Next Article in Journal
Exogenous Melatonin Affects Fruit Enlargement and Sugar Metabolism in Melt Peach
Previous Article in Journal
Genome-Wide Identification and Characterization of Universal Stress Protein (USP) Family Members in Lycium barbarum and Transcriptional Pattern Analysis in Response to Salt Stress
 
 
Font Type:
Arial Georgia Verdana
Font Size:
Aa Aa Aa
Line Spacing:
Column Width:
Background:
Article

Supplemental Light Differentially Regulates Indoor-Grown Basil (Ocimum basilicum) Growth, Volatile Compounds, and Sensory Attributes

1
Oak Ridge Institute of Science and Education, US DOE, Oak Ridge, TN 37830, USA
2
Food Quality Laboratory, USDA-ARS, Beltsville, MD 20705, USA
3
US Horticultural Research Laboratory, USDA-ARS, Fort Pierce, FL 34945, USA
4
Environmental Microbiology and Food Safety Laboratory, USDA-ARS, Beltsville, MD 20705, USA
*
Author to whom correspondence should be addressed.
Horticulturae 2025, 11(8), 963; https://doi.org/10.3390/horticulturae11080963
Submission received: 27 June 2025 / Revised: 7 August 2025 / Accepted: 12 August 2025 / Published: 14 August 2025
(This article belongs to the Section Protected Culture)

Abstract

Basil (Ocimum basilicum), a widely cultivated herb, thrives in controlled environment agriculture (CEA) systems where light spectra can be precisely manipulated to optimize growth, morphology, and chemical composition. This study examined the effects of supplemental blue (BL), green (GR), and far-red (FR) light on two basil cultivars, green Prospera and purple Amethyst, focusing on plant growth, photosynthetic efficiency, volatile compound profiles, and sensory attributes. The results showed that FR light significantly increased stem elongation and biomass accumulation, with stem height increasing by 66.3% in Prospera and 144.1% in Amethyst under FR light compared to white light, and fresh biomass increasing by 59.3% and 120.1%, respectively. However, FR light increased photosystem II (PSII) efficiency by 20.9% and 34.3% in Prospera and Amethyst, respectively, compared to high-intensity white light, indicating FR light’s impactful role on growth and photosynthetic performance. The volatile profiles were also significantly influenced by light treatments. FR light increased citral levels by 371.0% in Prospera, while allo-ocimene levels increased by 89.0% in Amethyst compared to the control. Sensory evaluations confirmed that basil grown under FR light had a stronger aromatic profile. In contrast, BL light reduced concentrations of certain volatiles, such as eugenol and linalool, leading to a milder aroma. These findings demonstrate that the light spectra can be strategically manipulated to optimize basil’s growth, morphology, and aromatic profile, aligning production with consumer preferences.

1. Introduction

Controlled environment agriculture (CEA) has transformed crop production by allowing the precise control of growth conditions to improve yield and quality attributes, including nutritional value, leaf color, and sensory characteristics [1,2]. In CEA production systems, factors such as temperature, carbon dioxide levels, relative humidity, and light can be finely tuned to meet the specific needs of various crops [3]. Recent advances in light-emitting diode (LED) technology present a more energy-efficient alternative to traditional horticultural lighting methods like high-pressure sodium and fluorescent lamps [3,4,5]. LEDs offer superior energy efficiency, longer operational life, reduced heat emission, and precise control over the light spectrum, enabling customized lighting to enhance both the yield and quality of CEA-grown crops throughout their growth stages [3,4,6,7]. Investigating how different light spectra impact these aspects is crucial for refining and optimizing cultivation techniques.
Basil (Ocimum basilicum L.) is a widely cultivated herb known for its culinary and medicinal properties. It is known for its aromatic leaves, which play a fundamental role in a variety of culinary applications, as well as its profile of bioactive compounds, including essential oils, phenolic compounds, and flavonoids [8]. These compounds not only contribute to basil’s distinct aroma and flavor, but also provide potential health benefits, such as antioxidant and anti-inflammatory properties [9,10,11]. Recent studies have highlighted the importance of these bioactive compounds, particularly linalool, eugenol, and methyl chavicol, which are major contributors to basil’s sensory attributes and therapeutic potential [12,13,14,15]. Due to basil’s commercial significance and strong market demand, CEA systems provide an ideal solution for optimizing the production of this high-value crop. CEA systems offer precise control over environmental conditions, including light, temperature, and humidity, which are crucial for ensuring consistent high-quality yields [3,16]. Among these factors, the light spectrum plays a particularly significant role in regulating plant growth, secondary metabolite production, and volatile compound synthesis, which in turn affect basil’s sensory qualities and market value [17,18].
The photosynthetic portion of the light spectrum contains wavebands of blue (BL; 400–499 nm), green (GR; 500–599 nm), red (R; 600–699 nm), and far-red (FR; 700–799 nm), and influences plant growth by affecting various physiological and developmental processes. Different wavelengths are absorbed by specific photoreceptors, which are plant proteins that detect light and modulate plant responses through signal transduction pathways [19]. Phytochromes, which absorb R and FR light, and cryptochromes, which absorb BL light, both regulate photomorphogenesis [20,21,22]. BL light enhances chlorophyll a content, boosting photosynthetic efficiency, but generally reduces stem and leaf extension, leading to a more compact growth habit compared to R light [23,24]. BL light also promotes stomatal opening and increases the production of secondary metabolites like flavonoids, improving plant defense mechanisms [25,26]. GR light, while traditionally considered less effective than R or BL light, penetrates more deeply into plant canopies, enhancing photosynthesis in the lower leaves and thus improving overall biomass [27,28]. GR light also balances photomorphogenic responses, such as stem elongation and leaf expansion, resulting in a more uniform plant structure [28]. R light is essential for photosynthesis, stimulating stem elongation and leaf expansion, and significantly increasing biomass [29,30]. FR light enhances these effects when combined with R light, triggering shade-avoidance responses and increasing stem elongation as plants attempt to capture more light [31,32,33]. Additionally, FR light, when combined with R light, enhances photosynthesis through the Emerson enhancement effect, which involves simultaneous excitation of photosystem I (PSI) by FR and photosystem II (PSII) by R light [34,35,36]. This synergy increases electron transport rates, carbon fixation, and overall photosynthetic output. While current research highlights the role of the light spectrum on plant growth, morphology, and photosynthesis, more research is needed to determine the specific effects of supplemental light wavebands on basil growth attributes.
The light spectrum significantly influences the synthesis of aromatic compounds in basil, which are key contributors to its flavor, aroma, and medicinal properties [26]. BL light, in particular, enhances the production of essential oils and other secondary metabolites that give basil its characteristic scent. Linalool and eugenol, two major compounds responsible for basil’s aromatic profile, are significantly increased under BL light, improving basil’s medicinal value due to the antioxidant and anti-inflammatory properties associated with these compounds [26]. Studies have shown that BL light boosts the synthesis of phenolic compounds and flavonoids, which contribute to aroma and flavor and enhance the plant’s defense mechanisms [37,38,39]. While the effects of BL light on volatile compounds are well-documented, the role of other wavebands, such as GR and FR light, in shaping basil’s aromatic profile remains less explored. GR light, which penetrates deeper into the plant canopy, may promote the synthesis of volatile compounds in lower leaves, contributing to a more uniform distribution of aroma throughout the plant [27,28]. FR light, when combined with R light, triggers shade-avoidance responses and alters the allocation of resources, potentially enhancing the production of volatile oils like methyl chavicol and linalool in response to light stress [33,36]. These synergistic effects between different light wavelengths can influence the concentration of aromatic compounds, though more research is needed to fully understand the interaction between light quality and essential oil synthesis in basil.
The relationship between light spectrum and aromatic quality is especially important for consumer preferences for basil, as compounds like linalool and eugenol are key determinants of basil’s aromatic and flavor profile. However, there is still a gap in understanding how specific light treatments affect volatiles related to aroma in commercially grown basil, particularly in terms of how different light spectra influence consumer-perceived quality of different cultivars of basil [17]. Furthermore, based on our knowledge, there are no comprehensive basil studies that investigate the effects of the light spectrum on growth and volatile compounds, paired with a sensory analysis by trained panelists on both green and purple leaf basil. Therefore, research that investigates volatile compound profiles along with sensory attributes, like aroma, is needed to further optimize basil production for consumer preferences. In addition to improving aromatic qualities, basil production yields must also be maintained to ensure profitability. In line with this, the objectives of this study were to evaluate green and purple leaf basil coloration, growth, morphology, and photosynthetic rates under different supplemental light treatments and to determine the effects of supplemental narrowband light on volatile compounds related to aroma. It was hypothesized that FR light would increase basil growth, stem elongation, leaf size, and photosynthetic rates, but decrease sensory attributes and volatile compounds. Conversely, it was expected that BL light would enhance sensory attributes, increase volatile compound concentrations, and reduce growth and photosynthetic rates.

