Improving Water Use Strategies in Greenhouse Tomato with Superabsorbent Polymers: Effects on Fruit Yield Under Deficit Irrigation
Abstract
1. Introduction
2. Materials and Methods
2.1. Experimental Site and Plant Material
2.2. Irrigation
2.3. Total Soluble Solids (TSSs)
2.4. Fruit Shape Index and Color
2.5. Physiological Parameters
2.6. Data Analysis
3. Results
3.1. Fruit Yield and Yield Components
3.2. Effect of Irrigation Amount (I)
3.3. Effect of SAP (S)
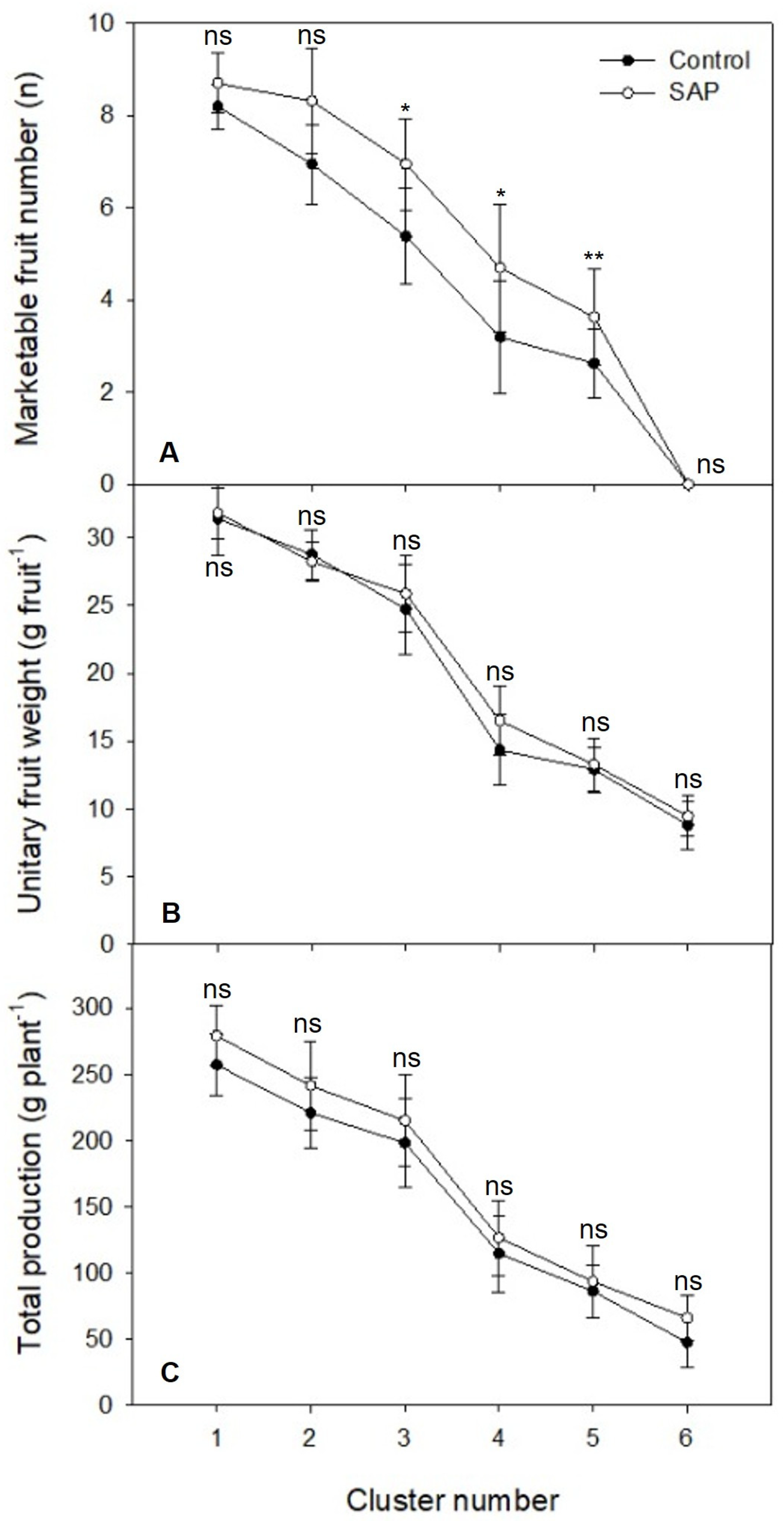
3.4. Cluster Dynamics Across the Cropping Cycle
3.5. Fruit Quality Traits and Colour Parameters
3.6. Physiological Parameters
4. Discussion
5. Conclusions
Author Contributions
Funding
Data Availability Statement
Conflicts of Interest
References
- FAOSTAT Food and Agriculture Organization of the United Nations. FAOSTAT Statistical Database; FAO: Rome, Italy, 2026; Available online: https://www.fao.org/faostat/en/#data/QCL (accessed on 27 January 2026).
