Calibration and Validation of VegSyst-CH Model to Manage Water and Nitrogen for Open-Field Lettuce in North China
Abstract
1. Introduction
2. Materials and Methods
2.1. Experiment Site
2.2. Crop
2.3. Climate Data Collection
2.4. Calibration and Validation of the VegSyst Model
2.4.1. Crop Growth Parameter Calibration
- (1)
- PAR VegSyst simulates the fraction of intercepted photosynthetically active radiation (fi-PAR) from thermal time, which is estimated from the average of daily maximum and minimum air temperatures following the methodology described by [19]. Daily intercepted PAR (PARi) was calculated from daily values of fi-PAR and the integral of daily PAR which was obtained from the product of the integral of daily solar radiation. The detailed procedures and equations are listed in Table 2.
- (2)
- RUE The original VegSyst-Outdoors and VegSyst-CH models calculate dry matter production (DMP, g m−2) for each day (i) as the product of PARi (MJ m−2) and radiation use efficiency (RUE):
- (3)
- CTT Cumulative thermal time (CTT) is the accumulated value of temperature (daily average temperature values) up to a given day, obtained from the CAMPBELL portable microclimate automatic weather station.
2.4.2. N Parameter Calibration
2.4.3. Water Parameter Calibration
- (1)
- Crop evapotranspiration (ETc) Soil water storage dynamics were continuously monitored using the time-domain reflectometry (TDR) system installed with the experimental meteorological station. This approach follows the methodology of [27,28], where TDR measurements were used in combination with the soil water balance principle to estimate field crop evapotranspiration (ETc). Daily crop evapotranspiration (ETc) was calculated using the water balance equation:
- (2)
- Reference evapotranspiration (ETo) and crop coefficient (kc) Reference evapotranspiration (ETo) was estimated from meteorological data using the FAO Penman–Monteith equation [31]. The daily crop coefficient (kc) values were then derived as:
2.5. Statistical Evaluation
3. Results
3.1. VegSyst-CH Model Calibration
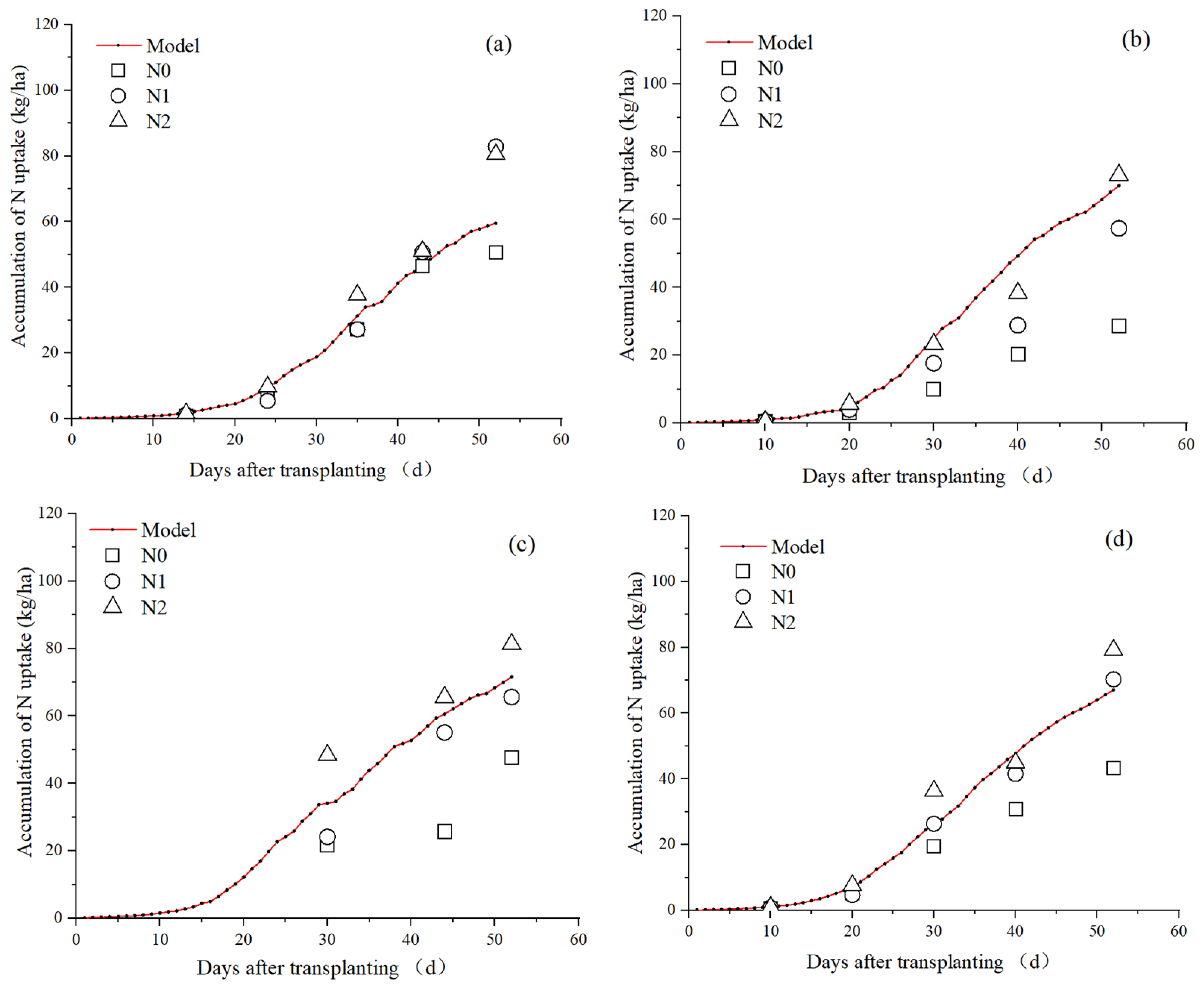
3.1.1. Dry Matter Production and N Uptake
3.1.2. N Dilution Curve
3.1.3. ETc and kc
3.2. Validation of the VegSyst-CH Model
3.2.1. Validation of DMP
3.2.2. Validation of Crop N Uptake
3.2.3. Crop Evapotranspiration (ETc) Validation
4. Discussion
4.1. Local Paramaterization of the VegSyst Model and Regional Applicability
4.2. Model Improvement and Potential Implications
5. Conclusions
Author Contributions
Funding
Data Availability Statement
Conflicts of Interest
References
