Daily Light Integral and Nutrient Solution Electrical Conductivity for Tomato and Bell Pepper Seedling Production in an Indoor Vertical Farm with Artificial Lighting
Abstract
1. Introduction
2. Materials and Methods
2.1. Study Site and Plant Material
2.2. Indoor Vertical Farm System and Growing Conditions
2.3. Daily Light Integral and Nutrient Solution Electrical Conductivity Treatments
2.4. Growth Parameters and Nutrient Status
2.5. Experimental Design and Statistical Analysis
3. Results and Discussion
3.1. Harvest Time
3.2. Biomass Accumulation
3.3. Shoot-to-Root Ratio
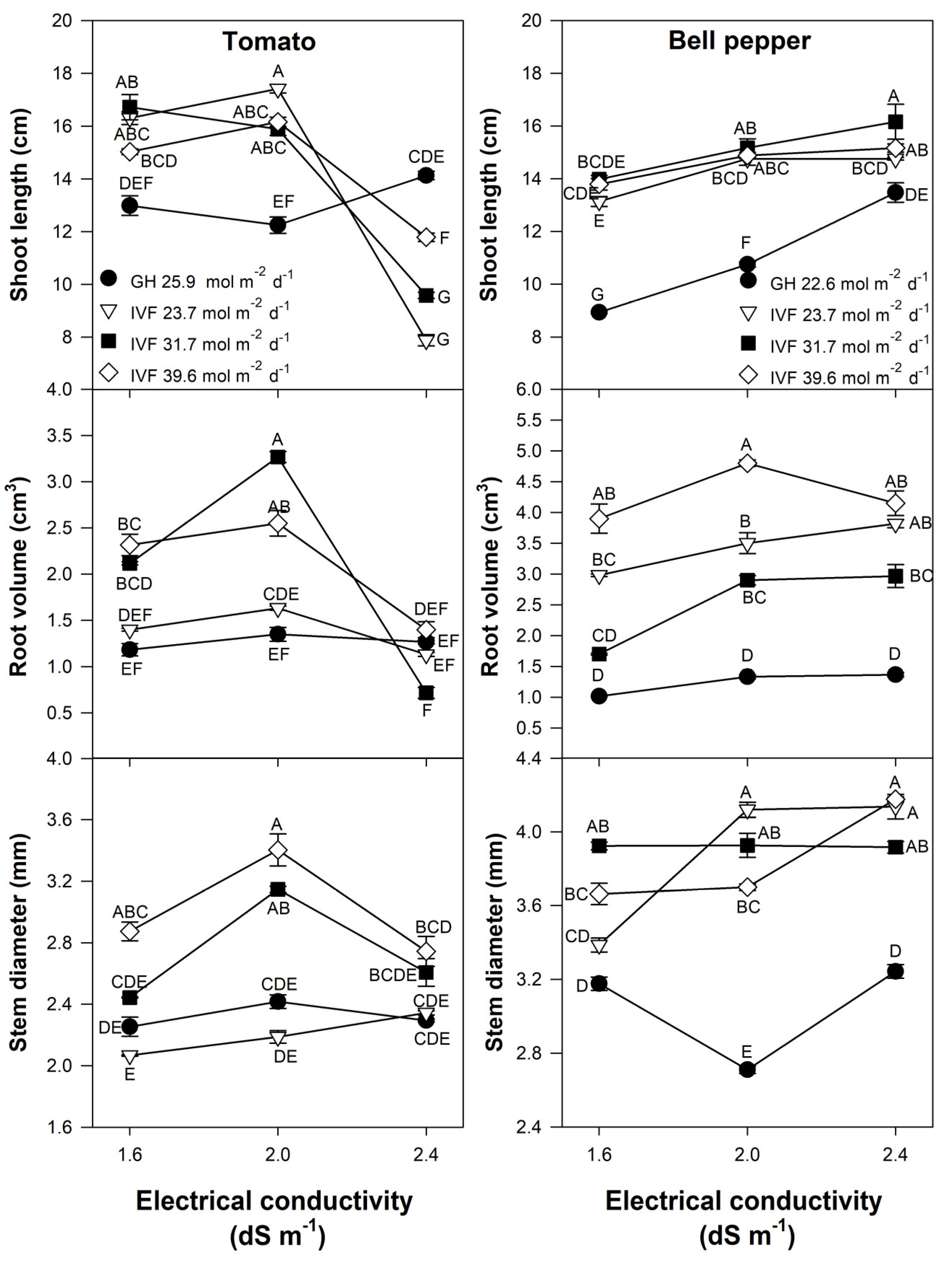
3.4. Shoot Length, Stem Diameter, and Root Volume
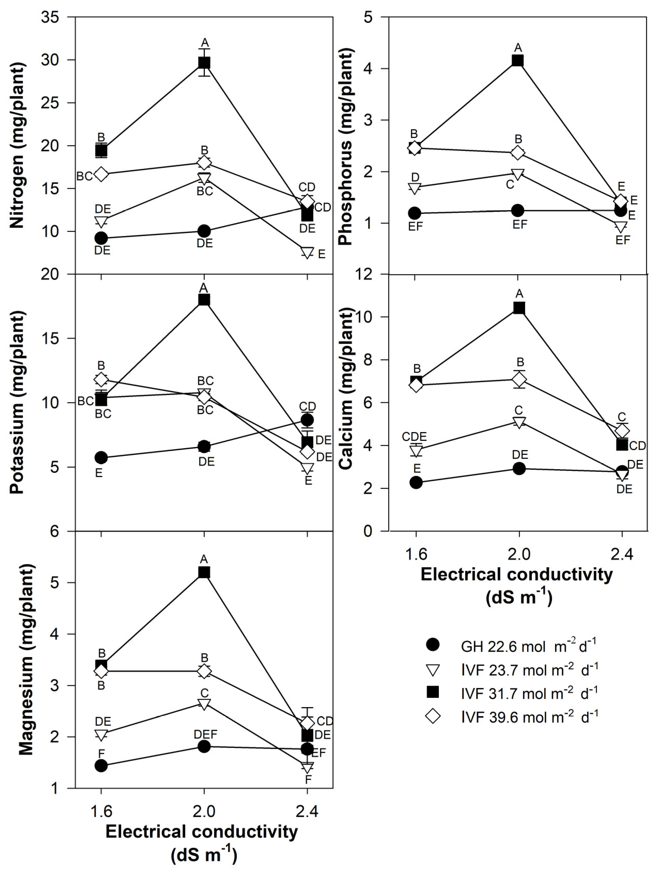
3.5. Nutrient Status
4. Conclusions
Author Contributions
Funding
Data Availability Statement
Acknowledgments
Conflicts of Interest
References
- Agehara, S.; Leskovar, D.I. Growth suppression by exogenous abscisic acid and uniconazole for prolonged marketability of bell pepper transplants in commercial conditions. Sci. Hortic. 2015, 194, 118–125. [Google Scholar] [CrossRef]
- Agehara, S.; Leskovar, D.I. Growth suppression by exogenous abscisic acid and uniconazole for prolonged marketability of tomato transplants in commercial conditions. HortScience 2017, 52, 606–611. [Google Scholar] [CrossRef]
- Carrera, C.G.; Calleja, J.C.; Pernas, M.; Gómez, L.; Oñate, S.L. An updated overview on the regulation of seed germination. Plants 2020, 9, 703. [Google Scholar] [CrossRef]
- Garcia, C.; Lopez, R.G. Supplemental radiation quality influences cucumber, tomato, and pepper transplant growth and development. HortScience 2020, 55, 804–811. [Google Scholar] [CrossRef]
- Liriano, G.R.; Terán, R.M.A.; Núñez, S.D.B.; Ibañez, M.D.; Pérez, R.J. Worm humus in the production of seedlings of Lycopersicon esculentum Mill in a community of Cojedes State, Venezuela. Cent. Agrícola 2017, 44, 23–29. Available online: http://scielo.sld.cu/pdf/cag/v44n4/cag04417.pdf (accessed on 27 January 2025).
- Paradiso, R.; Proietti, S. Light-quality manipulation to control plant growth and photomorphogenesis in greenhouse horticulture: The state of the art and the opportunities of modern LED systems. J. Plant Growth Regul. 2021, 41, 742–780. [Google Scholar] [CrossRef]
- Avgoustaki, D.D.; Xydis, G. Plant factories in the water-food-energy Nexus era: A systematic bibliographical review. Food Secur. 2020, 12, 253–268. [Google Scholar] [CrossRef]
- Van Delden, S.H.; SharathKumar, M.; Butturini, M. Current status and future challenges in implementing and upscaling vertical farming systems. Nat. Food 2021, 2, 944–956. [Google Scholar] [CrossRef]
- de Carbonnel, M.; Stormonth-Darling, J.M.; Liu, W.; Kuziak, D.; Jones, M.A. Realising the environmental potential of vertical farming systems through advances in plant photobiology. Biology 2022, 11, 922. [Google Scholar] [CrossRef]
