Abstract
Soybean is a very important crop, cultivated mainly as stock feed for animal production, but also for other uses such as biodiesel. Brazil is the second largest producer of soybeans, and the main exporter. About 10% of total Brazilian production is aimed for biodiesel production. The aim of this work was to assess the impact of climate change scenarios on soybean yield and evaluate two simple adaptation strategies: cultivar and planting date. Tests were done for soil profiles from two important producing regions: Chapecó-Red Oxisol, and Passo Fundo-Rodic Hapludox. Two commercial soybean cultivars (CD202 and CD204) and seven regional circulation models (RCM) were used. All simulations were done with DSSAT. After model calibration, eleven planting dates were run for two periods (2011–2040 and 2071–2100) using the RCM’s. There were no differences between cultivars. For Chapecó, the majority of RCM’s projected yield reductions, with few RCM’s projecting increments, and for only few planting dates (November). The response pattern for both time periods were identical, although the end-of-century period presented a further yield reduction. The main reason was reduced water holding capacity in soil, high temperatures, and changes in rainfall distribution along the cropping season. For Passo Fundo, 2011–2040 yields were distinct, depending on the RCM. Simulated yields tended to follow the actual yield pattern along the different planting dates, besides discrepancies. For 2071–2100, all but one RCM indicated yields equal or lower to actual levels. Regarding planting dates, no significant changes were identified, although reductions were observed for the early planting dates (August–September). The scenarios suggest that soybean yields will be reduced, jeopardizing the viability of this crop and biodiesel production in the studied regions.
1. Introduction
Climate change is a worldwide concern, and regardless of all the scientific improvements to comprehend and forecast changes, the determination of future climate is still a very hard task. The high level of complexity and the nature of climatic interactions is a challenge to forecasting, although there are scenarios that point to possible directions of change.
The impact of climate change on agricultural production is actually the core issue of several investigations. Rising seasonal temperatures are expected to increase more than the annual averages, with reduced precipitation expected to accompany higher temperatures in some regions. Additionally, heat waves are expected to increase in frequency, intensity, and duration [1]. End-of-century growing season temperatures in the tropics and subtropics may exceed even the most extreme seasonal temperatures measured to date [2]. Not considering all the inherent variability of crop production factors, all climate changes described above can lead to modifications of crop yields, posing a threat to agricultural systems that will affect the whole production and consumption chain, impacting especially agroecosystems and populations with low availability of or access to financial and natural resources. The global food and financial crises of 2007 and 2008, which have pushed an additional 115 million into hunger, highlight the severity of the hunger and poverty crisis that has challenged the world for decades [3]. Price volatility remains a concern, with weather-related yield variability the main threat as long as stocks remain low [4]. This risky situation will be worsened by the present effects of drought on soybean yields of USA [5], which will impact the whole world’s food supply.
Increasing the prediction capacity of climate change impacts for stakeholders has become a major challenge in Southern Brazil, where economic wealth strongly depends on agriculture [6,7]. In this region, the agricultural landscape has faced major changes during the last 30 years due to new technologies for crops, to a strong increase in cereal and oil crop world demands, and also to favorable climate conditions with increases of about 20%–30% in annual precipitation over large parts of the region [8].
Crop models can be a useful tool to assess the influence of climatic and other environmental or management factors on crop development and yield [9]. The Decision Support System for Agrotechnology Transfer—DSSAT v. 4.5 contains the CROPGRO-Soybean model [10], and is used to (a) determine best planting dates [11], (b) for fertilization timing [12], (c) in precision agriculture [13], and (d) also for detecting/investigating potential impacts of climate change on agriculture [14]. In the embedded model the development and growth of the crop is simulated on a daily basis from the planting until physiological maturity. The model calculations are based on environmental and physiological processes that control the phenology and dry matter accumulation in the different organs of the plant. The DSSAT also has other embedded models that can simulate the flow of nutrients and water balance in the soil. The minimum data set necessary to run DSSAT [15] consists of daily weather data of maximum and minimum temperature, rainfall and solar radiation, soil chemical and physical parameters for each layer, genetic coefficients for each cultivar with information about development and biomass accumulation, and management information, such as soil preparation, planting dates, plant density, fertilization amounts and timing or other agricultural practices. Experimental data like soil available water, plant phenology, biomass partitioning and other morphological components like leaf area index are necessary to calibrate the genetic coefficients and check the accuracy of the model [16].