- Fan, D.; He, W.; Jiang, R.; Song, D.; Zou, G.; Chen, Y.; Cao, B.; Wang, J.; Wang, X. Enhanced-Efficiency Fertilizers Impact on Nitrogen Use Efficiency and Nitrous Oxide Emissions from an Open-Field Vegetable System in North China. Plants 2023, 12, 81. [Google Scholar] [CrossRef]
- Wu, L.; Zhang, W.; Chen, X.; Cui, Z.; Fan, M.; Chen, Q.; Zhang, F. Nitrogen Fertilizer Input and Production Efficiency in Chinese Farmlands. Chin. Soil Fertil. 2016, 76–83. (In Chinese) [Google Scholar] [CrossRef]
- Huang, S.; Tang, J.; Li, C.; Zhang, H.; Yuan, S. Reducing potential of chemical fertilizers and scientific fertilization countermeasure in vegetable production in China. J. Plant Nutr. Fertil. 2017, 23, 1480–1493. [Google Scholar] [CrossRef]
- Liu, Y.; Li, Y. Revitalize the World’s Countryside. Nature 2017, 548, 275–277. [Google Scholar] [CrossRef] [PubMed]
- Xing, Y.; Wang, X. Precise Application of Water and Fertilizer to Crops: Challenges and Opportunities. Front. Plant Sci. 2024, 15, 1444560. [Google Scholar] [CrossRef]
- Zhang, X.; Davidson, E.A.; Mauzerall, D.L.; Searchinger, T.D.; Dumas, P.; Shen, Y. Managing Nitrogen for Sustainable Development. Nature 2015, 528, 51–59. [Google Scholar] [CrossRef]
- Ye, Z.; Tan, X.; Dai, M.; Chen, X.; Zhong, Y.; Zhang, Y.; Ruan, Y.; Kong, D. A Hyperspectral Deep Learning Attention Model for Predicting Lettuce Chlorophyll Content. Plant Methods 2024, 20, 22. [Google Scholar] [CrossRef]
- Wang, D.; Guo, L.; Zheng, L.; Zhang, Y.; Yang, R.; Li, M.; Ma, F.; Zhang, X.; Li, Y. Effects of Nitrogen Fertilizer and Water Management Practices on Nitrogen Leaching from a Typical Open Field Used for Vegetable Planting in Northern China. Agric. Water Manag. 2019, 213, 913–921. [Google Scholar] [CrossRef]
- Cai, S. Assessment of Agricultural Drought Based on Multi-Source Remote Sensing Data in a Major Grain Producing Area of Northwest China. Agric. Water Manag. 2023, 278, 108142. [Google Scholar] [CrossRef]
- Jasechko, S.; Seybold, H.; Perrone, D.; Fan, Y.; Shamsudduha, M.; Taylor, R.G.; Fallatah, O.; Kirchner, J.W. Rapid Groundwater Decline and Some Cases of Recovery in Aquifers Globally. Nature 2024, 625, 715–721. [Google Scholar] [CrossRef]
- Ran, J. Quantifying Water Productivity and Nitrogen Uptake of Maize under Water and Nitrogen Stress in Arid Northwest China. Agric. Water Manag. 2023, 285, 108370. [Google Scholar] [CrossRef]
- Surve, V.; Patel, H.H. Sensor Based Irrigation Management in Crop Production: A Review. Annu. Res. Rev. Biol. 2024, 39, 1–4. [Google Scholar] [CrossRef]