- Benke, K.; Tomkins, B. Future food-production systems: Vertical farming and controlled-environment agriculture. Sustain. Sci. Pract. Policy 2017, 13, 13–26. [Google Scholar] [CrossRef]
- Avendaño-Abarca, V.H.; Alvarado-Camarillo, D.; Valdez-Aguilar, L.A.; Sánchez-Ortíz, E.A.; González-Fuentes, J.A.; Cartmill, A.D. Response of strawberry to the substitution of blue light by green light in an indoor vertical farming system. Agronomy 2023, 13, 99. [Google Scholar] [CrossRef]
- Dutta Gupta, S.; Agarwal, A. Artificial lighting system for plant growth and development: Chronological advancement, working principles, and comparative assessment. In Light Emitting Diodes for Agriculture: Smart Lighting; Dutta Gupta, S., Ed.; Springer: Singapore, 2017; pp. 1–25. [Google Scholar] [CrossRef]
- Hernandez, R.; Kubota, C. Tomato seedling growth and morphological responses to supplemental LED lighting red: Blue ratios under varied daily solar light integrals. Acta Hortic. 2012, 956, 187–194. [Google Scholar] [CrossRef]
- Alvarado-Camarillo, D.; Valdez-Aguilar, L.A.; Cartmill, D.L.; Cartmill, A.D. Strawberry grown in an indoor vertical farm responds to increased photosynthetic photon flux density when calcium is supplied at higher concentrations. HortScience 2024, 59, 1806–1814. [Google Scholar] [CrossRef]
- Torres, A.P.; Lopez, R.G. Photosynthetic daily light integral during propagation of Tecoma stans influences seedling rooting and growth. HortScience 2011, 46, 282–286. [Google Scholar] [CrossRef]
- Faust, J.E.; Logan, J. Daily light integral: A research review and high-resolution maps of the United States. HortScience 2018, 53, 1250–1257. [Google Scholar] [CrossRef]
- Poorter, H.; Fiorani, F.; Pieruschka, R.; Wojciechowski, T.; van der Putten, W.H.; Kleyer, M.; Uli, S.; Postma, J. Pampered inside, pestered outside? Differences and similarities between plants growing in controlled conditions and in the field. New Phytol. 2016, 212, 838–855. [Google Scholar] [CrossRef]
- Mayorga-Gomez, A.M.; Van Iersel, M.W.; Ferrarezi, R.S. Lowering the target daily light integrals following days with excessive lighting can reduce lettuce production costs. Front. Plant Sci. 2024, 15, 1467443. [Google Scholar] [CrossRef]
- Yan, Z.; Wang, L.; Dai, J.; Liu, Y.; Lin, D.; Yang, Y. Morphological and physiological responses of cucumber seedlings to different combinations of light intensity and photoperiod with the same daily light integral. HortScience 2021, 56, 1430–1438. [Google Scholar] [CrossRef]
- Torres, A.P.; Lopez, R.G. Measuring Daily Light Integral in a Greenhouse; Purdue Extension: West Lafayette, IN, USA, 2010; p. 7. Available online: www.extension.purdue.edu/extmedia/ho/ho-238-w.pdf (accessed on 15 January 2025).