- de Oliveira Neto, E.D.; Lima, C.J.D.S.; da Silva Júnior, G.B.; Dutra, A.F.; Júnior, C.R.B.; Barros, P.E.D.O.; da S. Assunção, D.; Briozo, M.E. Hydrogel application alters physical and chemical properties of soil, reducing fertirrigation needs in tomato crop. Sci. Hortic. 2024, 334, 113305. [Google Scholar] [CrossRef]
- Cerasola, V.A.; Perlotti, L.; Pennisi, G.; Orsini, F.; Gianquinto, G. Potential use of superabsorbent polymer on drought-stressed processing tomato (Solanum lycopersicum L.) in a Mediterranean climate. Horticulturae 2022, 8, 718. [Google Scholar] [CrossRef]
- Adair, A.; Kaesaman, A.; Klinpituksab, P. Superabsorbent materials derived from hydroxyethyl cellulose and bentonite: Preparation, characterization and swelling capacities. Polym. Test. 2017, 64, 321–329. [Google Scholar] [CrossRef]
- Abdelghafar, R.; Abdelfattah, A.; Mostafa, H. Effect of super absorbent hydrogel on hydro-physical properties of soil under deficit irrigation. Sci. Rep. 2024, 14, 7655. [Google Scholar] [CrossRef]
- Errahali, S.; Chtouki, M.; Qetrani, S.; Oukarroum, A.; Latifi, M.; Belachemi, L.; Benyoucef, H.; Kaddami, H. Effects of superabsorbent hydrogel on soil porosity, bulk density, and water productivity of tomato grown under drought stress in clay loam and sandy loam soils. J. Soil Sci. Plant Nutr. 2025, 25, 6474–6493. [Google Scholar] [CrossRef]
- Montesano, F.F.; Parente, A.; Santamaria, P.; Sannino, A.; Serio, F. Biodegradable superabsorbent hydrogel increases water retention properties of growing media and plant growth. Agric. Agric. Sci. Procedia 2015, 4, 451–458. [Google Scholar] [CrossRef]
- Tomadoni, B.; Salcedo, M.F.; Mansilla, A.Y.; Casalongué, C.A.; Alvarez, V.A. Macroporous alginate-based hydrogels to control soil substrate moisture: Effect on lettuce plants under drought stress. Eur. Polym. J. 2020, 137, 109953. [Google Scholar] [CrossRef]
- Kathi, S.; Simpson, C.; Umphres, A.; Schuster, G. Cornstarch-based, biodegradable superabsorbent polymer to improve water retention, reduce nitrate leaching, and result in improved tomato growth and development. HortScience 2021, 56, 1486–1493. [Google Scholar] [CrossRef]
- El Idrissi, A.; Dardari, O.; Metomo, F.N.N.N.; Essamlali, Y.; Akil, A.; Amadine, O.; Aboulhrouz, S.; Zahouily, M. Effect of sodium alginate-based superabsorbent hydrogel on tomato growth under different water deficit conditions. Int. J. Biol. Macromol. 2023, 253, 127229. [Google Scholar] [CrossRef]
- Zewdie, B.M.; Asmamaw, B.; Mohammed, A. Effect of mulching and amount of water on the yield of tomato under furrow irrigation. J. Ecol. Nat. Resour. 2023, 7, 000324. [Google Scholar] [CrossRef]
- Alotaibi, M.M.; Alharbi, M.M.; Alsudays, I.M.; Alsubeie, M.S.; Almuziny, M.; M. Alabdallah, N.; Alghanem, S.M.; Albalawi, B.F.; Ismail, K.A.; Alzuaibr, F.M. Influence of Super-Absorbent Polymer on growth and productivity of green bean under drought conditions. Agronomy 2024, 14, 1146. [Google Scholar] [CrossRef]
- Daraei, R.; Ghanbari, F.; Alizadeh, H.A. Co-application of kaolin and superabsorbent polymer mitigate water stress and improves yield and water use efficiency in tomato plant. Sci. Hortic. 2024, 338, 113691. [Google Scholar] [CrossRef]
- de Barros, A.F.; Pimentel, L.D.; Araujo, E.F.; de Macedo, L.R.; Martinez, H.E.; Batista, V.A.; da Paixão, M.Q. Super absorbent polymer application in seeds and planting furrow: It will be a new opportunity for rainfed agriculture. Semin. Ciências Agrárias 2017, 38, 1703–1714. [Google Scholar] [CrossRef]