- Jägermeyr, J.; Müller, C.; Ruane, A.C.; Elliott, J.; Balkovic, J.; Castillo, O.; Faye, B.; Foster, I.; Folberth, C.; Franke, J.A. Climate Impacts on Global Agriculture Emerge Earlier in New Generation of Climate and Crop Models. Nat. Food 2021, 2, 873–885. [Google Scholar] [CrossRef]
- Tolomio, M.; Casa, R. Dynamic Crop Models and Remote Sensing Irrigation Decision Support Systems: A Review of Water Stress Concepts for Improved Estimation of Water Requirements. Remote Sens. 2020, 12, 3945. [Google Scholar] [CrossRef]
- Gavasso-Rita, Y.L.; Papalexiou, S.M.; Li, Y.; Elshorbagy, A.; Li, Z.; Schuster-Wallace, C. Crop Models and Their Use in Assessing Crop Production and Food Security: A Review. Food Energy Secur. 2024, 13, e503. [Google Scholar] [CrossRef]
- Giménez, C.; Gallardo, M.; Martínez-Gaitán, C.; Stöckle, C.O.; Thompson, R.B.; Granados, M.R. VegSyst, a Simulation Model of Daily Crop Growth, Nitrogen Uptake and Evapotranspiration for Pepper Crops for Use in an on-Farm Decision Support System. Irrig. Sci. 2013, 31, 465–477. [Google Scholar] [CrossRef]
- Cahn, M.; Smith, R.; Melton, F. Field Evaluations of the CropManage Decision Support Tool for Improving Irrigation and Nutrient Use of Cool Season Vegetables in California. Agric. Water Manag. 2023, 287, 108401. [Google Scholar] [CrossRef]
- Gallardo, M.; Elia, A.; Thompson, R.B. Decision Support Systems and Models for Aiding Irrigation and Nutrient Management of Vegetable Crops. Agric. Water Manag. 2020, 240, 106209. [Google Scholar] [CrossRef]
- Giménez, C.; Thompson, R.B.; Prieto, M.H.; Suárez-Rey, E.; Padilla, F.M.; Gallardo, M. Adaptation of the VegSyst Model to Outdoor Conditions for Leafy Vegetables and Processing Tomato. Agric. Syst. 2019, 171, 51–64. [Google Scholar] [CrossRef]
- Argento, S.; Garcia, G.; Treccarichi, S. Sustainable and Low-Input Techniques in Mediterranean Greenhouse Vegetable Production. Horticulturae 2024, 10, 997. [Google Scholar] [CrossRef]
- Sun, Y.; Chen, S.; Feng, P.; Chen, Q.; Hu, K. Assessing the Fates of Water and Nitrogen on an Open-Field Intensive Vegetable System under an Expert-N System with EU-Rotate_N Model in North China Plain. Plants 2024, 13, 2150. [Google Scholar] [CrossRef]
- Bao, S.D. Soil and Agricultural Chemistry Analysis; China Agriculture Press: Beijing, China, 2000. (In Chinese) [Google Scholar]
- Gallardo, M.; Fernández, M.D.; Giménez, C.; Padilla, F.M.; Thompson, R.B. Revised VegSyst Model to Calculate Dry Matter Production, Critical N Uptake and ETc of Several Vegetable Species Grown in Mediterranean Greenhouses. Agric. Syst. 2016, 146, 30–43. [Google Scholar] [CrossRef]
