In Vitro Pollen Viability, Fluorescence Microscopy, and Transcriptomic Comparison of Self-Pollinated and Cross-Pollinated Inflorescence of Artemisia annua L. to Analyze Candidate Self-Incompatibility-Associated Genes
Abstract
1. Introduction
2. Materials and Methods
2.1. Plant Material and Growth Conditions
2.2. Pollen In Vitro Germination
2.3. Fluorescence Microscopic Observation of Pollen Tube Growth
2.4. Transcriptome Analysis of A. annua for Information
2.4.1. RNA Extraction and Quality Test
2.4.2. mRNA Library Construction, Assembly, and Annotation
2.4.3. Differentially Expressed Gene (DEG) Analysis
2.4.4. Quantitative Real-Time PCR (qRT-PCR) Verification
3. Results
3.1. Statistics of In Vitro Pollen Germination
3.2. Statistics of Pollen Tube Growth
3.3. Transcriptome Analysis Results of A. annua for Information
3.3.1. RNA Sequencing and Transcriptome De Novo Assembly
3.3.2. Functional Annotation of Unigenes
3.3.3. Differential Gene Expression and Functional Enrichment Analysis
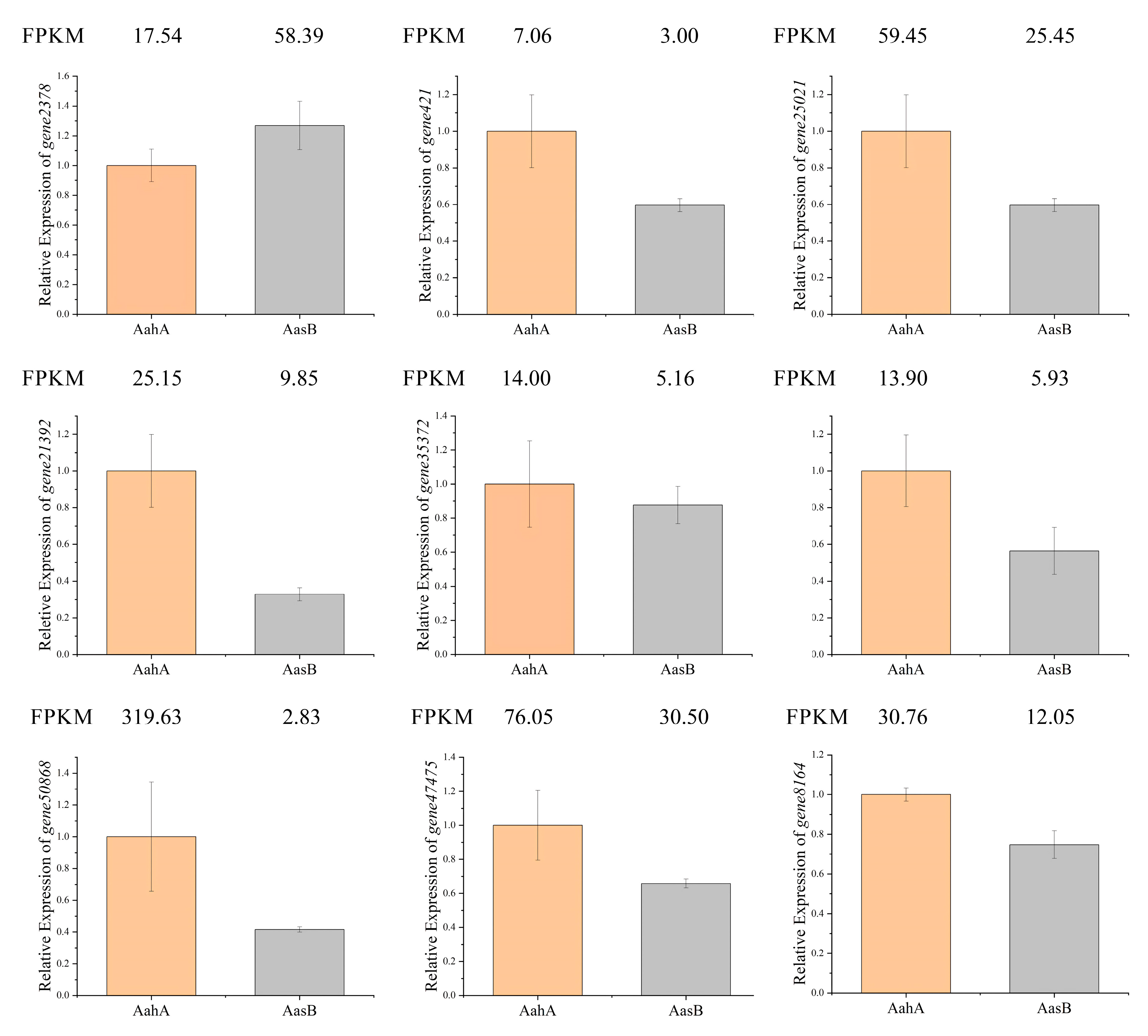
3.3.4. qRT-PCR Verified Differentially Expressed Genes of A. annua
3.3.5. DEG Analysis Identified Candidate Genes for SI
4. Discussion
5. Conclusions
Supplementary Materials
Author Contributions
Funding
Data Availability Statement
Conflicts of Interest
Abbreviations
| AQP | Aquaporin |
| ARC1 | Armadillo repeat-containing protein 1 |
| CML | Calmodulin-like |
| DEGs | Differentially expressed genes |
| EXO | Exocyst complex component |
| FPKM | Fragments per KB per million |
| GSI | Gametophytic self-incompatibility |
| SRK | S-locus receptor kinase-like |
| MITE | Miniature inverted-repeat transposable element |
| MOD | Modifier |
| qRT-PCR | Quantitative real-time PCR |
| RSEM | RNA-seq by expectation–maximization |
| SCR | S-locus cysteine-rich |
| SF3 | Sunflower 3 |
| SI | Self-incompatibility |
| SSI | Sporophytic self-incompatibility |
| SSP | Stigma-specific peroxidase |
| THL | Thioredoxin-like |
| UDP | UDP glycosyltransferase |
References
- Takayama, S.; Isogai, A. Self-incompatibility in plants. Annu. Rev. Plant Biol. 2005, 56, 467–489. [Google Scholar] [CrossRef] [PubMed]
- Iwano, M.; Takayama, S. Self/non-self discrimination in angiosperm self-incompatibility. Curr. Opin. Plant Biol. 2012, 15, 78–83. [Google Scholar] [CrossRef] [PubMed]
- Bianchi, M.B.; Meagher, T.R.; Gibbs, P.E. Do s genes or deleterious recessives control late-acting self-incompatibility in Handroanthus heptaphyllus (Bignoniaceae)? A diallel study with four full-sib progeny arrays. Ann. Bot. 2021, 127, 723–736. [Google Scholar] [CrossRef]
- Jany, E.; Nelles, H.; Goring, D.R. International Review of Cell and Molecular Biology; Elsevier: Amsterdam, The Netherlands, 2019; pp. 1–35. [Google Scholar]
- Boyes, D.C.; Nasrallah, J.B. Physical linkage of the SLG and SRK genes at the self-incompatibility locus of Brassica oleracea. Molec. Gen. Genet. 1993, 236, 369–373. [Google Scholar] [CrossRef]
