Peach Yield Prediction Models: The Importance of Climate Variables and Different Machine Learning
Abstract
1. Introduction
2. Materials and Methods
2.1. Data Set
2.2. Soil Sampling and Analysis
2.3. Leaf Sampling and Mineral Analysis
2.4. Climatic Variables
2.5. Determination of Peach Yield and Trunk Diameter
2.6. Statistical Analyses
2.6.1. Statistical Analyses of the Data
2.6.2. Development of Prediction Models
3. Results
3.1. Performance of Predictive Models
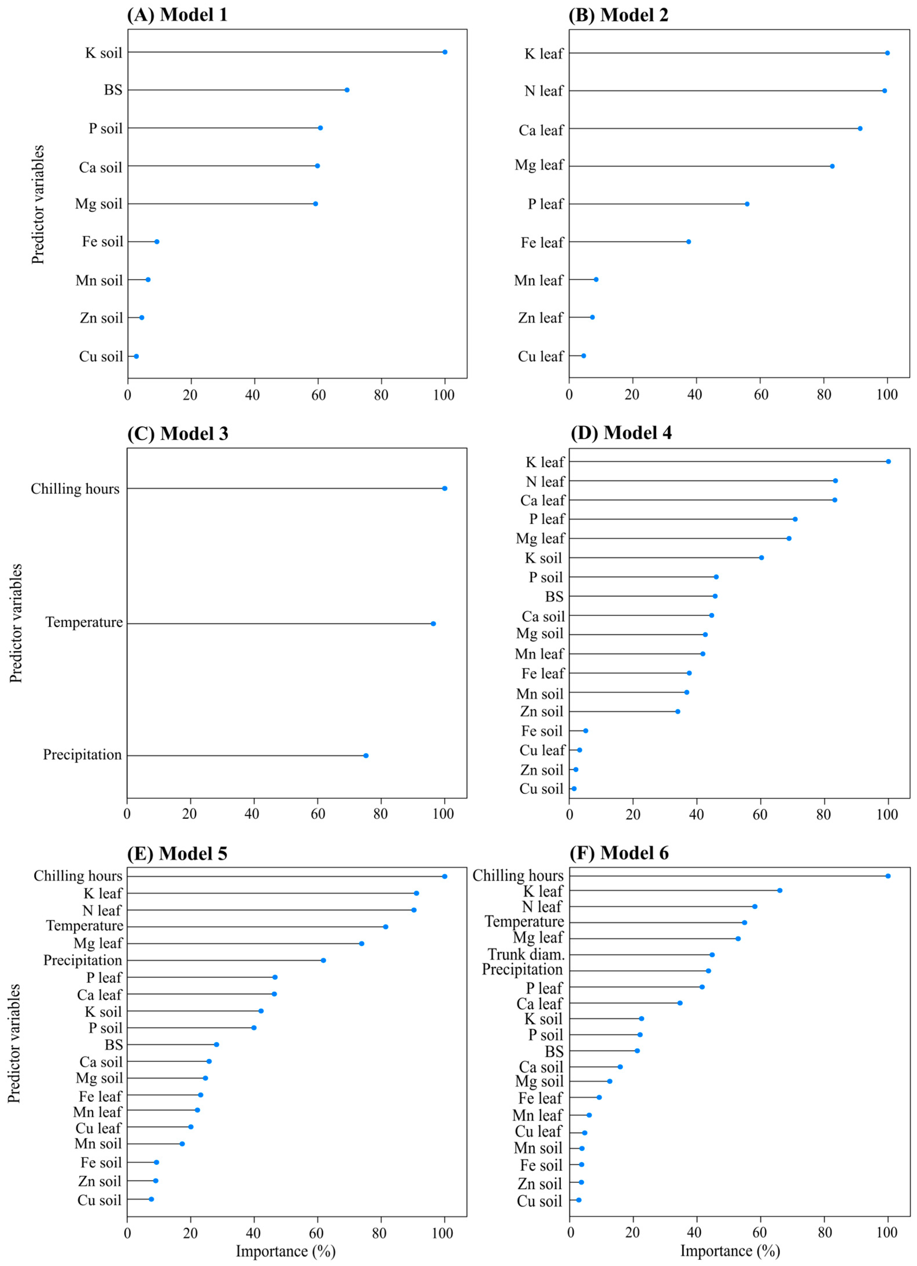
3.2. Contribution of Predictor Variables to Peach Yield
4. Discussion
5. Conclusions
Author Contributions
Funding
Data Availability Statement
Acknowledgments
Conflicts of Interest
References
- FAO. Production Quantities of Peaches and Nectarines by Country; FAO: Rome, Italy, 2019; Available online: http://www.fao.org/faostat/en/#data/QC/visualize (accessed on 10 April 2024).
