Effect of Exogenous 2,4-Epibrassinolide (EBR) on Color Change in Tomato Fruit
Abstract
1. Introduction
2. Materials and Methods
2.1. Determination of Tomato Fruit Color Parameters
2.2. Determination of Chlorophyll Content in Tomato Fruit
2.3. Determination of Pigment Content of Tomato Fruits
2.4. Qrt-Pcr
2.5. Data Analysis
3. Results
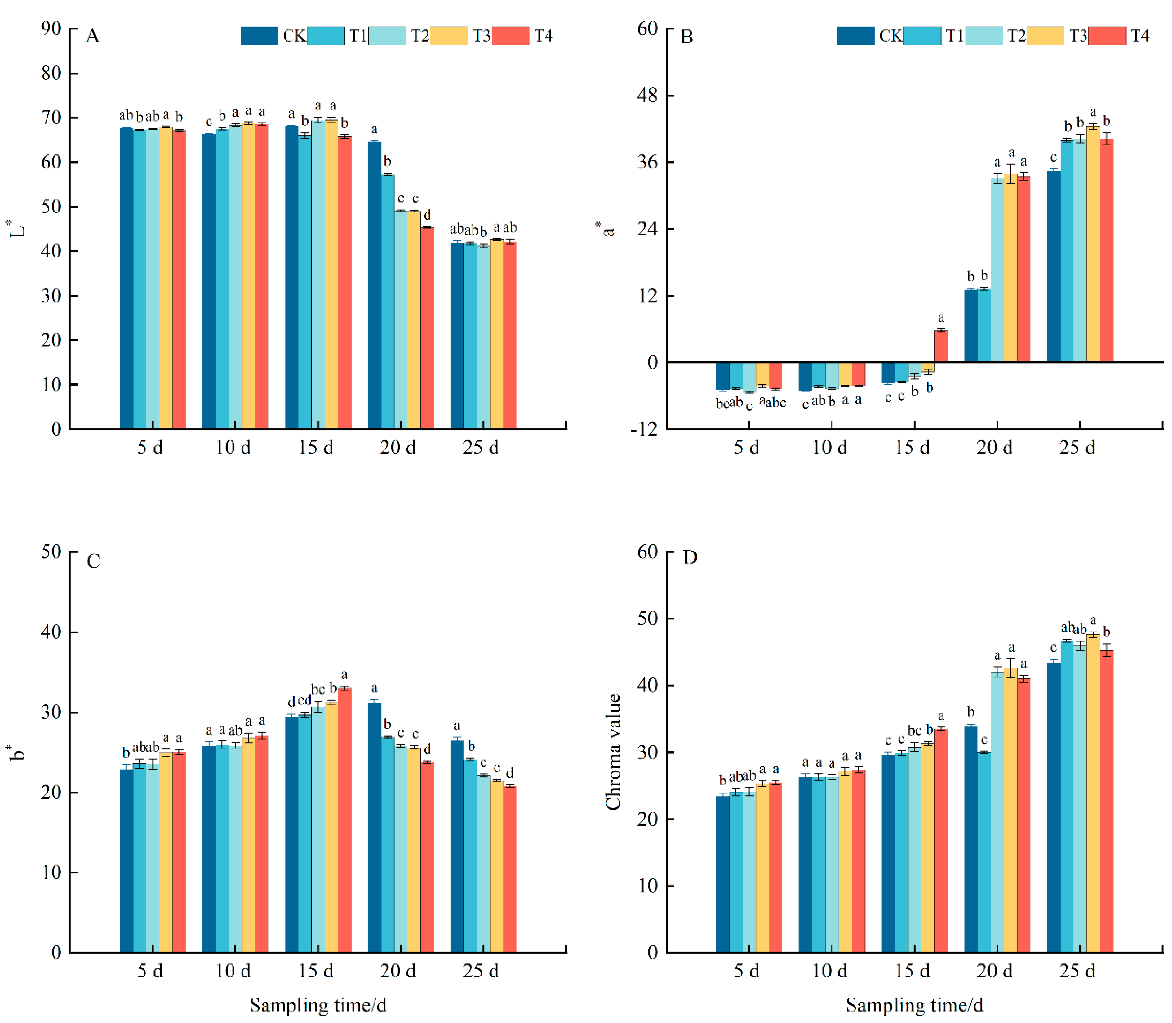
3.1. Effect of Exogenous Application of Different Concentrations of Ebr on the Colors of Tomato Fruits
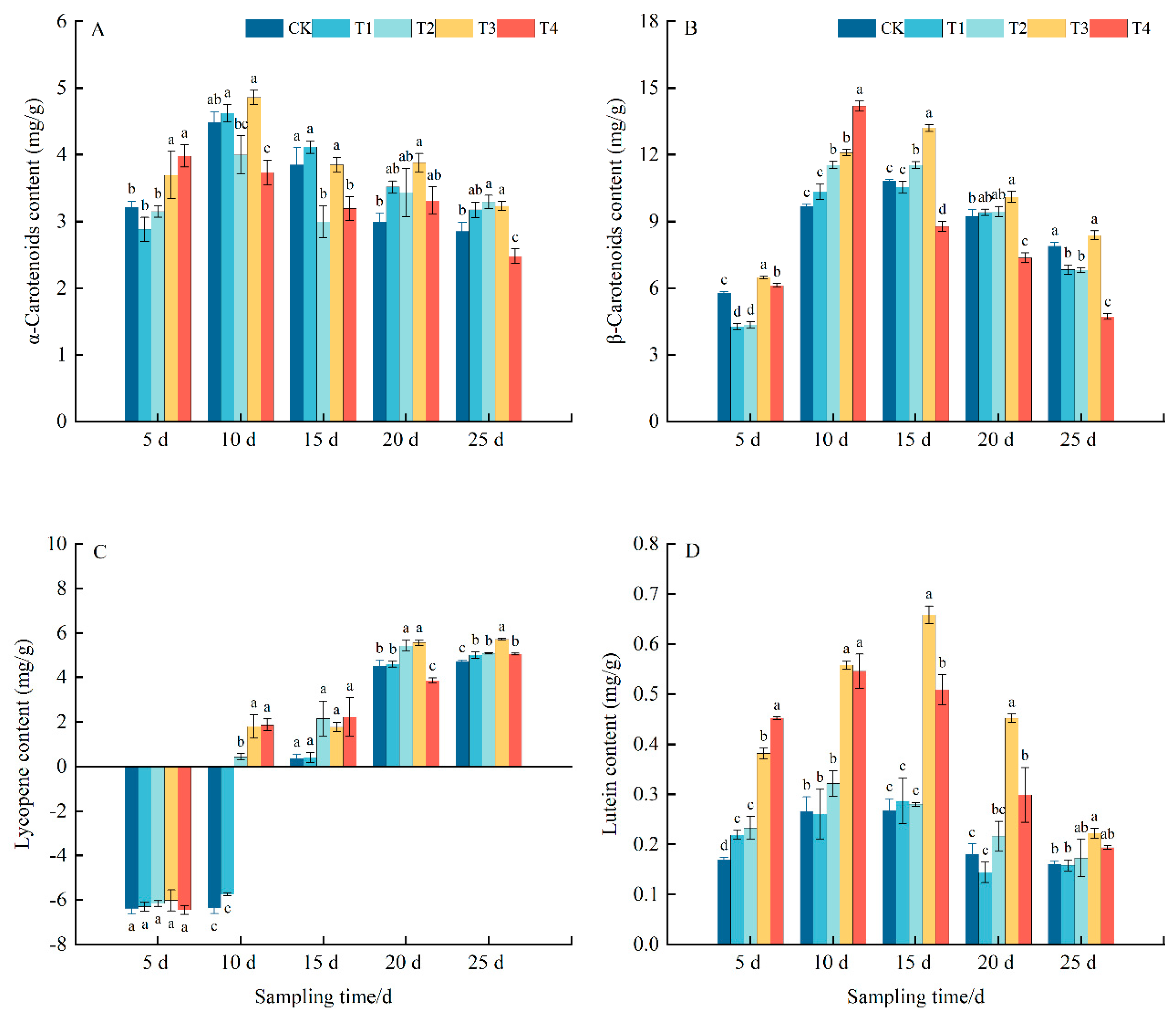
3.2. Effect of Exogenous Application of Different Concentrations of Ebr on the Carotenoid Contents of Tomato Fruits
3.3. Effect of Exogenous Application of Different Concentrations of Ebr on Chlorophyll Contents of Tomato Fruits
3.4. Effect of Exogenous Ebr and Brz on the Color of Tomato Fruits
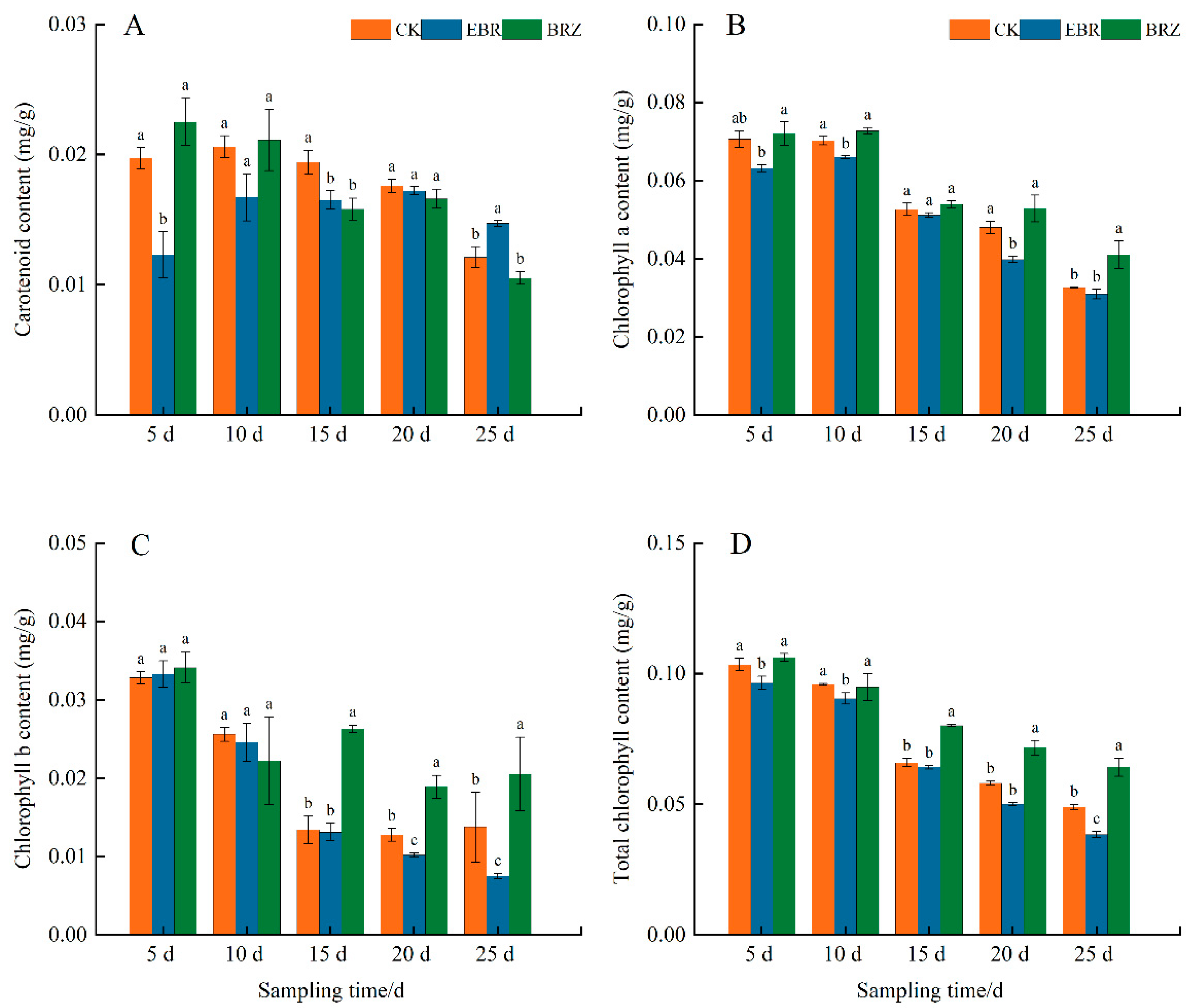
3.5. Effect of Exogenous Ebr and Brz on Chlorophyll Contents of Tomato Fruits
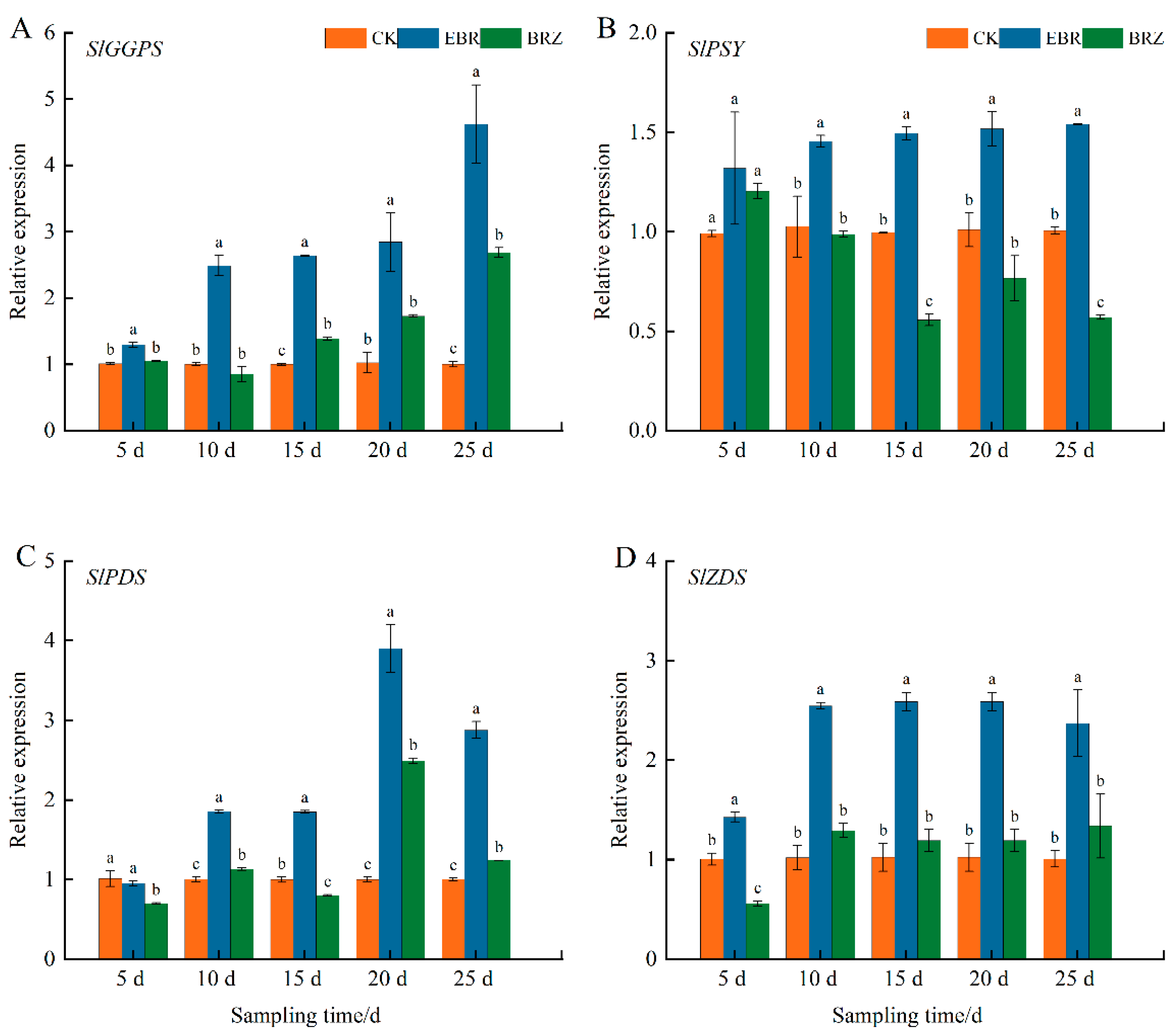
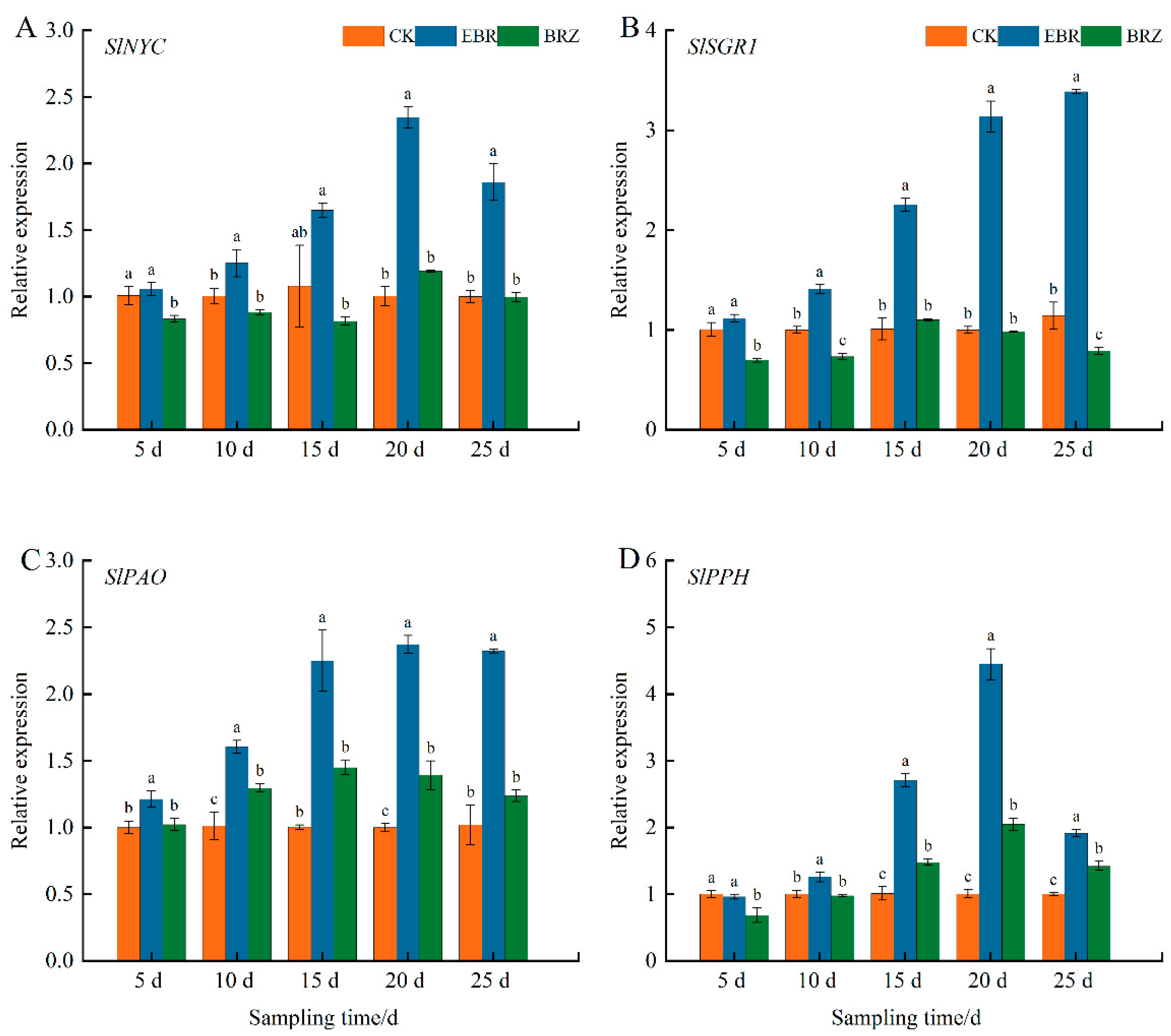
3.6. Effect of Exogenous Ebr on the Expression of Chlorophyll Degradation-Related Genes in Tomato Fruits
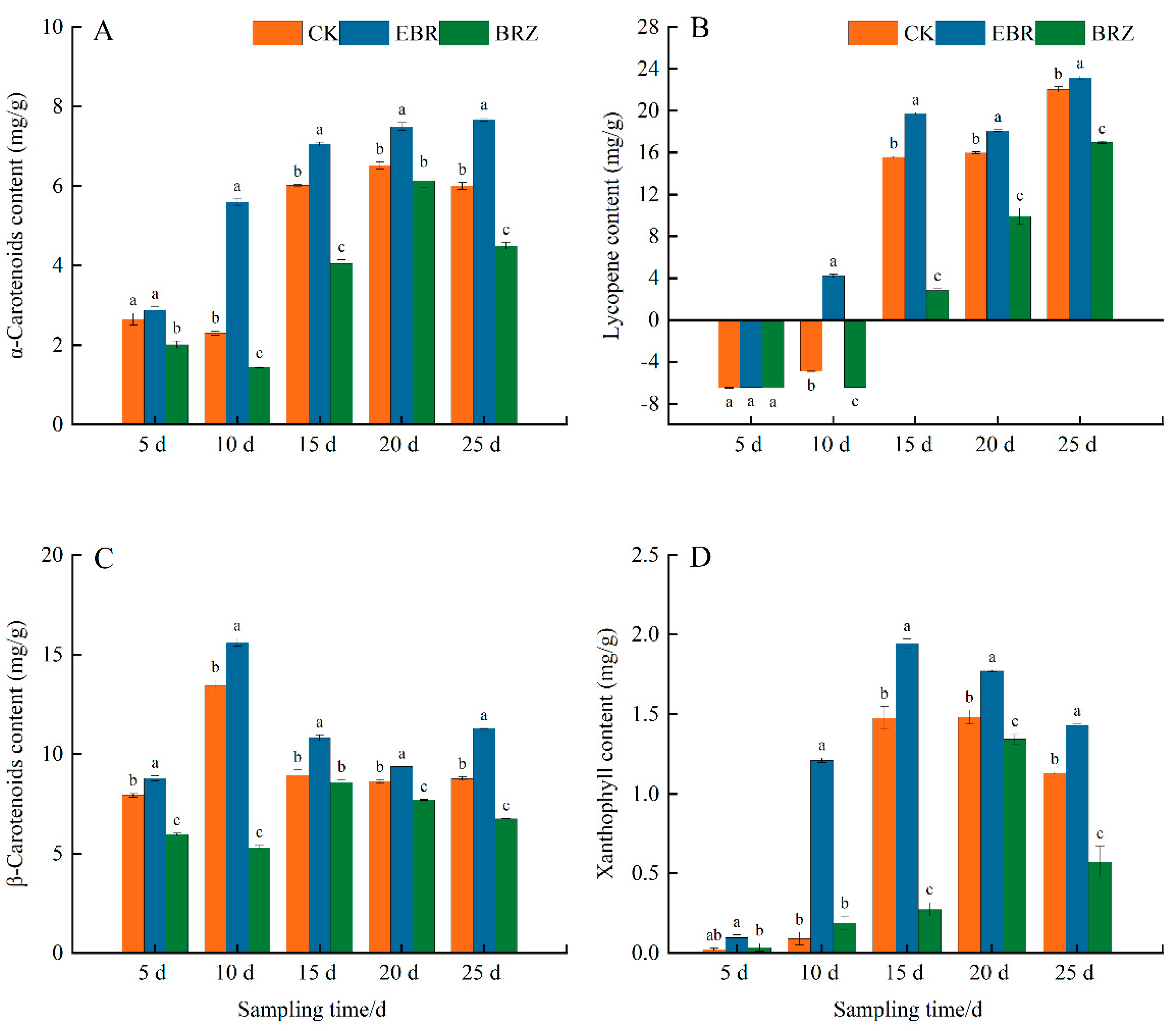
3.7. Effect of Exogenous Ebr and Brz on Carotenoid Content of Tomato Fruit
3.8. Effect of Exogenous Ebr on the Expression of Carotenoid Metabolism-Related Genes in Tomato Fruits
3.9. Correlation Between Exogenous Ebr, Brz and Substances Regulating Color Change in Fruits
4. Discussion
5. Conclusions
Author Contributions
Funding
Data Availability Statement
Conflicts of Interest
References
- Zhu, F.; Wen, W.; Cheng, Y.; Fernie, A.R. The metabolic changes that effect fruit quality during tomato fruit ripening. Mol. Hortic. 2022, 2, 2. [Google Scholar] [CrossRef]
- Yang, C.; Chen, J.; Zhang, Y.; Huang, J.; Wang, H.; Chen, J. Non-targeted metabolomics reveals the taste variations during Baccaurea ramiflora Lour. fruit maturation. Front. Plant Sci. 2024, 15, 1420231. [Google Scholar] [CrossRef]
- Li, X.; Wang, X.; Zhang, Y.; Zhang, A.; You, C.X. Regulation of fleshy fruit ripening: From transcription factors to epigenetic modifications. Hortic. Res. 2022, 9, uhac013. [Google Scholar] [CrossRef]