2. Experimental Section
In order to run simulations for soybeans, data from field experiments and literature were used. For simulation in the Brazilian sites, data from literature was obtained from Dallacort et al. [10], who performed experiments in Parana State evaluating four soybean cultivars. The cultivars were characterized, calibrated and validated for the CROPGRO-Soybean. The four cultivars, namely CD 202, CD 204, CD 206 and CD 210, were tested for both Brazilian sites using census data and generic agronomic management. The two cultivars with lowest RMSE for yield were selected to run further analyses.
After calibrating and validating the genetic parameters and the model itself, scenarios provided by CLARIS LPB Project WP5 (2011–2040 and 2071–2100 periods) were downloaded and formatted for the DSSAT standard using Weatherman Software [17]. From the CLARIS-LPB Project Data Archive Center, seven weather series of RCM’s (and matching the same location of the study sites weather stations) were downloaded, converted and adjusted to be used as weather input for DSSAT using Weatherman software. The RCM’s are RCA1, RCA2 and RCA3, from the Rossby Centre Regional Climate model [18]; PROMES, from Universidad de Castilla-La Mancha [19]; LMDZ version 4 Configuration South America with IPSLA1B and EC5OM-R3 boundaries, from Laboratoire de Meteorologie Dynamique [20]; and ETA, from Instituto Nacional de Pesquisas Espaciais [21].
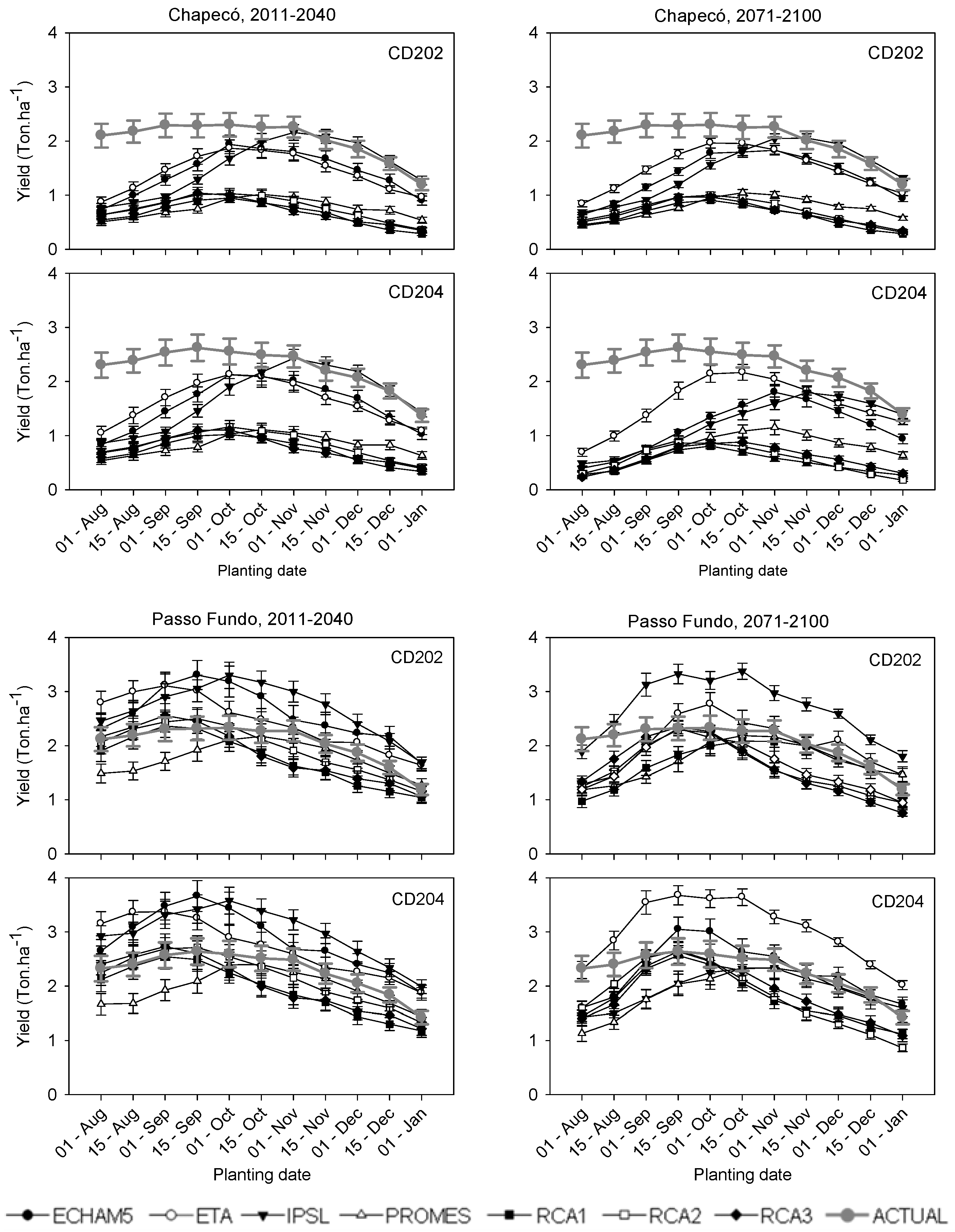
The crop model was run with each one of the seven RCM’s for the target periods (2011–2040 and 2071–2100). Simulations of the impact of RCM’s scenarios on soybean cultivars (CD202 and CD204) planted on eleven different dates, in two locations (Chapecó and Passo Fundo), and two time periods (2011–2040 and 2071–2100, summing 29 cropping seasons each). Black lines represent median yields simulated with RCM’s while black bars represent the standard error of each planting date for the 29 seasons; the grey lines represent actual yields with respective planting dates and standard error.