- Gallardo, M.; Giménez, C.; Martínez-Gaitán, C.; Stöckle, C.O.; Thompson, R.B.; Granados, M.R. Evaluation of the VegSyst Model with Muskmelon to Simulate Crop Growth, Nitrogen Uptake and Evapotranspiration. Agric. Water Manag. 2011, 101, 107–117. [Google Scholar] [CrossRef]
- Gallardo, M.; Thompson, R.B.; Giménez, C.; Padilla, F.M.; Stöckle, C.O. Prototype Decision Support System Based on the VegSyst Simulation Model to Calculate Crop N and Water Requirements for Tomato under Plastic Cover. Irrig. Sci. 2014, 32, 237–253. [Google Scholar] [CrossRef]
- Liang, H.; Gao, S.; Hu, K. Global Sensitivity and Uncertainty Analysis of the Dynamic Simulation of Crop N Uptake by Using Various N Dilution Curve Approaches. Eur. J. Agron. 2020, 116, 126044. [Google Scholar] [CrossRef]
- Yi, J.; Li, H.; Zhao, Y.; Shao, M.; Zhang, H.; Liu, M. Assessing Soil Water Balance to Optimize Irrigation Schedules of Flood-Irrigated Maize Fields with Different Cultivation Histories in the Arid Region. Agric. Water Manag. 2022, 265, 107543. [Google Scholar] [CrossRef]
- Zhao, L.; Zhao, W. Water Balance and Migration for Maize in an Oasis Farmland of Northwest China. Chin. Sci. Bull. 2014, 59, 4829–4837. [Google Scholar] [CrossRef]
- Liu, M.; Wu, X.; Yang, H. Evapotranspiration Characteristics and Soil Water Balance of Alfalfa Grasslands under Regulated Deficit Irrigation in the Inland Arid Area of Midwestern China. Agric. Water Manag. 2022, 260, 107316. [Google Scholar] [CrossRef]
- Marek, G.W.; Evett, S.; Marek, T.H.; Porter, D.; Schwartz, R.C. Field Evaluation of Conventional and Downhole TDR Soil Water Sensors for Irrigation Scheduling in a Clay Loam Soil. Appl. Eng. Agric. 2023, 39, 495–507. [Google Scholar] [CrossRef]
- Allen, R.G.; Pereira, L.S.; Raes, D.; Smith, M. (Eds.) Crop Evapotranspiration-Guidelines for Computing Crop Water Requirements; FAO irrigation and drainage paper; Food and Agriculture Organization of the United Nations: Rome, Italy, 1998; ISBN 978-92-5-104219-9. [Google Scholar]
- Beccafichi, C.; Benincasa, P.; Guiducci, M.; Tei, F. Effect of Crop Density on Growth and Light Interception in Greenhouse Lettuce. Acta Hortic. 2003, 614, 507–513. [Google Scholar] [CrossRef]
- Bhattacharya, A. Radiation-Use Efficiency under Different Climatic Conditions. In Changing Climate and Resource Use Efficiency in Plants; Elsevier: Amsterdam, The Netherlands, 2019; pp. 51–109. ISBN 978-0-12-816209-5. [Google Scholar]
- Coudron, W.; Gobin, A.; Boeckaert, C.; De Cuypere, T.; Lootens, P.; Pollet, S.; Verheyen, K.; De Frenne, P.; De Swaef, T. Data Collection Design for Calibration of Crop Models Using Practical Identifiability Analysis. Comput. Electron. Agric. 2021, 190, 106457. [Google Scholar] [CrossRef]
