative health-promoting properties for humans, as reviewed by He and Giusti [4]. Moreover, the food industry is increasingly looking for natural dyes in order to replace the criticized artificial ones [5]. Anthocyanins are already widely used as natural food colorants, for example, in beverages, candies, and dairy products [5]. The pigments are mostly extracted from grape pomace, berries, red cabbage, and ornamental plants [6]. However, more sources of anthocyanins may be exploited, focusing on better stabilities and higher concentrations of the pigments [7].
Purple carrots (Daucus carota ssp. sativus var. atrorubens Alef.) have high contents of health-related phenolics [8], especially anthocyanins reaching concentrations up to 4000 mg kg−1 fresh mass [9]. As purple carrots can be produced at relatively low costs, are easy to store and possess stable pigments, their cultivation for anthocyanin extraction can be beneficial in several ways [10].
The concentration of anthocyanins may vary strongly between purple carrot varieties. ‘Deep Purple’ (Bejo Samen GmbH, Sonsbeck, Germany) is very rich in these pigments [11]. In addition to the genotypic influence, other factors, such as light conditions, temperature, and plant nutrition, are known to influence the concentration of anthocyanins in plants [1,12,13,14]. Thus, several management practices during crop cultivation may be employed to maximize the anthocyanin content of the harvested product. Among those, the modulation of the N supply is of special interest as N represents 2% of a plant’s dry matter fraction [15] and is found in various photosynthetic proteins [16]. For this reason N is often a limiting element for plant growth [17] and is, therefore, usually applied to vegetable crops in order to ensure high yields.
However, reducing the N fertilization entails both savings for farmers and a reduction of the risk of environmental impacts [18]. Thus, in order to reduce environmental pollution associated with the leaching of nitrate into the groundwater, emissions of the climatically-relevant trace gas N2O and, at the same time, ensuring high yields, recommendations exist in Germany for field-grown vegetable crops [19]. When applying N fertilizers at levels recommended for industrially-used orange to purple carrot varieties, a reduction by 50% of the recommended value actually does not impact the marketable yield of the roots [20]. In addition, depending on the carrot variety, the anthocyanin concentration of the roots may even increase upon N reduction [20].
This phenomenon of increased polyphenol concentrations upon N limitation is mainly based on the carbon-nutrient balance hypothesis which postulates an accumulation of carbon (C) in the tissues of plants under N deficiency. As growth is limited, this C is utilized for increased synthesis of carbon-based secondary metabolites, such as phenolics [21]. This often happens at the expense of high crop yields, translating the dilemma of plants—to either use the resources for growth or for the synthesis of defensive compounds when facing stressful conditions which inhibit growth more than photosynthesis [17]—into a conundrum for producers, consumers and others in the food supply value-chain [22] when aiming at enhancing plant secondary metabolites.
Indeed, for a wide range of plant species, including model plants such as Arabidopsis thaliana [15,23,24] and agricultural or horticultural crops [24,25,26], it was shown that N deficiency results in the accumulation of foliar anthocyanins. For orange carrots, Seljasen et al. [8,27] proposed a relatively low level of N fertilization, having benefits for their composition and their sensory properties. Likewise, Salo et al. [28] suggested that recommended N fertilization levels could even be reduced further for carrots. In contrast, high levels of N fertilizer resulted in increased concentrations of phenolic compounds in orange carrot roots [29]. However, since no yield reduction was observed in the purple carrot variety ‘Deep Purple’ when N supply was reduced by 50% compared to the recommendation for orange carrots [20] it appears to be likely that an even lower—and assumingly more stressful—N supply may be feasible without negatively affecting yield, but enhancing anthocyanin biosynthesis at the same time.
In addition to N limitation and other putative factors, both high light intensities and low temperatures induce the accumulation of anthocyanins [13,17]. Extending the harvest period of purple carrots from autumn into early winter, when light intensity is still relatively high while the temperatures drop, may, thus, enhance the accumulation of anthocyanins in the roots. The combination of low temperatures and N limitation is known to stimulate the accumulation of anthocyanins [23]. Moreover, a prolonged growth period may increase root yield as well [30]. To our knowledge, there is only one report for orange carrots [31], and no studies at all for purple carrots that investigated the effects of both low N supply and late harvests. Thus, the aim of this study was to test whether the root yield and anthocyanin concentration of purple carrots can be maximized by a combination of both factors. Consequently, the purple carrot variety ‘Deep Purple’ was grown with either N supplied according to recommendations or with one third of this recommended N level, and the plants were harvested in September and later in the colder season (October and November). It was hypothesized that, by combining late harvests with reduced N supply, (i) the anthocyanin concentrations of the roots would increase while (ii) the root yield would remain unaffected or even increase, albeit (iii) senescence processes would be enhanced (observable by altered C and N concentrations of leaves and roots, reduced photosynthetic pigments in the leaves, and reduced leaf mass).
2. Materials and Methods
2.1. Plant Cultivation
The experimental design was two-factorial with N supply (100% and 33% of the N rate recommendations [19]) and harvest date (21 September, 12 October, and 2 November 2015). The combination of variables and their definitions are listed in Table 1. The control treatment (N–1) received 100% of the recommended N rate and was harvested the earliest, on 21 September.
Table 1.
Designation and definition of the treatments.
Each N rate by harvest date had four repetitions which were realized by experimental plots (1.4 × 1 m). The experimental plots were arranged as a Latin square in four cultivation beds (14 m2 each). Each cultivation bed was divided into six experimental plots, each representing one repetition of each variable.