3. Results and Discussion
The analyses (Figure 1) showed the impact of seven RCM’s on the yield of the soybean cultivars CD202 and CD204 in two locations and two time periods (2011–2040 and 2071–2100). It is important to mention that both soybean cultivars, besides having differences in genetic coefficients, presented very similar results.
Figure 1.
Simulations of the impact of RCM’s scenarios on soybean cultivars (CD202 and CD204) planted on eleven different dates, in two locations (Chapecó and Passo Fundo), and two time periods (2011–2040 and 2071–2100): black lines represent yields simulated with RCM’s and black bars represent the standard error of each planting date; the grey lines represent actual yields with respective planting dates and standard error.
For the Chapecó 2011–2040 period, the majority of RCM’s projected very low yields when compared with actual yields. Only ETA, IPSL and ECHAM5 presented a trend of increase in yields, and after the 1 October planting date. Even so, only IPSL could mimic the actual yields for the late planting dates. This assessment is also applicable for the 2071–2100 period, but with a further reduction of projections of all RCMs. An integrated analysis indicates with high level of agreement that early planting dates—prior to 1 October—will generate lower yields; planting after 1 October shows that three out of seven RCM’s (namely, ETA, ECHAM5 and IPSL) have a tendency to follow the actual yields, while the others remain with very low yields, jeopardizing the viability of this crop in the region.