- Kosai, T. Plant production process, floor plan, and layout of PFAL. In Plant Factory: An Indoor Vertical Farming System for Efficient Quality Food Production; Kosai, T., Niu, G., Takagaki, M., Eds.; Academic Press: Amsterdam, The Netherlands, 2020; pp. 261–271. [Google Scholar] [CrossRef]
- Aguirre-Becerra, H.; García, T.F.; Vázquez, H.C.; Alvarado, M.A.; Feregrino, P.A.A.; Guevara, G.G.R.; Contreras, M.M. Effect of extended photoperiod with a fixed mixture of light wavelengths on tomato seedlings. Hortscience 2020, 55, 1832–1839. [Google Scholar] [CrossRef]
- Yan, Z.; Cao, X.; Bing, L.; Lin, D.; Cheng, F.; Wang, K.; Qi, Y.; Yang, Y. Assessment of the growth and quality of pepper seedlings under the combinations of daily light integral and nitrogen concentration. Hortic. Environ. Biotechnol. 2025, 66, 331–346. [Google Scholar] [CrossRef]
- Zhang, M.; Cui, J.; Ju, J.; Hu, Y.; Liu, X.; He, R.; Song, J.; Huang, Y.; Liu, H. The impact of daily light integral from artificial lighting on tomato seedling cultivation in plant factory. Agronomy 2024, 15, 70. [Google Scholar] [CrossRef]
- Morgan, L. Daily Light Integral (DLI) and Greenhouse Tomato Production. Available online: www.spring-lake.net/pdfs/light-temp/DLI-tomato.pdf (accessed on 15 March 2025).
- Avgoustaki, D.D.; Vatsika, G.; Giakoumatos, A.; Bartzanas, T. How different daily light integrals and spectral treatments influence the development of Valerianella locusta plants grown in an indoor vertical farm. Sci. Horticul. 2024, 332, 113044. [Google Scholar] [CrossRef]
- Gavhane, K.P.; Hasan, M.; Singh, D.K.; Kumar, S.N.; Sahoo, R.N.; Alam, W. Determination of optimal daily light integral (DLI) for indoor cultivation of iceberg lettuce in an indigenous vertical hydroponic system. Sci. Rep. 2023, 13, 10923. [Google Scholar] [CrossRef]
- Hosseini, H.; Mozafari, V.; Roosta, H.R.; Shirani, H.; van de Vlasakker, P.C.; Farhangi, M. Nutrient use in vertical farming: Optimal electrical conductivity of nutrient solution for growth of lettuce and basil in hydroponic cultivation. Horticulturae 2021, 7, 283. [Google Scholar] [CrossRef]
- Soltanpour, P.N.; Johnson, G.W.; Workman, S.M.; Jones, J.B.; Miller, R.O. Inductively coupled plasma emission spectrometry and inductively coupled plasma mass spectrometry. In Methods of Soil Analysis. Part 3. Chemical Methods; Sparks, D.L., Ed.; Soil Science Society of North America: Madison, WI, USA, 1996; pp. 91–139. [Google Scholar]
- Bremner, J.M. Total nitrogen. In Methods of Soil Analysis. Part II. Chemical Methods; Sparks, D.L., Ed.; Soil Science Society of America: Madison, WI, USA, 1996; pp. 1085–1086. [Google Scholar]
- Kozai, T. Closed systems with lamps for high quality transplant production at low costs using minimum resources. In Plant Tissue Culture Engineering; Gupta, S.D., Ibaraki, Y., Eds.; Spinger: Dordrecht, The Netherlands, 2008; pp. 275–312. [Google Scholar] [CrossRef]
- Chen, L.L.; Zhang, K.; Gong, X.C.; Wang, H.Y.; Gao, Y.H.; Wang, X.Q.; Zeng, Z.; Hu, Y.G. Effects of different LEDs light spectrum on the growth, leaf anatomy, and chloroplast ultrastructure of potato plantlets in vitro and minituber production after transplanting in the greenhouse. J. Integr. Agric. 2020, 19, 108–119. [Google Scholar] [CrossRef]
- Ke, X.; Yoshida, H.; Hikosaka, S.; Goto, E. Optimization of photosynthetic photon flux density and quality for increasing radiation- use efficiency in dwarf tomato under led light at the vegetative growth stage. Plants 2022, 11, 121. [Google Scholar] [CrossRef]
- Bonarota, M.S.; Kosma, D.K.; Barrios-Masias, F.H. Salt tolerance mechanisms in the Lycopersicon clade and their trade-offs. AoB Plants 2022, 14, plab072. [Google Scholar] [CrossRef] [PubMed]
- da Silva, J.M.; Fontes, P.C.R.; Milagres, C.D.C.; de Abreu, J.A.A. Yield and nitrogen use efficiency of bell pepper grown in SLAB fertigated with different nitrogen rates. J. Plant Nutr. 2020, 43, 2833–2843. [Google Scholar] [CrossRef]
- Savvas, D.; Ntatsi, G.; Passam, H.C. Plant nutrition and physiological disorders in greenhouse grown tomato, pepper and eggplant. Eur. J. Plant Sci. Biotechnol. 2008, 2, 45–61. Available online: http://www.globalsciencebooks.info/Online/GSBOnline/images/0812/EJPSB_2(SI1)/EJPSB_2(SI1)45-61o.pdf (accessed on 12 February 2025).