- Jia, K.; Wang, W.; Zhang, Q.; Jia, W. Cell Wall Integrity Signaling in Fruit Ripening. Int. J. Mol. Sci. 2023, 24, 4054. [Google Scholar] [CrossRef]
- Yahia, E.M.; Ornelas-Paz, J.D.J.; Victoria-Campos, C.I. Changes in color, vitamin C, carotenoids and tocopherols during ripening and senescence of tomato fruit. J. Hortic. Postharvest Res. 2024, 7, 335–344. [Google Scholar] [CrossRef]
- Horvath-Mezofi, Z.; Baranyai, L.; Nguyen, L.L.P.; Dam, M.S.; Ha, N.T.T.; Gob, M.; Sasvar, Z.; Csurka, T.; Zsom, T.; Hitka, G. Evaluation of Color and Pigment Changes in Tomato after 1-Methylcyclopropene (1-MCP) Treatment. Sensors 2024, 24, 2426. [Google Scholar] [CrossRef] [PubMed]
- Dorairaj, D.; Sharma, S.; Mawale, K.S.; Puthusseri, B.; Parvatam, G.; Shetty, N.P. Determining the function of ripening associated genes and biochemical changes during tomato (Solanum lycopersicum L.) fruit maturation. Biotechnol. Lett. 2025, 47, 22. [Google Scholar] [CrossRef]
- Sakuraba, Y.; Schelbert, S.; Park, S.Y.; Han, S.H.; Lee, B.D.; Andres, C.B.; Kessler, F.; Hortensteiner, S.; Paek, N.C. STAY-GREEN and chlorophyll catabolic enzymes interact at light-harvesting complex II for chlorophyll detoxification during leaf senescence in Arabidopsis. Plant Cell 2012, 24, 507–518. [Google Scholar] [CrossRef]
- Chen, H.; Ji, H.; Huang, W.; Zhang, Z.; Zhu, K.; Zhu, S.; Chai, L.; Ye, J.; Deng, X. Transcription factor CrWRKY42 coregulates chlorophyll degradation and carotenoid biosynthesis in citrus. Plant Physiol. 2024, 195, 728–744. [Google Scholar] [CrossRef] [PubMed]
- Shimoda, Y.; Ito, H.; Tanaka, A. Arabidopsis STAY-GREEN, Mendel’s Green Cotyledon Gene, Encodes Magnesium-Dechelatase. Plant Cell 2016, 28, 2147–2160. [Google Scholar] [CrossRef] [PubMed]
- Schelbert, S.; Aubry, S.; Burla, B.; Agne, B.; Kessler, F.; Krupinska, K.; Hortensteiner, S. Pheophytin pheophorbide hydrolase (pheophytinase) is involved in chlorophyll breakdown during leaf senescence in Arabidopsis. Plant Cell 2009, 21, 767–785. [Google Scholar] [CrossRef] [PubMed]
