Comparative Analysis of the Effects of Different Mulching Materials on Microclimate and Fruit Quality in Apricot Orchards
Abstract
1. Introduction
2. Materials and Methods
2.1. Materials
2.2. Experimental Design
2.3. Measurements
2.3.1. Data Collection of Environmental Factors in the Apricot Orchard
2.3.2. Fruit Quality Measurement
2.3.3. Data Analysis
3. Results
3.1. The Effects of Mulching on Environmental Factors
3.2. The Effects of Mulching on Appearance Characteristics
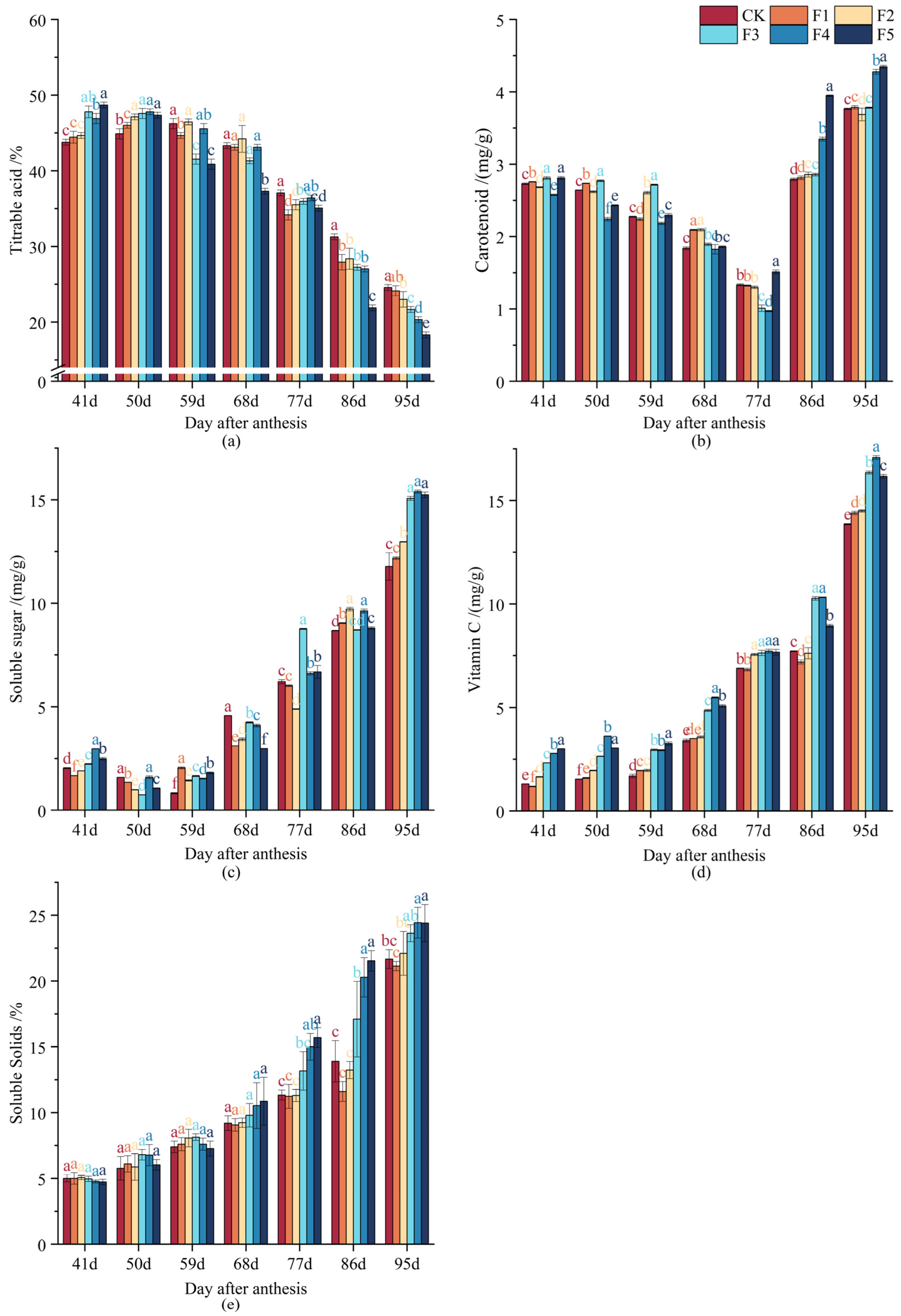
3.3. The Effects of Mulching on the Internal Quality of Fruits
3.4. Correlation Analysis Among Fruit Quality Indicators of Covering with Different Materials
4. Discussion
4.1. Influenced by Plastic Film Mulching on Orchard Microenvironment
4.2. Influenced by Plastic Film Mulching on Fruit Quality
5. Conclusions
Author Contributions
Funding
Data Availability Statement
Conflicts of Interest
References
- Xinjiang Uygur Autonomous Region Bureau of Statisticsnational Bureau of Statistics, Xinjiang Survey Team. Xinjiang Statistical Yaerbook; China Statistics Press: Beijing, China, 2021; p. 498.