- FNP. Pêssego. FNP Consultoria & Comércio; Agrianual edition; Agribuisiness Intelligence: São Paulo, Brazil, 2018; Available online: http://www.agrianual.com.br/ (accessed on 10 April 2024).
- Quaggio, J.A.; Raij, B.V. Frutíferas. In Recomendação de Adubação e Calagem Para o Estado São Paulo—Boletim Técnico 100, 1st ed.; Raij, B.V., Cantarella, H., Quaggio, J.A., Furlani, A.M.C., Eds.; Instituto Agronômico: Campinas, Brazil, 1997; pp. 121–125. [Google Scholar]
- Marschner, H. Marschner’s Mineral Nutrition of Higher Plants, 3rd ed.; Elsevier—Academic Press: Cambridge, MA, USA, 2012. [Google Scholar] [CrossRef]
- CQFS-RS/SC—Comissão de Química e Fertilidade Do Solo-RS/SC. Manual de Adubação e Calagem para os Estados do Rio Grande do Sul e Santa Catarina, 11th ed.; NRS/SBCS: Porto Alegre, Brazil, 2016. [Google Scholar]
- Prado, R.M.; Rozane, D.E. Leaf analysis as diagnostic tool for balanced fertilization in tropical fruits. In Fruit Crops; Elsevier: Amsterdam, The Netherlands, 2020; pp. 131–143. [Google Scholar] [CrossRef]
- Schmitt, D.E.; Comin, J.J.; Ceretta, C.A.; Gatiboni, L.C.; Tiecher, T.; Lorensini, F.; Brunetto, G. Accumulation of phosphorus fractions and contamination potential in vineyard soils in the southern region of the state of Santa Catarina, Brazil. Rev. Bras. Ciênc. Solo 2013, 37, 1256–1266. [Google Scholar] [CrossRef]
- Liakos, K.G.; Busato, P.; Moshou, D.; Pearson, S.; Bochtis, D. Machine learning in agriculture: A review. Sensors 2018, 18, 2674. [Google Scholar] [CrossRef]
- Zhu, N.; Liu, X.; Liu, Z.; Hu, K.; Wang, Y.; Tan, J.; Guo, Y. Deep learning for smart agriculture: Concepts, tools, applications, and opportunities. Int. J. Agric. Biol. Eng. 2018, 11, 32–44. [Google Scholar] [CrossRef]
- Hahn, L.; Basso, C.; Moura-Bueno, J.M.; Argenta, L.C.; Toselli, M.; Carranca, C.; Rech, M.; Hahn, I.S.; Brunetto, G. Yield Prediction Models for ‘Royal Gala’ and ‘Fuji Suprema’ Apple Varieties Cultivated under a Subtropical Climate. Agronomy 2023, 13, 514. [Google Scholar] [CrossRef]
- Liakos, V.; Tagarakis, A.; Fountas, S.; Nanos, G.D.; Tsiropoulos, Z.; Gemtos, T. Use of NDVI to predict yield variability in a commercial apple orchard. In Precision Agriculture’15; Wageningen Academic Publishers: Wageningen, The Netherlands, 2015; pp. 188–197. [Google Scholar]
- Bai, X.; Li, Z.; Li, W.; Zhao, Y.; Li, M.; Chen, H.; Zhu, X. Comparison of Machine-Learning and CASA Models for Predicting Apple Fruit Yields from Time-Series Planet Imageries. Remote Sens. 2021, 13, 3073. [Google Scholar] [CrossRef]
- Maheswari, P.; Raja, P.; Apolo-Apolo, O.E.; Pérez-Ruiz, M. Intelligent fruit yield estimation for orchards using deep learning based semantic segmentation techniques—A review. Front. Plant Sci. 2021, 12, 684328. [Google Scholar] [CrossRef]
- Jargan, H.; Rohani, A.; Kosari-Moghaddam, A. Application of modeling techniques for energy analysis of fruit production systems. Environ. Dev. Sustain. 2022, 24, 2616–2639. [Google Scholar] [CrossRef]