The results presented for Passo Fundo showed significant difference from the ones of Chapecó, with RCM yields following the trend of actual yield. It also presents a situation where RCMs project even significant increments in yield for the 2011–2040 period. This can be observed especially in the early planting dates, where all but one RCM are equal or significantly higher than the actual yield. For the end-of-century period a generalized reduction of yield was calculated, with exception of IPSL, which showed significant increases. Though a trend of yield reduction, all RCMs presented at least one planting date that did not differ significantly from the actual best yields.
4. Conclusions
Both genotypes tested (CD202 and CD204) did not present remarkable differences among them when in the same region. Unfortunately, no other suitable soybean data sets are available to calibrate and validate the crop model in the study region, undermining the assessment of the role of cultivar as adaptation strategy. The impact of climate scenarios on soybean yield was directly influenced by location: in Chapecó region yields tend to decrease, while for Passo Fundo region yields could even increase.
Acknowledgments
This work in the CLARIS LPB Project was supported the Environmental Risks Unit, Directorate Environment, DG-Research, European Commission (http://www.claris-eu.org).
Author Contributions
Marcos Lana, Edgardo Guevara and Santiago Meira organized the data, run the calibration and generated the results. Frank Eulenstein, Sandro Schlindwein, Askhad Sheudzhen, Marion Tauschke and Axel Behrend interpreted the results and wrote this text. All authors contributed equally to this paper.
Conflicts of Interest
The authors declare no conflict of interest.
References
- Tebaldi, C.; Hayhoe, K.; Arblaster, J.M.; Meehl, G.A. Going to the extremes. Clim. Chang. 2006, 79, 185–211. [Google Scholar] [CrossRef]
- Battisti, D.S.; Naylor, R.L. Historical warnings of future food insecurity with unprecedented seasonal heat. Science 2009, 323, 240–244. [Google Scholar] [CrossRef] [PubMed]
- Viatte, G.; De Graaf, J.; Demeke, M.; Takahatake, T.; Rey de Arce, M. Responding to the Food Crisis: Synthesis of Medium-Term Measures Proposed in Inter-Agency Assessments; FAO: Rome, Italy, 2009. [Google Scholar]
- OECD-FAO Agricultural Outlook 2012; OECD: Paris, France, 2012.
- University of Nebraska-Lincoln Crop Watch 2012. Available online: http://cropwatch.unl.edu/2012archive (accessed on 18 May 2015).
- FAO Global Information System of Water and Agriculture. Available online: http://www.fao.org (accessed on 13 May 2015).
- Eulenstein, F.; Lana, M.; Schlindwein, S.L.; Sheudzhen, A.K.; Tauschke, M.; Guevara, E.; Meira, S. Impact of climate scenarios on soybean yields in southern Brazil. In Proceedings of the Moving Farm Systems to Improved Nutrient Attenuation: 28th Annual Fertilizer and Lime Research Centre Workshop, Palmerston North, New Zealand, 10–12 February 2015; p. 89.