Seeds of the purple carrot variety ‘Deep Purple’ (Bejo Samen GmbH, Sonsbeck, Germany) were sown into sandy loam in June 2015. Row and plant spacing was 25 cm and 3 cm, respectively, resulting in a density of 133 plants per m2.
Prior to sowing, soil samples (soil layer 0–30 cm) were analysed for N content (Nmin). P and K fertilization rates were 62.5 kg P2O5 and 223 kg K2O per hectare, respectively. Upon appearance of the second to third leaflet in early July 2015, the plots had an average 32.4 kg N ha−1 and thus received calcium ammonium nitrate (Beiselen GmbH, Ulm, Germany) in order to achieve levels of 60 kg N ha−1 (100%) or 20 kg N ha−1 (33%) within the 0–30 cm soil layer, respectively. Three weeks later (eight weeks after sowing), after analysing the Nmin status of the soil (layers 0–30 cm and 30–60 cm), calcium ammonium nitrate was applied to achieve 160 kg N ha−1 (100%), or 53 kg N ha−1 (33%). Before the fertilizer application, the average Nmin was 41.6 kg N ha−1 and 36.7 kg N ha−1, respectively. Total N supply was, thus, 220 kg N ha−1 (100% of the recommended rate) for the control plots (N) and 73 kg N ha−1 (33% of the recommended rate) for the reduced N (Red) treatments. The plants were watered by drip irrigation, whenever soil water tension fell below −20 kPa. Soil water tension was monitored with tensiometers (type 1232-24 with sensor 1510-100; bambach GbR Tensio-Technik, Geisenheim, Germany) installed at a 20 cm soil depth. Pesticides (Calypso®, Bayer CropScience Deutschland GmbH, Langenfeld, Germany; Pirimor® and Ortiva®, Syngenta International AG, Basel, Switzerland; Signum®, BASF SE, Ludwigshafen, Germany) were applied as needed, treating all experimental plots equally.
Weather data were provided by the meteorological station of Geisenheim University. During the course of the experiment (June to November 2015), air temperature averaged 10.3 °C, and the total precipitation was 258.3 mm.
2.2. Yield Determination, Sampling, and Chemical Analyses
Harvests were conducted on 21 September (104 days after sowing), 12 October (125 days after sowing) and 2 November 2015 (146 days after sowing). The carrots were harvested manually from 1 m2 plots. Upon harvest, the total root yield was determined and the roots were classified according to their diameter (<20 mm, 20–40 mm, >40 mm) and their external injuries (splitted, broken, nibbled, rotten).
Ten plants of each harvested plot were chosen in advance for further analyses by drawing of random numbers using the R software package version 3.2.2 [32]. On these randomly-selected plants, N, anthocyanin and chlorophyll concentrations were assessed non-invasively by spectroscopic measurements of leaves (Dualex Scientific+, Force-A, Orsay Cedex, France) and roots (Multiplex® 3 Research, Force-A). From these measurements, indices describing the contents of chlorophyll in the leaves (Chl), anthocyanins in the leaves (Anth) and anthocyanins in the roots (FERARI) were derived.
Prior to the spectroscopic readings, the carrot plants were divided into leaves and root. From half of the leaves, six leaflets were taken for spectroscopic measurements with the Dualex device and subsequently deep-frozen in liquid N for chlorophyll extraction. The other half of the leaves was dried at 60 °C for determination of C and N concentrations. Roots were halved with a knife and one half was used for measurements with the Multiplex® (four measurements on the outer side, four on the inside of each carrot). Subsequently, two strips were sampled from the peel and measured with the Multiplex® on the inside and outside. Immediately after the measurements, the two pieces of the peel were shock-frozen in liquid N and stored at −80 °C for later extraction of anthocyanins. The other part of the root was cut into small pieces and dried at 60 °C for three days for C and N analyses.
For extraction of the photosynthetic pigments, the ten leaf samples per experimental plot were pooled to achieve one representative sample. These composite samples were subsequently ground in liquid nitrogen. Chlorophylls and carotenoids were extracted from an aliquot of the ground sample in 100% acetone buffered with NaHCO3 and their concentrations were analysed by photometric measurements based on a modified procedure of Ensminger et al. [33]. The total anthocyanins (expressed as cyanidin-3-glycosides) were extracted from the frozen, ground root peel in acidified 80% methanol and quantified spectrophotometrically according to the pH shift method [34]. Carbon and nitrogen concentration in dried and ground leaves and roots were measured with an elemental analyzer (vario MAX CNS, Elementar Analysensysteme GmbH, Hanau, Germany).
2.3. Statistical Analyses
Data on yield, as well as C and N concentrations, were analysed with the R software [32]. First, Shapiro Wilk tests and Levene tests were run. In case of normally distributed data and homogeneous variances, two-way ANOVAs were performed and post hoc Tukey tests were used to further dissect possible differences between the experimental treatments. All data that did not meet the criteria for ANOVA were analysed by the Kruskal-Wallis test and the observed differences between the treatments were characterized further by Nemenyi post hoc tests with R software [32]. The pigment concentrations determined by chemical analyses and non-invasive measurements were analysed by a Kruskal-Wallis test followed by a Mann-Whitney pairwise comparison when the data were not normally distributed and homogeneity of variances was not existent. Otherwise, after ensuring normal distribution and homogeneity of variances, two-way ANOVAs followed by Tukey post hoc tests were performed using PAST 3.04 software [35]. The significance level was α = 0.05.