- Li, J.; Ding, Y.; Hu, C.; Yi, X.K. Research and Development of Apricot Drying Technology in Xinjiang. Mod. Agric. Equip. 2021, 42, 6–10. [Google Scholar]
- Zhang, J.N.; Xu, M. A Brief Discussion on Orchard Soil Management. Mod. Agric. 2018, 65. [Google Scholar]
- Wang, Y.; Liu, F.; Wang, H. High quality and high-yield cultivation techniques for Lanzhou Dajie apricot. North. Hortic. 2013, 50–51. [Google Scholar]
- Wu, Y.; Sun, M.D.; Liu, S.Z. Mulching broad ridges with a woven polypropylene fabric increases the growth and yield of young pear trees ‘Yuluxiang’ in the North China Plain. Hortic. Plant J. 2022, 9, 414–424. [Google Scholar] [CrossRef]
- Yuan, Y.; Xie, Y.M.; Li, B.; Wei, X.Y.; Huang, R.T.; Liu, S.Q.; Ma, L.L. To improve grape photosynthesis, yield and fruit quality by covering reflective film on the ground of a protected facility. Sci. Hortic. 2024, 327, 112792. [Google Scholar]
- Guo, L.; Liu, S.; Zhang, P.; Hakeem, A.; Song, H.; Yu, M.; Wang, F. Effects of Different Mulching Practices on Soil Environment and Fruit Quality in Peach Orchards. Plants 2024, 13, 827. [Google Scholar] [CrossRef]
- Xiang, Q.; Ma, T.; Wang, X.; Yang, Q.; Lv, L.; Wang, R.; Li, J.; Ma, J. Effects of Different Living Grass Mulching on Soil Carbon and Nitrogen in an Apple Orchard on Loess Plateau. Agronomy 2024, 14, 1917. [Google Scholar] [CrossRef]
- Yang, L.; Wang, M.; Li, S.; Yu, J.; Chen, Y.; Yang, H.; Wang, W.; Chen, H.; Hong, L. Effect of Different Mulching Practices on Bacterial Community Composition and Fruit Quality in a Citrus Orchard. Agriculture 2023, 13, 1914. [Google Scholar] [CrossRef]
- Dong, H.Q.; Li, B.Z.; Wang, J.F.; Wang, J.F.; Liu, F.T.; Li, X.W. Effects of Different Mulching Patterns on Growth of Apple Trees and Soil Physicochemical Properties. Acta Agric. Boreali-Occident. Sin. 2015, 24, 101–109. [Google Scholar] [CrossRef]
- Zhou, L.M.; Li, F.M.; Jin, S.L.; Song, Y. How two ridges and the furrow mulched with plastic film affect soil water, soil temperature and yield of maize on the semiarid Loess Plateau of China. Field Crop. Res. 2009, 113, 41–47. [Google Scholar]
- Wang, H.; Wang, L.; Wang, J.; Jiang, F.; Liu, H.M.; Ye, J.; Deng, N.L.; Xu, W.P.; Zhang, C.X.; Wang, S.P. Effects of vapor-permeable reflective film mulching on citrus tree micro-environment, shoot growth and fruit development. J. Fruit Sci. 2017, 34, 996–1006. [Google Scholar]
- Chen, J.W.; Xie, M.; Xu, H.X.; Fang, W.W.; Wu, D.L.; Xiao, J.P.; Zhang, H.Q. Effects of mulch using vapor permeable light reflecting film on fruit quality of Satsuma mandarin. Acta Agric. Zhejiangensis 2011, 23, 1095–1099. [Google Scholar]