2. Materials and Methods

2.1. Plant Growth Conditions

Experiments were conducted at the USDA-ARS Beltsville Agriculture Research Center, MD, USA, using walk-in temperature-controlled Environmental Growth Chambers (Model GR-48; Chagrin Falls, OH, USA). Prospera® Compact DMR (PL4) F1 Pelleted Genovese basil seeds and Genovese Purple Basil Amethyst Improved seeds (Johnny Seeds; Winslow, ME, USA) were selected due to their commercial relevance and different pigment profiles. Seed were sown into hydrated 200-cell Rockwool sheets (Grodan; Roermond, The Netherlands). The seeds were germinated in darkness for 24 h at 28 °C and 70% relative humidity. Following germination, the basil plants were exposed to a total photon flux density (TPFD; 315–800 nm) of 200 µmol∙m−2∙s−1 of white light (5000 K) with a 20 h photoperiod. On day 7, humidity domes were removed, and the basil seedlings were transplanted into deep water culture (DWC) hydroponic systems and grown under their respective light treatments (Table 1).
Five DWC systems were set up, each utilizing a 56 cm × 114 cm Active Aqua flood bath (Shoemakersville, PA, USA) with recirculating nutrient solutions. In each bath, a 2.5 cm polystyrene foam raft (Uline; Pleasant Prairie, WI, USA) was fitted with 82 holes spaced 7.6 cm apart, using 2.5 cm net cups (Lapond). The nutrient solution was composed of 15-5-20 N-P-K fertilizer (150 ppm N; Allentown, PA, USA) at a concentration of 0.66 g/L, and supplemented with Pennington Epsom salt (9.8% magnesium, 12.9% combined sulfur; Madison, Georgia) at 0.26 g/L. Nutrients were replenished one week after transplanting, and the pH and electrical conductivity (EC) of the DWC reservoirs were monitored using a Groline HI9814 waterproof portable pH/EC/TDS meter (Smithfield, RI, USA), with the pH maintained at 5.8–6.2 and EC at 1.5 dS∙m−1.
Mylar-covered panels (Ontario, CA, USA) were used to separate the different light treatments, preventing light pollution and enhancing light uniformity within each treatment. Additionally, HOBO 4-channel analog data loggers (Bourne, MA, USA) monitored chamber temperature and relative humidity. The temperature was maintained at 28 ± 0.86 °C with a relative humidity of 45 ± 3.1%.

2.2. Light Treatments

Three Alina touch lights (RAYN; Middleton, WI, USA) were suspended above each DWC, spaced 25 cm apart and positioned 50 cm above the growing surface. Seedlings were initially exposed to a white light spectrum at a TPFD of 200 µmol∙m−2∙s−1 with a photoperiod of 20 h from day 1 through day 7. From day 7 until harvest, the light spectrum was modified by applying 160 µmol∙m−2∙s−1 of white light (LW; 5000 K), supplemented with an additional 80 µmol∙m−2∙s−1 of either the same white light (HW; 5000 K), BL (peak = 451 nm), GR (peak = 525 nm), or FR (peak = 735 nm) light, resulting in a TPFD of 240 µmol∙m−2∙s−1 (Table 1) delivered for a 20 h photoperiod. Light treatments were measured and averaged across nine representative locations at the plant canopy using a LI-COR-180 portable spectroradiometer (LI-COR; Tucson, AZ, USA). The objective of the light treatments was to test the effects of specific supplemental wavebands in addition to white light, and to compare white light with other supplemental treatments at the same total intensity.

2.3. Growth, Morphology, and Chlorophyll Fluorescence Measurements

On day 24, the plants were harvested to conduct growth, morphology, and chlorophyll fluorescence measurements. Five plants from each cultivar under each light treatment were randomly selected for chlorophyll fluorescence and stomatal conductance measurements using an LI-600 porometer/fluorometer (LI-600; LI-COR, Lincoln, NE, USA). Dark-adapted fluorescence and stomatal conductance measurements were taken before the light period began, following 4 h of darkness, and light-adapted measurements were collected after 1 h of light exposure. For each set of measurements, the top two fully expanded leaves on each plant (n = 10) were measured. The same five plants and the same two leaves were used for both dark- and light-adapted measurements. Leaf tissue was clamped into the device with a 0.75 cm2 aperture and a flow rate of 150 μmol∙s−1. Measurements were automatically recorded once the relative humidity and flow rate had stabilized.
Ten plants from each cultivar and treatment were randomly selected for growth and morphology assessments. After harvesting the plants, the number of leaves greater than 1 cm was counted, and stem length (cm) was measured. Plant shoots and leaves were then placed into pre-weighed bags, and fresh mass (g) was measured using a Thomas Scientific scale. Finally, the plants were placed in paper bags and dried at 80 °C for 10 days before dry mass (g) of each plant was measured and recorded.

2.4. GC/MS Sample Preparation and Analysis

Volatile compound analysis was performed using headspace solid-phase microextraction (HS-SPME) coupled with gas chromatography–mass spectrometry (GC–MS), following the protocol outlined by Bai et al. [40]. Immediately after harvest, 0.5 g of basil tissue was homogenized with 2 mL of sodium chloride solution using a mortar and pestle. The homogenate was then transferred to a 20 mL vial, and 2.5 µL of the internal standard solution (10 mM 4-methyl-2-pentanone in water) was added. The vials were sealed with Teflon/silicone septa and stored at −80 °C for up to one week until analysis. Prior to analysis, the samples were thawed under running tap water and placed in the autosampler (Model MPS2, Gerstel Inc., Linthicum, MD, USA), which was equipped with a cooled tray holder controlled by a Peltier thermostat (Laird Tech, Göteborg, Sweden; CTC Analytics, Zwingen, Switzerland). The samples were maintained at 4 °C in the cooled tray for up to 16 h before analysis.
For extraction, the samples were incubated at 40 °C for 30 min, and a 2 cm triple-phase SPME fiber (50/30 μm DVB/Carboxen/PDMS, Supelco, Bellefonte, PA, USA) was exposed to the headspace for 30 min. After exposure, the fiber was inserted into the injector of an Agilent 7890 GC, equipped with a DB-5 column (60 m × 0.25 mm i.d., 1.00 μm film thickness, J&W Scientific, Folsom, CA, USA), and coupled to a 5975 MS detector (Agilent Technologies, Palo Alto, CA, USA). The volatiles were desorbed at 250 °C for 15 min. The column temperature was initially set to 40 °C, ramped to 230 °C at a rate of 4 °C min−1, and then increased to 260 °C at 100 °C min−1. The ionization voltage was set to 70 eV, and ions were detected from m/z 33 to 250.
Each day, a Kovats mixture of C-5 to C-20 n-alkanes was analyzed to calculate retention indices (RIs) and ensure inter-day reproducibility. Volatile compounds were identified by comparison to the NIST 23 database http://chemdata.nist.gov (accessed on 10 April 2024), and identities were confirmed using authentic standards under the same chromatographic conditions. Additionally, compound identities were verified using a column of opposite polarity (DB-Wax capillary column; 60 m × 0.25 mm i.d., 0.5 μm film thickness; J&W Scientific, Folsom, CA, USA) as described by Molyneux and Schieberle [41].
The data were analyzed and peak areas were quantified using MassHunter Quantitative Analysis software (Version 12.1; Agilent, Santa Clara, CA, USA). Five biological replicates were measured along with three technical replicates. Their averages are reported.

2.5. Sensory Training and Evaluation

Whole basil plants were harvested at 9:00 am from the growth chamber and transported to the sensory laboratory approximately one hour before evaluation. Thirty minutes prior to the sensory evaluation, basil leaves were randomly selected and inspected to ensure they were free from damage and deterioration. The leaves were clipped from the plants, placed into 3 oz souffle cups, and sealed with lids labeled with random three-digit blinding codes. Each panelist was provided with 3–4 leaves of similar size per session. The leaves were served to participants individually at room temperature.
The sensory panel consisted of five panelists (three female, two male) recruited from the USDA-Beltsville campus, all aged 18–65, with no known vision, taste, or smell disorders. These participants had extensive experience evaluating agricultural products, each with over 40 h of previous sensory panel experience. The panelists were trained for eight hours over four sessions using a generic Descriptive Analysis approach. A preliminary lexicon was developed by published sensory lexicons for fresh basil [42,43,44]. During the training, panelists were exposed to various fresh and processed basil products to develop a sensory lexicon. The lexicon was finalized through consensus and conducted practice evaluations to ensure consistency and eliminate redundancies.
Aroma and texture evaluations were conducted in a quiet room with minimal distractions. Samples were evaluated in triplicate across three sessions, with each sample presented once per session in a randomized order. Panelists were instructed to rate the aroma and texture attributes on a 0–100 intensity scale using Compusense Cloud software (Version 24.0.4) [45]. For aroma evaluation, participants were instructed to tear a leaf perpendicular to the stem, and a second leaf was provided for texture assessment. Between samples, coffee beans were smelled by panelists to reset their sense of smell. A mandatory 60 s break was enforced between samples, during which participants were instructed to wipe their hands to remove any oil residue.

2.6. Data Analysis

R statistical analysis software (Version 4.3.1) [46] was used for statistical analysis and the creation of figures. Analysis of variance and Tukey’s HSD test (α = 0.05) were conducted using R packages ‘dplyr’ [47] and ‘agricolae’ [48]. For sensory variables, a principal component analysis (PCA) was applied to the data produced (quantitative descriptive analysis) by the trained panelists to group attributes based on patterns of correlation.