3. Results
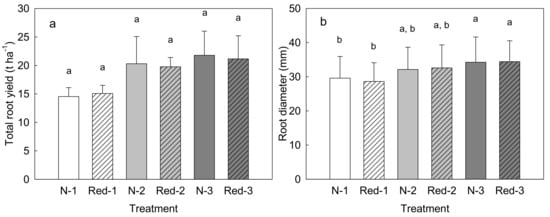
Reduced N supply had no effect on total yield and the diameter of the carrot roots (Figure 1). The extended harvest period did not affect total root yield (Figure 1a). Single yield fractions were not affected by N supply level and harvesting date, except roots with diameters of more than 40 mm (data not shown). In general, at the latest harvest, an increase in the root diameter was observed (Figure 1b).
Figure 1.
(a) Average total yield (n = 4) and (b) diameter (n = 40) of carrot roots with different N supply (N: 220 kg N ha−1 a−1, Red: 73 kg N ha−1) and harvested at different dates (1: 21-Sept.-2015 = 104 days after sowing [DAS], 2: 12-Oct.-2015 = 125 DAS, 3: 2-Nov.-2015 = 146 DAS). Error bars represent + SD. Different letters above the columns indicate significant differences between treatments (Figure 1a: ANOVA with Tukey post hoc test, α = 0.05; Figure 1b: Kruskal-Wallis test with Nemenyi post hoc test, α = 0.05).
Similarly, the leaf fresh mass (FMleaf) was not altered by reduced N supply, but decreased with the harvesting date (Table 2). In the control treatments, significantly decreased FMleaf was observed by the second harvest while the reduced N significantly reduced leaf mass only at the third harvest.
Table 2.
Average leaf fresh matter (FMleaf, n = 4) on the day of harvesting of carrots grown under different N supply (N: 220 kg N ha−1, Red: 73 kg N ha−1) harvested at different dates (-1: 21-Sept.-2015 = 104 days after sowing [DAS], -2: 12-Oct.-2015 = 125 DAS, -3: 2-Nov.-2015 = 146 DAS). Different letters indicate significant differences between the treatments (ANOVA with Tukey post hoc test, α = 0.05).
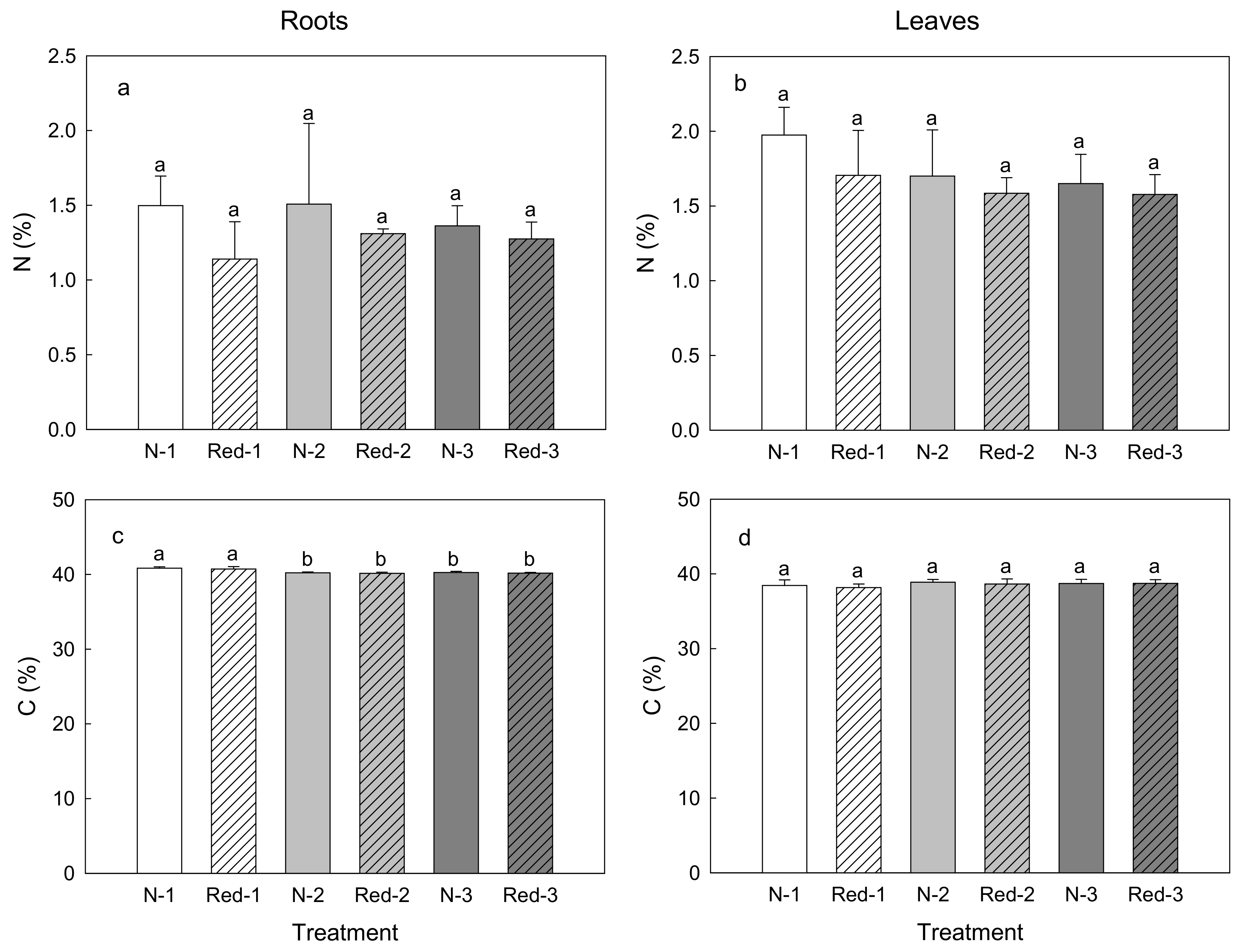
The N concentration in leaves and roots was neither altered by N supply or harvest date (Figure 2a,b). In the same way, the C content of the leaves was not affected by reduced N and later harvests (Figure 2d). However, the C content of the roots decreased at later harvests while N supply had no effect (Figure 2c).