- Zhou, X.X.; Li, Y.Y.; Luo, Y.K.; Sun, Y.W.; Su, Y.J.; Tan, C.W.; Liu, Y.J. Research on remote sensing classification of fruit trees based on Sentinel-2 multi-temporal imageries. Sci. Rep. 2022, 12, 11549. [Google Scholar] [CrossRef]
- Gómez-Lagos, J.E.; González-Araya, M..; Ortega Blu, R.; Acosta Espejo, L.G. A new method based on machine learning to forecast fruit yield using spectrometric data: Analysis in a fruit supply chain context. Precis. Agric. 2023, 24, 326–352. [Google Scholar] [CrossRef]
- Dhiman, B.; Kumar, Y.; Kumar, M. Fruit quality evaluation using machine learning techniques: Review, motivation and future perspectives. Multim. Tools Appl. 2022, 81, 16255–16277. [Google Scholar] [CrossRef]
- Milatović, D.; Nikolić, D.; Đurović, D. Variability, heritability and correlatins of some factors affctig productiity in peach. Hortic. Sci. 2010, 37, 79–87. [Google Scholar] [CrossRef]
- Galarça, S.P.; Fachinello, J.C.; Betemps, D.L.; Hoffmann, A.; Marodin, G.A.B.; Pretto, A.; Nunes, F.S.; DIAS, F.P. Crescimento e desenvolvimento de pessegueiros ‘Chimarrita’ e ‘Maciel’ sobre diferentes porta-enxertos e locais de cultivo. Cienc. Rural 2013, 43, 219–224. [Google Scholar] [CrossRef]
- Carranca, C.; Brunetto, G.; Tagliavini, M. Nitrogen nutrition of fruit trees to reconcile productivity and environmental concerns. Plants 2018, 7, 4. [Google Scholar] [CrossRef]
- Kalcsits, L.; Lotze, E.; Tagliavini, M.; Hannam, K.D.; Mimmo, T.; Neilsen, D.; Neilsen, G.; Atkinson, D.; Biasuz, E.C.; Borruso, L.; et al. Recent achievements and new research opportunities for optimizing macronutrient availability, acquisition, and distribution for perennial fruit crops. Agronomy 2020, 10, 1738. [Google Scholar] [CrossRef]
- Guntiñas, M.E.; Leirós, M.C.; Trasar-Cepeda, C.; Gil-Sotres, F. Effects of moisture and temperature on net soil nitrogen mineralization: A laboratory study. Eur. J. Soil Biol. 2012, 48, 73–80. [Google Scholar] [CrossRef]
- Benbi, D.K.; Boparai, A.K.; Brar, K. Decomposition of particulate organic matter is more sensitive to temperature than the mineral associated organic matter. Soil Biol. Biochem. 2014, 70, 183–192. [Google Scholar] [CrossRef]
- Wang, Z.H.; Li, S.X. Chapter Three—Nitrate N loss by leaching and surface runoff in agricultural land: A global issue (a review). Adv. Agron. 2019, 156, 159–217. [Google Scholar] [CrossRef]
- Hamada, N.A.; Moreira, R.R.; Nesi, C.N.; De Mio, L.L.M. Pathogen dispersal and Glomerella leaf spot progress within apple canopy in Brazil. Plant Dis. 2019, 103, 3209–3217. [Google Scholar] [CrossRef] [PubMed]
- Lepsis, J.; Blanke, M.M. The trunk cross-section area as a basis for fruit yield modelling in intensive apple orchards. Acta Hortic. 2006, 707, 231–235. [Google Scholar] [CrossRef]