3. Results

3.1. Plant Growth, Morphology, and Chlorophyll Fluorescence

In terms of biomass accumulation, significant differences were observed in both fresh (Figure 1A) and dry (Figure 1B) mass across light treatments for Prospera and Amethyst basil cultivars. For Prospera, fresh mass increased by 59.3% when FR light was added to LW. Adding additional white light, BL, or GR light increased fresh mass by 20.1 to 36.9% compared to LW. Furthermore, fresh mass significantly increased by 32.6% when it was grown under FR light compared to BL light. Additionally, fresh mass was 26.9% lower under LW light than under HW light, highlighting the impact of the TPFD. Dry mass showed similar patterns, with a 54.8% increase when FR was added to LW, a 29.7% increase under FR compared to BL light and a 45.2% increase from LW to HW light. For Amethyst, fresh mass increased by 120.1% when grown under FR compared to LW. Amethyst basil grown under FR light had 66.5% greater fresh mass compared to BL light, while dry mass was 58.6% higher under FR than under BL light. Finally, adding additional white light (HW) to LW increased fresh and dry mass of amethyst basil by 54.9% and 65%, respectively. Across both cultivars, LW consistently resulted in the lowest biomass, suggesting that low-intensity white light is less effective in promoting growth compared to the other light treatments, especially those containing additional FR light.
Plant morphology also varied significantly across light treatments, particularly in stem height (Figure 1C) and leaf number (Figure 1D). For Prospera, stem height increased by 66.3% when grown under FR light compared to LW, and by 82.7% under FR compared to BL light. However, stem height decreased by 37.3% when plants were grown under HW light compared to FR light, suggesting that while FR light promotes elongation, high-intensity white light can reduce this effect. Prospera also showed a 27.3% reduction in stem height when grown under GR compared to FR light. For Amethyst, FR light resulted in a 144.1% increase in stem height over LW and 121.2% greater height than BL. Leaf number showed similar patterns: Prospera exhibited a 38.2% increase in leaf number under FR compared to LW, and a 23.7% increase under FR compared to BL. For Amethyst, FR light promoted a 98.0% increase in leaf number over LW and a 44.3% increase over BL. Additionally, GR light had an intermediate effect, promoting leaf number by 39.2% in Amethyst compared to LW. Notably, Amethyst had 40.0% fewer leaves when grown under LW compared to HW light, further highlighting the importance of light intensity and spectrum in leaf development. The increase in leaf number, especially under FR light, along with fresh mass indicates a similar increase in biomass allocation between basil stems and leaves.
Chlorophyll fluorescence and stomatal conductance measurements under both dark- and light-adapted conditions showed significant treatment-related differences in both cultivars (Figure 2A–D and Figure 3A–D). In the dark-adapted state, Prospera exhibited a 3 to 4-fold increase in stomatal conductance (gsw) under BL light compared to LW or FR light, while additional HW, GR, or FR light had no effect on stomatal conductance (Figure 2A). For Amethyst, stomatal conductance decreased by 79.3% under FR light compared to BL light, but was similar to LW light (Figure 2A), demonstrating that FR light significantly reduced gas exchange in both cultivars compared to BL light. In terms of chlorophyll fluorescence, no significant differences in minimal fluorescence (Fo) were observed for either cultivar (Figure 2B), but Amethyst showed a 19.8% increase in maximal fluorescence (Fm) when grown under FR light compared to BL light, suggesting that FR light enhances light absorption capacity (Figure 2C). Moreover, Fm in Amethyst decreased by 12.6% under LW light compared to FR light, indicating the negative impact of low-intensity white light on photochemical capacity. For Prospera, Fm was similar among all light treatments (Figure 2C).
In the light-adapted state, the maximal fluorescence (Fm’) of Amethyst was similar to LW when grown under additional GR or FR light, but Fm’ displayed a 15.8% increase when grown under FR light compared to BL light, and a further 18.4% increase when grown under FR compared to HW light (Figure 3B). This indicates that FR light, especially in combination with white light, improves the efficiency of PSII. For electron transport rate (ETR), Prospera showed a 22.6% reduction under LW light compared to BL light, while GR light and HW light treatments showed increases of 43.5% and 35.6%, respectively, when compared to LW light (Figure 3D). In Amethyst, a similar trend was observed, with ETR decreasing by 28.9% between BL and LW light and by 48.3% between HW light and LW light, suggesting that LW light significantly reduced photosynthetic efficiency (Figure 3D). Furthermore, Amethyst showed up to a 50% increase in quantum yield of PSII (phiPS2) when grown under HW, BL, or GR light compared to LW light, indicating an improvement in the efficiency with which absorbed light is used for photochemical reactions in PSII, thus enhancing the overall photosynthetic process in this cultivar (Figure 3C). Similarly, Prospera phiPS2 increased with additional white, BL, or GR light compared to LW light (Figure 3C).

3.2. Volatile Compounds

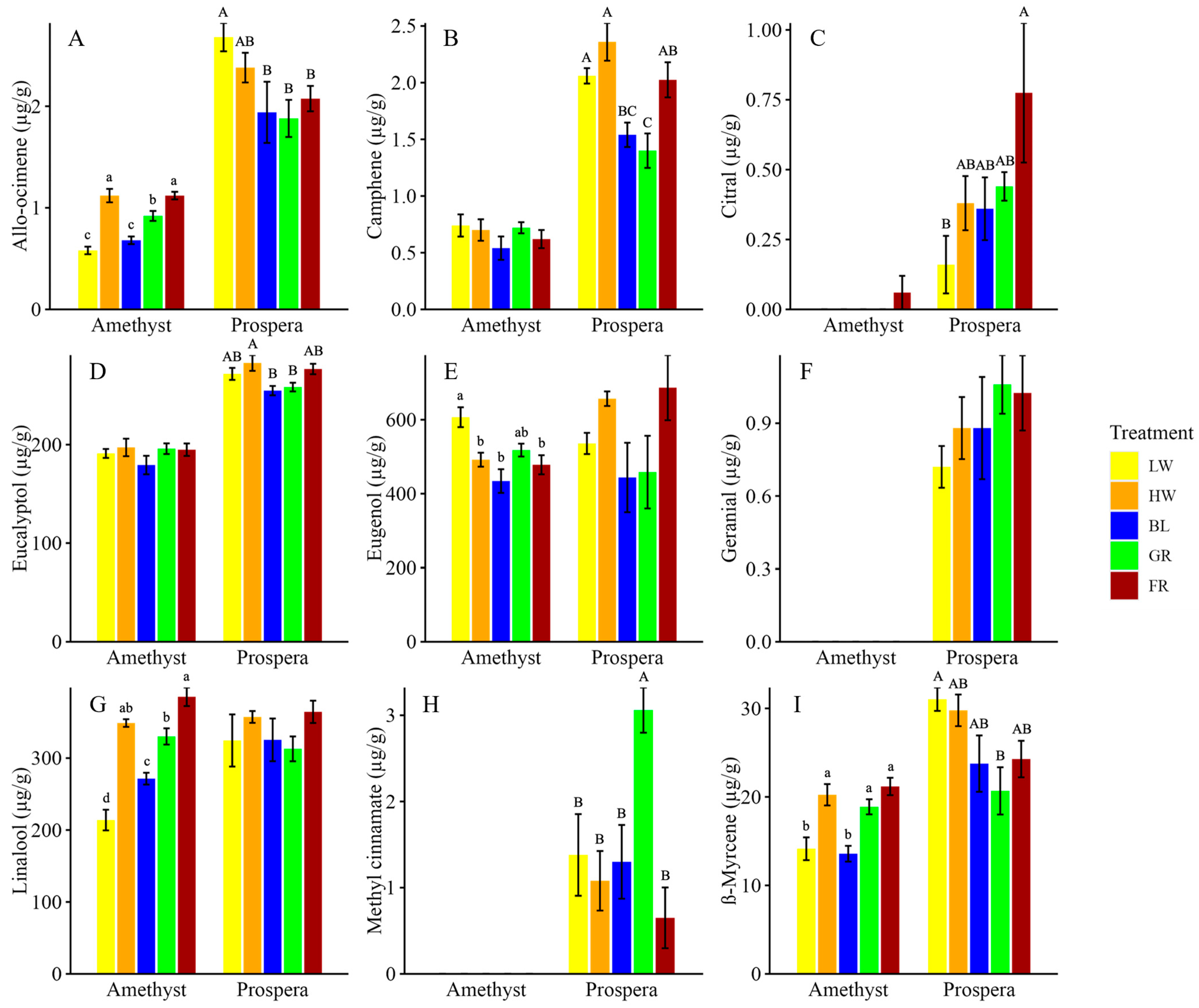
The volatile compound profiles of both Amethyst and Prospera basil were significantly influenced by light treatments, particularly in aroma-related compounds (Figure 4A–I; Supp. Table S1). Comparisons between FR, GR, and BL treatments against LW and HW revealed notable differences in several key compounds.
For Amethyst basil, the monoterpene allo-ocimene increased by 89.8% under FR light compared to LW light, whereas under GR light, it increased by 57.1% compared to LW light but decreased by 16.5% relative to HW light (Figure 4A). Under BL light, allo-ocimene was similar to LW but decreased by 38.6% relative to HW (Figure 4A). Additionally, citral was only present in Amethyst basil grown with additional FR light (Figure 4C). For eugenol, a phenylpropanoid responsible for spicy and clove-like aromas, FR light resulted in a 21.3% reduction compared to LW light, but only a 2.8% decrease relative to HW (Figure 4E). Additionally, BL light caused a reduction of eugenol by 28.5% compared to LW light, while methyl cinnamate, another phenylpropanoid, was not present in Amethyst basil (Figure 4E,H). Furthermore, FR light increased linalool content by 79.9% compared to LW, while BL light decreased content by 29.6% compared to FR light (Figure 4G). Finally, beta-myrcene levels increase by up to 49.8% under HW, GR, or FR light compared to LW (Figure 4I).
For Prospera basil, allo-ocimene levels decreased by 21.8% under FR light compared to LW (Figure 4A). Under GR light, allo-ocimene levels decreased by 29.3% relative to LW light, while BL light caused a 27.8% decrease compared to LW (Figure 4A). Camphene levels under GR light were reduced by 34.1% compared to LW light and 41.9% relative to HW light (Figure 4B). BL light decreased camphene by 26.0% compared to LW light and 34.7% relative to HW light (Figure 4B). For citral, FR light caused a 370.6% increase compared to LW light and a 94.7% increase compared to HW light (Figure 4C). For eucalyptol, all supplemental light treatments were similar to LW (Figure 4D). For geranial and linalool, there were no statistical differences found (Figure 4F,G). Beta-myrcene levels decreased under BL light by 23.5% compared to LW, but were similar to other supplemental light treatments (Figure 4I). Finally, the phenylpropanoid methyl cinnamate concentrations increased by 121.7% under GR light compared to LW light (Figure 4H), while light treatments did not have a significant effect on eugenol concentrations (Figure 4E).
Significant volatile compound differences between the two cultivars were observed across treatments. For example, Amethyst basil had lower levels of allo-ocimene, a monoterpene, under all treatments compared to Prospera basil (Figure 4A). In contrast, Prospera basil exhibited significantly higher levels of citral, geranial, methyl cinnamate, and beta-myrcene compared to their absence in Amethyst basil (Figure 4C,F,H,I). For instance, Prospera basil grown under GR and FR light had significantly higher citral levels compared to LW, while citral was not detected in any Amethyst basil treatments except FR (Figure 4C). These cultivar differences highlight that Amethyst basil showed a greater response in increasing monoterpenes such as allo-ocimene, while Prospera showed a more pronounced increase in aldehydes like citral under specific light treatments. Additionally, more volatile compounds were detected in Prospera basil, indicating it may have a more complex chemical profile and thus aroma.