- Taheri, H.; Mohammadi, A.S.; Ansari, N.A. Effect of superabsorbent polymer on yield, yield components and water use efficiency of lettuce. Irrig. Sci. Eng. 2020, 43, 117–129. [Google Scholar]
- Panova, G.G.; Krasnopeeva, E.L.; Laishevkina, S.G.; Kuleshova, T.E.; Udalova, O.R.; Khomyakov, Y.V.; Mirskaya, G.V.; Vertebny, V.E.; Zhuravleva, A.S.; Shevchenko, N.N.; et al. Polymer gel substrate: Synthesis and application in the intensive light artificial culture of agricultural plants. Gels 2023, 9, 937. [Google Scholar] [CrossRef]
- Maio, A.; La Malfa, T.; Condurso, C.; Miller, A.; Toscano, S.; Gresta, F. Citrus waste as a sustainable amendment for tomato soilless substrates under deficit irrigation. Agronomy 2026, 16, 288. [Google Scholar] [CrossRef]
- Brewer, M.T.; Lang, L.; Fujimura, K.; Dujmovic, N.; Gray, S.; van der Knaap, E. Development of a controlled vocabulary and software application to analyze fruit shape variation in tomato and other plant species. Plant Physiol. 2006, 141, 15–25. [Google Scholar] [CrossRef]
- Subramanian, K.S.; Santhanakrishnan, P.; Balasubramanian, P. Responses of field grown tomato plants to arbuscular mycorrhizal fungal colonization under varying intensities of drought stress. Sci. Hortic. 2006, 107, 245–253. [Google Scholar] [CrossRef]
- Khapte, P.S.; Kumar, P.; Burman, U.; Kumar, P. Deficit irrigation in tomato: Agronomical and physio-biochemical implications. Sci. Hortic. 2019, 248, 256–264. [Google Scholar] [CrossRef]
- Cantore, V.; Lechkar, O.; Karabulut, E.; Sellami, M.H.; Albrizio, R.; Boari, F.; Stellacci, A.M.; Todorovic, M. Combined effect of deficit irrigation and strobilurin application on yield, fruit quality and water use efficiency of “cherry” tomato (Solanum lycopersicum L.). Agric. Water Manag. 2016, 167, 53–61. [Google Scholar] [CrossRef]
- Wudiri, B.B.; Henderson, D.W. Effects of water stress on flowering and fruit set in processing-tomatoes. Sci. Hortic. 1985, 27, 189–198. [Google Scholar] [CrossRef]
- Marouelli, W.A.; Silva, W.L. Water tension thresholds for processing tomatoes under drip irrigation in Central Brazil. Irrig. Sci. 2007, 25, 411–418. [Google Scholar] [CrossRef]
- Oladosu, Y.; Rafii, M.Y.; Arolu, F.; Chukwu, S.C.; Salisu, M.A.; Fagbohun, I.K.; Muftaudeen, T.K.; Swaray, S.; Haliru, B.S. Superabsorbent polymer hydrogels for sustainable agriculture: A review. Horticulturae 2022, 8, 605. [Google Scholar] [CrossRef]
- Abd El-Badea, S.; El-Awady, E.A.A.; Ahmed, H.M.I. Improving nitrogen utilization efficiency by Potato (Solanum tuberosum L.). B. Effect of irrigation intervals, nitrogen rates, and Veterra hydrogel on growth, yield, quality, and nutrient uptake. Nat. Sci. 2011, 9, 34–41. [Google Scholar]
- Başak, H. The effects of super absorbent polymer application on the physiological and biochemical properties of tomato (Solanum lycopersicum L.) plants grown by soilless agriculture technique. Appl. Ecol. Environ. Res. 2020, 18, 5907–5921. [Google Scholar] [CrossRef]
- Toscano, S.; Maio, A.; La Malfa, T.; Calderone, F.; Merlino, M.; Cincotta, F.; Condurso, C.; Gresta, F. Biostimulants enhance tomato productivity and fruit quality under water deficit. Front. Sustain. Food Syst. 2026, 10, 1674846. [Google Scholar] [CrossRef]
- Takahashi, M.; Kosaka, I.; Ohta, S. Water retention characteristics of superabsorbent polymers (SAPs) used as soil amendments. Soil Syst. 2023, 7, 58. [Google Scholar] [CrossRef]
- Nnadi, F.; Brave, C. Environmentally friendly superabsorbent polymers for water conservation in agricultural lands. J. Soil Sci. Environ. Manag. 2011, 2, 206–211. Available online: http://www.academicjournals.org/JSSEM (accessed on 15 January 2026).