- Hörtensteiner, S.; Hauenstein, M.; Kräutler, B. Chlorophyll breakdown—Regulation, biochemistry and phyllobilins as its products. In Metabolism, Structure and Function of Plant Tetrapyrroles: Introduction, Microbial and Eukaryotic Chlorophyll Synthesis and Catabolism; Elsevier: Amsterdam, The Netherlands, 2019; pp. 213–271. [Google Scholar]
- Luo, Z.; Zhang, J.; Li, J.; Yang, C.; Wang, T.; Ouyang, B.; Li, H.; Giovannoni, J.; Ye, Z. A STAY-GREEN protein SlSGR1 regulates lycopene and beta-carotene accumulation by interacting directly with SlPSY1 during ripening processes in tomato. New Phytol. 2013, 198, 442–452. [Google Scholar] [CrossRef]
- Sun, T.; Tadmor, Y.; Li, L. Pathways for Carotenoid Biosynthesis, Degradation, and Storage. Methods Mol. Biol. 2020, 2083, 3–23. [Google Scholar] [CrossRef]
- Zhou, X.; Rao, S.; Wrightstone, E.; Sun, T.; Lui, A.C.W.; Welsch, R.; Li, L. Phytoene Synthase: The Key Rate-Limiting Enzyme of Carotenoid Biosynthesis in Plants. Front. Plant Sci. 2022, 13, 884720. [Google Scholar] [CrossRef]
- Quian-Ulloa, R.; Stange, C. Carotenoid Biosynthesis and Plastid Development in Plants: The Role of Light. Int. J. Mol. Sci. 2021, 22, 1184. [Google Scholar] [CrossRef] [PubMed]
- Misawa, N. Carotenoids: Biosynthetic and Biofunctional Approaches; Springer: Berlin/Heidelberg, Germany, 2021. [Google Scholar]
- Clouse, S.D.; Sasse, J.M. BRASSINOSTEROIDS: Essential Regulators of Plant Growth and Development. Annu. Rev. Plant Biol. 1998, 49, 427–451. [Google Scholar] [CrossRef]
- Manghwar, H.; Hussain, A.; Ali, Q.; Liu, F. Brassinosteroids (BRs) Role in Plant Development and Coping with Different Stresses. Int. J. Mol. Sci. 2022, 23, 1012. [Google Scholar] [CrossRef]
- Nolan, T.M.; Vukasinovic, N.; Liu, D.; Russinova, E.; Yin, Y. Brassinosteroids: Multidimensional Regulators of Plant Growth, Development, and Stress Responses. Plant Cell 2020, 32, 295–318. [Google Scholar] [CrossRef]
- Li, S.M.; Zheng, H.X.; Lin, L.; Wang, F.; Sui, N. Roles of brassinosteroids in plant growth and abiotic stress response. Plant Growth Regul. 2021, 93, 29–38. [Google Scholar] [CrossRef]
- Hafeez, M.B.; Zahra, N.; Zahra, K.; Raza, A.; Batool, A.; Shaukat, K.; Khan, S. Brassinosteroids: Molecular and physiological responses in plant growth and abiotic stresses. Plant Stress 2021, 2, 100029. [Google Scholar] [CrossRef]