- Zhou, Q.; Melgar, J.C. Tree Age Influences Nutrient Partitioning among Annually Removed Aboveground Organs of Peach. Hortscience 2020, 55, 560–564. [Google Scholar] [CrossRef]
- Barreto, C.F.; da Kirins, M.B.M.; Silva, P.S.; Schiavon, C.R.; Rombaldi, C.V.; Malgarim, M.B.; Fachinello, J.C. Agronomic performance of the Maciel peach with different rootstocks. Semin. Ciênc. Agrár. 2017, 38, 1217–1227. [Google Scholar] [CrossRef]
- BRASIL. Ministério da Agricultura, Pecuária e Abastecimento (MAPA). Instrução Normativa nº 37, de 18 de Junho de 2008. Aprova as Normas Técnicas Específicas Para a Produção Integrada de Pêssego—NTEPI-Pêssego. Available online: https://sistemasweb.agricultura.gov.br/arquivosislegis/anexos/rb/INM37_2008_MAPA.pdf (accessed on 20 September 2025).
- Alvares, C.A.; Stape, J.L.; Sentelhas, P.C. Köppen’s climate classification map for Brazil. Meteorol. Z. 2013, 22, 711–728. [Google Scholar] [CrossRef]
- Soil Survey Staff. Keys to Soil Taxonomy, 13th ed.; USDA Natural Resources Conservation Service: Washington, DC, USA, 2022. Available online: https://www.nrcs.usda.gov/sites/default/files/2022-09/Keys-to-Soil-Taxonomy.pdf (accessed on 10 April 2024).
- BRASIL. Levantamento de Reconhecimento dos Solos do Estado do Rio Grande do Sul; Divisão de Pesquisa Pedológica: Recife, Brazil, 1973; Boletim Técnico n. 30; 431p, Available online: http://www.infoteca.cnptia.embrapa.br/infoteca/handle/doc/331173 (accessed on 10 December 2025).
- EMBRAPA—Empresa Brasileira de Pesquisa Agropecuária. Manual de Análises Químicas de Solos, Plantas e Fertilizantes, 2nd ed.; Embrapa Informação Tecnológica: Brasília, Brazil, 2009. [Google Scholar]
- Walkley, A.; Black, I.A. An examination of Degtjareff method for determining soil organic matter, and proposed modification of the chromic acid tritation method. Soil Sci. 1934, 37, 29–38. [Google Scholar] [CrossRef]
- Tedesco, M.J.; Gianello, C.; Bissani, C.A.; Bohnen, H.; Volkweiss, S.J. Análises de Solo, Plantas e Outros Materiais, 2nd ed.; Universidade Federal do Rio Grande do Sul: Porto Alegre, Brazil, 1995. [Google Scholar]
- Bataglia, O.C.; Mascarenhas, H.A.A. Absorção de Nutrientes Pela Soja; IAC: Campinas, Brazil, 1978.
- Ebert, A.; Petri, J.L.; Bender, R.J.; Braga, H.J. First experiences with chill units models is southern Brazil. Acta Horticul. 1986, 184, 89–96. [Google Scholar] [CrossRef]
- R CORE TEAM. R: A Language and Environment for Statistical Computing; R Foundation for Statistical Computing: Vienna, Austria, 2021; Available online: https://www.R-project.org/ (accessed on 20 September 2025).
- Breiman, L. Random Forests. Mach. Learn. 2001, 45, 5–32. [Google Scholar] [CrossRef]
- Kuhn, M.; Wing, J.; Weston, S.; Williams, A.; Keefer, C.; Engelhardt, A.; Kenkel, B. Package ‘caret’: Classification and Regression Training. R Package Version 6.0-86. 2020. Available online: https://cran.r-project.org/web/packages/caret/caret.pdf (accessed on 20 September 2025).