- Xiang, C.; Tao, H.; Wang, T.; Meng, H.; Guan, D.; Li, H.; Wei, X.; Zhang, W. Genome-wide identification and characterization of SRLK gene family reveal their roles in self-incompatibility of Erigeron breviscapus. BMC Genom. 2023, 24, 402. [Google Scholar] [CrossRef]
- Palumbo, F.; Draga, S.; Magon, G.; Gabelli, G.; Vannozzi, A.; Farinati, S.; Scariolo, F.; Lucchin, M.; Barcaccia, G. MIK2 is a candidate gene of the S-locus for sporophytic self-incompatibility in chicory (Cichorium intybus, Asteraceae). Front. Plant Sci. 2023, 14, 1204538. [Google Scholar] [CrossRef]
- Novak, J.; Nemaz, P.; Ruzicka, J.; Miller, I. Self-Incompatibility in Matricaria Chamomilla, L. (Asteraceae) Is Linked to Differential Esterase Activity. Int. J. Plant Sci. 2019, 180, 366–373. [Google Scholar] [CrossRef]
- Koseva, B.; Crawford, D.J.; Brown, K.E.; Mort, M.E.; Kelly, J.K. The genetic breakdown of sporophytic self-incompatibility in Tolpis coronopifolia (Asteraceae). New Phytol. 2017, 216, 1256–1267. [Google Scholar] [CrossRef]
- Das, M.K.; Park, S.; Adhikari, N.D.; Mou, B. Genome-wide association study of salt tolerance at the seed germination stage in lettuce. PLoS ONE 2024, 19, e0308818. [Google Scholar] [CrossRef]
- Wang, F.; Zhang, F.-J.; Chen, F.-D.; Fang, W.-M.; Teng, N.-J. Identification of Chrysanthemum (Chrysanthemum morifolium) Self-Incompatibility. Sci. World J. 2014, 2014, 625658. [Google Scholar] [CrossRef]
- Tan, S.; Fei, J.; Fang, W.; Chen, F.; Teng, N. Investigation on self-compatibility of 22 materials in genus Chrysanthemum and selfing progeny characteristics. J. Nanjing Agric. Univ. 2017, 40, 400–407. [Google Scholar] [CrossRef]
- Wang, F.; Zhong, X.; Wang, H.; Song, A.; Chen, F.; Fang, W.; Jiang, J.; Teng, N. Investigation of Differences in Fertility among Progenies from Self-Pollinated Chrysanthemum. Int. J. Mol. Sci. 2018, 19, 832. [Google Scholar] [CrossRef] [PubMed]
- Wang, F.; Zhong, X.; Huang, L.; Fang, W.; Chen, F.; Teng, N. Cellular and molecular characteristics of pollen abortion in chrysanthemum cv. Kingfisher. Plant Mol. Biol. 2018, 98, 233–247. [Google Scholar] [CrossRef] [PubMed]
- Zhou, X.; Suo, F.; Haslinger, K.; Quax, W.J. Artemisinin-type drugs in tumor cell death: Mechanisms, combination treatment with biologics and nanoparticle delivery. Pharmaceutics. 2022, 14, 395. [Google Scholar] [CrossRef]
- Shinyuy, L.M.; Loe, G.E.; Jansen, O.; Mamede, L.; Ledoux, A.; Noukimi, S.F.; Abenwie, S.N.; Ghogomu, S.M.; Souopgui, J.; Robert, A.; et al. Secondary metabolites isolated from Artemisia afra and Artemisia annua and their anti-malarial, anti-inflammatory and immunomodulating properties-pharmacokinetics and pharmacodynamics: A review. Metabolites. 2023, 13, 613. [Google Scholar] [CrossRef]
- Laughlin, J.C. Agricultural production of artemisinin—A review. Trans. R. Soc. Trop. Med. Hyg. 1994, 88, 21–22. [Google Scholar] [CrossRef]