- Krasnopeeva, E.L.; Panova, G.G.; Yakimansky, A.V. Agricultural applications of superabsorbent polymer hydrogels. Int. J. Mol. Sci. 2022, 23, 15134. [Google Scholar] [CrossRef] [PubMed]
- Batra, N.G.; Sharma, V.; Kumari, N. Drought-induced changes in chlorophyll fluorescence, photosynthetic pigments, and thylakoid membrane proteins of Vigna radiata. J. Plant Interact. 2014, 9, 712–721. [Google Scholar] [CrossRef]
- Xu, C.; He, C.G.; Wang, Y.J.; Bi, Y.F.; Jiang, H. Effect of drought and heat stresses on photosynthesis, pigments, and xanthophyll cycle in alfalfa (Medicago sativa L.). Photosynthetica 2020, 58, 1226–1236. [Google Scholar] [CrossRef]
- Solanki, R.; Bisen, B.P. Impact of SAP and irrigation scheduling on growth and quality attributes in Acid lime. In Advances in Agricultural and Horticultural Sciences; Firenze University Press: Florence, Italy, 2022; p. 199. [Google Scholar]
- Sendur Kumaran, S. Effect of hydrophilic polymers on yield and quality of tomato. Int. J. Appl. Pure Sci. Agric. 2016, 2, 56–60. [Google Scholar]
- Zhu, J.; Suhaimi, F.; Lim, J.Y.; Gao, Z.; Swarup, S.; Loh, C.S.; Li, J.; Ong, C.N.; Tan, W.K. A field study on using soybean waste-derived superabsorbent hydrogel to enhance growth of vegetables. Sci. Total Environ. 2022, 851, 158141. [Google Scholar] [CrossRef] [PubMed]


| Treatments | Total Fruit Number (n Plant−1) | Marketable Fruit Number (n Plant−1) | Non-Marketable Fruit Number (n Plant−1) | Total Fruit Weight (g Plant−1) | Unitary Fruit Weight (g Fruit−1) | |
|---|---|---|---|---|---|---|
| Irrigation amount (I) | 100% WC | 50.4 ± 1.4 A | 33.5 ± 1.9 A | 16.9 ± 1.4 | 1212.3 ± 44.8 A | 23.5 ± 0.2 A |
| 75% WC | 48.5 ± 1.5 B | 32.4 ± 1.6 A | 16.3 ± 1.0 | 1143.1 ± 32.5 A | 23.1 ± 0.3 A | |
| 50% WC | 42.4 ± 1.2 C | 28.4 ± 2.1 AB | 14.2 ± 1.7 | 914.7 ± 28.1 B | 20.0 ± 0.5 B | |
| 25% WC | 37.1 ± 0.9 D | 22.9 ± 1.5 C | 14.0 ± 1.2 | 624.4 ± 26.1 C | 15.2 ± 0.5 C | |
| SAP levels (SAP) | C | 42.7 ± 1.5 B | 26.3 ± 1.4 B | 16.4 ± 0.9 | 925.0 ± 61.5 B | 20.2 ± 1.0 |
| SAP | 46.5 ± 1.5 A | 32.3 ± 1.5 A | 14.2 ± 1.0 | 1022.2 ± 63.2 A | 20.7 ± 0.8 | |
| Significance | I | *** | *** | ns | *** | *** |
| SAP | ** | *** | ns | ** | ns | |
| I × SAP | ns | ns | ns | ns | ns |
| Treatments | TSS (°Brix) | L* | a* | b* | FSI | |
|---|---|---|---|---|---|---|
| Irrigation amount (I) | 100% WC | 7.1 ± 0.4 AB | 37.0 ± 0.44 B | 31.7 ± 1.15 A | 24.6 ± 1.46 A | 0.83 ± 0.00 |
| 75% WC | 7.2 ± 0.1 AB | 36.7 ± 0.54 B | 27.0 ± 1.41 B | 18.8 ± 1.14 B | 0.83 ± 0.01 | |
| 50% WC | 6.9 ± 0.1 B | 38.1 ± 0.36 AB | 24.3 ± 0.85 B | 14.6 ± 0.68 B | 0.82 ± 0.01 | |
| 25% WC | 7.8 ± 0.4 A | 41.2 ± 1.76 A | 27.1 ± 1.16 B | 16.5 ± 0.63 BC | 0.83 ± 0.01 | |
| SAP levels (SAP) | C | 6.9 ± 0.3 B | 39.1 ± 1.01 | 27.7 ± 1.08 | 18.7 ± 1.25 | 0.83 ± 0.01 |
| SAP | 7.6 ± 0.2 A | 37.4 ± 0.41 | 27.4 ± 1.01 | 18.7 ± 1.14 | 0.82 ± 0.01 | |