- Zhang, Y.; Xiao, Y.; Zhang, Y.; Dong, Y.; Liu, Y.; Liu, L.; Wan, S.; He, J.; Yu, Y. Accumulation of Galactinol and ABA Is Involved in Exogenous EBR-Induced Drought Tolerance in Tea Plants. J. Agric. Food Chem. 2022, 70, 13391–13403. [Google Scholar] [CrossRef]
- Meng, F.; Liu, H.; Hu, S.; Jia, C.; Zhang, M.; Li, S.; Li, Y.; Lin, J.; Jian, Y.; Wang, M.; et al. The brassinosteroid signaling component SlBZR1 promotes tomato fruit ripening and carotenoid accumulation. J. Integr. Plant Biol. 2023, 65, 1794–1813. [Google Scholar] [CrossRef]
- Guo, Y.F.; Shan, W.; Liang, S.M.; Wu, C.J.; Wei, W.; Chen, J.Y.; Lu, W.J.; Kuang, J.F. MaBZR1/2 act as transcriptional repressors of ethylene biosynthetic genes in banana fruit. Physiol. Plant 2019, 165, 555–568. [Google Scholar] [CrossRef]
- Zhu, Z.; Zhang, Z.Q.; Qin, G.Z.; Tian, S.P. Effects of brassinosteroids on postharvest disease and senescence of jujube fruit in storage. Postharvest Biol. Technol. 2010, 56, 50–55. [Google Scholar] [CrossRef]
- Zaharah, S.; Singh, Z. Role of brassinosteroids in mango fruit ripening. In Proceedings of the XXVIII International Horticultural Congress on Science and Horticulture for People (IHC2010): International Symposium on 934, Lisbon, Portugal, 22–27 August 2010. [Google Scholar]
- He, Y.; Li, J.; Ban, Q.; Han, S.; Rao, J. Role of Brassinosteroids in Persimmon (Diospyros kaki L.) Fruit Ripening. J. Agric. Food Chem. 2018, 66, 2637–2644. [Google Scholar] [CrossRef]
- Chazaux, M.; Schiphorst, C.; Lazzari, G.; Caffarri, S. Precise estimation of chlorophyll a, b and carotenoid content by deconvolution of the absorption spectrum and new simultaneous equations for Chl determination. Plant J. 2022, 109, 1630–1648. [Google Scholar] [CrossRef] [PubMed]
- Jin, N.; Jin, L.; Wang, S.; Meng, X.; Ma, X.; He, X.; Zhang, G.; Luo, S.; Lyu, J.; Yu, J. A Comprehensive Evaluation of Effects on Water-Level Deficits on Tomato Polyphenol Composition, Nutritional Quality and Antioxidant Capacity. Antioxidants 2022, 11, 1585. [Google Scholar] [CrossRef] [PubMed]