- Hassani, D.; Taheri, A.; Fu, X.; Qin, W.; Hang, L.; Ma, Y.; Tang, K. Elevation of artemisinin content by co-transformation of artemisinin biosynthetic pathway genes and trichome-specific transcription factors in Artemisia annua. Front. Plant Sci. 2023, 14, 1118082. [Google Scholar] [CrossRef]
- Wei, S.; Ma, X.; Feng, S.; Huang, R.; Dong, Q.; Yan, Z.; Huang, Q. Evaluation on germplasm resources of main production area of Artemisia annua in China. China J. Chin. Mater. Medica. 2008, 33, 241–244. [Google Scholar] [CrossRef]
- Wei, S.; Ma, X.; Feng, S.; Yan, Z.; Fu, J. A New Artemisia annua Cultivar Guihao 1. China Seed Ind. 2011, S2, 47–48. [Google Scholar]
- Ma, X.; Wei, S.; Feng, S.; Dong, Q.; Yan, Z. A New Artemisia annua Cultivar ‘Guihao 3’. Acta Hortic. Sin. 2010, 37, 169–170. [Google Scholar] [CrossRef]
- Yang, Y.; Zhang, Y.; Zhang, T.; Xu, X.; Sun, Y.; Wang, X.; Tong, H.; Yuan, H. Fluorescence microscopy and transcriptome analysis on self-pollinated stigmas of self-incompatible and self-compatible clones of Stevia rebaudiana. J. Plant Resour. Environ. 2023, 32, 25–32. [Google Scholar]
- Dickinson, H. Dry stigmas, water and self-incompatibility in Brassica. Sex. Plant Reprod. 1995, 8, 1–10. [Google Scholar] [CrossRef]
- Wilcock, C.; Neiland, R. Pollination failure in plants: Why it happens and when it matters. Trends Plant Sci. 2002, 7, 270–277. [Google Scholar] [CrossRef]
- Zhou, M.; Fu, J.; Wei, S.; Pan, L. Comparison of extraction methods of total RNA from different parts of Artemisia apiacea. Jiangsu Agric. Sci. 2017, 45, 31–33. [Google Scholar] [CrossRef]
- Grabherr, M.G.; Haas, B.J.; Yassour, M.; Levin, J.Z.; Thompson, D.A.; Amit, I.; Adiconis, X.; Fan, L.; Raychowdhury, R.; Zeng, Q.; et al. Trinity: Reconstructing a full-length transcriptome without a genome from RNA-Seq data. Nat. Biotechnol. 2011, 29, 644–652. [Google Scholar] [CrossRef]
- Pertea, G.; Huang, X.; Liang, F.; Antonescu, V.; Sultana, R.; Karamycheva, S.; Lee, Y.; White, J.; Cheung, F.; Parvizi, B.; et al. TIGR gene indices clustering tools (TGICL): A softwaresystem for fast clustering of large EST datasets. Bioinformatics. 2003, 19, 651–652. [Google Scholar] [CrossRef]
- Yao, L.; Bao, A.; Hong, W.; Hou, C.; Zhang, Z.; Liang, X.; Aniwashi, J. Transcriptome profiling analysis reveals key genes of different coat color in sheep skin. Peer J. 2019, 7, e8077. [Google Scholar] [CrossRef]
- Storey, J.D.; Tibshirani, R. Statistical significance for genomewide studies. Proc. Natl. Acad. Sci. USA 2003, 100, 9440–9445. [Google Scholar] [CrossRef]
- Benjamini, Y.; Hochberg, Y. Controlling the False Discovery Rate: A Practical and Powerful Approach to Multiple Testing. J. R. Stat. Soc. Ser. B Methodol. 1995, 57, 289–300. [Google Scholar] [CrossRef]