Figure 2.
(a,b) Nitrogen and (c,d) carbon concentration of carrot root and leaf dry matter with different N supply (N: 220 kg N ha−1, Red: 73 kg N ha−1) and harvested at different dates (-1: 21-Sept.-2015 = 104 days after sowing [DAS], -2: 12-Oct.-2015 = 125 DAS, -3: 2-Nov.-2015 = 146 DAS). n = 8. Error bars represent + SD. Different letters above the columns indicate significant differences between the treatments (ANOVA with Tukey post hoc test, α = 0.05).
Both N and C status are tightly linked to photosynthetic processes and, thus, should be reflected by the photosynthetic pigment content of the carrot leaves. The reduced N supply, when measured spectroscopically with the Dualex device, resulted in reduced chlorophyll concentrations (index Chl) only at the first harvest (Figure 3a). This difference was no longer observed at the second and third harvest.
Figure 3.
Average total chlorophyll content of carrot leaves with different N supply (N: 220 kg N ha−1, Red: 73 kg N ha−1) and harvested at different dates (-1: 21-Sept.-2015 = 104 days after sowing [DAS], -2: 12-Oct.-2015 = 125 DAS, -3: 2-Nov.-2015 = 146 DAS). Chlorophyll content was either determined non-invasively (a) by spectroscopic measurements (n = 39–40) or (b) by chemical analyses (n = 4). Error bars represent + SD. Different letters above columns indicate significant differences between the treatments (Figure 3a: Kruskal-Wallis test, α = 0.05; Figure 3b: ANOVA with Tukey post hoc test, α = 0.05).
The total chlorophyll content in leaves, determined by chemical analysis, was significantly influenced by N treatments and harvest dates, but no interactions between the factors were observed (Figure 3b). The concentration of chlorophyll increased significantly from the first to the second harvest but remained stable until the third harvest in the control treatment. This was not observed for the treatments with reduced N supply (Figure 3b). Overall, when focusing on N effects only, control plants had higher chlorophyll concentrations than those from the reduced N treatment (data not shown).
The concentration of total carotenoids and the ratio of total carotenoids to total chlorophyll were not altered by N supply and harvest dates, albeit distinct trends to increased carotenoid concentrations and increased carotenoid-to-chlorophyll ratios at later harvests were apparent (p = 0.055 and p = 0.051, data not shown).
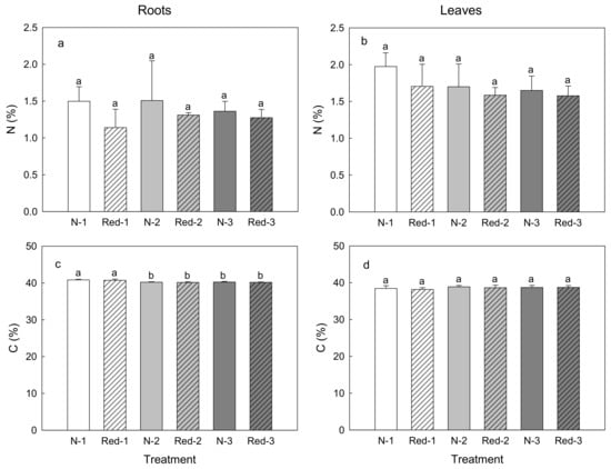
No differences in anthocyanin concentration of the leaves (index Anth) between the N supply treatments were observed at any of the harvest dates (Figure 4a). In general, postponing the harvest date increased Anth (Figure 4a). Likewise, reduced N supply had no effect at anyharvest dateon anthocyanin concentration of the roots (FERARI, Figure 4b). Both the Anth and FERARI indices revealed an increase in anthocyanin content from the first to the second harvest, but there was no further increment towards the third harvest (Figure 4a,b).
Figure 4.
Average concentrations (a) of anthocyanins in the leaves (Anth, n = 40), (b) of anthocyanins in the roots (FERARI, n = 40) and (c) of total anthocyanins (expressed as cyanidin-3-glycoside, n = 15–33) in the roots of carrots grown under different N supply (N: 220 kg N ha−1, Red: 73 kg N ha−1) and harvested at different dates (-1: 21-Sept.-2015 = 104 days after sowing [DAS], -2: 12-Oct.-2015 = 125 DAS, -3: 2-Nov.-2015 = 146 DAS). Error bars represent + SD. Different letters above columns indicate significant differences between the treatments (Kruskal-Wallis test with Mann Whitney pairwise comparison, α = 0.05).
Different patterns of total anthocyanin concentration in the roots determined by chemical analyses (expressed as cyanidin-3-glycoside) were observed (Figure 4c). It was not affected by the N supply, but differed significantly between the harvest dates. The concentration of anthocyanins in the control was higher for the second and third harvest when compared to the first harvest, but there was no difference between the second and third harvesting date. These effects were not observed in the treatments with reduced N supply (Figure 4c).