- Wang, X.L.; Shu, Y.X.; Zhao, P.L.; Li, H.G.; Xu, X.Y.; Wu, C.Y. The influence of different coverage methods on the quality of jujube orchard fruits. Contemp. Hortic. 2023, 46, 1–3. [Google Scholar]
- Tang, X.S.; Cao, C.L.; Zhang, X.; Li, Y.M.; Ma, H.Q. Effects of new reflective material on the berry quality and coloring of Benni Fuji grapes. J. China Agric. Univ. 2015, 20, 51–58. [Google Scholar]
- Jia, X.M.; Yang, Q.; Li, W.T.; Liu, M.Y.; He, S.L.; Deng, L.; Xie, R.J.; Yi, S.L.; Lv, Q.; Zheng, Y.Q. The effect of ground covering with Tyvek white non-woven fabric on the quality of citrus fruits. South China Fruits 2017, 46, 10–13. [Google Scholar]
- Gao, Z.N.; Xiong, R.C.; Tan, Z.M. Preliminary Analysis on the Etiology of Bottom-crinkle of Jujube in Alar Reclamation Area. Heilongjiang Agric. Sci. 2021, 2021, 35–38. [Google Scholar] [CrossRef]
- Xu, C.S.; Xu, A.H.; Gao, D.S.; Cheng, S.H. Mathematical Model of Apple Fruit Growth and Correlation Analysis among Growth Indices. Plant Sci. J. 2015, 33, 72–80. [Google Scholar]
- Zhang, Y.S.; Xiao, Z.L.; Gu, Q.Y.; Dou, L.P.; He, B. Comprehensive evaluation of the fruit quality of yellow-flesh peaches in Ningxian. J. Fruit Sci. 2023, 12, 1618. [Google Scholar] [CrossRef]
- Liu, B.; Zhang, Y.X.; Li, F.; Yu, W.W.; Yan, G.R. Measurement and Comparison of Vitamin C and Soluble Protein Content of Malus sieversii Fruits. J. Tianjin Agric. Univ. 2016, 23, 14–17. [Google Scholar]
- Ye, S.H. Experimental Tutorial of Plant Physiology and Biochemistry; Yunnan Science and Technology Press: Kunming, China, 2004. [Google Scholar]
- Liu, X.Y.; Li, L.; Shi, H.W.; Cai, Y.P. Influence of Light Intensity on Soluble Sugar Organic Acid and Vc Content of Pyrus bretschneideri cv. Dangshan Su Pear Fruit in Its Growth Phase. Sci. Silvae Sin. 2007, 43, 134–137. [Google Scholar]
- Yan, S.B.; Zhang, S.Y.; Ma, R.J.; Yu, M.L. Changes of carotenoids composition of yellow peach during fruit development. J. Fruit Sci. 2013, 30, 260–266. [Google Scholar]
- Chen, X.F.; Liu, Z.K.; Wang, R.; Jing, C.J.; Wu, X.H. Comprehensive Evaluation Analysis of Fruit Quality of Early Maturing Apricot Varieties. Mol. Plant Breed. 2022, 20, 5189–5197. [Google Scholar]
- Song, Y.H.; Yang, X.H.; Li, J.J.; Li, K.; Zhao, X.H.; Du, H.Y. Fruits of Apricot Cultivars: Nutritional Components Analysis and Comprehensive Evaluation. Chin. Agric. Sci. Bull. 2018, 34, 65–71. [Google Scholar]
- Liu, Y.F.; Chen, Q.L.; Wang, J.J.; Wang, W.J.; Wu, C.Y. Investigation and analysis on fruit quality of grey jujube in main areas around Tarim Basin in southern Xinjiang. Contemp. Hortic. 2024, 47, 10–12+16. [Google Scholar]
- Stover, E.; Mayo, S.; Driggers, R.; Adair, R.C. Planting in Metallized Reflective Mulch Did Not Significantly Benefit Development of New Hybrid Citrus Seedlings. HortScience 2022, 57, 200–201. [Google Scholar]