- Livak, K.J.; Schmittgen, T.D. Analysis of relative gene expression data using Real-Time quantitative PCR and the 2−ΔΔCT method. Methods. 2001, 25, 402–408. [Google Scholar] [CrossRef]
- Łabaj, P.P.; Leparc, G.G.; Linggi, B.E.; Markillie, L.M.; Wiley, H.S.; Kreil, D.P. Characterization and improvement of RNA-Seq precision in quantitative transcript expression profiling. Bioinformatics 2011, 27, i383–i391. [Google Scholar] [CrossRef] [PubMed]
- Goring, D.R.; Glavin, T.L.; Schafer, U.; Rothstein, S.J. An S receptor kinase gene in self-compatible Brassica napus has a 1-bp deletion. Plant Cell 1993, 5, 531–539. [Google Scholar] [CrossRef] [PubMed]
- Chen, F.; Yang, Y.; Li, B.; Liu, Z.; Khan, F.; Zhang, T.; Zhou, G.; Tu, J.; Shen, J.; Yi, B.; et al. Functional analysis of M-locus protein kinase revealed a novel regulatory mechanism of self-incompatibility in Brassica napus, L. Int. J. Mol. Sci. 2019, 20, 3303. [Google Scholar] [CrossRef]
- Zhang, W.; Wei, X.; Meng, H.-L.; Ma, C.-H.; Jiang, N.-H.; Zhang, G.-H.; Yang, S.-C. Transcriptomic comparison of the self-pollinated and cross-pollinated flowers of Erigeron breviscapus to analyze candidate self-incompatibility-associated genes. BMC Plant Biol. 2015, 15, 248. [Google Scholar] [CrossRef]
- Zhang, L. Molecular mechanism of receptor kinase FERONIA-regulated self-incompatibility in Brassica rapa. Ph.D. Thesis, Shandong Agricultural University, Taian, China, 2022. [Google Scholar]
- Huang, J.; Su, S.; Dai, H.; Liu, C.; Wei, X.; Zhao, Y.; Wang, Z.; Zhang, X.; Yuan, Y.; Yu, X.; et al. Programmed cell death in stigmatic papilla cells is associated with senescence-induced self-incompatibility breakdown in Chinese cabbage and radish. Front. Plant Sci. 2020, 11, 586901. [Google Scholar] [CrossRef]
- Honsho, C.; Ushijima, K.; Anraku, M.; Ishimura, S.; Yu, Q.; Gmitter, F.G.; Tetsumura, T. Association of T2/S-RNase with self-incompatibility of Japanese citrus accessions examined by transcriptomic, phylogenetic, and genetic approaches. Front. Plant Sci. 2021, 12, 638321. [Google Scholar] [CrossRef]
- Good-Avila, S.V.; Mena-Alí, J.I.; Stephenson, A.G. Self-Incompatibility in Flowering Plants; Springer: Berlin/Heidelberg, Germany, 2008; pp. 33–51. [Google Scholar]
- Yiqi, H.; Xinfeng, Z. Distinguishing early-acting inbreeding depression from late-acting ovarian self-incompatibility: Distinguishing early-acting inbreeding depression from late-acting ovarian self-incompatibility. Biodivers. Sci. 2011, 19, 106–112. [Google Scholar] [CrossRef]
- Takayama, S.; Shiba, H.; Iwano, M.; Shimosato, H.; Che, F.-S.; Kai, N.; Watanabe, M.; Suzuki, G.; Hinata, K.; Isogai, A. The pollen determinant of self-incompatibility in Brassica campestris. Proc. Natl. Acad. Sci. USA 2000, 97, 1920–1925. [Google Scholar] [CrossRef]
- Ma, C.; Zhu, C.; Zheng, M.; Liu, M.; Zhang, D.; Liu, B.; Li, Q.; Si, J.; Ren, X.; Song, H. CRISPR/Cas9-mediated multiple gene editing in Brassica oleracea var. capitata using the endogenous tRNA-processing system. Hortic. Res. 2019, 6, 20. [Google Scholar] [CrossRef]