- Varmuza, K.; Filzmoser, P. Introduction to Multivariate Statistical Analysis in Chemometrics; CRC Press, Taylor & Francis: Boca Raton, FL, USA, 2009. [Google Scholar] [CrossRef]
- Meyer, D.; Dimitriadou, E.; Hornik, K.; Weingessel, A.; Leisch, F. e1071: Misc Functions of the Department of Statistics, Probability Theory Group, TU Wien, 2017. R Package Version 1.6-8. Available online: https://CRAN.R-project.org/package=e1071 (accessed on 20 September 2025).
- Ivanciuc, O. Applications of support vector machines in chemistry. In Reviews in Computational Chemistry; Lipkowitz, K.B., Cundari, T.R., Eds.; Wiley: Weinheim, Germany, 2007; pp. 291–400. [Google Scholar]
- Brus, D.J.; Kempen, B.; Heuvelink, G.B.M. Sampling for validation of digital soil maps. Eur. J. Soil Sci. 2011, 62, 94–407. [Google Scholar] [CrossRef]
- Kuhn, M. varImp: Variable Importance Functions for caret. In The Caret Package (Section 15 Variable Importance); Comprehensive R Archive Network: Vienna, Austria, 2020; Available online: https://topepo.github.io/caret/variable-importance.html (accessed on 20 September 2025).
- Torkashvand, A.M.; Ahmadi, A.; Nikravesh, N.L. Prediction of kiwifruit firmness using fruit mineral nutrient concentration by artificial neural network (ANN) and multiple linear regressions (MLR). J. Integr. Agric. 2017, 16, 1634–1644. [Google Scholar] [CrossRef]
- Khan, T.; Qiu, J.; Qureshi, M.A.A.; Iqbal, M.S.; Mehmood, R.; Hussain, W. Agricultural fruit prediction using deep neural networks. Procedia Comput. Sci. 2020, 174, 72–78. [Google Scholar] [CrossRef]
- Moussaid, A.; El Fkihi, S.; Zennayi, Y.; Lahlou, O.; Kassou, I.; Bourzeix, F.; Imani, Y. Machine Learning Applied to Tree Crop Yield Prediction Using Field Data and Satellite Imagery: A Case Study in a Citrus Orchard. Informatics 2022, 9, 80. [Google Scholar] [CrossRef]
- Parent, L.E.; Natale, W.; Brunetto, G. Machine learning, compositional and fractal models to diagnose soil quality and plant nutrition. In Soil Science—Emerging Technologies, Global Perspectives and Applications, 1st ed.; InTech Publ.: Londres, NY, USA, 2021; Volume 1, pp. 83–114. [Google Scholar]
- Melo, G.W.; Rozane, D.E.; Brunetto, G. Discriminant analysis in the selection of groups of peach cultivars. Acta Hortic. 2018, 1217, 335–342. [Google Scholar] [CrossRef]
- Raseira, M.C.B.; Nakasu, B.H. Cultivares: Descrição e Recomendação; Embrapa-CPACT: Pelotas, Bazil, 1998. [Google Scholar]
- Sete, P.B.; Melo, G.W.B.; Oliveira, B.S.; Freitas, R.F.; Magro, R.D.; Ambrosini, V.G.; Trapp, T.; Comin, J.J.; Gatiboni, L.C.; Brunetto, G. Perdas de nitrogênio do solo e resposta do pessegueiro à adição de composto orgânico. Cienc. Rural 2015, 45, 651–657. [Google Scholar] [CrossRef]