- Hemming, S.; van der Braak, N.J.; Dueck, T.A.; Jongschaap, R.E.E.; Marissen, A. Filtering natural light by the greenhouse covering using model simulations-more production and better quality by diffuse light. Acta Hortic. 2006, 711, 105–110. [Google Scholar]
- Yin, T.T.; Du, Z.T.; Zhang, H.; Wu, Z.B.; Zhao, S.R.; Fan, D.Y. Effects of Tillage Patterns on Fruit Trees Growth, Development and Soil Conditions. North. Hortic. 2024, 124–130. [Google Scholar]
- Liu, C.H.; Fan, C. Regulation of Film/Gauze Covering on Micro-environmental Factors in Pineapple Plantation and Its Effects on Growth and Quality Properties of Pineapple. Acta Bot. Boreali-Occident. Sin. 2016, 36, 139–146. [Google Scholar]
- Lu, S.; Yu, R.D.; Yang, M.L.; Wang, Q.Q.; Feng, R. Effects of Full Biodegradable Mulch Film on Soil moisture, Temperature and Growth of the Prunus armeniaca L. J. Northeast. For. Univ. 2016, 44, 158–164. [Google Scholar] [CrossRef]
- Yu, G.; Zhao, S.L.; Sun, Y.B.; Luo, Y.L.; Chen, F. Effects of mulching materials on soil physio-chemical properties, bacterial community characteristics, and citrus quality in orange orchards on the Yunnan-Guizhou Plateau. Acta Ecol. Sin. 2024, 44, 3408–3422. [Google Scholar]
- Wang, G.Y.; Chi, B.L.; Liang, G.M.; Li, N.N. Effect of the Covering Methods on Soil Moisture and Nitrate Nitrogen Distribution and Accumulation Characteristics. J. Shanxi Agric. Sci. 2015, 43, 571–575+587. [Google Scholar]
- Zhang, S.; Lin, C.X.; Guo, J.L.; Yang, X.H. Effects of Different Mulching Materials on Soil Temperature and Humidity, Growth and Fruit Quality of Plum. North. Hortic. 2021, 33, 18–25. [Google Scholar] [CrossRef]
- Zeng, Y.K.; Shi, Y.; Chen, S.Y.; Li, G.J.; Huang, X.B.; Xie, Z.Z.; Li, C.L.; Guo, D.Y.; Liu, J.H. Effects of Film Mulching on Improving Fruit Quality of Ponkan and Possible Mechanisms. Acta Hortic. Sin. 2022, 49, 2419–2430. [Google Scholar]
- Zhang, Z.; Wang, L.; Gao, J.; Chen, Q.J.; Wang, S.P.; Zhang, C.X. Preliminary study of vapor-permeable reflective film on light intensity of canopy and fruit quality of sweet cherries in greenhouse. China Fruits 2019, 54–56. [Google Scholar] [CrossRef]
- Liu, X.M.; Chen, T.; Liu, J.H.; Lei, Y. Effects of Ground-covering Reflective Film on Coloration and Quality of Kyoho Grapes. Fujian J. Agric. Sci. 2023, 38, 559–565. [Google Scholar]
- Hu, X.M.; Zhang, H.Q.; Xiao, J.P.; Zhang, T.; Ma, C.N.; Xie, M. Effects of vapor-permeable reflective film mulching on fruit quality of peach. Acta Agric. Zhejiangensis 2012, 24, 814–820. [Google Scholar]