- Hussain, M.A.; Fahad, S.; Sharif, R.; Jan, M.F.; Mujtaba, M.; Ali, Q.; Ahmad, A.; Ahmad, H.; Amin, N.; Ajayo, B.S.; et al. Multifunctional role of brassinosteroid and its analogues in plants. Plant Growth Regul. 2020, 92, 141–156. [Google Scholar] [CrossRef]
- Khan, R.; Ma, X.; Hussain, Q.; Asim, M.; Iqbal, A.; Ren, X.; Shah, S.; Chen, K.; Shi, Y. Application of 2,4-Epibrassinolide Improves Drought Tolerance in Tobacco through Physiological and Biochemical Mechanisms. Biology 2022, 11, 1192. [Google Scholar] [CrossRef]
- Kim, E.J.; Russinova, E. Brassinosteroid signalling. Curr. Biol. 2020, 30, R294–R298. [Google Scholar] [CrossRef]
- Vergara, A.; Torrealba, M.; Alcalde, J.A.; Perez-Donoso, A.G. Commercial brassinosteroid increases the concentration of anthocyanin in red tablegrape cultivars (Vitis vinifera L.). Aust. J. Grape Wine Res. 2020, 26, 427–433. [Google Scholar] [CrossRef]
- Mandava, B.; Wang, Y. Effect of brassinosteroids on cherry maturation, firmness and fruit quality. Acta Hortic. 2016, 1139, 451–458. [Google Scholar] [CrossRef]
- Zahedipour-Sheshglani, P.; Asghari, M. Impact of foliar spray with 24-epibrassinolide on yield, quality, ripening physiology and productivity of the strawberry. Sci. Hortic. 2020, 268, 109376. [Google Scholar] [CrossRef]
- Vegh, R.; Sipiczki, G.; Csoka, M. Investigating the Antioxidant and Color Properties of Bee Pollens of Various Plant Sources. Chem. Biodivers. 2023, 20, e202300126. [Google Scholar] [CrossRef] [PubMed]
- López-Rodríguez, D.; Micó-Vicent, B.; Jordán-Núñez, J.; Belda, A. Extraction of natural pigments from Mediterranean environments plants. Ind. Crops Prod. 2024, 221, 119352. [Google Scholar] [CrossRef]
- Tosun, I.; Ustun, N.S.; Tekguler, B. Physical and chemical changes during ripening of blackberry fruits. Sci. Agric. 2008, 65, 87–90. [Google Scholar] [CrossRef]
- Zhu, T.; Tan, W.R.; Deng, X.G.; Zheng, T.; Zhang, D.W.; Lin, H.H. Effects of brassinosteroids on quality attributes and ethylene synthesis in postharvest tomato fruit. Postharvest Biol. Technol. 2015, 100, 196–204. [Google Scholar] [CrossRef]