- Taiz, L.; Zeiger, E.; Møller, I.M.; Murphy, A. Plant Physiology and Development, 6th ed.; Sinauer Associates: Sunderland, MA, USA, 2015. [Google Scholar]
- Vashisth, T.; Olmstead, M.A.; Olmstead, J.; Colquhoun, T.A. Effects of nitrogen fertilization on subtropical peach fruit quality: Organic acids, phytochemical content, and total antioxidant capacity. J. Am. Soc. Hortic. Sci. 2017, 142, 393–404. [Google Scholar] [CrossRef]
- Thomidis, T.; Tsipouridis, C.; Darara, V. Seasonal variation of nutrient elements in peach fruits (cv. May Crest) and its correlation with development of Brown rot (Monilinia laxa). Sci. Hortic. 2007, 111, 300–303. [Google Scholar] [CrossRef]
- Zhang, Q.; Zhou, B.; Li, M.; Wei, Q.; Han, Z. Multivariate analysis between meteorological factor and fruit quality. J. Integr. Agric. 2018, 17, 1338–1347. [Google Scholar] [CrossRef]
- Rombolà, A.D.; Sorrenti, G.; Morodin, G.A.B.; Pieri, A.Z.; Barca, E. Nutrição e manejo do solo em fruteiras de caroço em regiões de clima temperado. Semin. Cienc. Agrar. 2012, 33, 639–654. [Google Scholar] [CrossRef]
- Chatzitheodorou, I.T.; Sotiropoulos, T.E.; Mouhtaridou, G.I.; Almaliotis, D. Effect of nitrogen, phosphorus, potassium fertilizers and manure on growth and productivity of the peach cultivars Springtime and Redhaven. Hortic. Sci. 2004, 31, 88–92. [Google Scholar] [CrossRef]
- Gerendás, J.; Führs, H. The significance of magnesium for crop quality. Plant Soil 2013, 368, 101–128. [Google Scholar] [CrossRef]
- Tian, G.; Qin, H.; Liu, C.; Xing, Y.; Feng, Z.; Xu, X.; Ge, S. Magnesium Improved Fruit Quality by Regulating Photosynthetic Nitrogen Use Efficiency, Carbon-Nitrogen Metabolism and Anthocyanin Biosynthesis in ‘Red Fuji’ Apple. Front. Plant Sci. 2023, 14, 1136179. [Google Scholar] [CrossRef]
- Back, A.J.; Gonçalves, F.N.; Fan, F.M. Spatial, seasonal, and temporal variations in rainfall aggressiveness in the south of Brazil. Eng. Agric. 2019, 39, 466–475. [Google Scholar] [CrossRef]
- Denski, A.P.N.; Back, A.J. Tendência climatológica nos elementos meteorológicos e na evapotranspiração de referência de Urussanga-SC. Rev. Bras. Clim. 2015, 17, 262–274. [Google Scholar] [CrossRef]





| Region | Cultivar | Nutrients in Soil | ||||||||
|---|---|---|---|---|---|---|---|---|---|---|
| P | K | Ca | Mg | BS | Cu | Fe | Mn | Zn | ||
| mg kg−1 | cmolc kg−1 | % | mg kg−1 | |||||||
| Bento Gonçalvez | Chimarrita | 35.5 nsA | 330 nsA | 8.8 nsA | 2.8 nsA | 78 nsA | 30.1 nsA | 50.5 nsA | 17.0 nsB | 16.7 nsA |
| Bento Gonçalvez | Maciel | 34.2 | 330 | 8.8 | 2.4 | 78 | 29.4 | 51.1 | 16.5 | 16.7 |
| Porto Alegre | Chimarrita | 8.3 nsC | 81 nsC | 2.4 nsB | 0.9 nsB | 58 nsB | 6.3 nsB | 25.5 nsB | 14.2 nsB | 1.8 nsB |
| Porto Alegre | Maciel | 7.9 | 81 | 3.0 | 0.8 | 58 | 7.0 | 24.4 | 15.0 | 2.0 |