3.3. Sensory Evaluation

The supplemental light treatments significantly influenced the sensory and physical traits of both Prospera and Amethyst basil (Figure 5A,B and Figure 6A,B; Supp. Table S2). In the PCA results (Figure 5A,B) for Prospera, PC1 and PC2 explain 47.72% and 30.16% of the total variance, respectively, with much prominence perceived by several types of aromas including earthy and musty in one cluster, black pepper, clove, and anise in other cluster, and lemon and green in their own. For Amethyst (Figure 6A,B), PCA showed PC1 explaining 57.23% and PC2 28.02%. However, in the latter, clustering and perception of the attributes differ slightly. For example, mint aroma was clustered or perceived with similar variability as with green and floral aroma in this case. Furthermore, the figures illustrate the variable response of each cultivar to BL treatments.
For Prospera basil, the application of GR light was associated with more black pepper, clove, anise, and floral aromas. For example, additional GR light enhanced several sensory attributes such as anise and black pepper aroma 14.5% and 12.7% respectively, compared to basil grown under FR light (Figure 5A,B; Supp. Table S2). Additionally, basil grown under GR light exhibited a 21.0% increase in clove aroma compared to the FR light treatment. Prospera basil grown under LW or additional white light (HW) had slightly mustier and earthier aroma attributes compared to other light treatments. For example, basil grown under HW had a 21.9% increase in earthy aroma compared to basil grown under FR light. Moreover, GR light decreased sweet aroma intensity by 8.4% compared to LW light, while floral and lemon notes were most pronounced under GR light by 11.8% and 17.8%, respectively, compared to LW. Finally, basil grown under additional FR or BL light were associated with a general lack of aroma, especially mustiness, compared to other light treatments. In terms of physical traits, the leaf thickness of Prospera basil was decreased under FR light, with values 9.9% lower than those grown under LW light. Finally, FR light significantly decreased the green color intensity of Prospera basil leaves, compared to LW, leading to lower overall visual quality.
For Amethyst basil, the impact of supplemental light on sensory attributes followed a distinct trend (Figure 6A,B; Supp. Table S2). FR light led to the strongest sensory responses, particularly for anise, which increased by 35.0% compared to basil grown under GR light, which was associated with a lack of aroma. Similarly, clove intensity was 23.2% higher in basil grown under FR light compared to GR light, while FR also boosted the black pepper aroma by 11.4% compared to GR light. Furthermore, basil grown under LW, HW, and BL had stronger sweet, floral, green, and mint aromas compared to basil grown under GR and FR. Physical traits were likewise affected by the light treatments, with the thickest leaves recorded under the BL spectrum. While the HW treatment also increased leaf thickness, the difference from BL was not statistically significant. In contrast, FR-treated basil had slightly lower leaf tear resistance than BL or HW light, although all supplemental light treatments produced thicker leaves than the control group grown under no supplemental light (LW). Additionally, both GR and FR treatments significantly decreased purple color intensity by 44.3% and 48.6%, respectively, compared to LW, while BL slightly increased purple color by 12.0%.
When comparing Prospera and Amethyst basil, significant differences in their response to light treatments were observed (Figure 5A,B and Figure 6A,B). Prospera basil exhibited stronger sensory attributes overall, especially under GR light. For example, anise intensity in Prospera basil grown under GR light was 42.3% higher than in Amethyst basil grown under the same light treatment, and black pepper aroma was similarly enhanced by 19.7%. Additionally, Prospera basil, especially under GR, had an 88.9% stronger lemon aroma compared to Amethyst basil grown under the same treatment. However, Amethyst basil grown under FR light had greater musty aroma intensity, with an increase of 71.4% compared to Prospera basil under the same conditions. Physical traits between the cultivars were more similar, although leaf tear resistance tended to be slightly higher in Prospera basil, particularly under GR light. Leaf thickness was comparable between the two varieties across most treatments, although Prospera basil grown under HW light had marginally thicker leaves than Amethyst basil grown under BL.