- Molinero-Rosales, N.; Latorre, A.; Jamilena, M.; Lozano, R. SINGLE FLOWER TRUSS regulates the transition and maintenance of flowering in tomato. Planta 2004, 218, 427–434. [Google Scholar] [CrossRef]
- Velez-Ramirez, A.I.; Heuvelink, E.; van Ieperen, W.; Vreugdenhil, D.; Millenaar, F.F. Continuous Light as a Way to Increase Greenhouse Tomato Production: Expected Challenges. Acta Hortic. 2012, 956, 51–57. [Google Scholar] [CrossRef]
- Lanoue, J.; Thibodeau, A.; Little, C.; Zheng, J.; Grodzinski, B.; Hao, X. Light spectra and root stocks affect response of greenhouse tomatoes to long photoperiod of supplemental lighting. Plants 2021, 10, 1674. [Google Scholar] [CrossRef] [PubMed]
- Cruz, S.; Gómez, C. Effects of daily light integral on compact tomato plants grown for indoor gardening. Agronomy 2022, 12, 1704. [Google Scholar] [CrossRef]
- Steed, G.; Ramirez, D.C.; Hannah, M.A.; Webb, A.A. Chronoculture, harnessing the circadian clock to improve crop yield and sustainability. Science 2021, 372, eabc9141. [Google Scholar] [CrossRef]
- Xiang, Y.; Sapir, T.; Rouillard, P.; Ferrand, M.; Jiménez-Gómez, J.M. Interaction between photoperiod and variation in circadian rhythms in tomato. BMC Plant Biol. 2022, 22, 187. [Google Scholar] [CrossRef] [PubMed]
- Müller, N.A.; Wijnen, C.L.; Srinivasan, A.; Ryngajllo, M.; Ofner, I.; Lin, T.; Ranjan, A.; West, D.; Maloof, J.N.; Sinha, R.; et al. Domestication selected for deceleration of the circadian clock in cultivated tomato. Nat. Genet. 2016, 48, 89–93. [Google Scholar] [CrossRef] [PubMed]
- Veléz-Ramírez, A.I. Continuous Light in Tomato. From Gene to Yield. Ph.D. Thesis, Wageningen University, Wageningen, The Netherlands, 19 September 2014. [Google Scholar] [CrossRef]
- Lanoue, J.; St. Louis, S.; Little, C.; Hao, X. Photosynthetic adaptation strategies in peppers under continuous lighting: Insights into photosystem protection. Front. Plant Sci. 2024, 15, 1372886. [Google Scholar] [CrossRef]
- Hwang, H.; An, S.; Pham, M.D.; Cui, M.; Chun, C. The combined conditions of photoperiod, light intensity, and air temperature control the growth and development of tomato and red pepper seedlings in a closed transplant production system. Sustainability 2020, 12, 9939. [Google Scholar] [CrossRef]
- Miyama, Y. Effects of different light sources on shoot to root ratio and intumescence incidence in tomato seedlings grown in a commercial closed seedling production system. Int. J. Hortic. Sci. Technol. 2022, 10, 1–8. [Google Scholar] [CrossRef]
- Brazaitytė, A.; Miliauskienė, J.; Vaštakaitė-Kairienė, V.; Sutulienė, R.; Laužikė, K.; Duchovskis, P.; Małek, S. Effect of different ratios of blue and red led light on brassicaceae microgreens under a controlled environment. Plants 2021, 10, 801. [Google Scholar] [CrossRef]
- Lanoue, J.; Leonardos, E.D.; Grodzinski, B. Effects of light quality and intensity on diurnal patterns and rates of photo-assimilate translocation and transpiration in tomato leaves. Front. Plant Sci. 2018, 9, 756. [Google Scholar] [CrossRef] [PubMed]
- Miotto, Y.E.; da Costa, C.T.; Offringa, R.; Kleine-Vehn, J.; dos Santos, M.F. Effects of light intensity on root development in a D-root growth system. Front. Plant Sci. 2021, 12, 778382. [Google Scholar] [CrossRef] [PubMed]