- Magrin, G.O.; Travasso, M.I.; Rodríguez, G.R. Changes in climate and crop production during the 20th century in Argentina. Clim. Chang. 2005, 72, 229–249. [Google Scholar] [CrossRef]
- Reidsma, P.; Ewert, F.; Lansink, A.O.; Leemans, R. Adaptation to climate change and climate variability in European agriculture: The importance of farm level responses. Eur. J. Agron. 2010, 32, 91–102. [Google Scholar] [CrossRef]
- Dallacort, R.; Freitas, P.S.L.; Faria, R.T.; Goncalves, A.C.A.; Rezende, R.; Guimaraes, R.M.L. Simulation of bean crop growth, evapotranspiration and yield in Paraná State by the CROPGRO-Drybean model. Acta Sci. Agric. 2011, 33, 429–436. [Google Scholar]
- Banterng, P.; Hoogenboom, G.; Patanothai, A.; Singh, P.; Wani, S.P.; Pathak, P.; Tongpoonpol, S.; Atichart, S.; Srihaban, P.; Buranaviriyakul, S.; et al. Application of the Cropping System Model (CSM)—CROPGRO—Soybean for determining optimum management strategies for soybean in tropical environments. J. Agron. Crop Sci. 2010, 196, 231–242. [Google Scholar] [CrossRef]
- D’orgeval, T.; Boulanger, J.P.; Capalbo, M.J.; Guevara, E.; Penalba, O.; Meira, S. Yield estimation and sowing date optimization based on seasonal climate information in the three CLARIS sites. Clim. Chang. 2010, 98, 565–580. [Google Scholar] [CrossRef]
- Asadi, M.E.; Clemente, R.S. Simulation of maize yield and N uptake under tropical conditions with the CERES-Maize model. Trop. Agric. 2001, 78, 211–217. [Google Scholar]
- Thorp, K.R.; DeJonge, K.C.; Kaleita, A.L.; Batchelor, W.D.; Paz, J.O. Methodology for the use of DSSAT models for precision agriculture decision support. Comput. Electron. Agric. 2008, 64, 276–285. [Google Scholar] [CrossRef]
- Fischer, G.; Shah, M.; Tubiello, F.N.; Van Velhuizen, H. Socio-economic and climate change impacts on agriculture: An integrated assessment, 1990–2080. Philos. Trans. R. Soc. B Biol. Sci. 2005, 360, 2067–2083. [Google Scholar] [CrossRef] [PubMed]
- Jones, J.W.; Hoogenboom, G.; Porter, C.H.; Boote, K.J.; Batchelor, W.D.; Hunt, L.A.; Wilkens, P.W.; Singh, U.; Gijsman, A.J.; Ritchie, J.T. The DSSAT cropping system model. Eur. J. Agron. 2003, 18, 235–265. [Google Scholar] [CrossRef]
- Wilkens, P.W. DSSAT v4 weather data editing program (Weatherman). In Data Management and Analysis Tools—Decision Support System for Agrotechnology Transfer Version 4.0: DSSAT v4: Data Management and Analysis Tools; University of Hawaii: Honolulu, HI, USA, 2004; Volume 2, pp. 92–151. [Google Scholar]
- Samuelsson, P.; Jones, C.G.; Willen, U.; Ullrstig, A.; Gollvik, S.; Hansson, U.; Jansoon, C.; Kjellström, E.; Nikulin, G.; Wyser, K. The rossby centre regional climate model RCA3: Model description and performance. Tellus A 2011, 63, 4–23. [Google Scholar] [CrossRef]
- Domínguez, M.; Gaertner, M.; de Rosnay, P.; Losada, T. A regional climate model simulation over West Africa: Parameterization tests and analysis of land-surface fields. Clim. Dyn. 2010, 35, 249–265. [Google Scholar] [CrossRef]
- Hourdin, F.; Musat, I.; Bony, S.; Braconnot, P.; Codron, F.; Dufresne, J.L.; Fairhead, L.; Filiberti, M.A.; Friedlingstein, P.; Grandpeix, J.Y. The LMDZ4 general circulation model: Climate performance and sensitivity to parametrized physics with emphasis on tropical convection. Clim. Dyn. 2006, 27, 787–813. [Google Scholar] [CrossRef]
- Marengo, J.; Chou, S.; Kay, G.; Alves, L.; Pesquero, J.; Soares, W.; Santos, D.; Lyra, A.; Sueiro, G.; Betts, R.; et al. Development of regional future climate change scenarios in South America using the Eta CPTEC/HadCM3 climate change projections: Climatology and regional analyses for the Amazon, São Francisco and the Paraná River basins. Clim. Dyn. 2012, 38, 1829–1848. [Google Scholar] [CrossRef]
© 2016 by the authors; licensee MDPI, Basel, Switzerland. This article is an open access article distributed under the terms and conditions of the Creative Commons Attribution (CC-BY) license (http://creativecommons.org/licenses/by/4.0/).