4. Discussion

This study examined the effects of FR, BL, and GR light on growth, morphology, photosynthetic efficiency, volatile profiles, and sensory attributes in two basil cultivars, Prospera (green) and Amethyst (purple). The results showed that the light spectrum strongly influenced physiological and morphological responses, with clear cultivar differences. These findings have important implications for optimizing basil production in controlled environments by tailoring light treatments to enhance traits like size, aroma, and appearance.
Growth and morphology were assessed to determine how supplemental narrowband light treatments influenced basil architecture, which is critical for optimizing productivity and space efficiency in controlled environments. Traits such as stem elongation, leaf number, and biomass accumulation reflect underlying resource allocation patterns, and are driven by photosynthetic efficiency and photoreceptor signaling. For example, FR light significantly increased stem elongation and biomass in both Prospera and Amethyst. These findings are consistent with the previous work of Legendre and van Iersel [32], showing a significant increase in dry mass, leaf length, and leaf width of lettuce under increasing FR light. Additionally, in another study, FR light increased leaf area and thus light capture and plant growth of lettuce and basil [49]. Furthermore, adding additional white light to the spectrum (HW) increased fresh and dry mass in both cultivars compared to LW, though it only slightly increased stem height of Amethyst basil. These findings suggest that while the higher TPFD provided by HW light promotes biomass accumulation, shade-avoidance responses remain most pronounced under FR light. These results are consistent with the role of phytochrome-mediated signaling in the shade-avoidance syndrome, a plant’s adaptive response to low-red to far-red light ratios encountered in dense canopies [31,50]. When plants are exposed to increased FR light, the balance between the active form of phytochrome (Pfr) shifts toward the inactive form of phytochrome (Pr) [21]. This shift inactivates phyB, which would normally inhibit elongation growth, and allows phytochrome interacting factors (PIFs) to become more active [51]. The activation of PIFs leads to the upregulation of genes responsible for cell elongation and division, particularly in the stem and petioles, thus promoting stem elongation and leaf expansion [51]. This elongation response is crucial for optimizing light capture by allowing plants to grow taller and extend their leaves to reach more favorable light conditions [50]. However, increased stem elongation often results in leggy plants, with elongated internodes, which can reduce plant compactness and structural stability, traits that may be undesirable in horticultural markets that prioritize compact growth forms. The connection between growth and light-driven physiological responses is further supported by the increased leaf number under FR light, which expands the light-capturing surface area. Prospera exhibited a 38.2% increase in leaf number under FR light compared to LW, and Amethyst showed a 98.0% increase. These results demonstrate that while FR light enhances stem elongation and leaf development, its effects on compactness may limit its suitability for specific markets.
In contrast to FR, BL light inhibited stem elongation and promoted a more compact growth habit in both basil cultivars. Specifically, stem height was reduced in Amethyst basil under BL light compared to FR light but was similar to LW and other supplemental light treatments. These results are consistent with other studies where additional or a higher fraction of BL light did not affect stem length of fresh mass of basil [49,52]. This response is largely controlled by cryptochrome signaling, which plays a key role in counteracting the elongation effects driven by PIFs under FR light [53]. Cryptochromes are sensitive to BL light wavelengths and, when activated, inhibit PIF activity, thereby suppressing the shade-avoidance response and promoting more compact growth than plants grown under FR light [20,53]. By inhibiting PIF activity, cryptochromes effectively prevent the excessive elongation of stems and promote the development of shorter internodes and broader leaves. Additionally, BL light promotes lateral growth by encouraging leaf expansion rather than vertical elongation [23,54]. This compact growth form is especially desirable in CEA, where space efficiency and uniformity are critical, such as in vertical farming systems or high-density plantings [23]. The ability of BL light to suppress vertical growth while enhancing lateral leaf expansion makes it a valuable tool for growers aiming to produce basil plants that are both visually appealing and compact.
These findings illustrate the contrasting roles of FR and BL light in regulating basil growth and morphology through distinct photoreceptor pathways. FR light, via phytochrome signaling and the activation of PIFs, drives stem elongation and biomass accumulation, but at the expense of plant compactness, often resulting in leggy plants. On the other hand, BL light suppresses PIF activity through cryptochrome signaling, leading to compact growth with shorter stems and broader leaves, making it ideal for growers aiming for compact, uniform plants. This interplay between morphology and photosynthetic capacity highlights the importance of balancing light spectrum composition to optimize plant architecture and maximize yield based on production system needs.
The measurements of gsw, phiPS2, and ETR were included to elucidate how different light wavelengths influence the photosynthetic machinery and subsequently drive plant growth. For example, this study revealed that FR light reduced stomatal conductance by approximately 80% in both Prospera and Amethyst basil compared to BL light, highlighting a significant impact on gas exchange dynamics. This reduction, however, did not compromise photosynthetic efficiency; rather, an increase of up to 34% in phiPS2 was observed under FR light compared to HW light, demonstrating the distinct role of FR light in regulating photosynthetic processes. This aligns with earlier findings that while FR light enhances PSI activity [36], it efficiently drives PSII like BL or R light [22]. The impact of FR light on PSII efficiency arises from its role in driving the shade-avoidance syndrome and promoting elongation growth rather than optimizing photosynthetic electron transport [33]. FR light predominantly excites PSI, which functions in the later stages of the electron transport chain, leading to the production of ATP and NADPH [55,56]. However, without sufficient excitation of PSII, which is responsible for splitting water and generating the electrons needed for downstream photosynthetic reactions, the overall photosynthetic efficiency remains suboptimal [22]. When combined with R light, FR light enhances photosynthesis through the Emerson enhancement effect by simultaneously exciting PSI and PSII, particularly in dense CEA systems where light distribution is critical [22,34]. These findings highlight the potential of integrating FR light with R or white light to maximize photosynthetic efficiency and plant growth in controlled environments.
Additionally, BL light significantly increased gsw compared to LW or HW light, allowing greater CO2 diffusion into the leaves and supporting higher photosynthetic rates. In particular, BL light enhanced ETR by 15.8% in Prospera basil compared to LW light, demonstrating its role in driving photochemical efficiency through PSII. Furthermore, BL light directly enhanced photosynthetic efficiency by improving ETR and phiPS2, particularly in Amethyst basil compared to LW or HW light. BL light is well-known for its role in optimizing PSII function, because chlorophyll absorbs shorter wavelengths more effectively, driving higher photochemical efficiency [23]. This increased light absorption by PSII leads to enhanced excitation of electrons, improving the efficiency of photochemical reactions and supporting higher rates of carbon fixation.
FR light and BL light have distinct effects on photosynthesis and stomatal conductance, with FR light enhancing growth through shade-avoidance responses and increased PSII efficiency, while BL light optimizes stomatal function and photosynthetic electron transport, and enhances photoprotective mechanisms. Additionally, when combined with R-containing light, FR light can significantly boost photosynthetic efficiency through the Emerson enhancement effect, demonstrating its value in improving photosynthetic capacity when properly integrated with other light spectra. For instance, tailoring light regimes with more FR light during early growth to drive elongation and biomass, followed by BL light later to enhance photoprotection and nutritional quality, can help growers balance growth, photosynthetic efficiency, and crop quality in CEA systems.
The effects of light spectra extended beyond growth and photosynthesis, significantly impacting the volatile compound profiles and sensory attributes of basil, reflecting both cultivar-specific and light-specific responses. The analysis of volatile compounds and sensory attributes was designed to connect the biochemical responses of basil to light treatments with their implications for consumer-perceived quality and marketability. Key aroma-related compounds in basil, such as citral, linalool, and allo-ocimene, are synthesized through the terpenoid and phenylpropanoid pathways and were influenced by the light spectrum [26]. The production of these volatile compounds is often regulated by light-induced changes in gene expression associated with these pathways, which can be modulated by different photoreceptors and signaling pathways that respond to specific wavelengths of light [17,57,58]. These results reveal connections between the metabolic pathways activated under specific wavelengths and their sensory outcomes.
Phytochromes respond to changes in the red to far-red light ratio, triggering a cascade of gene expression changes that upregulate enzymes involved in terpenoid biosynthesis, enhancing the production of volatile compounds like citral [31,59]. It was found that FR light significantly increased the concentration of specific volatile compounds, particularly citral in Prospera basil, where concentrations increased by over 371.0% compared to low-intensity white (LW) light. Similarly, Carvalho et al. [17] found that FR light can stimulate the production of floral and citrus aroma compounds, such as citral, in basil and other herbs. Additionally, allo-ocimene, a floral-sweet monoterpene, increased by 89.0% in Amethyst basil under FR light, further supporting the role of FR light in enhancing monoterpene production, as noted in other studies investigating light quality and volatile biosynthesis in basil [17]. Sensory evaluations further supported these biochemical findings. For instance, basil grown under FR light was rated higher in floral and citrus aromas, linking volatile compound profiles and perceived sensory quality. This suggests that FR light plays a crucial role in enhancing the aromatic complexity of basil, particularly in sun-adapted species, where FR light may trigger a stress-related increase in volatile compounds as a defense mechanism [50]. In contrast, BL light reduced the concentrations of key volatiles such as eucalyptol and eugenol compared to FR. BL light typically redirects the plant’s metabolic focus towards the production of phenolic compounds and flavonoids, which are closely associated with plant defense mechanisms and antioxidant properties [16,60]. This shift occurs through the activation of cryptochrome signaling, which upregulates flavonoid biosynthesis pathways, reducing the pool of precursors available for volatile terpenoid synthesis [18,61]. Similarly, Hogewoning et al. [23] found that BL light enhances photosynthetic efficiency and secondary metabolite production. These results support the idea that BL light can lead to a trade-off between aromatic intensity and nutritional quality, as the focus shifts toward increasing antioxidant activity, which is important for human health.
The results indicate that the effects of light on basil volatile compound synthesis and concentration directly influence the perceived aroma of both basil cultivars. The sensory findings are consistent with those reported in other studies examining basil’s volatile profiles under different light spectra. This relationship between light spectra and volatile compound production highlights the role of metabolic shifts in determining sensory outcomes and marketability. For instance, FR light enhanced the production of citral and linalool, two key aroma compounds. The sensory findings align with previous studies; for example, Carvalho et al. [17] found that basil exposed to combinations of narrowband light exhibited changes in the concentrations of volatiles such as monoterpenoids and sesquiterpenoids, with FR light enhancing both. These results are consistent with those of that study, as an increase in citral and linalool production under FR light was found to correlate with a stronger citrus aroma, especially in Amethyst basil. Furthermore, eugenol concentrations in Amethyst basil decreased under BL light compared to LW, highlighting the trade-off between aroma intensity and the potential for increased antioxidant production under BL light. These differences in volatile production between FR and BL light highlight how light quality can shift metabolic pathways, particularly those involved in monoterpene biosynthesis, influencing both flavor and aroma. Moreover, studies by Walters et al. [15] indicate that consumer preferences often favor basil with higher concentrations of volatiles such as eugenol and linalool, both of which are enhanced under FR light treatments. This suggests that growers targeting consumer demand for aromatic complexity can utilize FR light to increase the production of desirable volatiles like citral, eugenol, and linalool. This study reported similar intensity ratings during sensory evaluation, with basil samples grown under FR light receiving higher scores for aroma intensity, due to the enhanced production of key volatiles like eugenol, linalool, and citral. This suggests that optimizing light spectra in CEA systems can enhance flavor profiles while meeting consumer demand for more aromatic complexity.
The relationship between the light spectrum and aromatic compound production has direct implications for sensory science and consumer preferences. Sensory panels and consumer testing are crucial in evaluating the organoleptic properties of basil, such as flavor and aroma which, as seen in our study and others, are heavily influenced by the concentrations of volatile compounds [17,62]. These findings further demonstrate that specific light treatments directly link volatile compound synthesis to perceived sensory quality. For example, FR light significantly enhanced monoterpene production, creating an intense aromatic profile favored in sensory evaluations. Compounds like citral and linalool are key determinants of the floral and citrus aromas that consumers typically associate with high-quality basil [44]. In the current study, FR light, by enhancing monoterpene production, created a more intense aromatic profile, appealing to consumers seeking aromatic complexity. Conversely, the reduction in volatiles such as eugenol and linalool under BL light compared to FR light led to a milder aroma, which could be less desirable in markets prioritizing strong, pungent basil flavors. This trade-off between aroma intensity and nutritional quality reflects the need for growers to balance production goals with market demands, depending on whether the focus is on sensory enhancement or nutritional properties. Furthermore, the trade-off between aroma intensity and nutritional quality suggests that different consumer demographics may have varying preferences depending on whether they prioritize flavor or potential health benefits. For instance, health-conscious consumers may prefer basil grown under BL light for its potential antioxidant benefits, while culinary markets may favor basil grown under FR light for its enhanced sensory attributes. Consumer panels play a vital role in determining how different segments of the market respond to light-induced changes in basil’s sensory attributes. Furthermore, understanding consumer preferences is key to the success of specific basil cultivars under controlled light conditions. Sensory testing, combined with chemical analysis of volatile compounds, allows growers to fine-tune light environments to produce basil with the most marketable flavor and aromatic profiles, enhancing both yield and market appeal.
The ability to manipulate basil’s volatile profiles through light spectra has important practical implications for basil production in controlled environments. FR light could be used to enhance citrusy and floral aromas, making basil more appealing to consumers who prefer these sensory attributes. This targeted approach can help growers cater to niche markets, such as gourmet culinary herbs or premium aromatics for specialty foods and beverages. This is particularly useful for the culinary and aromatic herb markets, where flavor and aroma are key drivers of consumer preference. Additionally, the elongation growth promoted by FR light complements its effects on aroma by increasing overall plant biomass and leaf surface area, which may further amplify volatile compound production. The combination of increased yield and enhanced aroma profiles makes FR light particularly advantageous for markets prioritizing both yield and sensory quality, although FR can promote extensive extension growth. In contrast, BL light, while reducing the intensity of some aroma compounds, enhances leaf coloration and nutritional content, making it valuable for growers targeting health-conscious consumers or those seeking visually appealing basil with high antioxidant content.
This study also suggests that growers should consider cultivar-specific responses when designing light regimes for basil production. For instance, Amethyst basil responded more strongly to FR light in terms of allo-ocimene production, while Prospera basil showed greater increases in citral. The distinct responses highlight how each cultivar’s metabolic pathways are differentially regulated by specific light wavelengths, underscoring the importance of cultivar-specific optimization. Additionally, Prospera basil had more volatile compounds detected, indicating it might have a more complex chemical makeup. This highlights the importance of tailoring light treatments to the specific needs of each cultivar to optimize both growth and sensory quality.

5. Conclusions

In conclusion, the findings of this study demonstrate the influence of light spectra on basil’s growth, photosynthesis, and sensory attributes, offering growers a valuable tool to customize production based on market demands. We confirm that FR light increased leaf expansion and growth, while BL increased coloration. To our surprise, FR light led to more intense aromatic attributes. As LED technology continues to evolve, the ability to precisely control light environments in CEA will become increasingly important for maximizing both the yield and quality of crops like basil, improving shelf life, and ultimately enhancing consumer satisfaction and grower profitability.
Future research should focus on further exploring the synergistic effects of combining different light spectra, such as GR and FR light, to better understand how these combinations influence not only growth and morphology, but also volatile compound production and nutritional quality. In particular, testing dynamic light regimes where specific spectra are applied at different growth stages could yield valuable insights into how timing affects volatile profiles and plant morphology. Moreover, sensory studies should be conducted to determine not only the strengths of aromas from the basil products, but also which attributes they prefer over others. Finally, economic analyses considering factors such as energy costs, market premiums for aroma- or nutrition-enhanced products, and shelf-life improvements under specific light treatments would be particularly valuable.