- Huang, W.; Ding, Y.; Wang, S.; Song, C.; Wang, F. Growth and development responses of the rhizome-root system in (Pleioblastus pygmaeus) to light intensity. Plants 2022, 11, 2204. [Google Scholar] [CrossRef] [PubMed]
- Ding, D.; Li, J.; Xie, J.; Li, N.; Bakpa, E.P.; Han, K.; Yang, Y.; Wang, C. Exogenous zeaxanthin alleviates low temperature combined with low light induced photosynthesis inhibition and oxidative stress in pepper (Capsicum annuum L.) Plants. Curr. Issues Mol. Biol. 2022, 44, 2453–2471. [Google Scholar] [CrossRef] [PubMed]
- Fan, X.X.; Xu, Z.G.; Liu, X.Y.; Tang, C.M.; Wang, L.W.; Han, X.L. Effects of light intensity on the growth and leaf development of young tomato plants grown under a combination of red and blue light. Sci. Hortic. 2013, 153, 50–55. [Google Scholar] [CrossRef]
- Kim, H.; Hwang, S. The growth and development of ‘mini chal’ tomato plug seedlings grown under various wavelengths using light emitting diodes. Agronomy 2019, 9, 157. [Google Scholar] [CrossRef]
- Carballo, M.F.J.; Urrestarazu, M.; Rodríguez, O.J.C.; Morales, I. Electrical conductivity of the nutrient solution on the vegetative propagation of bell pepper and tomato. Cienc. Rural. 2021, 3, 2. [Google Scholar] [CrossRef]
- Utasi, L.; Kovacs, V.; Gulyas, Z.; Marcek, T.; Janda, T.; Darko, E. Threshold or not: Spectral composition and light-intensity dependence of growth and metabolism in tomato seedlings. Sci. Hortic. 2023, 313, 111946. [Google Scholar] [CrossRef]
- Kalaitzoglou, P.; Taylor, C.; Calders, K.; Hogervorst, M.; Van, W.; Harbinson, J.; Visser, P.; Nicole, C.C.S.; Marcelis, L.F.M. Unraveling the effects of blue light in an artificial solar background light on growth of tomato plants. Environ. Exp. Bot. 2021, 184, 104377. [Google Scholar] [CrossRef]
- Jin, D.; Su, X.; Li, Y.; Shi, M.; Yang, B.; Wan, W.; Wen, X.; Yang, S.; Ding, X.; Zou, J. Effect of red and blue light on cucumber seedlings grown in a plant factory. Horticulturae 2023, 9, 124. [Google Scholar] [CrossRef]
- Izzo, L.G.; Mickens, M.A.; Aronne, G.; Gómez, C. Spectral effects of blue and red light on growth, anatomy, and physiology of lettuce. Physiol. Plant. 2021, 172, 2191–2202. [Google Scholar] [CrossRef] [PubMed]
- Vaštakaitė-Kairienė, V.; Brazaitytė, A.; Miliauskienė, J.; Runkle, E.S. Red to blue light ratio and iron nutrition influence growth, metabolic response, and mineral nutrients of spinach grown indoors. Sustainability 2022, 14, 12564. [Google Scholar] [CrossRef]
- Son, K.H.; Kim, E.Y.; Oh, M.M. Growth and development of cherry tomato seedlings grown under various combined ratios of red to blue LED lights and fruit yield and quality after transplanting. J. Bio-Environ. Control. 2018, 27, 54–63. [Google Scholar] [CrossRef]
- Nasiri, Z.; Ghasemi, K.; Bahmanyar, M.A.; Agehara, S. Effects of different LED light spectra and nutrient solution strength on the growth, photosynthetic parameters, and nutrients uptake in tomato seedlings. J. Plant Nutr. 2025, 48, 864–875. [Google Scholar] [CrossRef]
- Gupta, M.K.; Chandra, P.; Samuel, D.V.K.; Singh, B.; Singh, A.; Garg, M.K. Modeling of tomato seedling growth in greenhouse. Agric. Res. 2012, 1, 362–369. [Google Scholar] [CrossRef]
- Currey, C.J.; Walters, K.J.; Flax, N.J. Nutrient solution strength does not interact with the daily light integral to affect hydroponic cilantro, dill, and parsley growth and tissue mineral nutrient concentrations. Agronomy 2019, 9, 389. [Google Scholar] [CrossRef]
