Affective Restoration in Bamboo Green Spaces: A Controlled Photo-Based Experiment Linking Place Structure, Visual Attention, and Electroencephalography (EEG) Responses
Abstract
1. Introduction
1.1. Evidence Synthesis: Perception and Structure Pathways
1.2. Unresolved Gaps and Guiding Questions
1.3. Study Objectives
2. Materials and Methods
2.1. Study Design and Overall Procedure
2.2. Participants
2.3. Classification of Bamboo Forest Space Types
2.4. Visual Structural Features of Bamboo Spaces
2.5. Measurement of Behavioral, Physiological and Subjective Indices
2.5.1. Eye-Tracking Metrics
2.5.2. Electroencephalography Metrics
2.5.3. Subjective Perception Indices
2.6. Statistical Analysis
3. Results
3.1. Group Differences in Structural, Visual and Affective and Physiological Indices (RQ1)
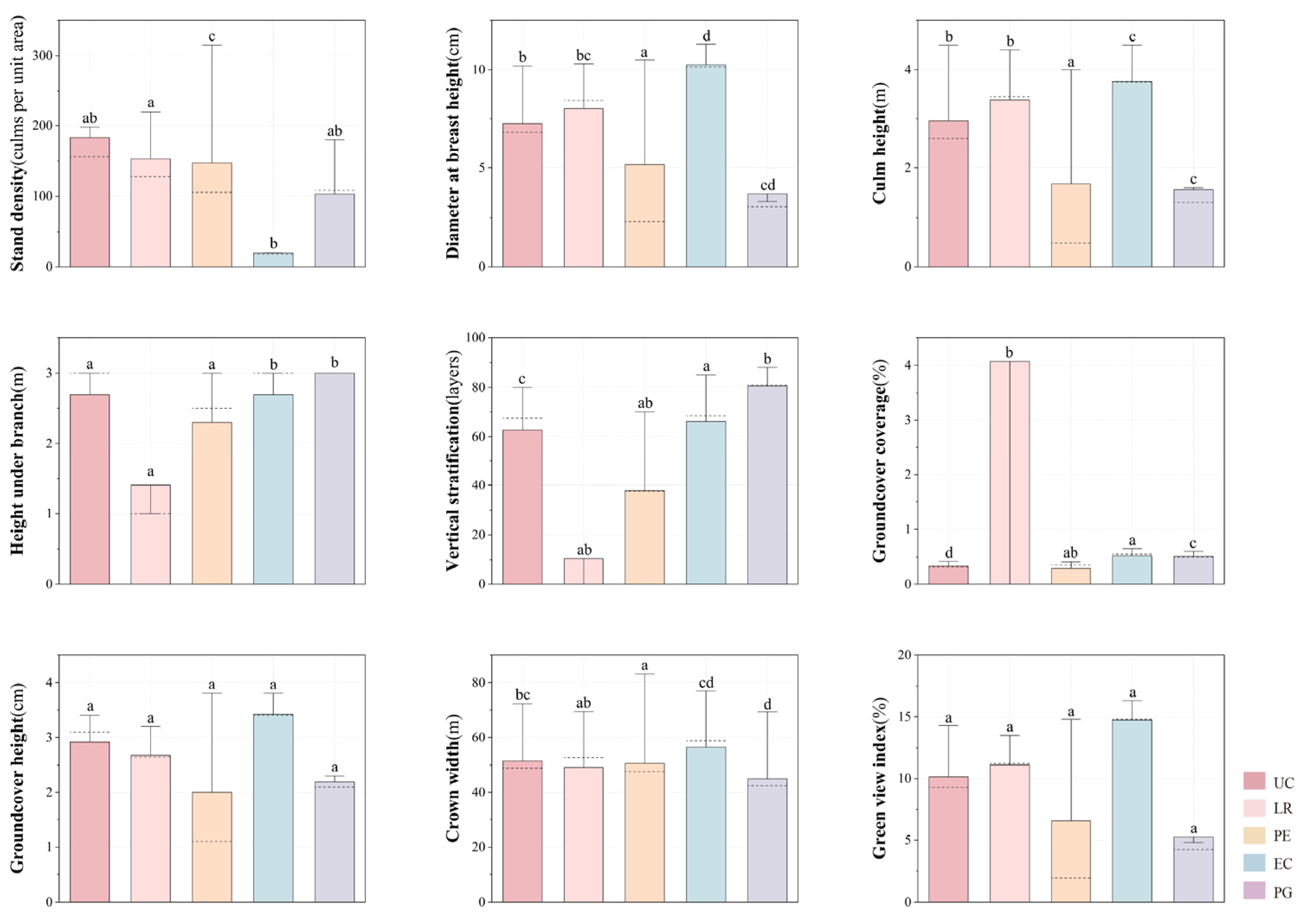
3.1.1. Structural Characteristics of the Five Bamboo Space Types
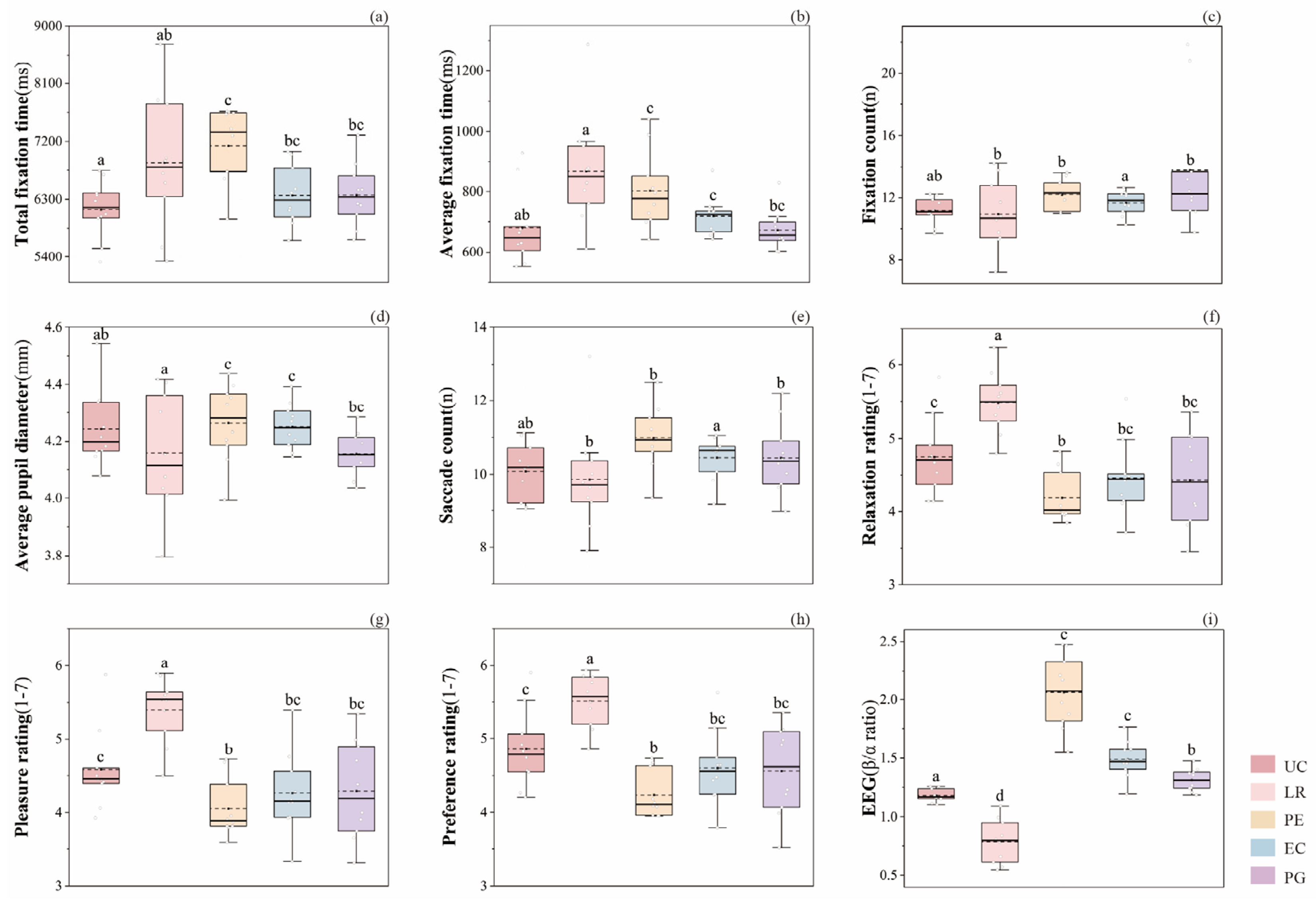
3.1.2. Eye-Tracking Indices
3.1.3. Affective Ratings and β/α Ratio
3.2. Associations Between Visual Structure, Visual Behavior and Affective and Physiological Responses (RQ2)
3.2.1. Descriptive Associations and Redundancy Diagnostics
3.2.2. Trial-Level Mixed-Effects Models for Visual Behavior and Physiological Responses
3.2.3. Trial-Level Mixed-Effects Models for Affective Responses
3.3. Mediation Analyses (RQ3)
4. Discussion
4.1. Differences in Visual Behavior and Affective Physiological Responses Across Bamboo Space Types
4.2. Structural Attributes as Design Levers Beyond Bamboo Space Type
4.3. Attention as a Mediator Linking Structure to Affective Outcomes
4.4. Implications, Limitations, and Future Research Directions
5. Conclusions
Supplementary Materials
Author Contributions
Funding
Data Availability Statement
Conflicts of Interest
Abbreviations
| VS | Vertical stratification |
| GC | Groundcover coverage |
| CDW | Crown width |
| DBH | Diameter at breast height |
| CDen | Stand density |
| CH | Culm height |
| CBH | Height under branch |
| UH | Groundcover height |
| GVI | Green view index |
| EEG β/α | Electroencephalography beta-to-alpha ratio |
| FC | Fixation Count |
| TFT | Total Fixation Time |
| AFT | Average Fixation Time |
| SC | Saccade Count |
| APD | Average Pupil Diameter |
| EC | Ecological conservation |
| PE | Productive–economic |
| PG | Protective-greenbelt |
| LR | Landscape–recreational |
| UC | Understory–composite |
References
- World Health Organization. World Mental Health Report: Transforming Mental Health for All; World Health Organization: Geneva, Switzerland, 2022. [Google Scholar]
- GBD 2019 Mental Disorders Collaborators. Global, regional, and national burden of 12 mental disorders in 204 countries and territories, 1990–2019: A systematic analysis for the Global Burden of Disease Study 2019. Lancet Psychiatry 2022, 9, 137–150. [Google Scholar] [CrossRef] [PubMed]
- Ulrich, R.S.; Simons, R.F.; Losito, B.D.; Fiorito, E.; Miles, M.A.; Zelson, M. Stress recovery during exposure to natural and urban environments. J. Environ. Psychol. 1991, 11, 201–230. [Google Scholar] [CrossRef]
- Hartig, T.; Mitchell, R.; De Vries, S.; Frumkin, H. Nature and health. Annu. Rev. Public Health 2014, 35, 207–228. [Google Scholar] [CrossRef] [PubMed]
- Twohig-Bennett, C.; Jones, A. The health benefits of the great outdoors: A systematic review and meta-analysis of greenspace exposure and health outcomes. Environ. Res. 2018, 166, 628–637. [Google Scholar] [CrossRef]
- Li, H.; Zhang, X.; Bi, S.; Cao, Y.; Zhang, G. Psychological benefits of green exercise in wild or urban greenspaces: A meta-analysis of controlled trials. Urban For. Urban Green. 2022, 68, 127458. [Google Scholar] [CrossRef]
- Velarde, M.D.; Fry, G.; Tveit, M. Health effects of viewing landscapes–Landscape types in environmental psychology. Urban For. Urban Green. 2007, 6, 199–212. [Google Scholar] [CrossRef]
- Daniel, T.C. Whither scenic beauty? Visual landscape quality assessment in the 21st century. Landsc. Urban Plan. 2001, 54, 267–281. [Google Scholar] [CrossRef]