4. Discussion
4.1. Reduced N Supply Has Little Effects on Purple Carrot Yield and Composition
Tailoring the nitrogen application based on knowledge-based approaches (for example by reducing the basal N fertilizer proportion) is beneficial from both an economical as well as an ecological point of view as the N losses via leaching and NH3 emission decrease [36].
The reduction of the N supply to 33% of the level recommended for industrial carrots [19] had very little impact on yield and composition of the variety ‘Deep Purple’. The only exception among the analysed parameters was the chlorophyll content of the leaves assessed by non-invasive readings (Figure 3a). However, as chemical analyses did not reproduce a significantly reduced N concentration in plants with lower N supply (Figure 3b), we regard this effect as rather negligible. In any case, it was expected that the chlorophyll concentrations in the leaves would decrease under N limitation [16]. The finding that the N concentration in the carrot leaves was not altered by reduced N supply (Figure 2b) may explain why there was no or only very little effect on chlorophyll content.
As the N concentrations in roots and leaves of carrots from all treatments (Figure 2) were within the range of those reported for orange carrot varieties [18,37], they were not a limiting factor for plant performance. Thus, a reduced N supply did not result in increased synthesis of anthocyanins in leaves and roots (Figure 4), contrary to our expectations based on reports for various other plant species [15,22,23,24,25,26]. It was shown that the concentration of phenolic compounds increased in well-fertilized compared to non-fertilized orange carrot plants [29] suggesting a positive relationship of N supply and concentration of phenolics in carrots. The opposite has been reported as well; strong increases in anthocyanin concentration but decreases in yield were observed when supplying 50% less nitrate to Daucus carota callus cultures [26]. This was also shown in a field trial for the purple carrot variety ‘Purple Sun’, but not for ‘Deep Purple’ where we found no effects on the anthocyanin concentration of the root [20]. As ‘Deep Purple’ is already very rich in anthocyanins [11] with levels higher than in ‘Purple Sun’, our results suggest that no further increase in the concentration of the purple pigment may be possible.
When exposed to suboptimal conditions with strongly reduced N supply, ‘Deep Purple’ similarly did not show alterations of the root yield (Figure 1). This is surprising as several publications showed that N limitation increased carbon allocation to the root system, which favours root growth processes and consequently alters the root-to-shoot ratio [38,39], representing an important mechanism used by crops to access more N [40]. Apparently this is not the case for carrots in general as reduced N supply had no effects on the yield of two purple [20] and several orange varieties [31,41,42,43,44,45]. Westerveld et al. [43] concluded that there is no evidence to suggest that carrots distribute more N or dry mass to the storage root when N availability is reduced, a statement which we confirmed for ‘Deep Purple’.
In our study of purple carrots, the overall missing effect of the strongly reduced N supply suggests that the N supply in the Red treatments was still sufficient for the tested carrot variety. We, therefore, concluded that the recommendations for N supply to carrots over-estimate the needs of purple varieties. In fact, Seljasen et al. [27] found that the optimum N fertilization level for orange carrots ranged between 80 and 160 kg ha−1. With 73 kg N ha−1 (Red treatments) and 220 kg N ha−1 (N treatments), all purple carrot plants in our experiment received sufficient N levels according to Seljasen et al. [27]. Taking into account the statement of Veitch et al. [43] that carrots appear high in N use efficiency, we therefore support the suggestions of Salo et al. [28] that recommended rates of N fertilizer could be reduced for carrots without detrimental effects on their yield and quality.
4.2. Later Harvests Do Not Increase the Yield but Alter the Root Composition
Low temperatures are known to increase the concentrations of anthocyanins in leaves [13,17]. Thus, we tested whether extending the harvesting period from autumn towards the lower temperatures of the Central European winter provides benefits in terms of increased root yields and increased anthocyanin concentrations of purple carrots, especially when combined with reductions in N supply.
In fact, extending the harvesting period by six weeks (harvest 1 in September to harvest 3 in November 2015) had no effect on the root yield (Figure 1a). This is contradictory to findings of increased root yields when the harvesting period was extended towards the winter season [30,46]. However, when investigating the effect of the harvest date only, we obtained significant increases in the total root yield as well (data not shown), albeit this was not reflected at the level of the single treatments, possibly due to the lower number of replicates (n = 4 vs. n = 12).
Moreover, later harvests led to increased root diameters (Figure 1b) while the leaf fresh matter decreased (Table 2), suggesting the onset of senescence processes. Resources are diverted from the leaves where they are no longer needed towards the reproductive tissues or towards storage organs, such as roots (compare Westerveld et al. [43]). Indeed, it was shown that the leaf growth declines earlier than the growth of the storage root of carrots [47]. Leaf senescence is in general accompanied by decreased chlorophyll concentrations which were not observed in our experiment (Figure 3), although tendencies for increased carotenoid-to-chlorophyll ratios were visible at harvests 2 and 3 (data not shown).
When growing purple carrots with the aim of maximizing the anthocyanin concentration of the roots, it might be beneficial to extend the harvest period to October (second harvest of this study). Non-invasive measurements on the leaves (index Anth, Figure 4a) and the roots (index FERARI, Figure 4b) revealed an increase in anthocyanin concentrations at both N levels, similar to results of Beys [46]. This increase in anthocyanin concentration at later harvests can be ascribed to the drop in air temperature as this is an important factor for anthocyanin production by plants [1]. Averaging 15.5 °C in the three weeks prior to the first harvest in September 2015, the respective temperature was only 13.4 °C before the second harvest in October 2015 and 8.4 °C before the third harvest in early November 2015, respectively.