- Bajguz, A.; Orczyk, W.; Golebiewska, A.; Chmur, M.; Piotrowska-Niczyporuk, A. Occurrence of brassinosteroids and influence of 24-epibrassinolide with brassinazole on their content in the leaves and roots of Hordeum vulgare L. cv. Golden Promise. Planta 2019, 249, 123–137. [Google Scholar] [CrossRef] [PubMed]
- Genesio, L.; Bassi, R.; Miglietta, F. Plants with less chlorophyll: A global change perspective. Glob. Chang. Biol. 2020, 27, 959–967. [Google Scholar] [CrossRef] [PubMed]
- Jiao, B.; Meng, Q.; Lv, W. Roles of stay-green (SGR) homologs during chlorophyll degradation in green plants. Bot. Stud. 2020, 61, 25. [Google Scholar] [CrossRef]
- López Camelo, A.F.; Gómez, P.A. Comparison of color indexes for tomato ripening. Hortic. Bras. 2004, 22, 534–537. [Google Scholar] [CrossRef]
- Jiroutova, P.; Oklestkova, J.; Strnad, M. Crosstalk between Brassinosteroids and Ethylene during Plant Growth and under Abiotic Stress Conditions. Int. J. Mol. Sci. 2018, 19, 3283. [Google Scholar] [CrossRef]
- Cai, J.H.; Luo, F.; Zhao, Y.B.; Zhou, Q.; Wei, B.D.; Zhou, X.; Ji, S.J. 24-Epibrassinolide treatment regulates broccoli yellowing during shelf life. Postharvest Biol. Technol. 2019, 154, 87–95. [Google Scholar] [CrossRef]
- Kahlon, P.S.; Seta, S.M.; Zander, G.; Scheikl, D.; Huckelhoven, R.; Joosten, M.; Stam, R. Population studies of the wild tomato species Solanum chilense reveal geographically structured major gene-mediated pathogen resistance. Proc. Biol. Sci. 2020, 287, 20202723. [Google Scholar] [CrossRef] [PubMed]
- Wei, L.; Lu, L.; Shang, Y.; Ran, X.; Liu, Y.; Fang, Y. Can SPAD Values and CIE L*a*b* Scales Predict Chlorophyll and Carotenoid Concentrations in Leaves and Diagnose the Growth Potential of Trees? An Empirical Study of Four Tree Species. Horticulturae 2024, 10, 548. [Google Scholar] [CrossRef]
- Kapoor, L.; Simkin, A.J.; George Priya Doss, C.; Siva, R. Fruit ripening: Dynamics and integrated analysis of carotenoids and anthocyanins. BMC Plant Biol. 2022, 22, 27. [Google Scholar] [CrossRef]
- Hu, S.; Liu, L.; Li, S.; Shao, Z.; Meng, F.; Liu, H.; Duan, W.; Liang, D.; Zhu, C.; Xu, T.; et al. Regulation of fruit ripening by the brassinosteroid biosynthetic gene SlCYP90B3 via an ethylene-dependent pathway in tomato. Hortic. Res. 2020, 7, 163. [Google Scholar] [CrossRef] [PubMed]