- Tveit, M.; Ode, Å.; Fry, G. Key concepts in a framework for analysing visual landscape character. Landsc. Res. 2006, 31, 229–255. [Google Scholar] [CrossRef]
- Ode, Å.; Tveit, M.S.; Fry, G. Capturing landscape visual character using indicators: Touching base with landscape aesthetic theory. Landsc. Res. 2008, 33, 89–117. [Google Scholar] [CrossRef]
- Stamps, A.E., III. Mystery, complexity, legibility and coherence: A meta-analysis. J. Environ. Psychol. 2004, 24, 1–16. [Google Scholar] [CrossRef]
- Lu, Z.; Pesarakli, H. Seeing is believing: Using eye-tracking devices in environmental research. HERD Health Environ. Res. Des. J. 2023, 16, 15–52. [Google Scholar] [CrossRef] [PubMed]
- Valtakari, N.V.; Hooge, I.T.; Viktorsson, C.; Nyström, P.; Falck-Ytter, T.; Hessels, R.S. Eye tracking in human interaction: Possibilities and limitations. Behav. Res. Methods 2021, 53, 1592–1608. [Google Scholar] [CrossRef] [PubMed]
- Skaramagkas, V.; Giannakakis, G.; Ktistakis, E.; Manousos, D.; Karatzanis, I.; Tachos, N.S.; Tripoliti, E.; Marias, K.; Fotiadis, D.I.; Tsiknakis, M. Review of eye tracking metrics involved in emotional and cognitive processes. IEEE Rev. Biomed. Eng. 2021, 16, 260–277. [Google Scholar] [CrossRef] [PubMed]
- Cronin, D.A.; Hall, E.H.; Goold, J.E.; Hayes, T.R.; Henderson, J.M. Eye movements in real-world scene photographs: General characteristics and effects of viewing task. Front. Psychol. 2020, 10, 2915. [Google Scholar] [CrossRef]
- Hou, J.; Wang, Y.; Zhang, X.; Qiu, L.; Gao, T. The effect of visibility on green space recovery, perception and preference. Trees For. People 2024, 16, 100538. [Google Scholar] [CrossRef]
- Yetkin, E.; Akpınar, A. Exploring the Restorative Effects of Urban Green Spaces on People’s Psycho-Physiological Health: A Focus on Perceived Sensory Dimensions in Turkey. Urban For. Urban Green. 2025, 113, 129010. [Google Scholar] [CrossRef]
- Wang, R.; Zhao, J.; Meitner, M.J.; Hu, Y.; Xu, X. Characteristics of urban green spaces in relation to aesthetic preference and stress recovery. Urban For. Urban Green. 2019, 41, 6–13. [Google Scholar] [CrossRef]
- Jiang, B.; Chang, C.-Y.; Sullivan, W.C. A dose of nature: Tree cover, stress reduction, and gender differences. Landsc. Urban Plan. 2014, 132, 26–36. [Google Scholar] [CrossRef]
- Jiang, B.; Larsen, L.; Deal, B.; Sullivan, W.C. A dose–response curve describing the relationship between tree cover density and landscape preference. Landsc. Urban Plan. 2015, 139, 16–25. [Google Scholar] [CrossRef]
- Dupont, L.; Antrop, M.; Van Eetvelde, V. Eye-tracking analysis in landscape perception research: Influence of photograph properties and landscape characteristics. Landsc. Res. 2014, 39, 417–432. [Google Scholar] [CrossRef]
- Gao, Y.; Zhang, T.; Zhang, W.; Meng, H.; Zhang, Z. Research on visual behavior characteristics and cognitive evaluation of different types of forest landscape spaces. Urban For. Urban Green. 2020, 54, 126788. [Google Scholar] [CrossRef]
- Wang, P.; Yang, W.; Wang, D.; He, Y. Insights into public visual behaviors through eye-tracking tests: A study based on national park system pilot area landscapes. Land 2021, 10, 497. [Google Scholar] [CrossRef]
- Fu, H.; Xue, P. Cognitive restoration in following exposure to green infrastructure: An eye-tracking study. J. Green Build. 2023, 18, 65–88. [Google Scholar] [CrossRef]
- Liu, L.; Qu, H.; Ma, Y.; Wang, K.; Qu, H. Restorative benefits of urban green space: Physiological, psychological restoration and eye movement analysis. J. Environ. Manag. 2022, 301, 113930. [Google Scholar] [CrossRef]
- Franěk, M.; Šefara, D.; Petružálek, J.; Cabal, J.; Myška, K. Differences in eye movements while viewing images with various levels of restorativeness. J. Environ. Psychol. 2018, 57, 10–16. [Google Scholar] [CrossRef]
- Bolouki, A. Neurobiological effects of urban built and natural environment on mental health: Systematic review. Rev. Environ. Health 2023, 38, 169–179. [Google Scholar] [CrossRef]
- Olszewska-Guizzo, A.; Escoffier, N.; Chan, J.; Yok, T.P. Window view and the brain: Effects of floor level and green cover on the alpha and beta rhythms in a passive exposure eeg experiment. Int. J. Environ. Res. Public Health 2018, 15, 2358. [Google Scholar] [CrossRef]