- Hunt, L.A.; Boote, K.J. Data for Model Operation, Calibration, and Evaluation. In Understanding Options for Agricultural Production; Tsuji, G.Y., Hoogenboom, G., Thornton, P.K., Eds.; Systems Approaches for Sustainable Agricultural Development; Springer: Dordrecht, The Netherlands, 1998; Volume 7, pp. 9–39. ISBN 978-90-481-4940-7. [Google Scholar]
- Liu, A.; Li, J.; Miao, Z.; Cao, Z.; Zhao, B.; Liu, X.; Yao, T.; Yang, B.; Sun, Y.; Yin, X. The Meteorological Service for the Water-Needling and Water-Saving Irrigation of Vegetable Crops in the Flatland Area of Zhangjiakou. In Proceedings of the 27th Annual Meeting of the Chinese Meteorological Society (Session on “Application Research of Climate Resources”), Beijing, China, 21 October 2010. [Google Scholar]
- Stavrakoudis, D.; Katsantonis, D.; Kadoglidou, K.; Kalaitzidis, A.; Gitas, I.Z. Estimating Rice Agronomic Traits Using Drone-Collected Multispectral Imagery. Remote Sens. 2019, 11, 545. [Google Scholar] [CrossRef]
- Basso, B.; Antle, J. Digital Agriculture to Design Sustainable Agricultural Systems. Nat. Sustain. 2020, 3, 254–256. [Google Scholar] [CrossRef]










| Symbol | Units | Description |
|---|---|---|
| Tbase | (°C) | Base temperature |
| fi-PAR | Fraction of photosynthetically active radiation (PAR) intercepted by the crop at day i | |
| f0 | Fraction of PAR intercepted by the crop at transplanting or emergence | |
| ff | Maximum fraction of PAR intercepted by the crop | |
| RTTi | Relative thermal time at day i | |
| RTT0.5 | Relative thermal time at which fi-PAR = 0.5 × (f0 + ff) | |
| CTTi | (°-day) | Cumulative thermal time at day i |
| CTTf | (°-day) | Cumulative thermal time at maximum PAR interception |
| CTTmat | (°-day) | Cumulative thermal time at maturity (end of the crop) |
| fi-SR | Fraction of solar radiation (SR) intercepted by the crop at day i | |
| ff-SR | Maximum fraction of SR intercepted by the crop | |
| α | Equation fitting coefficient (shape coefficient) | |
| DMPi | (g m−2) | Above-ground dry matter production at day i |
| RUE | (g MJ−1 PAR) | Radiation use efficiency |
| kcini | Initial crop coefficient | |
| kcmax | Maximum crop coefficient | |
| kcend | Crop coefficient at maturity (end of the crop) | |
| a | N content in dry biomass when DMP = 1 t ha−1 | |
| b | Equation fitting coefficient | |
| PARi | (MJ m−2 d−1) | Daily PAR intercepted by the crop at day i |
| SRi | (MJ m−2 d−1) | Daily integral of solar radiation at day i |