Supplementary Materials

The following supporting information can be downloaded at: https://www.mdpi.com/article/10.3390/horticulturae11080963/s1, Table S1: Volatile compounds; Table S2: Aroma.

Author Contributions

Conceptualization, N.K., M.A.O. and Y.L.; methodology, N.K., R.O., E.P. and J.B.; software, N.K. and R.O.; validation, N.K.; formal analysis, N.K., R.O. and J.B.; investigation, N.K., R.O. and J.B.; resources, J.B., J.M.F. and Y.L.; data curation, N.K., M.A.O., R.O., E.P. and J.B.; writing—original draft preparation, N.K., R.O. and J.B.; writing—review and editing, N.K., M.A.O., R.O., E.P., J.B., J.M.F. and Y.L.; visualization, N.K.; supervision, N.K., R.O., J.B., J.M.F. and Y.L.; project administration, J.M.F. and Y.L.; funding acquisition, J.M.F. and Y.L. All authors have read and agreed to the published version of the manuscript.

Funding

This research was supported in part by the U.S. Department of Agriculture (USDA), National Institute of Food and Agriculture, Specialty Crop Research Initiative, Award No. 2016-51181-25403. This research was also supported in part by an appointment to the Agricultural Research Service (ARS) Research Participation Program administered by the Oak Ridge Institute for Science and Education (ORISE) through an interagency agreement between the U.S. Department of Energy (DOE) and the USDA. ORISE is managed by ORAU under DOE contract number DE-SC0014664. All opinions expressed in this paper are the authors’ and do not necessarily reflect the policies and views of USDA, ARS, DOE, or ORAU/ORISE. Use of a company name or product by the authors does not imply approval or recommendation of the product to the exclusion of others that also may be suitable.

Data Availability Statement

Data supporting this manuscript are available at https://doi.org/10.6084/m9.figshare.29447468.v1.

Acknowledgments

The authors also wish to thank Ella Evenson, Ganyu Gu, Zi Teng, and Ellen Turner for their technical support.

Conflicts of Interest

The authors declare no conflicts of interest.

Abbreviations

The following abbreviations are used in this manuscript:
BLBlue
CEAControlled-environment agriculture
DWCDeep water culture
ECElectrical conductivity
ETRElectron transport rate
FoDark-adapted minimal fluorescence
FmDark-adapted maximum fluorescence
Fm’Light-adapted maximum fluorescence
FRFar-red
GC–MSGas chromatography–mass spectrometry
GRGreen
gswStomatal conductance
HS-SPMEHeadspace solid-phase microextraction
HWHigh white
LEDLight-emitting diode
LWLow white
PCAPrincipal component analysis
phiPS2Quantum yield of PSII
PIFsPhytochrome interacting factors
PSIPhotosystem I
PSIIPhotosystem II
RRed
TPFDTotal photon flux density