- Imperatori, C.; Massullo, C.; De Rossi, E.; Carbone, G.A.; Theodorou, A.; Scopelliti, M.; Romano, L.; Del Gatto, C.; Allegrini, G.; Carrus, G. Exposure to nature is associated with decreased functional connectivity within the distress network: A resting state EEG study. Front. Psychol. 2023, 14, 1171215. [Google Scholar] [CrossRef]
- Reece, R.; Bornioli, A.; Bray, I.; Alford, C. Exposure to green and historic urban environments and mental well-being: Results from EEG and psychometric outcome measures. Int. J. Environ. Res. Public Health 2022, 19, 13052. [Google Scholar] [CrossRef]
- Grassini, S.; Segurini, G.V.; Koivisto, M. Watching nature videos promotes physiological restoration: Evidence from the modulation of alpha waves in electroencephalography. Front. Psychol. 2022, 13, 871143. [Google Scholar] [CrossRef]
- Olszewska-Guizzo, A.; Sia, A.; Fogel, A.; Ho, R. Can exposure to certain urban green spaces trigger frontal alpha asymmetry in the brain?—Preliminary findings from a passive task EEG study. Int. J. Environ. Res. Public Health 2020, 17, 394. [Google Scholar] [CrossRef]
- Yu, C.-P.; Lee, H.-Y.; Luo, X.-Y. The effect of virtual reality forest and urban environments on physiological and psychological responses. Urban For. Urban Green. 2018, 35, 106–114. [Google Scholar] [CrossRef]
- Baumann, H.; Grêt-Regamey, A. Exploring the interplay of urban form and greenery in residents’ affective and cognitive responses. Urban For. Urban Green. 2024, 101, 128553. [Google Scholar] [CrossRef]
- Xiang, L.; Cai, M.; Ren, C.; Ng, E. Modeling pedestrian emotion in high-density cities using visual exposure and machine learning: Tracking real-time physiology and psychology in Hong Kong. Build. Environ. 2021, 205, 108273. [Google Scholar] [CrossRef]
- Ewan, R.F. With people in mind: Design and management of everyday nature. Landsc. J. 1999, 18, 99–101. [Google Scholar] [CrossRef]
- Zhu, C.; Feng, X.; Luo, J.; Fu, S.; Li, T.; Wang, W.; Li, X. Effects of different audiovisual landscapes in bamboo forest space on physical and mental restorative potential of university students: Based on eye-tracking experiments. Front. For. Glob. Change 2024, 7, 1415514. [Google Scholar] [CrossRef]
- Li, X.; Du, H.; Mao, F.; Zhou, G.; Xing, L.; Liu, T.; Han, N.; Liu, E.; Ge, H.; Liu, Y. Mapping spatiotemporal decisions for sustainable productivity of bamboo forest land. Land Degrad. Dev. 2020, 31, 939–958. [Google Scholar] [CrossRef]
- Shen, J.; Zeng, X.; Fan, S.; Liu, G. Impacts of Intensive Management Practices on the Long-Term Sustainability of Soil and Water Conservation Functions in Bamboo Forests: A Mechanistic Review from Silvicultural Perspectives. Forests 2025, 16, 787. [Google Scholar] [CrossRef]
- Paudyal, K.; Yanxia, L.; Long, T.T.; Adhikari, S.; Lama, S.; Bhatta, K.P. Ecosystem Services from Bamboo Forests: Key Findings, Lessons Learnt and Call for Actions from Global Synthesis; INBAR: Beijing, China, 2022. [Google Scholar] [CrossRef]
- Wang, Y.; Liu, G.; Jiang, M.; Yang, Q.; Chen, Q.; Li, X.; Luo, Z.; Song, H.; Du, J.; Yu, X. Effects of forest spatial types, element compositions and forest stands on restorative potential and aesthetic preference. Front. For. Glob. Change 2023, 6, 1218134. [Google Scholar] [CrossRef]
- Hartig, T.; Böök, A.; Garvill, J.; Olsson, T.; Gärling, T. Environmental influences on psychological restoration. Scand. J. Psychol. 1996, 37, 378–393. [Google Scholar] [CrossRef]
- Ulrich, R.S. Aesthetic and affective response to natural environment. In Behavior and the Natural Environment; Springer: Berlin/Heidelberg, Germany, 1983; pp. 85–125. [Google Scholar] [CrossRef]
- Kaplan, R.; Kaplan, S. The Experience of Nature: A Psychological Perspective; Cambridge University Press: New York, NY, USA, 1989. [Google Scholar]
- White, M.P.; Alcock, I.; Grellier, J.; Wheeler, B.W.; Hartig, T.; Warber, S.L.; Bone, A.; Depledge, M.H.; Fleming, L.E. Spending at least 120 minutes a week in nature is associated with good health and wellbeing. Sci. Rep. 2019, 9, 7730. [Google Scholar] [CrossRef]