| Pelotas | Chimarrita | 27.5 nsB | 153 nsB | 7.5 nsA | 0.8 nsB | 49 nsC | 4.5 nsC | 10.5 nsC | 48.0 nsA | 5.7 nsC |
| Pelotas | Maciel | 26.4 | 153 | 7.1 | 1.0 | 49 | 5.0 | 11.2 | 47.5 | 5.5 |
| Local | Cultivar | Nutrients in Leaf | ||||||||
| N | P | K | Ca | Mg | Cu | Fe | Mn | Zn | ||
| g kg−1 | mg kg−1 | |||||||||
| Bento Gonçalvez | Chimarrita | 24.7 nsB | 1.9 ns | 24.8 nsA | 17.6 nsA | 3.9 nsA | 4.8 nsB | 92.8 nsC | 193.4 nsA | 29.7 nsA |
| Bento Gonçalvez | Maciel | 24.1 | 1.8 | 25.2 | 18.2 | 3.8 | 4.6 | 93.7 | 195.5 | 30.2 |
| Porto Alegre | Chimarrita | 25.1 nsB | 2.1 ns | 21.4 nsB | 13.2 nsB | 4.2 nsA | 4.5 nsB | 102.1 nsB | 55.5 nsC | 18.3 nsB |
| Porto Alegre | Maciel | 24.8 | 2.0 | 21.8 | 14.8 | 4.7 | 4.5 | 104.3 ns | 57.1 | 19.5 |
| Pelotas | Chimarrita | 34.6 nsA | 2.3 ns | 24.3 nsA | 17.4 nsA | 1.4 nsB | 6.4 nsA | 115.9 nsA | 144.5 nsB | 23.8 nsB |
| Pelotas | Maciel | 33.7 | 2.2 | 24.9 | 17.5 | 1.2 | 6.5 | 116.4 | 148.4 | 24.6 |
| Unit | Minimum | Mean | Median | Maximum | |
|---|---|---|---|---|---|
| Region 1—Bento Gonçalves | |||||
| Mean annual air temperature | °C | 12.00 | 14.89 b | 17.70 | 17.70 |
| Average number of chilling hours (CH) < 7.2 °C | CH | 388 | 391 b | 388 | 394 |
| Mean anual precipitations | mm | 139 | 139.50 b | 139.50 | 140 |
| Region 2—Porto Alegre | |||||
| Mean annual air temperature | °C | 18.15 | 18.28 a | 18.41 | 18.41 |
| Average number of chilling hours (CH) < 7.2 °C | CH | 282 | 373 b | 282 | 469 |
| Mean anual precipitations | mm | 140 | 153.5 a | 153.5 | 167 |
| Region 3—Pelotas | |||||
| Mean annual air temperature | °C | 18.00 | 19.52 a | 19.52 | 21.05 |
| Average number of chilling hours (CH) < 7.2 °C | CH | 248 | 546 a | 546 | 844 |
| Mean anual precipitations | mm | 111.1 | 126.63 c | 126.63 | 142.17 |
| Region | Cultivar | Trunk Diameter (mm) | Yield Peach (kg Plant−1) |
|---|---|---|---|
| Bento Gonçalvez | Chimarrita | 65.7 ns | 6.7 ns |
| Bento Gonçalvez | Maciel | 68.5 | 7.5 |
| Porto Alegre | Chimarrita | 76.7 ns | 2.8 a |
| Porto Alegre | Maciel | 74.5 | 7.3 b |
| Pelotas | Chimarrita | 72.3 ns | 14.5 ns |
| Pelotas | Maciel | 73.5 | 13.5 |
| Prediction Models | Machine Learning Methods (4) | R2c | RMSEc | MAEc | R2v | RMSEv | MAEv |
|---|---|---|---|---|---|---|---|
| kg pl−1 | kg pl−1 | ||||||
| Calibration (n = 145) | Validation (n = 63) | ||||||
| Model 1—nutrients in soil (1) | RF | 0.43 | 5.10 | 5.54 | 0.22 | 6.63 | 3.00 |
| SVM | 0.35 | 5.12 | 4.00 | 0.22 | 6.66 | 4.47 | |
| MLR | 0.25 | 5.51 | 4.82 | 0.20 | 7.63 | 5.54 | |
| Model 2—nutrients in leaf (2) | RF | 0.61 | 4.14 | 3.31 | 0.35 | 6.07 | 2.90 |
| SVM | 0.43 | 4.86 | 3.70 | 0.14 | 7.10 | 4.50 | |
| MLR | 0.42 | 4.83 | 4.83 | 0.21 | 6.70 | 4.12 | |
| Model 3—climate variables (3) | RF | 0.67 | 3.83 | 2.54 | 0.45 | 5.59 | 2.86 |