- Zhang, W.; Chen, M.; Meng, H.; Yang, J.; Wei, X.; Yang, S. Molecular cloning and expression analysis of SRLK1 gene in self-incompatible Asteraceae species Erigeron breviscapus. Mol. Biol. Rep. 2019, 46, 3157–3165. [Google Scholar] [CrossRef]
- Stone, S.L.; Anderson, E.M.; Mullen, R.T.; Goring, D.R. ARC1 is an E3 ubiquitin ligase and promotes the ubiquitination of proteins during the rejection of self-incompatible Brassica pollen. Plant Cell 2003, 15, 885–898. [Google Scholar] [CrossRef] [PubMed]
- Haffani, Y.Z.; Gaude, T.; Cock, J.M.; Goring, D.R. Antisense suppression of thioredoxin h mRNA in Brassica napus cv. Westar pistils causes a low level constitutive pollen rejection response. Plant Mol. Biol. 2004, 55, 619–630. [Google Scholar] [CrossRef] [PubMed]
- Hou, S.; Zhao, T.; Yang, Z.; Yang, D.; Li, Q.; Liang, L.; Wang, G.; Ma, Q. Molecular cloning and yeast two-hybrid provide new evidence for unique sporophytic self-incompatibility system of Corylus. Plant Biol. J. 2022, 24, 104–116. [Google Scholar] [CrossRef] [PubMed]
- Di Giorgio, J.A.P.; Bienert, G.P.; Ayub, N.D.; Yaneff, A.; Barberini, M.L.; Mecchia, M.A.; Amodeo, G.; Soto, G.C.; Muschietti, J.P. Pollen-Specific Aquaporins NIP4; 1 and NIP4; 2 Are Required for Pollen Development and Pollination in Arabidopsis thaliana. Plant Cell 2016, 28, 1053–1077. [Google Scholar] [CrossRef]
- Nie, S.; Wang, R.; Li, R.; Zhang, M.; Zhang, L. Transcriptomic analysis identifies critical signaling components involved in the self-incompatibility response in Chinese cabbage. Sci. Hortic. 2019, 248, 189–199. [Google Scholar] [CrossRef]
- Samuel, M.A.; Chong, Y.T.; Haasen, K.E.; Aldea-Brydges, M.G.; Stone, S.L.; Goring, D.R. Cellular pathways regulating responses to compatible and self-incompatible pollen in Brassica and Arabidopsis stigmas intersect at Exo70A1, a putative component of the exocyst complex. Plant Cell 2009, 21, 2655–2671. [Google Scholar] [CrossRef]







| Time | Mean Germination Rate (%) | RSD (%) |
|---|---|---|
| 3 h | 56.5 | 1.3 |
| 4 h | 39.5 | 1.7 |
| 5 h | 21.6 | 1.2 |
| 6 h | 11.13 | 1.8 |
| Samples | Clean Reads | Clean Bases | GC Content | % ≥ Q30 |
|---|---|---|---|---|
| AahA1 | 21,054,978 | 4,210,995,600 | 43.20% | 94.00% |
| AahA2 | 20,589,937 | 4,117,987,400 | 42.39% | 90.25% |
| AahA3 | 20,620,350 | 4,124,070,000 | 42.44% | 90.04% |
| AasB1 | 20,259,299 | 4,051,859,800 | 42.44% | 90.67% |
| AasB2 | 21,449,897 | 4,289,979,400 | 43.00% | 93.73% |
| AasB3 | 21,185,386 | 4,237,077,200 | 42.41% | 89.94% |
| Gene | log2FC (AasB/AahA) | Differential Expression | Gene Family | Predicted Gene Function | Processes Involved in SSI |
|---|---|---|---|---|---|
| newGene_8313 | 1.1330 | Up | SRK | serine/threonine protein kinase ULK4 | SRK signaling |