- Li, J.; Zhang, Z.; Jing, F.; Gao, J.; Ma, J.; Shao, G.; Noel, S. An evaluation of urban green space in Shanghai, China, using eye tracking. Urban For. Urban Green. 2020, 56, 126903. [Google Scholar] [CrossRef]
- Martínez-Soto, J.L.A.; De la Fuente Suárez, L.; Gonzáles-Santos, F.A. Barrios, Observation of environments with different restorative potential results in differences in eye patron movements and pupillary size. IBRO Rep. 2019, 7, 52–58. [Google Scholar] [CrossRef] [PubMed]
- Gao, S.; Ma, Y.; Wang, C.; Xue, H.; Zhu, K.; Hou, S.; Feng, C. Assessing urban greenery impact on human psychological and physiological responses through virtual reality. Build. Environ. 2025, 272, 112696. [Google Scholar] [CrossRef]
- Hwang, A.D.; Wang, H.-C.; Pomplun, M. Semantic guidance of eye movements in real-world scenes. Vis. Res. 2011, 51, 1192–1205. [Google Scholar] [CrossRef]
- Hao, J.; Li, Y.; Hu, T.; Ma, Y.; Wang, X.; Liu, J.; Gao, T.; Qiu, L. Vegetation diversity in structure, species or colour: Coupling effects of the different characteristics of urban green spaces on preference and perceived restoration. Ecol. Indic. 2024, 169, 112897. [Google Scholar] [CrossRef]
- Shen, Y.; Wang, Q.; Liu, H.; Luo, J.; Liu, Q.; Lan, Y. Landscape design intensity and its associated complexity of forest landscapes in relation to preference and eye movements. Forests 2023, 14, 761. [Google Scholar] [CrossRef]
- Chiang, Y.-C.; Li, D.; Jane, H.-A. Wild or tended nature? The effects of landscape location and vegetation density on physiological and psychological responses. Landsc. Urban Plan. 2017, 167, 72–83. [Google Scholar] [CrossRef]
- Zhang, G.; Yang, J.; Wu, G.; Hu, X. Exploring the interactive influence on landscape preference from multiple visual attributes: Openness, richness, order, and depth. Urban For. Urban Green. 2021, 65, 127363. [Google Scholar] [CrossRef]
- Zhang, G.; Yang, J.; Jin, J. Assessing relations among landscape preference, informational variables, and visual attributes. J. Environ. Eng. Landsc. Manag. 2021, 29, 294–304. [Google Scholar] [CrossRef]
- Zhou, W.; Wang, J.; Cadenasso, M.L. Effects of the spatial configuration of trees on urban heat mitigation: A comparative study. Remote Sens. Environ. 2017, 195, 1–12. [Google Scholar] [CrossRef]
- Lin, W.; Zeng, C.; Lam, N.S.-N.; Liu, Z.; Tao, J.; Zhang, X.; Lyu, B.; Li, N.; Li, D.; Chen, Q. Study of the relationship between the spatial structure and thermal comfort of a pure forest with four distinct seasons at the microscale level. Urban For. Urban Green. 2021, 62, 127168. [Google Scholar] [CrossRef]
- Perini, K.; Magliocco, A. Effects of vegetation, urban density, building height, and atmospheric conditions on local temperatures and thermal comfort. Urban For. Urban Green. 2014, 13, 495–506. [Google Scholar] [CrossRef]
- Wang, Y.; Ni, Z.; Peng, Y.; Xia, B. Local variation of outdoor thermal comfort in different urban green spaces in Guangzhou, a subtropical city in South China. Urban For. Urban Green. 2018, 32, 99–112. [Google Scholar] [CrossRef]
- Li, W.; Liu, Y. The influence of visual and auditory environments in parks on visitors’ landscape preference, emotional state, and perceived restorativeness. Humanit. Soc. Sci. Commun. 2024, 11, 1491. [Google Scholar] [CrossRef]
- Zhang, N.; Zheng, X.; Wang, X. Assessment of aesthetic quality of urban landscapes by integrating objective and subjective factors: A case study for riparian landscapes. Front. Ecol. Evol. 2022, 9, 735905. [Google Scholar] [CrossRef]
- Ding, Y.; Qu, H.; Qu, H. A dose–response curve of restorative benefits of plant communities: Based on visual distances and yellow to green hue range. J. For. Res. 2026, 37, 2. [Google Scholar] [CrossRef]
- Kruiper, C.; Glenthøj, B.Y.; Oranje, B. Effects of clonidine on MMN and P3a amplitude in schizophrenia patients on stable medication. Neuropsychopharmacology 2019, 44, 1062–1067. [Google Scholar] [CrossRef]
- Gelman, A.; Hill, J. Data Analysis Using Regression and Multilevel/Hierarchical Models; Cambridge University Press: Cambridge, UK, 2007. [Google Scholar]