- Yan, Z.; He, D.; Niu, G.; Zhou, Q.; Qu, Y. Growth, nutritional quality, and energy use efficiency of hydroponic lettuce as influenced by daily light integrals exposed to white versus white plus red light-emitting diodes. HortScience 2019, 54, 1737–1744. [Google Scholar] [CrossRef]
- He, J.; Gan, J.H.S.; Qin, L. Productivity, photosynthetic light-use efficiency, nitrogen metabolism and nutritional quality of C4 halophyte Portulaca oleracea L. grown indoors under different light intensities and durations. Front. Plant Sci. 2023, 14, 1106394. [Google Scholar] [CrossRef]
- Walters, K.J.; Currey, C.J. Effects of nutrient solution concentration and daily light integral on growth and nutrient concentration of several basil species in hydroponic production. HortScience 2018, 53, 1319–1325. [Google Scholar] [CrossRef]











| DLI 1 mol m−2 d−1 | PPFD µmol m−2 s−1 | Temp °C | RH % | ||||
|---|---|---|---|---|---|---|---|
| Day | Night | Night | Day | ||||
| Greenhouse | Tomato | 25.9 | 517 | 26.8 | 17.8 | 86.2 | 63.2 |
| Bell pepper | 22.6 | 464 | 23.9 | 17.8 | 89.4 | 68.1 | |
| Indoor Vertical Farm | 23.7 | 275 | 25.0 | 15.0 | 90.0 | 60.0 | |
| 31.7 | 367 | ||||||
| 39.6 | 458 | ||||||
| Factor | Level | Leaf | Stem | Root | Total | Shoot-to-Root Ratio | Shoot Length (cm) | Stem Diameter (mm) | Root Volume (mL) |
|---|---|---|---|---|---|---|---|---|---|
| DW (g) | |||||||||
| DLI | GH 25.9 | 0.17 ± 0.01d 1 | 0.09 ± 0.01d | 0.06 ± 0.01d | 0.32 ± 0.01d | 4.33 ± 0.15a | 13.1 ± 0.40d | 2.32 ± 0.05c | 1.27 ± 0.06d |
| IVF 23.7 | 0.27 ± 0.03c | 0.10 ± 0.01c | 0.11 ± 0.01c | 0.49 ± 0.05c | 3.36 ± 0.34b | 13.9 ± 1.51c | 2.20 ± 0.05c | 1.39 ± 0.07c | |
| IVF 31.7 | 0.44 ± 0.06a | 0.16 ± 0.02a | 0.17 ± 0.02a | 0.77 ± 0.10a | 3.58 ± 0.30b | 14.1 ± 1.16b | 2.73 ± 0.12b | 2.03 ± 0.37b | |
| IVF 39.6 | 0.38 ± 0.03b | 0.14 ± 0.01b | 0.15 ± 0.01b | 0.67 ± 0.04b | 3.50 ± 0.16b | 14.3 ± 0.69a | 3.01 ± 0.13a | 2.09 ± 0.21a | |
| EC | 1.6 | 0.33 ± 0.03b | 0.12 ± 0.01b | 0.12 ± 0.01b | 0.56 ± 0.06b | 4.10 ± 0.20a | 15.3 ± 0.51b | 2.41 ± 0.10b | 1.75 ± 0.15b |
| 2.0 | 0.41 ± 0.05a | 0.15 ± 0.02a | 0.15 ± 0.02a | 0.72 ± 0.09a | 3.73 ± 0.15a | 15.4 ± 0.60a | 2.79 ± 0.16a | 2.20 ± 0.24a | |
| 2.4 | 0.21 ± 0.01c | 0.09 ± 0.01c | 0.10 ± 0.01c | 0.40 ± 0.24c | 3.25 ± 0.28b | 10.9 ± 0.73c | 2.50 ± 0.08b | 1.13 ± 0.09c | |
| Anova | DLI | p < 0.001 | p < 0.001 | p < 0.001 | p < 0.001 | p < 0.001 | p < 0.001 | p < 0.001 | p < 0.001 |
| EC | p < 0.001 | p < 0.001 | p < 0.001 | p < 0.001 | p < 0.001 | p < 0.001 | p < 0.001 | p < 0.001 | |
| Interaction | p < 0.001 | p < 0.001 | p < 0.001 | p < 0.001 | p < 0.001 | p < 0.001 | p = 0.026 | p < 0.001 | |
| Factor | Level | Leaf | Stem | Root | Total | Shoot-to-Root Ratio | Shoot Length (cm) | Stem Diameter (mm) | Root Volume (mL) |
|---|---|---|---|---|---|---|---|---|---|
| DW (g) | |||||||||
| DLI | GH 22.6 | 0.19 ± 0.01c 1 | 0.09 ± 0.01c | 0.11 ± 0.01d | 0.39 ± 0.02c | 2.50 ± 0.09b | 11.1 ± 0.67c | 3.04 ± 0.09b | 1.24 ± 0.06d |
| IVF 23.7 | 0.42 ± 0.03b | 0.28 ± 0.02b | 0.33 ± 0.02b | 1.03 ± 0.07b | 2.12 ± 0.13b | 14.2 ± 0.31b | 3.88 ± 0.13a | 3.43 ± 0.16b | |
| IVF 31.7 | 0.51 ± 0.03a | 0.26 ± 0.01b | 0.24 ± 0.02c | 1.01 ± 0.04b | 3.50 ± 0.35a | 15.1 ± 0.34a | 3.92 ± 0.04a | 2.52 ± 0.24c | |