References

  1. Bantis, F.; Smirnakou, S.; Ouzounis, T.; Koukounaras, A.; Ntagkas, N.; Radoglou, K. Current Status and Recent Achievements in the Field of Horticulture with the Use of Light-Emitting Diodes (LEDs). Sci. Hortic. 2018, 235, 437–451. [Google Scholar] [CrossRef]
  2. Darko, E.; Heydarizadeh, P.; Schoefs, B.; Sabzalian, M.R. Photosynthesis under Artificial Light: The Shift in Primary and Secondary Metabolism. Philos. Trans. R. Soc. B Biol. Sci. 2014, 369, 20130243. [Google Scholar] [CrossRef] [PubMed]
  3. Kozai, T.; Niu, G. Plant Factory as a Resource-Efficient Closed Plant Production System. In Plant Factory: An Indoor Vertical Farming System for Efficient Quality Food Production; Academic Press: Cambridge, MA, USA, 2016; pp. 69–90. ISBN 978-0-12-801775-3. [Google Scholar]
  4. Kusuma, P.; Pattison, P.M.; Bugbee, B. From Physics to Fixtures to Food: Current and Potential LED Efficacy. Hortic. Res. 2020, 7, 56. [Google Scholar] [CrossRef] [PubMed]
  5. Singh, D.; Basu, C.; Meinhardt-Wollweber, M.; Roth, B. LEDs for Energy Efficient Greenhouse Lighting. Renew. Sustain. Energy Rev. 2015, 49, 139–147. [Google Scholar] [CrossRef]
  6. Bourget, M.C. An Introduction to Light-Emitting Diodes. HortScience 2008, 43, 1944–1946. [Google Scholar] [CrossRef]
  7. SharathKumar, M.; Heuvelink, E.; Marcelis, L.F.M. Vertical Farming: Moving from Genetic to Environmental Modification. Trends Plant Sci. 2020, 25, 724–727. [Google Scholar] [CrossRef] [PubMed]
  8. Romano, R.; De Luca, L.; Aiello, A.; Pagano, R.; Di Pierro, P.; Pizzolongo, F.; Masi, P. Basil (Ocimum basilicum L.) Leaves as a Source of Bioactive Compounds. Foods 2022, 11, 3212. [Google Scholar] [CrossRef] [PubMed]
  9. Baritaux, O.; Richard, H.; Touche, J.; Derbesy, M. Effects of Drying and Storage of Herbs and Spices on the Essential Oil. Part I. Basil, Ocimum basilicum L. Flavour Fragr. J. 1992, 7, 267–271. [Google Scholar] [CrossRef]
  10. Grayer, R.J.; Kite, G.C.; Goldstone, F.J.; Bryan, S.E.; Paton, A.; Putievsky, E. Infraspecific Taxonomy and Essential Oil Chemotypes in Sweet Basil, Ocimum basilicum. Phytochemistry 1996, 43, 1033–1039. [Google Scholar] [CrossRef]
  11. Tenore, G.C.; Campiglia, P.; Ciampaglia, R.; Izzo, L.; Novellino, E. Antioxidant and Antimicrobial Properties of Traditional Green and Purple “Napoletano” Basil Cultivars (Ocimum basilicum L.) from Campania Region (Italy). Nat. Prod. Res. 2017, 31, 2067–2071. [Google Scholar] [CrossRef]
  12. Ciriello, M.; Formisano, L.; El-Nakhel, C.; Corrado, G.; Pannico, A.; De Pascale, S.; Rouphael, Y. Morpho-Physiological Responses and Secondary Metabolites Modulation by Preharvest Factors of Three Hydroponically Grown Genovese Basil Cultivars. Front. Plant Sci. 2021, 12, 671026. [Google Scholar] [CrossRef]
  13. Walters, K.J.; Lopez, R.G. Basil Seedling Production Environment Influences Subsequent Yield and Flavor Compound Concentration during Greenhouse Production. PLoS ONE 2022, 17, e0273562. [Google Scholar] [CrossRef]
  14. Walters, K.J.; Lopez, R.G. Hydroponic Basil Production: Temperature Influences Volatile Organic Compound Profile, but Not Overall Consumer Preference. Horticulturae 2022, 8, 76. [Google Scholar] [CrossRef]
  15. Walters, K.J.; Lopez, R.G.; Behe, B.K. Leveraging Controlled-Environment Agriculture to Increase Key Basil Terpenoid and Phenylpropanoid Concentrations: The Effects of Radiation Intensity and CO2 Concentration on Consumer Preference. Front. Plant Sci. 2021, 11, 598519. [Google Scholar] [CrossRef]
  16. Ouzounis, T.; Rosenqvist, E.; Ottosen, C.-O. Spectral Effects of Artificial Light on Plant Physiology and Secondary Metabolism: A Review. HortScience 2015, 50, 1128–1135. [Google Scholar] [CrossRef]
  17. Carvalho, S.D.; Schwieterman, M.L.; Abrahan, C.E.; Colquhoun, T.A.; Folta, K.M. Light Quality Dependent Changes in Morphology, Antioxidant Capacity, and Volatile Production in Sweet Basil (Ocimum basilicum). Front. Plant Sci. 2016, 7, 1328. [Google Scholar] [CrossRef] [PubMed]
  18. Zhang, S.; Zhang, L.; Zou, H.; Qiu, L.; Zheng, Y.; Yang, D.; Wang, Y. Effects of Light on Secondary Metabolite Biosynthesis in Medicinal Plants. Front. Plant Sci. 2021, 12, 781236. [Google Scholar] [CrossRef] [PubMed]
  19. Möglich, A.; Yang, X.; Ayers, R.A.; Moffat, K. Structure and Function of Plant Photoreceptors. Annu. Rev. Plant Biol. 2010, 61, 21–47. [Google Scholar] [CrossRef] [PubMed]
  20. Folta, K.M.; Carvalho, S.D. Photoreceptors and Control of Horticultural Plant Traits. HortScience 2015, 50, 1274–1280. [Google Scholar] [CrossRef]
  21. Quail, P.H. Phytochrome Photosensory Signalling Networks. Nat. Rev. Mol. Cell Biol. 2002, 3, 85–93. [Google Scholar] [CrossRef] [PubMed]
  22. Zhen, S.; Bugbee, B. Far-Red Photons Have Equivalent Efficiency to Traditional Photosynthetic Photons: Implications for Redefining Photosynthetically Active Radiation. Plant Cell Environ. 2020, 43, 1259–1272. [Google Scholar] [CrossRef]
  23. Hogewoning, S.W.; Trouwborst, G.; Maljaars, H.; Poorter, H.; van Ieperen, W.; Harbinson, J. Blue Light Dose-Responses of Leaf Photosynthesis, Morphology, and Chemical Composition of Cucumis Sativus Grown under Different Combinations of Red and Blue Light. J. Exp. Bot. 2010, 61, 3107–3117. [Google Scholar] [CrossRef]
  24. Johkan, M.; Shoji, K.; Goto, F.; Hashida, S.-N.; Yoshihara, T. Blue Light-Emitting Diode Light Irradiation of Seedlings Improves Seedling Quality and Growth after Transplanting in Red Leaf Lettuce. HortScience 2010, 45, 1809–1814. [Google Scholar] [CrossRef]
  25. Kinoshita, T.; Doi, M.; Suetsugu, N.; Kagawa, T.; Wada, M.; Shimazaki, K.I. Phot1 and Phot2 Mediate Blue Light Regulation of Stomatal Opening. Nature 2001, 414, 656–660. [Google Scholar] [CrossRef]
  26. Lobiuc, A.; Vasilache, V.; Oroian, M.; Stoleru, T.; Burducea, M.; Pintilie, O.; Zamfirache, M.-M. Blue and Red LED Illumination Improves Growth and Bioactive Compounds Contents in Acyanic and Cyanic Ocimum basilicum L. Microgreens. Molecules 2017, 22, 2111. [Google Scholar] [CrossRef]
  27. Kim, H.-H.; Goins, G.D.; Wheeler, R.M.; Sager, J.C. Green-Light Supplementation for Enhanced Lettuce Growth under Red-and Blue-Light-Emitting Diodes. HortScience 2004, 39, 1617–1622. [Google Scholar] [CrossRef]
  28. Smith, H.L.; McAusland, L.; Murchie, E.H. Don’t Ignore the Green Light: Exploring Diverse Roles in Plant Processes. J. Exp. Bot. 2017, 68, 2099–2110. [Google Scholar] [CrossRef]
  29. Nelson, J.A.; Bugbee, B. Economic Analysis of Greenhouse Lighting: Light Emitting Diodes vs. High Intensity Discharge Fixtures. PLoS ONE 2014, 9, e99010. [Google Scholar] [CrossRef] [PubMed]
  30. Son, K.-H.; Oh, M.-M. Leaf Shape, Growth, and Antioxidant Phenolic Compounds of Two Lettuce Cultivars Grown under Various Combinations of Blue and Red Light-Emitting Diodes. HortScience 2013, 48, 988–995. [Google Scholar] [CrossRef]
  31. Casal, J.J. Photoreceptor Signaling Networks in Plant Responses to Shade. Annu. Rev. Plant Biol. 2013, 64, 403–427. [Google Scholar] [CrossRef]
  32. Legendre, R.; van Iersel, M.W. Supplemental Far-Red Light Stimulates Lettuce Growth: Disentangling Morphological and Physiological Effects. Plants 2021, 10, 166. [Google Scholar] [CrossRef] [PubMed]
  33. Park, Y.; Runkle, E.S. Far-Red Radiation Promotes Growth of Seedlings by Increasing Leaf Expansion and Whole-Plant Net Assimilation. Environ. Exp. Bot. 2017, 136, 41–49. [Google Scholar] [CrossRef]
  34. Emerson, R.; Chalmers, R.; Cederstrand, C. Some Factors Influencing the Long-Wave Limit of Photosynthesis. Proc. Natl. Acad. Sci. USA 1957, 43, 133. [Google Scholar] [CrossRef]
  35. Zhen, S.; Haidekker, M.; van Iersel, M.W. Far-Red Light Enhances Photochemical Efficiency in a Wavelength-Dependent Manner. Physiol. Plant. 2019, 167, 21–33. [Google Scholar] [CrossRef] [PubMed]
  36. Zhen, S.; van Iersel, M.W. Far-Red Light Is Needed for Efficient Photochemistry and Photosynthesis. J. Plant Physiol. 2017, 209, 115–122. [Google Scholar] [CrossRef]
  37. Dias, M.C.; Pinto, D.C.G.A.; Silva, A.M.S. Plant Flavonoids: Chemical Characteristics and Biological Activity. Molecules 2021, 26, 5377. [Google Scholar] [CrossRef]
  38. Gai, Q.-Y.; Feng, X.; Jiao, J.; Xu, X.-J.; Fu, J.-X.; He, X.-J.; Fu, Y.-J. Blue LED Light Promoting the Growth, Accumulation of High-Value Isoflavonoids and Astragalosides, Antioxidant Response, and Biosynthesis Gene Expression in Astragalus membranaceus (Fisch.) Bunge Hairy Root Cultures. Plant Cell Tissue Organ. Cult. 2023, 153, 511–523. [Google Scholar] [CrossRef]
  39. Qian, H.; Liu, T.; Deng, M.; Miao, H.; Cai, C.; Shen, W.; Wang, Q. Effects of Light Quality on Main Health-Promoting Compounds and Antioxidant Capacity of Chinese Kale Sprouts. Food Chem. 2016, 196, 1232–1238. [Google Scholar] [CrossRef]
  40. Bai, J.; Baldwin, E.; Hearn, J.; Driggers, R.; Stover, E. Volatile and Nonvolatile Flavor Chemical Evaluation of USDA Orange–Mandarin Hybrids for Comparison to Sweet Orange and Mandarin Fruit. J. Am. Soc. Hortic. Sci. 2016, 141, 339–350. [Google Scholar] [CrossRef]
  41. Molyneux, R.J.; Schieberle, P. Compound Identification:  A Journal of Agricultural and Food Chemistry Perspective. J. Agric. Food Chem. 2007, 55, 4625–4629. [Google Scholar] [CrossRef]
  42. Lee, R.; Simon, J.E.; Reichert, W.; Juliani, H.R.; Tepper, B.J. A fresh language for basil. Perfum. Flavorist 2017, 42, 36–50. [Google Scholar]
  43. Brindisi, L.J.; O’Brien, R.; Hayes, B.K.; Kotwal, S.; Wu, Q.; Simon, J.E.; Tepper, B.J. Relationship between sensory perceptions and volatile and phenolic compounds of fresh basil (Ocimum basilicum L.) evaluated by multivariate statistics. J. Food Sci. 2025, 90, e70194. [Google Scholar] [CrossRef]
  44. Patel, M.; Lee, R.; Merchant, E.V.; Juliani, H.R.; Simon, J.E.; Tepper, B.J. Descriptive Aroma Profiles of Fresh Sweet Basil Cultivars (Ocimum spp.): Relationship to Volatile Chemical Composition. J. Food Sci. 2021, 86, 3228–3239. [Google Scholar] [CrossRef]
  45. Compusense®; Compusense Cloud; version 24.0.4; Guelph, ON, Canada, 2023.
  46. R Core Team. R: A Language and Environment for Statistical Computing; R Foundation for Statistical Computing: Vienna, Austria, 2014. [Google Scholar]
  47. Wickham, H.; François, R.; Henry, L.; Müller, K. A Grammar of Data Manipulation, version 4.3.1; RStudio Dplyr. 2022.
  48. de Mendiburu, F. Agricolae: Statistical Procedures for Agricultural Research, version 4.3.1. 2021.
  49. Meng, Q.; Runkle, E.S. Far-Red Radiation Interacts with Relative and Absolute Blue and Red Photon Flux Densities to Regulate Growth, Morphology, and Pigmentation of Lettuce and Basil Seedlings. Sci. Hortic. 2019, 255, 269–280. [Google Scholar] [CrossRef]
  50. Ballaré, C.L.; Pierik, R. The Shade-Avoidance Syndrome: Multiple Signals and Ecological Consequences. Plant Cell Environ. 2017, 40, 2530–2543. [Google Scholar] [CrossRef]
  51. Leivar, P.; Monte, E. PIFs: Systems Integrators in Plant Development. Plant Cell 2014, 26, 56–78. [Google Scholar] [CrossRef]
  52. Larsen, D.H.; Woltering, E.J.; Nicole, C.C.S.; Marcelis, L.F.M. Response of Basil Growth and Morphology to Light Intensity and Spectrum in a Vertical Farm. Front. Plant Sci. 2020, 11, 597906. [Google Scholar] [CrossRef]
  53. Pedmale, U.V.; Huang, S.C.; Zander, M.; Cole, B.J.; Hetzel, J.; Ljung, K.; Reis, P.A.B.; Sridevi, P.; Nito, K.; Nery, J.R.; et al. Cryptochromes Interact Directly with PIFs to Control Plant Growth in Limiting Blue Light. Cell 2016, 164, 233–245. [Google Scholar] [CrossRef] [PubMed]
  54. Wang, X.Y.; Xu, X.M.; Cui, J. The Importance of Blue Light for Leaf Area Expansion, Development of Photosynthetic Apparatus, and Chloroplast Ultrastructure of Cucumis Sativus Grown under Weak Light. Photosynthetica 2015, 53, 213–222. [Google Scholar] [CrossRef]
  55. Pettai, H.; Oja, V.; Freiberg, A.; Laisk, A. Photosynthetic Activity of Far-Red Light in Green Plants. Biochim. Biophys. Acta (BBA)-Bioenerg. 2005, 1708, 311–321. [Google Scholar] [CrossRef] [PubMed]
  56. Rochaix, J.-D. Regulation of Photosynthetic Electron Transport. Biochim. Biophys. Acta (BBA)-Bioenerg. 2011, 1807, 375–383. [Google Scholar] [CrossRef] [PubMed]
  57. Kharshiing, E.V.; Mawphlang, O.I.L.; Lama, V.; Bhattacharjee, R.; Sahoo, L. Manipulation of Light Environment for Optimising Photoreceptor Activity towards Enhancing Plant Traits of Agronomic and Horticultural Importance in Crops. J. Hortic. Sci. Biotechnol. 2022, 97, 535–551. [Google Scholar] [CrossRef]
  58. Xie, D.; Chen, L.; Zhou, C.; Tarin, M.W.K.; Yang, D.; Ren, K.; He, T.; Rong, J.; Zheng, Y. Transcriptomic and Metabolomic Profiling Reveals the Effect of LED Light Quality on Morphological Traits, and Phenylpropanoid-Derived Compounds Accumulation in Sarcandra Glabra Seedlings. BMC Plant Biol. 2020, 20, 476. [Google Scholar] [CrossRef] [PubMed]
  59. Liu, Y.; Singh, S.K.; Pattanaik, S.; Wang, H.; Yuan, L. Light Regulation of the Biosynthesis of Phenolics, Terpenoids, and Alkaloids in Plants. Commun. Biol. 2023, 6, 1055. [Google Scholar] [CrossRef]
  60. Ballaré, C.L. Light Regulation of Plant Defense. Annu. Rev. Plant Biol. 2014, 65, 335–363. [Google Scholar] [CrossRef]
  61. Austen, N.; Walker, H.J.; Lake, J.A.; Phoenix, G.K.; Cameron, D.D. The Regulation of Plant Secondary Metabolism in Response to Abiotic Stress: Interactions Between Heat Shock and Elevated CO2. Front. Plant Sci. 2019, 10, 1463. [Google Scholar] [CrossRef] [PubMed]
  62. Du, P.; Yuan, H.; Chen, Y.; Zhou, H.; Zhang, Y.; Huang, M.; Jiangfang, Y.; Su, R.; Chen, Q.; Lai, J.; et al. Identification of Key Aromatic Compounds in Basil (Ocimum L.) Using Sensory Evaluation, Metabolomics and Volatilomics Analysis. Metabolites 2023, 13, 85. [Google Scholar] [CrossRef] [PubMed]
Figure 1. (A) Mean fresh mass (g), (B) dry mass (g), (C) stem height (cm), and (D) leaf number of Amethyst and Prospera basil grown under 160 µmol∙m−2∙s−1 of white light (LW; 5000 K), or white light plus an additional 80 µmol∙m−2∙s−1 of either white (HW; 5000 K), blue (BL; peak = 451 nm), green (GR; peak = 525), or far-red (FR; peak = 735 nm) light, resulting in a total photon flux density of 240 µmol∙m−2∙s−1. Error bars indicate the standard error. Means with different letters within a cultivar are significantly different based on Tukey’s HSD significant difference test (α = 0.05). No letters indicates that no significant differences were found (n = 10).
Figure 1. (A) Mean fresh mass (g), (B) dry mass (g), (C) stem height (cm), and (D) leaf number of Amethyst and Prospera basil grown under 160 µmol∙m−2∙s−1 of white light (LW; 5000 K), or white light plus an additional 80 µmol∙m−2∙s−1 of either white (HW; 5000 K), blue (BL; peak = 451 nm), green (GR; peak = 525), or far-red (FR; peak = 735 nm) light, resulting in a total photon flux density of 240 µmol∙m−2∙s−1. Error bars indicate the standard error. Means with different letters within a cultivar are significantly different based on Tukey’s HSD significant difference test (α = 0.05). No letters indicates that no significant differences were found (n = 10).
Horticulturae 11 00963 g001
Figure 2. Dark-adapted stomatal conductance and chlorophyll fluorescence. (A) Mean stomatal conductance (gsw), (B) minimum fluorescence (Fo), (C) maximum fluorescence (Fm), and (D) maximum quantum efficiency of photosystem II (PSII) (Fv/Fm) of Amethyst and Prospera basil grown under various light treatments. See Figure 1 caption for details. Error bars indicate the standard error. Means with different letters within a cultivar are significantly different based on Tukey’s HSD test (α = 0.05). No letters indicates that no significant differences were found (n = 10).
Figure 2. Dark-adapted stomatal conductance and chlorophyll fluorescence. (A) Mean stomatal conductance (gsw), (B) minimum fluorescence (Fo), (C) maximum fluorescence (Fm), and (D) maximum quantum efficiency of photosystem II (PSII) (Fv/Fm) of Amethyst and Prospera basil grown under various light treatments. See Figure 1 caption for details. Error bars indicate the standard error. Means with different letters within a cultivar are significantly different based on Tukey’s HSD test (α = 0.05). No letters indicates that no significant differences were found (n = 10).
Horticulturae 11 00963 g002
Figure 3. Light-adapted stomatal conductance and chlorophyll fluorescence. (A) Mean stomatal conductance (gsw), (B) maximum fluorescence (Fm’), (C) quantum yield of photosystem II (PSII) (phiPS2), and (D) electron transport rate (ETR) of Amethyst and Prospera basil grown under various light treatments. See Figure 1 caption for details. Error bars indicate the standard error. Means with different letters within a cultivar are significantly different based on Tukey’s HSD test (α = 0.05). No letters indicates that no significant differences were found (n = 10).
Figure 3. Light-adapted stomatal conductance and chlorophyll fluorescence. (A) Mean stomatal conductance (gsw), (B) maximum fluorescence (Fm’), (C) quantum yield of photosystem II (PSII) (phiPS2), and (D) electron transport rate (ETR) of Amethyst and Prospera basil grown under various light treatments. See Figure 1 caption for details. Error bars indicate the standard error. Means with different letters within a cultivar are significantly different based on Tukey’s HSD test (α = 0.05). No letters indicates that no significant differences were found (n = 10).
Horticulturae 11 00963 g003
Figure 4. Means of (A) allo-ocimene, (B) camphene, (C) citral, (D) eucalyptol, (E) eugenol, (F) geranial, (G) linalool, (H) methyl cinnamate, and (I) β-myrcene. Amethyst and Prospera basil grown under various light treatments. See Figure 1 caption for details. Error bars indicate the standard error. Means with different letters within a cultivar are significantly different based on Tukey’s HSD test (α = 0.05). No letters indicates that no significant differences were found (n = 10).
Figure 4. Means of (A) allo-ocimene, (B) camphene, (C) citral, (D) eucalyptol, (E) eugenol, (F) geranial, (G) linalool, (H) methyl cinnamate, and (I) β-myrcene. Amethyst and Prospera basil grown under various light treatments. See Figure 1 caption for details. Error bars indicate the standard error. Means with different letters within a cultivar are significantly different based on Tukey’s HSD test (α = 0.05). No letters indicates that no significant differences were found (n = 10).
Horticulturae 11 00963 g004
Figure 5. Descriptive attributes of green Prospera basil (G). Principal component analysis of basil descriptive attributes. (A) Descriptive attributes assessed and (B) the treatments associated with those attributes. See Figure 1 caption for details.
Figure 5. Descriptive attributes of green Prospera basil (G). Principal component analysis of basil descriptive attributes. (A) Descriptive attributes assessed and (B) the treatments associated with those attributes. See Figure 1 caption for details.
Horticulturae 11 00963 g005
Figure 6. Descriptive attributes of purple Amethyst basil (P). Principal component analysis of basil descriptive attributes. (A) Descriptive attributes assessed and (B) the treatments associated with those attributes. See Figure 1 caption for details.
Figure 6. Descriptive attributes of purple Amethyst basil (P). Principal component analysis of basil descriptive attributes. (A) Descriptive attributes assessed and (B) the treatments associated with those attributes. See Figure 1 caption for details.
Horticulturae 11 00963 g006
Table 1. Supplemental light treatments. All light treatments had a base spectrum of 160 µmol∙m−2∙s−1 of white light (LW); 80 (±standard deviation) µmol∙m−2∙s−1 of blue (BL; 400–499 nm), green (GR; 500–599 nm), far-red (FR; 700–799 nm), or additional white light (HW) was added to achieve a total photon flux density (TPFD; 315–800 nm) of 240 (±standard deviation) µmol∙m−2∙s−1. “-” indicates not added.
Table 1. Supplemental light treatments. All light treatments had a base spectrum of 160 µmol∙m−2∙s−1 of white light (LW); 80 (±standard deviation) µmol∙m−2∙s−1 of blue (BL; 400–499 nm), green (GR; 500–599 nm), far-red (FR; 700–799 nm), or additional white light (HW) was added to achieve a total photon flux density (TPFD; 315–800 nm) of 240 (±standard deviation) µmol∙m−2∙s−1. “-” indicates not added.
Light TreatmentBlueGreenFar-RedWhiteTPFD
LW---160 ± 6160 ± 6
HW---240 ± 7240 ± 7
BL80 ± 3--160 ± 5240 ± 8
GR-80 ± 3-160 ± 6240 ± 9
FR--80 ± 4160 ± 5240 ± 9
Disclaimer/Publisher’s Note: The statements, opinions and data contained in all publications are solely those of the individual author(s) and contributor(s) and not of MDPI and/or the editor(s). MDPI and/or the editor(s) disclaim responsibility for any injury to people or property resulting from any ideas, methods, instructions or products referred to in the content.