- Preacher, K.J.; Zyphur, M.J.; Zhang, Z. A general multilevel SEM framework for assessing multilevel mediation. Psychol. Methods 2010, 15, 209–233. [Google Scholar] [CrossRef]
- Bauer, D.J.; Preacher, K.J.; Gil, K.M. Conceptualizing and testing random indirect effects and moderated mediation in multilevel models: New procedures and recommendations. Psychol. Methods 2006, 11, 142–163. [Google Scholar] [CrossRef]
- Preacher, K.J.; Selig, J.P. Advantages of Monte Carlo confidence intervals for indirect effects. Commun. Methods Meas. 2012, 6, 77–98. [Google Scholar] [CrossRef]
- Zhou, S.; Gao, Y.; Zhang, Z.; Zhang, W.; Meng, H.; Zhang, T. Visual behaviour and cognitive preferences of users for constituent elements in forest landscape spaces. Forests 2022, 13, 47. [Google Scholar] [CrossRef]
- Zhang, Z.; Gao, Y.; Zhou, S.; Zhang, T.; Zhang, W.; Meng, H. Psychological cognitive factors affecting visual behavior and satisfaction preference for forest recreation space. Forests 2022, 13, 136. [Google Scholar] [CrossRef]
- Holmqvist, K.; Nyström, M.; Andersson, R.; Dewhurst, R.; Jarodzka, H.; Van de Weijer, J. Eye Tracking: A Comprehensive Guide to Methods and Measures; Oup: Oxford, UK, 2011. [Google Scholar]
- Basner, M.; Babisch, W.; Davis, A.; Brink, M.; Clark, C.; Janssen, S.; Stansfeld, S. Auditory and non-auditory effects of noise on health. Lancet 2014, 383, 1325–1332. [Google Scholar] [CrossRef]
- Fisher, R.A.; Fisher, R.A. The Design of Experiments; Springer: Berlin/Heidelberg, Germany, 1971. [Google Scholar]
- Zhang, Z.; Zhuo, K.; Wei, W.; Li, F.; Yin, J.; Xu, L. Emotional responses to the visual patterns of urban streets: Evidence from physiological and subjective indicators. Int. J. Environ. Res. Public Health 2021, 18, 9677. [Google Scholar] [CrossRef]
- Liu, Y.; Hu, M.; Zhao, B. Audio-visual interactive evaluation of the forest landscape based on eye-tracking experiments. Urban For. Urban Green. 2019, 46, 126476. [Google Scholar] [CrossRef]
- Oldfield, R.C. The assessment and analysis of handedness: The Edinburgh inventory. Neuropsychologia 1971, 9, 97–113. [Google Scholar] [CrossRef]
- Avery, T.E.; Burkhart, H.E. Forest Measurements; Waveland Press: Long Grove, IL, USA, 2015. [Google Scholar]
- Pretzsch, H.; Biber, P.; Uhl, E.; Dahlhausen, J.; Rötzer, T.; Caldentey, J.; Koike, T.; Van Con, T.; Chavanne, A.; Seifert, T. Crown size and growing space requirement of common tree species in urban centres, parks, and forests. Urban For. Urban Green. 2015, 14, 466–479. [Google Scholar] [CrossRef]
- Ellenberg, D.; Mueller-Dombois, D. Aims and Methods of Vegetation Ecology; Wiley: New York, NY, USA, 1974. [Google Scholar]
- Li, X.; Zhang, C.; Li, W.; Ricard, R.; Meng, Q.; Zhang, W. Assessing street-level urban greenery using Google Street View and a modified green view index. Urban For. Urban Green. 2015, 14, 675–685. [Google Scholar] [CrossRef]
- Kerimova, N.; Sivokhin, P.; Kodzokova, D.; Nikogosyan, K.; Klucharev, V. Visual processing of green zones in shared courtyards during renting decisions: An eye-tracking study. Urban For. Urban Green. 2022, 68, 127460. [Google Scholar] [CrossRef]
- Pan, J.; Sun, X.; Park, E.; Kaufmann, M.; Klimova, M.; McGuire, J.T.; Ling, S. The effects of emotional arousal on pupil size depend on luminance. Sci. Rep. 2024, 14, 21895. [Google Scholar] [CrossRef] [PubMed]
- Pan, J.; Klímová, M.; McGuire, J.T.; Ling, S. Arousal-based pupil modulation is dictated by luminance. Sci. Rep. 2022, 12, 1390. [Google Scholar] [CrossRef] [PubMed]
- Mathôt, S.; Vilotijević, A. Methods in cognitive pupillometry: Design, preprocessing, and statistical analysis. Behav. Res. Methods 2023, 55, 3055–3077. [Google Scholar] [CrossRef] [PubMed]
- Peli, E. Contrast in complex images. J. Opt. Soc. Am. A 1990, 7, 2032–2040. [Google Scholar] [CrossRef]
- Klem, G.H. The ten-twenty electrode system of the international federation. The international federation of clinical neurophysiology. Electroencephalogr. Clin. Neurophysiol. Suppl. 1999, 52, 3–6. [Google Scholar]
- Welch, P. The use of fast Fourier transform for the estimation of power spectra: A method based on time averaging over short, modified periodograms. IEEE Trans. Audio Electroacoust. 2003, 15, 70–73. [Google Scholar] [CrossRef]