| ETc | (mm d−1) | Daily crop evapotranspiration |
| Ncrit | (%) | Critical N content |
| Equation | Instructions |
|---|---|
| PARi = 0.45 × SRi × fi-PAR | Daily incident PAR was assumed to be 45% of measured solar radiation (SRi). |
| RUE = DMPi/PARi | RUE values were determined as the slope of the linear relationship between experimental values of intercepted PAR and DMP during the cropping season. |
| ETc = EToi × kci | ETo was estimated using the FAO Penman–Monteith equation. |
| fi-SR = 1 − exp [ln(1 − fi-PAR)/1.4] | 1.4 is the ratio between the extinction coefficients of PAR and solar radiation-based |
| kci = 1 + (kcmax − 1) × (fi-SR/ff-SR) | - |
| Nc = a × DMPb | a and b are species-specific coefficients fitted from field data |
| Crop Growth Parameters | Values | Critical N Curve Parameters | Values | Key Water-Use Parameters | Values |
|---|---|---|---|---|---|
| CTT0 (°-day) | 0 | a | 3.2219 | kcini | 0.41 |
| CTTmat (°-day) | 655 | b | −0.394 | kcmax | 1.01 |
| RUE (g MJ−1 PAR) | 1.94 | kcend | 0.97 |
| Year | Treatment | n | Fitted Equation | R2 | RMSE | NRMSE (%) |
|---|---|---|---|---|---|---|
| N0 | 6 | y = 0.980x − 0.392 | 0.789 * | 0.445 | 21.6 | |
| 2021 | N1 | 6 | y = 0.898x + 0.222 | 0.898 ** | 0.108 | 5.3 |
| N2 | 6 | y = 0.827x + 0.659 | 0.887 ** | 0.357 | 17.5 | |
| All | 18 | y = 0.901x + 0.163 | 0.882 ** | 0.335 | 16.3 | |
| N0 | 4 | y = 0.791x − 0.231 | 0.765 * | 0.853 | 31.7 | |
| 2022 | N1 | 4 | y = 0.926x + 0.159 | 0.948 ** | 0.159 | 5.9 |
| N2 | 4 | y = 1.004x + 0.109 | 0.960 ** | 0.122 | 4.5 | |
| All | 12 | y = 0.907x + 0.012 | 0.865 ** | 0.506 | 18.8 | |
| N0 | 6 | y = 0.962x − 0.533 | 0.888 ** | 0.657 | 22.2 | |
| 2023 | N1 | 6 | y = 1.041x − 0.124 | 0.959 ** | 0.057 | 1.9 |
| N2 | 6 | y = 1.055x − 0.141 | 0.924 ** | 0.112 | 3.8 | |
| All | 18 | y = 1.019x − 0.266 | 0.921 ** | 0.386 | 13.1 | |
| Multi-year | N0 | 6 | y = 1.055x − 0.141 | 0.902 ** | 0.647 | 25.2 |
| N1 | 6 | y = 0.955x + 0.104 | 0.989 ** | 0.063 | 2.5 | |
| N2 | 6 | y = 0.968x + 0.227 | 0.970 ** | 0.152 | 5.9 | |
| All | 18 | y = 0.942x − 0.015 | 0.899 ** | 0.385 | 15.0 |
| Year | Treatment | n | Fitted Equation | R2 | RMSE | NRMSE (%) |
|---|---|---|---|---|---|---|
| N0 | 9 | y = 0.734x + 7.814 | 0.848 ** | 13.68 | 25.9 | |
| 2021 | N1 | 9 | y = 1.688x − 32.419 | 0.838 ** | 14.88 | 28.2 |
| N2 | 9 | y = 1.556x − 30.093 | 0.883 ** | 11.36 | 21.5 | |
| All | 27 | y = 1.292x − 18.233 | 0.788 ** | 13.38 | 25.4 | |
| N0 | 9 | y = 0.423x + 2.678 | 0.909 ** | 24.79 | 40.3 | |
| 2022 | N1 | 9 | y = 0.789x + 3.924 | 0.918 ** | 8.48 | 20.6 |