- Amsarajan, A.; Lingakumar, K. Effect of 24-Epibrassinollide on the Morphological and Biochemical Constitutions Vigna unguiculata (L.) Seedlings. Ind. J. Sci. Res. Technol. 2015, 3, 35–39. [Google Scholar]
- Zhang, C.; Liang, Q.; Wang, Y.; Liang, S.; Huang, Z.; Li, H.; Escalona, V.H.; Yao, X.; Cheng, W.; Chen, Z.; et al. BoaBZR1.1 mediates brassinosteroid-induced carotenoid biosynthesis in Chinese kale. Hortic. Res. 2024, 11, uhae104. [Google Scholar] [CrossRef]
- Yang, W.; Xu, H.; Wang, F.; He, W.; Li, D.; Guo, Q.; Bao, Y.; Zhang, Z. Influence of exogenous 24-epibrassinolide on improving carotenoid content, antioxidant capacity and gene expression in germinated maize seeds. J. Sci. Food Agric. 2024, 105, 798–806. [Google Scholar] [CrossRef]
- Chai, Y.M.; Zhang, Q.; Tian, L.; Li, C.L.; Xing, Y.; Qin, L.; Shen, Y.Y. Brassinosteroid is involved in strawberry fruit ripening. Plant Growth Regul. 2013, 69, 63–69. [Google Scholar] [CrossRef]
- Chen, X.L.; Lv, R.; Zhang, Y.; Mo, F.L.; Meng, F.Y.; Cheng, M.Z.; Huang, X.M.; Qi, H.A.; Wang, A.X. Identification of the NCED gene family in tomato (Solanum lycopersicum) and functional analysis of SlNCED2 in response to drought stress. Sci. Hortic. 2024, 330, 113087. [Google Scholar] [CrossRef]
- Zhang, Y.; Jin, J.; Zhu, S.; Sun, Q.; Zhang, Y.; Xie, Z.; Ye, J.; Deng, X. Citrus β-carotene hydroxylase 2 (BCH2) participates in xanthophyll synthesis by catalyzing the hydroxylation of β-carotene and compensates for BCH1 in citrus carotenoid metabolism. Hortic. Res. 2023, 10, uhac290. [Google Scholar] [CrossRef] [PubMed]










| Gene Name | Primer Sequence (5′-3′) | Amplicon Size (bp) | GC (%) | TM (°C) |
|---|---|---|---|---|
| PDS-F | AAGGCGCTGTCTTATCAGGAAA | 22 | 45.45 | 59 |
| PDS-R | TAAACTACGCTTGCTTCCGACA | 22 | 45.45 | 59.06 |
| PSY1-F | CAAATGGGACAAGTTTCATGGA | 22 | 40.91 | 54.32 |
| PSY1-R | TTCCTATGCCTCGATGAATCAA | 22 | 40.91 | 56.52 |
| ZDS-F | ACCGTACAACTACGCTACAATGG | 23 | 47.83 | 58.39 |
| ZDS-R | CATCTGGCGTATAGAGGAGATTG | 23 | 47.83 | 58.75 |
| NYC-F | AGAGGCAGATCGACTCCGTA | 20 | 55 | 58.87 |
| NYC-R | CTCCGTAACTGGGCTGAAAG | 20 | 55 | 57.04 |