- Delorme, A.; Makeig, S. EEGLAB: An open source toolbox for analysis of single-trial EEG dynamics including independent component analysis. J. Neurosci. Methods 2004, 134, 9–21. [Google Scholar] [CrossRef]
- Klimesch, W. EEG alpha and theta oscillations reflect cognitive and memory performance: A review and analysis. Brain Res. Rev. 1999, 29, 169–195. [Google Scholar] [CrossRef]
- Olejnik, S.; Algina, J. Generalized eta and omega squared statistics: Measures of effect size for some common research designs. Psychol. Methods 2003, 8, 434–447. [Google Scholar] [CrossRef]
- Barr, D.J.; Levy, R.; Scheepers, C.; Tily, H.J. Random effects structure for confirmatory hypothesis testing: Keep it maximal. J. Mem. Lang. 2013, 68, 255–278. [Google Scholar] [CrossRef]
- Bolker, B.M.; Brooks, M.E.; Clark, C.J.; Geange, S.W.; Poulsen, J.R.; Stevens, M.H.H.; White, J.-S.S. Generalized linear mixed models: A practical guide for ecology and evolution. Trends Ecol. Evol. 2009, 24, 127–135. [Google Scholar] [CrossRef] [PubMed]
- Zhou, X.; Cen, Q.; Qiu, H. Effects of urban waterfront park landscape elements on visual behavior and public preference: Evidence from eye-tracking experiments. Urban For. Urban Green. 2023, 82, 127889. [Google Scholar] [CrossRef]
- Hooyberg, A.; Michels, N.; Allaert, J.; Vandegehuchte, M.B.; Everaert, G.; De Henauw, S.; Roose, H. ‘Blue’coasts: Unravelling the perceived restorativeness of coastal environments and the influence of their components. Landsc. Urban Plan. 2022, 228, 104551. [Google Scholar] [CrossRef]
- Marselle, M.R.; Irvine, K.N.; Lorenzo-Arribas, A.; Warber, S.L. Does perceived restorativeness mediate the effects of perceived biodiversity and perceived naturalness on emotional well-being following group walks in nature? J. Environ. Psychol. 2016, 46, 217–232. [Google Scholar] [CrossRef]
- Hur, M.; Nasar, J.L.; Chun, B. Neighborhood satisfaction, physical and perceived naturalness and openness. J. Environ. Psychol. 2010, 30, 52–59. [Google Scholar] [CrossRef]
- Yang, S.; Dane, G.; van den Berg, P.; Arentze, T. Influences of cognitive appraisal and individual characteristics on citizens’ perception and emotion in urban environment: Model development and virtual reality experiment. J. Environ. Psychol. 2024, 96, 102309. [Google Scholar] [CrossRef]
- Henderson, J.M. Human gaze control during real-world scene perception. Trends Cogn. Sci. 2003, 7, 498–504. [Google Scholar] [CrossRef]
- Tatler, B.W.; Hayhoe, M.M.; Land, M.F.; Ballard, D.H. Eye guidance in natural vision: Reinterpreting salience. J. Vis. 2011, 11, 5. [Google Scholar] [CrossRef]
- Malcolm, B.R.; Foxe, J.J.; Butler, J.S.; De Sanctis, P. The aging brain shows less flexible reallocation of cognitive resources during dual-task walking: A mobile brain/body imaging (MoBI) study. Neuroimage 2015, 117, 230–242. [Google Scholar] [CrossRef]
- Yuan, Y.; Wang, L.; Wu, W.; Zhong, S.; Wang, M. Locally contextualized psycho-physiological wellbeing effects of environmental exposures: An experimental-based evidence. Urban For. Urban Green. 2023, 88, 128070. [Google Scholar] [CrossRef]
- Kim, S. Cognitive efficiency in VR simulated natural indoor environments examined through EEG and affective responses. Sci. Rep. 2025, 15, 33398. [Google Scholar] [CrossRef] [PubMed]
- Grassini, S. EEG for the Study of Environmental Neuroscience, Environmental Neuroscience; Springer: Berlin/Heidelberg, Germany, 2024; pp. 547–561. [Google Scholar] [CrossRef]
- Dormann, C.F.; Elith, J.; Bacher, S.; Buchmann, C.; Carl, G.; Carré, G.; Marquéz, J.R.G.; Gruber, B.; Lafourcade, B.; Leitão, P.J. Collinearity: A review of methods to deal with it and a simulation study evaluating their performance. Ecography 2013, 36, 27–46. [Google Scholar] [CrossRef]
- Graham, M.H. Confronting multicollinearity in ecological multiple regression. Ecology 2003, 84, 2809–2815. [Google Scholar] [CrossRef]
- Azen, R.; Budescu, D.V. The dominance analysis approach for comparing predictors in multiple regression. Psychol. Methods 2003, 8, 129–148. [Google Scholar] [CrossRef]