| N2 | 9 | y = 0.940x + 6.262 | 0.899 ** | 8.06 | 19.6 | |
| All | 27 | y = 0.717x + 4.288 | 0.806 ** | 15.82 | 28.5 | |
| N0 | 9 | y = 0.515x + 9.159 | 0.851 ** | 19.55 | 29.4 | |
| 2023 | N1 | 9 | y = 0.424x + 17.803 | 0.832 ** | 17.40 | 25.1 |
| N2 | 9 | y = 0.658x + 32.190 | 0.811 ** | 18.05 | 26.4 | |
| All | 27 | y = 0.532x + 19.717 | 0.743 * | 18.35 | 27.0 | |
| Multi-year | N0 | 9 | y = 0.515x + 12.254 | 0.828 ** | 15.23 | 34.2 |
| N1 | 9 | y = 0.755x + 13.707 | 0.954 ** | 9.43 | 11.6 | |
| N2 | 9 | y = 0.872x + 19.251 | 0.863 ** | 14.49 | 26.6 | |
| All | 27 | y = 0.714x + 15.070 | 0.872 ** | 15.17 | 18.2 |
| Year | n | Fitted Equation | R2 | RMSE | NRMSE (%) |
|---|---|---|---|---|---|
| 2021 | 5 | y = 0.928x − 0.251 | 0.951 ** | 0.642 | 15.1 |
| 2022 | 4 | y = 0.979x − 0.146 | 0.957 * | 0.407 | 8.9 |
| 2023 | 4 | y = 0.923x + 0.401 | 0.923 ** | 0.461 | 9.8 |
| Multi-year | 13 | y = 0.981x − 0.142 | 0.907 *** | 0.524 | 11.7 |
Disclaimer/Publisher’s Note: The statements, opinions and data contained in all publications are solely those of the individual author(s) and contributor(s) and not of MDPI and/or the editor(s). MDPI and/or the editor(s) disclaim responsibility for any injury to people or property resulting from any ideas, methods, instructions or products referred to in the content. |
© 2026 by the authors. Licensee MDPI, Basel, Switzerland. This article is an open access article distributed under the terms and conditions of the Creative Commons Attribution (CC BY) license.
Share and Cite
Lian, B.; Wu, Z.; Yang, J.; Thompson, R.; Gallardo, M. Calibration and Validation of VegSyst-CH Model to Manage Water and Nitrogen for Open-Field Lettuce in North China. Horticulturae 2026, 12, 251. https://doi.org/10.3390/horticulturae12020251
Lian B, Wu Z, Yang J, Thompson R, Gallardo M. Calibration and Validation of VegSyst-CH Model to Manage Water and Nitrogen for Open-Field Lettuce in North China. Horticulturae. 2026; 12(2):251. https://doi.org/10.3390/horticulturae12020251
Chicago/Turabian StyleLian, Bingrui, Zhengdong Wu, Jungang Yang, Rodney Thompson, and Marisa Gallardo. 2026. "Calibration and Validation of VegSyst-CH Model to Manage Water and Nitrogen for Open-Field Lettuce in North China" Horticulturae 12, no. 2: 251. https://doi.org/10.3390/horticulturae12020251
APA StyleLian, B., Wu, Z., Yang, J., Thompson, R., & Gallardo, M. (2026). Calibration and Validation of VegSyst-CH Model to Manage Water and Nitrogen for Open-Field Lettuce in North China. Horticulturae, 12(2), 251. https://doi.org/10.3390/horticulturae12020251