| SVM | 0.60 | 4.06 | 3,01 | 0.40 | 5.89 | 3.10 | |
| MLR | 0.61 | 3.99 | 3.09 | 0.42 | 5.73 | 2.87 | |
| Model 4—nutrients in soil + leaf | RF | 0.63 | 4.01 | 3.04 | 0.39 | 5.91 | 2.86 |
| SVM | 0.49 | 4.55 | 3.44 | 0.27 | 6.48 | 3.94 | |
| MLR | 0.50 | 4.50 | 3.35 | 0.34 | 6.14 | 3.72 | |
| Model 5—nutrients in soil + leaf + climate variables | RF | 0.67 | 3.70 | 2.76 | 0.46 | 5.55 | 2.40 |
| SVM | 0.61 | 4.04 | 2.72 | 0.43 | 5.70 | 2.96 | |
| MLR | 0.63 | 3.88 | 2.99 | 0.42 | 5.70 | 2.84 | |
| Model 6—nutrients in soil + leaf + climate variables + trunk diameter | RF * | 0.83 | 3.02 | 2.05 | 0.80 | 3.10 | 2.08 |
| SVM | 0.63 | 3.92 | 2.69 | 0.44 | 5.67 | 2.86 | |
| MLR | 0.65 | 3.78 | 2.90 | 0.45 | 5.59 | 3.08 | |
| Effect | Yield Peach (kg Plant−1) | |
|---|---|---|
| Cultivar | 0.057 * | |
| Growing region | 0.000 *** | |
| Growing region × Cultivar | 0.003 ** | |
| Interaction: Cultivar × growing region | Chimarrita | Maciel |
| Bento Gonçalves | 6.7 (±0.7) bA (1,2) | 7.5 (±1.4) bA |
| Pelotas | 14.5 (±1.1) aA | 13.5 (±1.2) aA |
| Porto Alegre | 2.8 (±0.2) cB | 7.3 (±0.4) bA |
Disclaimer/Publisher’s Note: The statements, opinions and data contained in all publications are solely those of the individual author(s) and contributor(s) and not of MDPI and/or the editor(s). MDPI and/or the editor(s) disclaim responsibility for any injury to people or property resulting from any ideas, methods, instructions or products referred to in the content. |
© 2026 by the authors. Licensee MDPI, Basel, Switzerland. This article is an open access article distributed under the terms and conditions of the Creative Commons Attribution (CC BY) license.
Share and Cite
Moura-Bueno, J.M.; Betemps, D.L.; Marodin, G.A.B.; Toselli, M.; Natale, W.; Brunetto, G. Peach Yield Prediction Models: The Importance of Climate Variables and Different Machine Learning. Horticulturae 2026, 12, 155. https://doi.org/10.3390/horticulturae12020155
Moura-Bueno JM, Betemps DL, Marodin GAB, Toselli M, Natale W, Brunetto G. Peach Yield Prediction Models: The Importance of Climate Variables and Different Machine Learning. Horticulturae. 2026; 12(2):155. https://doi.org/10.3390/horticulturae12020155
Chicago/Turabian StyleMoura-Bueno, Jean Michel, Débora Leitzke Betemps, Gilmar A. B. Marodin, Moreno Toselli, William Natale, and Gustavo Brunetto. 2026. "Peach Yield Prediction Models: The Importance of Climate Variables and Different Machine Learning" Horticulturae 12, no. 2: 155. https://doi.org/10.3390/horticulturae12020155
APA StyleMoura-Bueno, J. M., Betemps, D. L., Marodin, G. A. B., Toselli, M., Natale, W., & Brunetto, G. (2026). Peach Yield Prediction Models: The Importance of Climate Variables and Different Machine Learning. Horticulturae, 12(2), 155. https://doi.org/10.3390/horticulturae12020155