- Ulrich, R.S. View through a window may influence recovery from surgery. Science 1984, 224, 420–421. [Google Scholar] [CrossRef]
- Negi, S.; Mitra, R. Native language subtitling of educational videos: A multimodal analysis with eye tracking, EEG and self-reports. Br. J. Educ. Technol. 2022, 53, 1793–1816. [Google Scholar] [CrossRef]
- Bikomeye, J.C.; Beyer, A.M.; Kwarteng, J.L.; Beyer, K.M. Greenspace; inflammation; cardiovascular health, and cancer: A review and conceptual framework for greenspace in cardio-oncology research. Int. J. Environ. Res. Public Health 2022, 19, 2426. [Google Scholar] [CrossRef]











| Domain | Variables | Data Level and Source | Role in Analyses |
|---|---|---|---|
| Typology | Type (EC/PE/PG/LR/UC) | Stimulus-level (Site-assigned a priori) | Group (RQ1) Fixed (RQ2, RQ3) |
| Structural | CDen, DBH, CH, CBH, VS, CDW, GC, UH, GVI | Image-level (plot measures) | Describe (RQ1) Predict (RQ2, RQ3) |
| Outcomes | Eye-tracking, Affective, β/α | Trial-level (participant × image) | Endpoints |
| Controls | Trial order (z) | Trial-level | Covariate |
| Model | Fixed Effects (Added Sequentially) | n_obs | AIC | BIC |
|---|---|---|---|---|
| M0 | Intercept only | 3250 | 18,607.57 | 18,656.26 |
| M1 | M0 + Type | 3250 | 18,609.26 | 18,664.04 |
| M2 | M1 + Trial order + Mean luminance + RMS contrast | 3250 | 18,610.70 | 18,677.65 |
| Predictor | Estimate (B) | SE | 95% CI (Lower) | 95% CI (Upper) | z | p |
|---|---|---|---|---|---|---|
| Intercept | 1.244 | 0.169 | 0.914 | 1.575 | 7.38 | <0.001 |
| LR (vs. EC) | 0.163 | 0.250 | −0.326 | 0.653 | 0.65 | 0.513 |
| PE (vs. EC) | 0.253 | 0.245 | −0.227 | 0.734 | 1.03 | 0.302 |
| PG (vs. EC) | 0.203 | 0.235 | −0.258 | 0.663 | 0.86 | 0.388 |
| UC (vs. EC) | 0.043 | 0.238 | −0.424 | 0.510 | 0.18 | 0.858 |
| Trial order (z) | 0.066 | 0.081 | −0.092 | 0.225 | 0.82 | 0.412 |
| Mean luminance (z) | 0.129 | 0.105 | −0.078 | 0.335 | 1.22 | 0.221 |
| RMS contrast (z) | −0.005 | 0.101 | −0.204 | 0.193 | −0.05 | 0.957 |
| Outcome | Predictor | β | 95% CI | p |
|---|---|---|---|---|
| TFT | Type: LR vs. EC | 12.095 | [−336.273, 360.463] | 0.946 |
| TFT | Type: PE vs. EC | 45.866 | [−324.321, 416.053] | 0.808 |
| TFT | Type: PG vs. EC | −166.773 | [−499.691, 166.144] | 0.326 |
| TFT | Type: UC vs. EC | 209.473 | [−125.867, 544.813] | 0.221 |
| TFT | CDen (z) | 68.296 | [−69.066, 205.659] | 0.33 |
| TFT | Trial order (z) | −23.074 | [−134.01, 87.863] | 0.684 |
| AFT | Type: LR vs. EC | 68.331 | [10.293, 126.369] | 0.021 |
| AFT | Type: PE vs. EC | 18.582 | [−43.078, 80.241] | 0.555 |
| AFT | Type: PG vs. EC | 40.45 | [−14.995, 95.894] | 0.153 |
| AFT | Type: UC vs. EC | 67.701 | [10.224, 125.177] | 0.021 |
| AFT | CDen (z) | 10.075 | [−12.871, 33.02] | 0.389 |
| AFT | UH (z) | −3.643 | [−21.719, 14.433] | 0.693 |
| AFT | Trial order (z) | −5.959 | [−24.672, 12.755] | 0.533 |
| FC | Type: LR vs. EC | −0.719 | [−1.412, −0.025] | 0.042 |
| FC | Type: PE vs. EC | −0.123 | [−0.863, 0.616] | 0.744 |
| FC | Type: PG vs. EC | 0.097 | [−0.568, 0.762] | 0.775 |
| FC | Type: UC vs. EC | −0.104 | [−0.773, 0.565] | 0.761 |
| FC | CDen (z) | 0.143 | [−0.134, 0.42] | 0.312 |
| FC | Trial order (z) | −0.01 | [−0.035, 0.014] | 0.411 |
| SC | Type: LR vs. EC | −0.014 | [−0.072, 0.043] | 0.632 |
| SC | Type: PE vs. EC | −0.023 | [−0.084, 0.038] | 0.46 |
| SC | Type: PG vs. EC | −0.003 | [−0.058, 0.052] | 0.917 |
| SC | Type: UC vs. EC | 0.007 | [−0.049, 0.064] | 0.8 |
| SC | CDen (z) | −0.001 | [−0.024, 0.022] | 0.916 |
| SC | Trial order (z) | −0.079 | [−0.097, −0.061] | <0.001 |
| APD | Type: LR vs. EC | 11.261 | [−11.229, 33.75] | 0.326 |
| APD | Type: PE vs. EC | −14.939 | [−41.841, 11.964] | 0.276 |
| APD | Type: PG vs. EC | −2.428 | [−21.808, 16.952] | 0.806 |
| APD | Type: UC vs. EC | −7.486 | [−30.062, 15.091] | 0.516 |
| APD | DBH (z) | 4.613 | [−4.017, 13.242] | 0.295 |
| APD | Trial order (z) | −5.521 | [−12.093, 1.051] | 0.1 |
| APD | Mean luminance (z) | 1.899 | [−6.703, 10.501] | 0.665 |
| APD | RMS contrast (z) | −0.744 | [−9.039, 7.552] | 0.861 |