| PAO-F | TGGATTAGCATACATTCTACACGAA | 25 | 36 | 57.3 |
| PAO-R | TTGTGTTTTGTGCTGTTTCTGA | 22 | 36.36 | 54.79 |
| PPH-F | CCCATGATGAAGTCCCAGAG | 20 | 55 | 55.5 |
| PPH-R | GGGAGAGGCTTTCCATGTTT | 20 | 50 | 54.87 |
| SGR-F | AAAATGGGACCATCCAACAA | 20 | 40 | 51.38 |
| SGR-R | GCTGCTTCCACAAACCCTAT | 20 | 50 | 55.52 |
| GGPS-F | GACAGCATCTGAGTCCGTCA | 20 | 55 | 57.57 |
| GGPS-R | CTTGGCCAGGACAGAGTAGC | 20 | 60 | 58.51 |
| Actin-F | AGAACTATGAATTGCCTGATGGAC | 24 | 41.67 | 57.28 |
| Actin-R | TGAGCACAATGTTACCGTAGAGG | 23 | 47.83 | 58.66 |
Disclaimer/Publisher’s Note: The statements, opinions and data contained in all publications are solely those of the individual author(s) and contributor(s) and not of MDPI and/or the editor(s). MDPI and/or the editor(s) disclaim responsibility for any injury to people or property resulting from any ideas, methods, instructions or products referred to in the content. |
© 2026 by the authors. Licensee MDPI, Basel, Switzerland. This article is an open access article distributed under the terms and conditions of the Creative Commons Attribution (CC BY) license.
Share and Cite
Li, L.; Yu, J.; Luo, S.; Zhang, G.; Lyu, J.; Liu, Z.; Wang, Y.; Cai, H.; Mu, T.; Zhang, R. Effect of Exogenous 2,4-Epibrassinolide (EBR) on Color Change in Tomato Fruit. Horticulturae 2026, 12, 254. https://doi.org/10.3390/horticulturae12020254
Li L, Yu J, Luo S, Zhang G, Lyu J, Liu Z, Wang Y, Cai H, Mu T, Zhang R. Effect of Exogenous 2,4-Epibrassinolide (EBR) on Color Change in Tomato Fruit. Horticulturae. 2026; 12(2):254. https://doi.org/10.3390/horticulturae12020254
Chicago/Turabian StyleLi, Long, Jihua Yu, Shilei Luo, Guobin Zhang, Jian Lyu, Zeci Liu, Yan Wang, Hong Cai, Tingting Mu, and Rongrong Zhang. 2026. "Effect of Exogenous 2,4-Epibrassinolide (EBR) on Color Change in Tomato Fruit" Horticulturae 12, no. 2: 254. https://doi.org/10.3390/horticulturae12020254
APA StyleLi, L., Yu, J., Luo, S., Zhang, G., Lyu, J., Liu, Z., Wang, Y., Cai, H., Mu, T., & Zhang, R. (2026). Effect of Exogenous 2,4-Epibrassinolide (EBR) on Color Change in Tomato Fruit. Horticulturae, 12(2), 254. https://doi.org/10.3390/horticulturae12020254