| gene3938 | −1.3236 | Down | SRK | serine/threonine protein kinase Pto | |
| gene29401 | 1.0157 | Up | SRK | serine/threonine protein kinase BSK3 | |
| gene8471 | −1.8452 | Down | SRK | serine/threonine protein kinase SAPK3-like | |
| gene17743 | −2.3918 | Down | SRK | Serine/threonine protein kinase | |
| gene22513 | 1.2668 | Up | CML | Calcium-binding protein | Signaling/stigmatic interaction |
| gene22316 | 1.1274 | Up | MOD | Aquaporin TIP1-3-like | Aquaporin-like/stigma hydration |
| gene53060 | −1.2181 | Down | MOD | Aquaporin PIP2-1 | |
| gene13907 | −1.3811 | Down | MOD | Aquaporin TIP2-1 | |
| gene9558 | −1.0234 | Down | EXO70 | Exocyst complex component EXO70B1 | Exocyst complex component |
Disclaimer/Publisher’s Note: The statements, opinions and data contained in all publications are solely those of the individual author(s) and contributor(s) and not of MDPI and/or the editor(s). MDPI and/or the editor(s) disclaim responsibility for any injury to people or property resulting from any ideas, methods, instructions or products referred to in the content. |
© 2025 by the authors. Licensee MDPI, Basel, Switzerland. This article is an open access article distributed under the terms and conditions of the Creative Commons Attribution (CC BY) license (https://creativecommons.org/licenses/by/4.0/).
Share and Cite
Zang, Y.; Cui, S.; Wei, S.; Pan, L.; Wan, L.; Ma, X.; Luo, Z.; Fu, J.; Wang, C. In Vitro Pollen Viability, Fluorescence Microscopy, and Transcriptomic Comparison of Self-Pollinated and Cross-Pollinated Inflorescence of Artemisia annua L. to Analyze Candidate Self-Incompatibility-Associated Genes. Horticulturae 2025, 11, 790. https://doi.org/10.3390/horticulturae11070790
Zang Y, Cui S, Wei S, Pan L, Wan L, Ma X, Luo Z, Fu J, Wang C. In Vitro Pollen Viability, Fluorescence Microscopy, and Transcriptomic Comparison of Self-Pollinated and Cross-Pollinated Inflorescence of Artemisia annua L. to Analyze Candidate Self-Incompatibility-Associated Genes. Horticulturae. 2025; 11(7):790. https://doi.org/10.3390/horticulturae11070790
Chicago/Turabian StyleZang, Yimei, Shengrong Cui, Shugen Wei, Limei Pan, Lingyun Wan, Xiaojun Ma, Zuliang Luo, Jine Fu, and Chongnan Wang. 2025. "In Vitro Pollen Viability, Fluorescence Microscopy, and Transcriptomic Comparison of Self-Pollinated and Cross-Pollinated Inflorescence of Artemisia annua L. to Analyze Candidate Self-Incompatibility-Associated Genes" Horticulturae 11, no. 7: 790. https://doi.org/10.3390/horticulturae11070790
APA StyleZang, Y., Cui, S., Wei, S., Pan, L., Wan, L., Ma, X., Luo, Z., Fu, J., & Wang, C. (2025). In Vitro Pollen Viability, Fluorescence Microscopy, and Transcriptomic Comparison of Self-Pollinated and Cross-Pollinated Inflorescence of Artemisia annua L. to Analyze Candidate Self-Incompatibility-Associated Genes. Horticulturae, 11(7), 790. https://doi.org/10.3390/horticulturae11070790