| β/α | Type: LR vs. EC | 0.229 | [−0.306, 0.764] | 0.402 |
| β/α | Type: PE vs. EC | 0.422 | [−0.159, 1.002] | 0.154 |
| β/α | Type: PG vs. EC | −0.006 | [−0.659, 0.646] | 0.986 |
| β/α | Type: UC vs. EC | −0.104 | [−0.906, 0.699] | 0.8 |
| β/α | VS (z) | 0.087 | [−0.241, 0.414] | 0.604 |
| β/α | GC (z) | −0.172 | [−0.61, 0.266] | 0.442 |
| β/α | CDW (z) | −0.148 | [−0.353, 0.056] | 0.156 |
| β/α | Trial order (z) | 0.064 | [−0.102, 0.23] | 0.449 |
| β/α | Mean luminance (z) | 0.158 | [−0.053, 0.368] | 0.142 |
| β/α | RMS contrast (z) | 0.024 | [−0.18, 0.228] | 0.815 |
| Outcome | Predictor | β | 95% CI | p |
|---|---|---|---|---|
| Relaxation | Type: LR vs. EC | 1.02 | [0.88, 1.15] | <0.001 |
| Type: PE vs. EC | 0.25 | [0.11, 0.39] | <0.001 | |
| Type: PG vs. EC | 0.26 | [0.09, 0.43] | 0.003 | |
| Type: UC vs. EC | 0.09 | [−0.13, 0.31] | 0.444 | |
| VS (z) | 0.17 | [0.08, 0.25] | <0.001 | |
| GC (z) | 0.02 | [−0.09, 0.13] | 0.730 | |
| Trial order (z) | −0.10 | [−0.15, −0.06] | <0.001 | |
| Pleasure | Type: LR vs. EC | 1.15 | [1.01, 1.28] | <0.001 |
| Type: PE vs. EC | 0.33 | [0.19, 0.47] | <0.001 | |
| Type: PG vs. EC | 0.34 | [0.17, 0.51] | <0.001 | |
| Type: UC vs. EC | 0.30 | [0.08, 0.52] | 0.007 | |
| VS (z) | 0.15 | [0.07, 0.24] | <0.001 | |
| GC (z) | 0.11 | [−0.00, 0.22] | 0.058 | |
| Trial order (z) | −0.09 | [−0.13, −0.04] | <0.001 | |
| Preference | Type: LR vs. EC | 1.29 | [1.14, 1.45] | <0.001 |
| Type: PE vs. EC | 0.29 | [0.13, 0.45] | <0.001 | |
| Type: PG vs. EC | 0.37 | [0.18, 0.57] | <0.001 | |
| Type: UC vs. EC | 0.39 | [0.14, 0.64] | 0.002 | |
| VS (z) | 0.11 | [0.02, 0.21] | 0.023 | |
| GC (z) | 0.20 | [0.08, 0.33] | 0.002 | |
| Trial order (z) | −0.14 | [−0.19, −0.09] | <0.001 |
| Predictor (X) | Outcome (Y) | Indirect Effect, ab | 95% CI for ab | 95% CI Includes 0 |
|---|---|---|---|---|
| VS | Relaxation | 6.0 × 10−5 | [−1.34 × 10−3, 1.59 × 10−3] | Yes |
| VS | Pleasure | 1.0 × 10−5 | [−1.46 × 10−3, 1.49 × 10−3] | Yes |
| VS | Preference | 2.0 × 10−4 | [−1.31 × 10−3, 2.13 × 10−3] | Yes |
| GC | Relaxation | 6.0 × 10−5 | [−1.58 × 10−3, 1.85 × 10−3] | Yes |
| GC | Pleasure | 2.0 × 10−5 | [−1.70 × 10−3, 1.73 × 10−3] | Yes |
| GC | Preference | 1.7 × 10−4 | [−1.61 × 10−3, 2.43 × 10−3] | Yes |
Disclaimer/Publisher’s Note: The statements, opinions and data contained in all publications are solely those of the individual author(s) and contributor(s) and not of MDPI and/or the editor(s). MDPI and/or the editor(s) disclaim responsibility for any injury to people or property resulting from any ideas, methods, instructions or products referred to in the content. |
© 2026 by the authors. Licensee MDPI, Basel, Switzerland. This article is an open access article distributed under the terms and conditions of the Creative Commons Attribution (CC BY) license.
Share and Cite
Li, H.; Du, X.; Chen, Q.; Jiang, C.; Lv, B.; Ma, C.; Shu, B. Affective Restoration in Bamboo Green Spaces: A Controlled Photo-Based Experiment Linking Place Structure, Visual Attention, and Electroencephalography (EEG) Responses. Horticulturae 2026, 12, 284. https://doi.org/10.3390/horticulturae12030284
Li H, Du X, Chen Q, Jiang C, Lv B, Ma C, Shu B. Affective Restoration in Bamboo Green Spaces: A Controlled Photo-Based Experiment Linking Place Structure, Visual Attention, and Electroencephalography (EEG) Responses. Horticulturae. 2026; 12(3):284. https://doi.org/10.3390/horticulturae12030284
Chicago/Turabian StyleLi, Hao, Xinyu Du, Qibing Chen, Chenmingyang Jiang, Bingyang Lv, Cong Ma, and Bowen Shu. 2026. "Affective Restoration in Bamboo Green Spaces: A Controlled Photo-Based Experiment Linking Place Structure, Visual Attention, and Electroencephalography (EEG) Responses" Horticulturae 12, no. 3: 284. https://doi.org/10.3390/horticulturae12030284
APA StyleLi, H., Du, X., Chen, Q., Jiang, C., Lv, B., Ma, C., & Shu, B. (2026). Affective Restoration in Bamboo Green Spaces: A Controlled Photo-Based Experiment Linking Place Structure, Visual Attention, and Electroencephalography (EEG) Responses. Horticulturae, 12(3), 284. https://doi.org/10.3390/horticulturae12030284