Share and Cite

MDPI and ACS Style

Kelly, N.; Oehler, M.A.; O’Brien, R.; Park, E.; Bai, J.; Fonseca, J.M.; Luo, Y. Supplemental Light Differentially Regulates Indoor-Grown Basil (Ocimum basilicum) Growth, Volatile Compounds, and Sensory Attributes. Horticulturae 2025, 11, 963. https://doi.org/10.3390/horticulturae11080963

AMA Style

Kelly N, Oehler MA, O’Brien R, Park E, Bai J, Fonseca JM, Luo Y. Supplemental Light Differentially Regulates Indoor-Grown Basil (Ocimum basilicum) Growth, Volatile Compounds, and Sensory Attributes. Horticulturae. 2025; 11(8):963. https://doi.org/10.3390/horticulturae11080963

Chicago/Turabian Style

Kelly, Nathan, Madison A. Oehler, Regina O’Brien, Eunhee Park, Jinhe Bai, Jorge M. Fonseca, and Yaguang Luo. 2025. "Supplemental Light Differentially Regulates Indoor-Grown Basil (Ocimum basilicum) Growth, Volatile Compounds, and Sensory Attributes" Horticulturae 11, no. 8: 963. https://doi.org/10.3390/horticulturae11080963

APA Style

Kelly, N., Oehler, M. A., O’Brien, R., Park, E., Bai, J., Fonseca, J. M., & Luo, Y. (2025). Supplemental Light Differentially Regulates Indoor-Grown Basil (Ocimum basilicum) Growth, Volatile Compounds, and Sensory Attributes. Horticulturae, 11(8), 963. https://doi.org/10.3390/horticulturae11080963

Note that from the first issue of 2016, this journal uses article numbers instead of page numbers. See further details here.

Article Metrics

Back to TopTop