| IVF 39.6 | 0.54 ± 0.04a | 0.35 ± 0.02a | 0.41 ± 0.02a | 1.30 ± 0.05a | 2.24 ± 0.27b | 14.6 ± 0.24ab | 3.84 ± 0.09a | 4.28 ± 0.23a | |
| EC | 1.6 | 0.39 ± 0.05b | 0.20 ± 0.03c | 0.23 ± 0.03b | 0.82 ± 0.10c | 2.77 ± 0.35a | 12.5 ± 0.63c | 3.54 ± 0.09b | 2.40 ± 0.35b |
| 2.0 | 0.36 ± 0.03b | 0.23 ± 0.03b | 0.30 ± 0.04a | 0.90 ± 0.09b | 2.17 ± 0.12b | 13.9 ± 0.56b | 3.61 ± 0.17b | 3.13 ± 0.38a | |
| 2.4 | 0.50 ± 0.05a | 0.30 ± 0.03a | 0.29 ± 0.03a | 1.09 ± 0.12a | 2.83 ± 0.17a | 14.9 ± 0.31a | 3.87 ± 0.12a | 3.10 ± 0.35a | |
| Anova | DLI | p < 0.001 | p < 0.001 | p < 0.001 | p < 0.001 | p < 0.001 | p < 0.001 | p < 0.001 | p < 0.001 |
| EC | p < 0.001 | p < 0.001 | p < 0.001 | p < 0.001 | p < 0.001 | p < 0.001 | p < 0.001 | p < 0.001 | |
| Interaction | p < 0.001 | p < 0.001 | p < 0.001 | p = 0.176 | p < 0.001 | p < 0.001 | p < 0.001 | p < 0.001 | |
| DLI | N | P | K | Ca | Mg | B | Cu | Fe | Mn | Zn | Mo |
|---|---|---|---|---|---|---|---|---|---|---|---|
| (g kg−1) | (mg kg−1) | ||||||||||
| GH 25.9 | 33.9 ± 0.97a 1 | 6.57 ± 0.12a | 26.1 ± 0.81a | 11.4 ± 0.85a | 8.75 ± 0.21a | 90.0 ± 3.88a | 7.79 ± 0.18c | 120.3 ± 2.11d | 92.4 ± 1.88a | 26.3 ± 1.28a | 11.76 ± 1.82 |
| IVF 23.7 | 28.2 ± 0.85bc | 5.59 ± 0.24b | 17.4 ± 1.23c | 11.0 ± 0.65a | 7.44 ± 0.35b | 82.5 ± 5.99b | 10.51 ± 0.98b | 165.1 ± 9.81a | 70.9 ± 4.01c | 21.9 ± 0.99b | 10.48 ± 1.58 |
| IVF 31.7 | 27.2 ± 0.90c | 4.79 ± 0.08d | 20.1 ± 0.98b | 8.8 ± 0.78b | 6.69 ± 0.15c | 69.5 ± 4.08c | 8.50 ± 0.38c | 188.9 ± 14.41a | 71.8 ± 2.10c | 23.7 ± 1.95b | 7.21 ± 1.26 |
| IVF 39.6 | 29.7 ± 1.05b | 5.19 ± 0.19c | 20.8 ± 0.66b | 10.9 ± 0.89a | 7.21 ± 0.15b | 71.0 ± 3.91c | 12.22 ± 1.53a | 167.9 ± 8.00a | 80.1 ± 3.31b | 22.4 ± 1.45b | 12.51 ± 2.00 |
| EC | |||||||||||
| 1.6 | 29.0 ± 0.83 | 5.51 ± 0.29ab | 21.9 ± 1.24a | 10.4 ± 0.67ab | 7.89 ± 0.33a | 87.6 ± 5.26a | 8.46 ± 0.22b | 153.0 ± 8.01 | 84.6 ± 2.87a | 26.1 ± 0.95a | 11.81 ± 1.73 |
| 2.0 | 29.2 ± 1.22 | 5.71 ± 0.20a | 21.5 ± 0.89a | 11.7 ± 0.81a | 7.57 ± 0.22a | 75.7 ± 3.19b | 8.47 ± 0.27b | 156.4 ± 10.81 | 79.7 ± 3.34a | 25.4 ± 0.98 | 8.59 ± 1.28 |
| 2.4 | 31.0 ± 1.14 | 5.39 ± 0.23b | 19.9 ± 1.45b | 9.4 ± 0.56b | 7.11 ± 0.30b | 71.6 ± 3.78b | 12.34 ± 1.30a | 172.2 ± 13.18 | 72.2 ± 3.61b | 19.3 ± 1.02b | 11.08 ± 1.49 |
| Anova | |||||||||||
| DLI | p < 0.001 | p < 0.001 | p < 0.001 | p = 0.047 | p < 0.001 | p < 0.001 | p < 0.001 | p < 0.001 | p < 0.001 | p = 0.009 | p = 0.150 |
| EC | p = 0.084 | p = 0.096 | p = 0.028 | p = 0.031 | p = 0.005 | p < 0.001 | p < 0.001 | p = 0.148 | p < 0.001 | p < 0.001 | p = 0.268 |
| Interaction | p = 0.032 | p < 0.001 | p < 0.001 | p = 0.151 | p = 0.026 | p < 0.001 | p < 0.001 | p = 0.029 | p = 0.010 | p = 0.030 | p = 0.277 |
| DLI | N | P | K | Ca | Mg | B | Cu | Fe | Mn | Zn | Mo |
|---|---|---|---|---|---|---|---|---|---|---|---|
| (g kg−1) | (mg kg−1) | ||||||||||
| GH 22.6 | 33.5 ± 1.20a 1 | 3.88 ± 0.10a | 21.7 ± 1.15a | 8.34 ± 0.25 | 5.25 ± 0.13a | 48.2 ± 1.53b | 4.45 ± 0.15a | 119.0 ± 5.27b | 57.6 ± 3.01a | 37.9 ± 1.27a | 11.07 ± 1.72 |
| IVF 23.7 | 24.0 ± 0.90b | 3.16 ± 0.07c | 17.6 ± 1.01b | 7.98 ± 0.50 | 4.26 ± 0.09b | 64.8 ± 3.90a | 3.40 ± 0.14c | 157.6 ± 9.66a | 34.2 ± 2.01c | 23.9 ± 1.50c | 10.28 ± 2.23 |
| IVF 31.7 | 26.5 ± 1.24b | 3.40 ± 0.13b | 15.1 ± 1.10bc | 9.30 ± 0.43 | 4.59 ± 0.12b | 63.1 ± 4.76a | 3.93 ± 0.14b | 171.0 ± 11.09a | 41.5 ± 1.80b | 29.6 ± 2.02b | 9.98 ± 1.82 |