- Wang, H. Effects of Vapor-Permeable Reflective Film Mulch on the Tree Microenvironment, Growth and Fruit Development of Citrus; Shanghai Jiao Tong University: Shanghai, China, 2019. [Google Scholar]







| Treatment | Mulch Materials and Treatments | Film Color (Number of Layers) | Material Quality | Mulch Thickness (μm) | Effective Width (m) | Water Vapor Transmission Rate g/(m2·24 h) | Manufacturer |
|---|---|---|---|---|---|---|---|
| CK | natural grass cover | - | - | - | - | - | - |
| F1 | white plastic film | white transparent (One Layers) | PE | 10 | 2 | 0 | Jiangsu Taika Greenhouse Equipment Co., Ltd., Suqian, China |
| F2 | black plastic film | black (One Layers) | PE | 10 | 2 | 0 | Jiangsu Taika Greenhouse Equipment Co., Ltd., Suqian, China |
| F3 | vapor barrier film | white (Two Layers) | PP + PE | 30 | 1.5 | 1.38 | Shanghai Jiakun Material Science & Technology Co., Ltd., Shanghai, China |
| F4 | waterproof and breathable film | white (Three Layers) | PP + PE/PP copolymer + PP | 30 | 1.5 | 1207 | Shanghai Jiakun Material Science & Technology Co., Ltd., Shanghai, China |
| F5 | reflective and heat-insulating film | silver and white (three Layers) | PET/AI + PE + PP | 50 | 1.5 | 0.12 | Shanghai Jiakun Material Science & Technology Co., Ltd., Shanghai, China |
| Chromatic Values | Treatment | Days After Anthesis | ||||||
|---|---|---|---|---|---|---|---|---|
| 41 d | 50 d | 59 d | 68 d | 77 d | 86 d | 95 d | ||
| L* | CK | 21.71 ± 1.81 a | 23.84 ± 3.7 a | 26.19 ± 4.65 a | 36.74 ± 5.59 b | 51.12 ± 7.62 c | 65.41 ± 5.21 ab | 72.66 ± 8.36 a |
| F1 | 17.44 ± 2.33 bc | 20.07 ± 2.71 b | 26.86 ± 2.27 a | 30.67 ± 4.62 c | 54.21 ± 10.51 bc | 58.52 ± 5.42 c | 63.94 ± 13.48 b | |
| F2 | 19.62 ± 3.72 ab | 21.26 ± 2.81 b | 26.79 ± 3.44 a | 28.83 ± 5.42 c | 54.24 ± 8.81 bc | 60.17 ± 3.08 bc | 69.25 ± 5.41 ab | |
| F3 | 16.71 ± 2.13 c | 22.3 ± 2.06 ab | 27.63 ± 5.17 a | 42.6 ± 4.44 a | 59.83 ± 9.99 b | 66.76 ± 6.28 a | 64.26 ± 4.69 b | |
| F4 | 19.72 ± 3.18 ab | 22.13 ± 1.83 ab | 24.95 ± 2.62 a | 39.52 ± 3.09 ab | 57.09 ± 12.86 bc | 64.48 ± 6.05 ab | 65.54 ± 3.14 ab | |
| F5 | 18.69 ± 2.63 bc | 21.39 ± 1.66 ab | 27.75 ± 4.38 a | 40.37 ± 4.9 ab | 69.23 ± 4.46 a | 66.16 ± 8.05 a | 66.83 ± 7.1 ab | |
| a* | CK | −18.53 ± 0.97 b | −20.24 ± 2.26 b | −21.46 ± 2.58 a | −24.67 ± 1.43 a | −30.86 ± 2.81 c | −9.36 ± 10.84 b | 36.7 ± 4.9 ab |
| F1 | −15.94 ± 1.52 a | −17.77 ± 1.98 a | −22.26 ± 1.21 a | −22.56 ± 0.78 a | −27.81 ± 3.96 bc | 1.57 ± 14.84 b | 33.03 ± 3.21 b | |
| F2 | −17.08 ± 1.63 ab | −18.88 ± 1.72 ab | −22.06 ± 1.7 a | −22.08 ± 2.09 a | −30.19 ± 2.62 bc | −6.74 ± 15.99 b | 37.92 ± 6.84 ab | |
| F3 | −15.6 ± 1.72 a | −19.63 ± 1.46 b | −22.36 ± 2.95 a | −25.76 ± 0.83 a | −24.12 ± 9.61 b | 18 ± 10.73 a | 34.45 ± 6.08 b | |