However, the results of the non-invasive measurements are not entirely reflected by the chemical analyses where the anthocyanin content increased when the carrots were fertilized with the recommended N level, but had no effects under reduced N supply (Figure 4c). This is surprising as the N limitation in combination with low temperatures is known to increase the concentration of anthocyanins in leaves [23], but this was apparently not true for carrot roots.
Interestingly, the C content of the roots decreased after the first harvest (Figure 2c) which contradicts the reported accumulation of C-based metabolites such as anthocyanins (Figure 4) or sugars [48] in carrot roots at later harvests. As the root diameter increased at later harvests (Figure 1b), this indicates a dilution of the carbon due to continued secondary growth.
5. Conclusions
We initially proposed to increase the anthocyanin content of purple carrot roots and achieving high root yields by reducing N application to 33% of the recommended level and by extending the harvesting period towards the Central European winter. Indeed, later harvests increased the anthocyanin concentration in both carrot leaves and roots, albeit there were no effects due to the reduced N supply which contradicts other studies (e.g., [23]). The root yield was neither significantly affected by later harvests nor by reduced N supply. However, the diameter of the roots increased at later harvests but this has no benefit for farmers whose payments are based on either pigment concentration or root mass. It was obvious that senescence processes were enhanced by the combination of reduced N supply and late harvests, being visible in reduced leaf mass and by a trend of increased carotenoid-to-chlorophyll ratios of the leaves.
The results indicated that the purple carrot variety ‘Deep Purple’ might be grown with one third of the recommended N level without negative impacts on root yield and anthocyanin content. To further maximize the anthocyanin concentrations, the carrots might be harvested in the early Central European winter. However, our results have to be interpreted with reasonable diligence as the experiments were conducted only once on experimental-scale plots and in only one season. To verify the results and strengthen our conclusions, field-scale trials carried out over several years, and probably under different growing conditions (e.g., soil type, climate conditions), will be required, not least to avoid negative consequences for the profitability of carrot farmers.
Acknowledgments
We thank Christine Schlering, Johannes Kiesgen and the Department of Soil Science and Plant Nutrition for help with sample preparation. Jürgen Kleber, Norbert Mayer, and the gardener team of the Department of Vegetable Crops organized and performed the practical work during the growing period. The company Bejo Samen GmbH gratefully supplied seed material.
Author Contributions
Lilian Schmidt, Susanne Tittmann, and Jana Zinkernagel conceived and designed the experiments; Sophia Sorg performed the experiments; Sophia Sorg and Lilian Schmidt analyzed the data; and Lilian Schmidt and Johannes F. J. Max wrote the paper.
Conflicts of Interest
The authors declare no conflict of interest.
References
- Chalker-Scott, L. Environmental significance of anthocyanins in plant stress responses. Photchem. Photbiol. 1999, 70, 1–9. [Google Scholar] [CrossRef]
- Gould, K.S. Nature’s Swiss army knife: The diverse protective roles of anthocyanins in leaves. J. Biomed. Biotechnol. 2004, 5, 314–320. [Google Scholar] [CrossRef] [PubMed]
- Kong, J.M.; Chia, L.S.; Goh, N.K.; Chia, T.F.; Brouillard, R. Analysis and biological activities of anthocyanins. Phytochemistry 2003, 64, 923–933. [Google Scholar] [CrossRef]
- He, J.; Giusti, M.M. Anthocyanins. Natural colorants with health-promoting properties. Ann. Rev. Food Sci. Technol. 2010, 1, 163–187. [Google Scholar] [CrossRef] [PubMed]
- Martins, N.; Roriz, C.L.; Morales, P.; Barros, L.; Ferreira, I.C.F.R. Food colorants. Challenges, opportunities and current desires of agro-industries to ensure consumer expectations and regulatory practices. Trends Food Sci. Technol. 2016, 52, 1–15. [Google Scholar] [CrossRef]
- Castañeda-Ovando, A.; Pacheco-Hernández, M.D.; Páez-Hernández, M.E.; Rodríguez, J.A.; Galán-Vidal, C.A. Chemical studies of anthocyanins. A review. Food Chem. 2009, 113, 859–871. [Google Scholar] [CrossRef]
- Kämmerer, D.; Carle, R.; Schieber, A. Quantification of anthocyanins in black carrot extracts (Daucus carota ssp. sativus var. atrorubens Alef.) and evaluation of their color properties. Eur. Food Res. Technol. 2004, 219, 479–486. [Google Scholar] [CrossRef]
- Seljasen, R.; Kristensen, H.L.; Lauridsen, C.; Wyss, G.S.; Kretzschmar, U.; Birlouez-Aragone, I.; Kahl, J. Quality of carrots as affected by pre- and postharvest factors and processing. J. Sci. Food Agric. 2013, 93, 2611–2626. [Google Scholar] [CrossRef] [PubMed]
- Paschold, P.J.; Hey, M.; Kleber, J.; Kürbel, P. Violette Möhrensorten—Was ist anders? Monatsschrift Mag. Gart.-Profi (Sonderh. Möhren) 2008, 12, 14–17. [Google Scholar]