| Significance | I | * | ** | *** | *** | ns |
| S | ** | ns | ns | ns | ns | |
| I × S | * | ns | ** | * | ns |
| Treatments | An (µmol CO2 m−2 s−1) | gs (mol H2O m−2 s−1) | WUE (µmol CO2/mmol H2O) | SPAD Index | FLvM (F660/F375) | AnthM (F660/F525nm) | |
|---|---|---|---|---|---|---|---|
| Irrigation amount (I) | 100% WC | 19.2 ± 0.68 A | 0.16 ± 0.01 AB | 4.4 ± 0.40 A | 57.5 ± 2.79 | 0.14 ± 0.04 | 0.12 ± 0.01 |
| 75% WC | 19.8 ± 0.40 A | 0.18 ± 0.00 A | 4.8 ± 0.17 A | 54.8 ± 2.23 | 0.13 ± 0.04 | 0.12 ± 0.01 | |
| 50% WC | 16.3 ± 0.89 B | 0.13 ± 0.00 BC | 4.3 ± 0.23 A | 60.6 ± 4.22 | 0.14 ± 0.03 | 0.12 ± 0.01 | |
| 25% WC | 11.7 ± 0.40 C | 0.10 ± 0.01 C | 2.7 ± 0.09 B | 59.4 ± 3.69 | 0.20 ± 0.04 | 0.12 ± 0.00 | |
| SAP levels (SAP) | C | 16.0 ± 0.90 B | 0.14 ± 0.01 | 3.9 ± 0.27 | 57.9 ± 2.03 | 0.15 ± 0.02 | 0.12 ± 0.00 |
| SAP | 17.4 ± 1.14 A | 0.15 ± 0.01 | 4.2 ± 0.30 | 58.2 ± 1.28 | 0.16 ± 0.02 | 0.12 ± 0.00 | |
| Significance | I | *** | ** | *** | ns | ns | ns |
| S | * | ns | ns | ns | ns | ns | |
| I × S | ns | ns | ns | ns | ns | ns |
Disclaimer/Publisher’s Note: The statements, opinions and data contained in all publications are solely those of the individual author(s) and contributor(s) and not of MDPI and/or the editor(s). MDPI and/or the editor(s) disclaim responsibility for any injury to people or property resulting from any ideas, methods, instructions or products referred to in the content. |
© 2026 by the authors. Licensee MDPI, Basel, Switzerland. This article is an open access article distributed under the terms and conditions of the Creative Commons Attribution (CC BY) license.
Share and Cite
Toscano, S.; Maio, A.; La Malfa, T.; Calderone, F.; Bonanno, E.; Gresta, F. Improving Water Use Strategies in Greenhouse Tomato with Superabsorbent Polymers: Effects on Fruit Yield Under Deficit Irrigation. Horticulturae 2026, 12, 321. https://doi.org/10.3390/horticulturae12030321
Toscano S, Maio A, La Malfa T, Calderone F, Bonanno E, Gresta F. Improving Water Use Strategies in Greenhouse Tomato with Superabsorbent Polymers: Effects on Fruit Yield Under Deficit Irrigation. Horticulturae. 2026; 12(3):321. https://doi.org/10.3390/horticulturae12030321
Chicago/Turabian StyleToscano, Stefania, Aurora Maio, Tommaso La Malfa, Francesca Calderone, Elisa Bonanno, and Fabio Gresta. 2026. "Improving Water Use Strategies in Greenhouse Tomato with Superabsorbent Polymers: Effects on Fruit Yield Under Deficit Irrigation" Horticulturae 12, no. 3: 321. https://doi.org/10.3390/horticulturae12030321
APA StyleToscano, S., Maio, A., La Malfa, T., Calderone, F., Bonanno, E., & Gresta, F. (2026). Improving Water Use Strategies in Greenhouse Tomato with Superabsorbent Polymers: Effects on Fruit Yield Under Deficit Irrigation. Horticulturae, 12(3), 321. https://doi.org/10.3390/horticulturae12030321