| F4 | −17.64 ± 2.16 b | −19.37 ± 1.29 ab | −20.88 ± 1.56 a | −19.86 ± 16.57 a | −24.75 ± 8.57 bc | 16.14 ± 16.29 a | 38.32 ± 6.4 ab | |
| F5 | −17 ± 2.04 ab | −19.32 ± 1.1 ab | −22.41 ± 1.81 a | −19.65 ± 15.42 a | −14.43 ± 12.11 a | 23.8 ± 11.76 a | 41.74 ± 6.58 a | |
| b* | CK | 31 ± 2.52 a | 33.26 ± 5.39 a | 37.82 ± 6.84 a | 52.45 ± 7.13 b | 67.93 ± 7.85 c | 94.21 ± 7.75 ab | 115.1 ± 13.71 a |
| F1 | 24.58 ± 3.4 c | 28.51 ± 3.99 a | 38.96 ± 3.28 a | 42.69 ± 3.26 c | 71.92 ± 14.56 bc | 89.13 ± 8.8 b | 112.38 ± 6.69 ab | |
| F2 | 26.65 ± 3.28 bc | 24.27 ± 19.86 a | 38.81 ± 5.05 a | 41.64 ± 7.6 c | 74.5 ± 6.02 bc | 88.56 ± 9.32 b | 113.39 ± 8.15 a | |
| F3 | 23.5 ± 3.56 c | 31.25 ± 4.65 a | 40.22 ± 7.66 a | 60.39 ± 5.75 a | 81.65 ± 10.35 b | 107.89 ± 12.89 a | 103.92 ± 4.12 bc | |
| F4 | 28.32 ± 4.91 ab | 31.86 ± 2.79 a | 36.13 ± 3.86 a | 57 ± 5.36 ab | 81.54 ± 9.23 b | 92.04 ± 27.49 b | 100.73 ± 11.61 c | |
| F5 | 26.65 ± 4 bc | 31.32 ± 2.6 a | 39.29 ± 4.46 a | 53.97 ± 9.9 ab | 97.77 ± 10.33 a | 106.19 ± 13.39 a | 101.02 ± 10.28 c | |
Disclaimer/Publisher’s Note: The statements, opinions and data contained in all publications are solely those of the individual author(s) and contributor(s) and not of MDPI and/or the editor(s). MDPI and/or the editor(s) disclaim responsibility for any injury to people or property resulting from any ideas, methods, instructions or products referred to in the content. |
© 2025 by the authors. Licensee MDPI, Basel, Switzerland. This article is an open access article distributed under the terms and conditions of the Creative Commons Attribution (CC BY) license (https://creativecommons.org/licenses/by/4.0/).
Share and Cite
Li, Y.; Li, J.; Ma, W.; Guo, L. Comparative Analysis of the Effects of Different Mulching Materials on Microclimate and Fruit Quality in Apricot Orchards. Horticulturae 2025, 11, 355. https://doi.org/10.3390/horticulturae11040355
Li Y, Li J, Ma W, Guo L. Comparative Analysis of the Effects of Different Mulching Materials on Microclimate and Fruit Quality in Apricot Orchards. Horticulturae. 2025; 11(4):355. https://doi.org/10.3390/horticulturae11040355
Chicago/Turabian StyleLi, Yixin, Jialong Li, Wanting Ma, and Ling Guo. 2025. "Comparative Analysis of the Effects of Different Mulching Materials on Microclimate and Fruit Quality in Apricot Orchards" Horticulturae 11, no. 4: 355. https://doi.org/10.3390/horticulturae11040355
APA StyleLi, Y., Li, J., Ma, W., & Guo, L. (2025). Comparative Analysis of the Effects of Different Mulching Materials on Microclimate and Fruit Quality in Apricot Orchards. Horticulturae, 11(4), 355. https://doi.org/10.3390/horticulturae11040355