- Li, H.Y.; Deng, Z.Y.; Zhu, H.H.; Hu, C.L.; Liu, R.H.; Young, J.C.; Tsao, R. Highly pigmented vegetables. Anthocyanin compositions and their role in antioxidant activities. Food Res. Int. 2012, 46, 250–259. [Google Scholar] [CrossRef]
- Montilla, E.C.; Arzaba, M.R.; Hillebrand, S.; Winterhalter, P. Anthocyanin composition of black carrot (Daucus carota ssp. sativus var. atrorubens Alef.) cultivars Antonina, Beta Sweet, Deep Purple, and Purple Haze. J. Agric. Food Chem. 2011, 59, 3385–3390. [Google Scholar] [CrossRef] [PubMed]
- Close, D.C.; Beadle, C.L. The ecophysiology of foliar anthocyanin. Bot. Rev. 2003, 69, 149–161. [Google Scholar] [CrossRef]
- Dixon, R.A.; Paiva, N.L. Stress-induced phenylpropanoid metabolism. Plant Cell 1995, 7, 1085–1097. [Google Scholar] [CrossRef] [PubMed]
- Jaakola, L. New insights into the regulation of anthocyanin biosynthesis in fruits. Trends Plant Sci. 2013, 18, 477–483. [Google Scholar] [CrossRef] [PubMed]
- Zhang, Y.Q.; Liu, Z.J.; Liu, J.P.; Lin, S.; Wang, J.F.; Lin, W.X.; Xu, W.F. GA-DELLA pathway is involved in regulation of nitrogen deficiency-induced anthocyanin accumulation. Plant Cell Rep. 2017, 36, 557–569. [Google Scholar] [CrossRef] [PubMed]
- Evans, J.R. Photosynthesis and nitrogen relationships in leaves of C3 plants. Oecologia 1989, 78, 9–19. [Google Scholar] [CrossRef] [PubMed]
- Caretto, S.; Linsalata, V.; Colella, G.; Mita, G.; Lattanzio, V. Carbon fluxes between primary metabolism and phenolic pathway in plant tissues under stress. Int. J. Mol. Sci. 2015, 16, 26378–26394. [Google Scholar] [CrossRef] [PubMed]
- Schaller, R.G.; Schnitzler, W.H. Nitrogen nutrition and flavour compounds of carrots (Daucus carota L.) cultivated in Mitscherlich pots. J. Sci. Food Agric. 2000, 80, 49–56. [Google Scholar] [CrossRef]
- Feller, C.; Fink, M.; Laber, H.; Maync, A.; Paschold, P.; Scharpf, H.C.; Schlaghecken, J.; Strohmeyer, K.; Weier, U.; Ziegler, J. Düngung im Freilandgemüsebau, 3rd ed.; Schriftenreihe des Leibniz-Instituts für Gemüse- und Zierpflanzenbau (IGZ): Großbeeren, Germany, 2011; Available online: http://www.igzev.de/publikationen/IGZ_Duengung_im_Freilandgemuesebau.pdf (accessed on 11 August 2017).
- Schmidt, L.; Zinkernagel, J. Yield and anthocyanin content in purple carrots with reduced nitrogen supply. DGG Proc. 2014, 4. [Google Scholar] [CrossRef]
- Hamilton, J.G.; Zangerl, A.R.; DeLucia, E.H.; Berenbaum, M.R. The carbon-nutrient balance hypothesis. Its rise and fall. Ecol. Lett. 2001, 4, 86–95. [Google Scholar] [CrossRef]
- Bumgarner, N.R.; Scheerens, J.C.; Mullen, R.W.; Bennett, M.A.; Ling, P.P.; Kleinhenz, M.D. Root-zone temperature and nitrogen affect the yield and secondary metabolite concentration of fall- and spring-grown, high-density leaf lettuce. J. Sci. Food Agric. 2012, 92, 116–124. [Google Scholar] [CrossRef] [PubMed]
- Oh, S.; Warnasooriya, S.N.; Montgomery, B.L. Mesophyll-localized phytochromes gate stress- and light-inducible anthocyanin accumulation in Arabidopsis thaliana. Plant Signal. Behav. 2014, 9, e28013. [Google Scholar] [CrossRef] [PubMed]
- Wang, J.; Wang, Y.; Yang, J.; Ma, C.L.; Zhang, Y.; Ge, T.; Qi, Z.; Kang, Y. Arabidopsis ROOT HAIR DEFECTIVE3 is involved in nitrogen starvation-induced anthocyanin accumulation. J. Integr. Plant Biol. 2015, 57, 708–721. [Google Scholar] [CrossRef] [PubMed]
- Ibrahim, M.H.; Jaafar, H.Z.E.; Rahmat, A.; Rahman, Z.A. Involvement of nitrogen on flavonoids, glutathione, anthocyanin, ascorbic acid and antioxidant activities of Malaysian medicinal plant Labisia pumila Blume (Kacip Fatimah). Int. J. Mol. Sci. 2012, 13, 393–408. [Google Scholar] [CrossRef] [PubMed]
- Rajendran, L.; Ravishankar, G.A.; Venkataraman, L.V.; Prathiba, K.R. Anthocyanin production in callus cultures of Daucus carota as influenced by nutrient stress and osmoticum. Biotechnol. Lett. 1992, 14, 707–712. [Google Scholar] [CrossRef]
- Seljasen, R.; Lea, P.; Torp, T.; Riley, H.; Berentsen, E.; Thomsen, M.; Bengtsson, G.B. Effects of genotype, soil type, year and fertilisation on sensory and morphological attributes of carrots (Daucus carota L.). J. Sci. Food Agric. 2012, 92, 1786–1799. [Google Scholar] [CrossRef] [PubMed]
- Salo, T.; Raisio, R.; Tiilikkala, K. Effectiveness of fertilizer recommendations in Finnish carrot and pea production. Acta Hortic. 1999, 506, 37–40. [Google Scholar] [CrossRef]
- Smoleń, S.; Sady, W. The effect of various nitrogen fertilization and foliar nutrition regimes on the concentrations of sugars, carotenoids and phenolic compounds in carrot (Daucus carota L.). Sci. Hortic. 2009, 120, 315–324. [Google Scholar] [CrossRef]
- Bleasdale, J.K.A. Control of size and yield in relation to harvest date of carrot roots. Acta Hortic. 1973, 27, 134–143. [Google Scholar] [CrossRef]
- Venter, F. Nitrate contents in carrots (Daucus carota L.) as influenced by fertilization. Acta Hortic. 1979, 93, 163–172. [Google Scholar] [CrossRef]
- R Core Team. R: A Language and Environment for Statistical Computing. 2014. Available online: http://www.r-project.org/ (accessed on 23 October 2017).