| IVF 39.6 | 24.2 ± 1.10b | 3.08 ± 0.12c | 14.0 ± 0.79c | 9.20 ± 0.39 | 4.39 ± 0.15b | 65.4 ± 4.52a | 3.31 ± 0.15c | 175.5 ± 13.24a | 37.3 ± 2.60bc | 31.1 ± 2.25b | 11.58 ± 1.35 |
| EC | |||||||||||
| 1.6 | 25.9 ± 1.31 | 3.56 ± 0.12a | 17.7 ± 1.03 | 8.56 ± 0.36 | 4.55 ± 0.12 | 60.5 ± 3.24ab | 3.80 ± 0.14 | 150.7 ± 9.64 | 37.8 ± 2.25b | 32.3 ± 1.97a | 10.95 ± 1.49 |
| 2.0 | 26.5 ± 1.15 | 3.43 ± 0.14a | 16.7 ± 0.82 | 8.85 ± 0.22 | 4.66 ± 0.20 | 66.1 ± 4.65a | 3.83 ± 0.21 | 156.0 ± 9.36 | 44.8 ± 4.31a | 33.8 ± 1.91a | 10.92 ± 1.85 |
| 2.4 | 28.7 ± 1.84 | 3.14 ± 0.10b | 17.0 ± 1.71 | 8.70 ± 0.51 | 4.65 ± 0.14 | 54.6 ± 2.92b | 3.68 ± 0.20 | 160.7 ± 13.35 | 45.4 ± 2.79a | 25.7 ± 1.71b | 10.32 ± 1.26 |
| Anova | |||||||||||
| DLI | p < 0.001 | p < 0.001 | p < 0.001 | p = 0.154 | p < 0.001 | p = 0.006 | p < 0.001 | p = 0.005 | p < 0.001 | p < 0.001 | p = 0.932 |
| EC | p = 0.125 | p = 0.001 | p = 0.675 | p = 0.882 | p = 0.710 | p = 0.041 | p = 0.699 | p = 0.751 | p = 0.005 | p < 0.001 | p = 0.957 |
| Interaction | p = 0.477 | p = 0.092 | p = 0.043 | p = 0.917 | p = 0.246 | p = 0.436 | p = 0.650 | p = 0.404 | p = 0.048 | p = 0.027 | p = 0.474 |
Disclaimer/Publisher’s Note: The statements, opinions and data contained in all publications are solely those of the individual author(s) and contributor(s) and not of MDPI and/or the editor(s). MDPI and/or the editor(s) disclaim responsibility for any injury to people or property resulting from any ideas, methods, instructions or products referred to in the content. |
© 2025 by the authors. Licensee MDPI, Basel, Switzerland. This article is an open access article distributed under the terms and conditions of the Creative Commons Attribution (CC BY) license (https://creativecommons.org/licenses/by/4.0/).
Share and Cite
Adame-Adame, D.Y.; Alvarado-Camarillo, D.; Valdez-Aguilar, L.A.; Cartmill, A.D.; Cartmill, D.L.; Soriano-Melgar, L.d.A.A. Daily Light Integral and Nutrient Solution Electrical Conductivity for Tomato and Bell Pepper Seedling Production in an Indoor Vertical Farm with Artificial Lighting. Horticulturae 2025, 11, 454. https://doi.org/10.3390/horticulturae11050454
Adame-Adame DY, Alvarado-Camarillo D, Valdez-Aguilar LA, Cartmill AD, Cartmill DL, Soriano-Melgar LdAA. Daily Light Integral and Nutrient Solution Electrical Conductivity for Tomato and Bell Pepper Seedling Production in an Indoor Vertical Farm with Artificial Lighting. Horticulturae. 2025; 11(5):454. https://doi.org/10.3390/horticulturae11050454
Chicago/Turabian StyleAdame-Adame, Deyalem Yazmin, Daniela Alvarado-Camarillo, Luis Alonso Valdez-Aguilar, Andrew D. Cartmill, Donita L. Cartmill, and Lluvia de Abril Alexandra Soriano-Melgar. 2025. "Daily Light Integral and Nutrient Solution Electrical Conductivity for Tomato and Bell Pepper Seedling Production in an Indoor Vertical Farm with Artificial Lighting" Horticulturae 11, no. 5: 454. https://doi.org/10.3390/horticulturae11050454
APA StyleAdame-Adame, D. Y., Alvarado-Camarillo, D., Valdez-Aguilar, L. A., Cartmill, A. D., Cartmill, D. L., & Soriano-Melgar, L. d. A. A. (2025). Daily Light Integral and Nutrient Solution Electrical Conductivity for Tomato and Bell Pepper Seedling Production in an Indoor Vertical Farm with Artificial Lighting. Horticulturae, 11(5), 454. https://doi.org/10.3390/horticulturae11050454