- Ensminger, I.; Xyländer, M.; Hagen, C.; Braune, W. Strategies providing success in a variable habitat. III. Dynamic control of photosynthesis in Cladophora glomerata. Plant Cell Environ. 2001, 24, 769–779. [Google Scholar] [CrossRef]
- Wrolstad, R.E.; Durst, R.W.; Lee, J. Tracking color and pigment changes in anthocyanin products. Trends Food Sci. Technol. 2005, 16, 423–428. [Google Scholar] [CrossRef]
- Hammer, O.; Harper, A.T.; Ryan, P.D. PAST: Paleontological statistics software package for education and data analysis. Palaeontol. Electron. 2001, 4, 1–9. Available online: http://palaeo-electronica.org/2001_1/past/issue1_01.htm (accessed on 1 December 2017).
- Xia, L.L.; Lam, S.K.; Chen, D.L.; Wang, J.Y.; Tang, Q.; Yan, X.Y. Can knowledge-based N management produce more staple grain with lower greenhouse gas emission and reactive nitrogen pollution? A meta-analysis. Glob. Chang. Biol. 2017, 23, 1917–1925. [Google Scholar] [CrossRef] [PubMed]
- Veitch, R.S.; Lada, R.R.; Adams, A.; MacDonald, M.T. Carrot yield and quality as influenced by nitrogen application in cut-and-peel carrots. Commun. Soil Sci. Plant Anal. 2014, 45, 887–895. [Google Scholar] [CrossRef]
- Hermans, C.; Hammond, J.P.; White, P.J.; Verbruggen, N. How do plants respond to nutrient shortage by biomass allocation? Trends Plant Sci. 2006, 11, 610–617. [Google Scholar] [CrossRef] [PubMed]
- Seepaul, R.; George, S.; Wright, D.L. Comparative response of Brassica carinata and B. napus vegetative growth, development and photosynthesis to nitrogen nutrition. Ind. Crops Prod. 2016, 94, 872–883. [Google Scholar] [CrossRef]
- Andrews, M.; Raven, J.A.; Lea, P.J. Do plants need nitrate? The mechanisms by which nitrogen form affects plants. Ann. Appl. Biol. 2013, 163, 174–199. [Google Scholar] [CrossRef]
- Heens, B. Fertilisation azotée des légumes industriels. Biotechnol. Agron. Soc. Environ. 2013, 17, 207–214. Available online: http://popups.ulg.ac.be/1780-4507/index.php?id=9695 (accessed on 1 December 2017).
- Westerveld, S.M.; McKeown, A.W.; Scott-Dupree, C.D.; McDonald, M.R. How well do critical nitrogen concentrations work for cabbage, carrot, and onion crops? Hortscience 2003, 38, 1122–1128. [Google Scholar]
- Westerveld, S.M.; McKeown, A.W.; McDonald, M.R. Seasonal nitrogen partitioning and nitrogen uptake of carrots as affected by nitrogen application in a mineral and an organic soil. Hortscience 2006, 41, 1332–1338. [Google Scholar]
- Westerveld, S.M.; McKeown, A.W.; McDonald, M.R. Carrot yield, quality, and storability in relation to preplant and residual nitrogen on mineral and organic soils. HortTechnology 2006, 16, 286–293. [Google Scholar]
- Sorensen, J.N. Nitrogen effects on vegetable crop production and chemical composition. Acta Hortic. 1999, 506, 41–49. [Google Scholar] [CrossRef]
- Beys, P.F. Einfluss von Wasserverfügbarkeit und Erntezeitpunkt auf den Ertrag und Wertgebende Inhaltsstoffe der violetten Möhre. Bachelor’s Thesis, FH Bingen, Bingen, Germany, 25 June 2012. [Google Scholar]
- Westerveld, S.M.; McDonald, M.R.; McKeown, A.W. Nitrogen utilization timeline of carrot over the growing season. Can. J. Plant Sci. 2007, 87, 587–592. [Google Scholar] [CrossRef]
- Fritz, D.; Weichmann, J. Influence of the harvesting date of carrots on quality and quality preservation. Acta Hortic. 1979, 93, 91–100. [Google Scholar] [CrossRef]
© 2018 by the authors. Licensee MDPI, Basel, Switzerland. This article is an open access article distributed under the terms and conditions of the Creative Commons Attribution (CC BY) license (http://creativecommons.org/licenses/by/4.0/).



