The Action of Plant Protein Hydrolysates, Plant Extracts and Trichoderma atroviride Modulates the Performance of Cherry Tomato Plants Cultivated in a Soilless System
Abstract
1. Introduction
2. Materials and Methods
2.1. Experimental Site and Plant Material and Nutrient Solution Management
2.2. Biostimulant Treatments
2.3. Plant Growth and Yield
2.4. Physiological Observations and Proximal Fruit Quality
2.5. Polyphenols, Anthocyanins, Lycopene and Ascorbic Acid in Tomato Fruits
2.6. Experimental Setup and Statistics
3. Results and Discussion
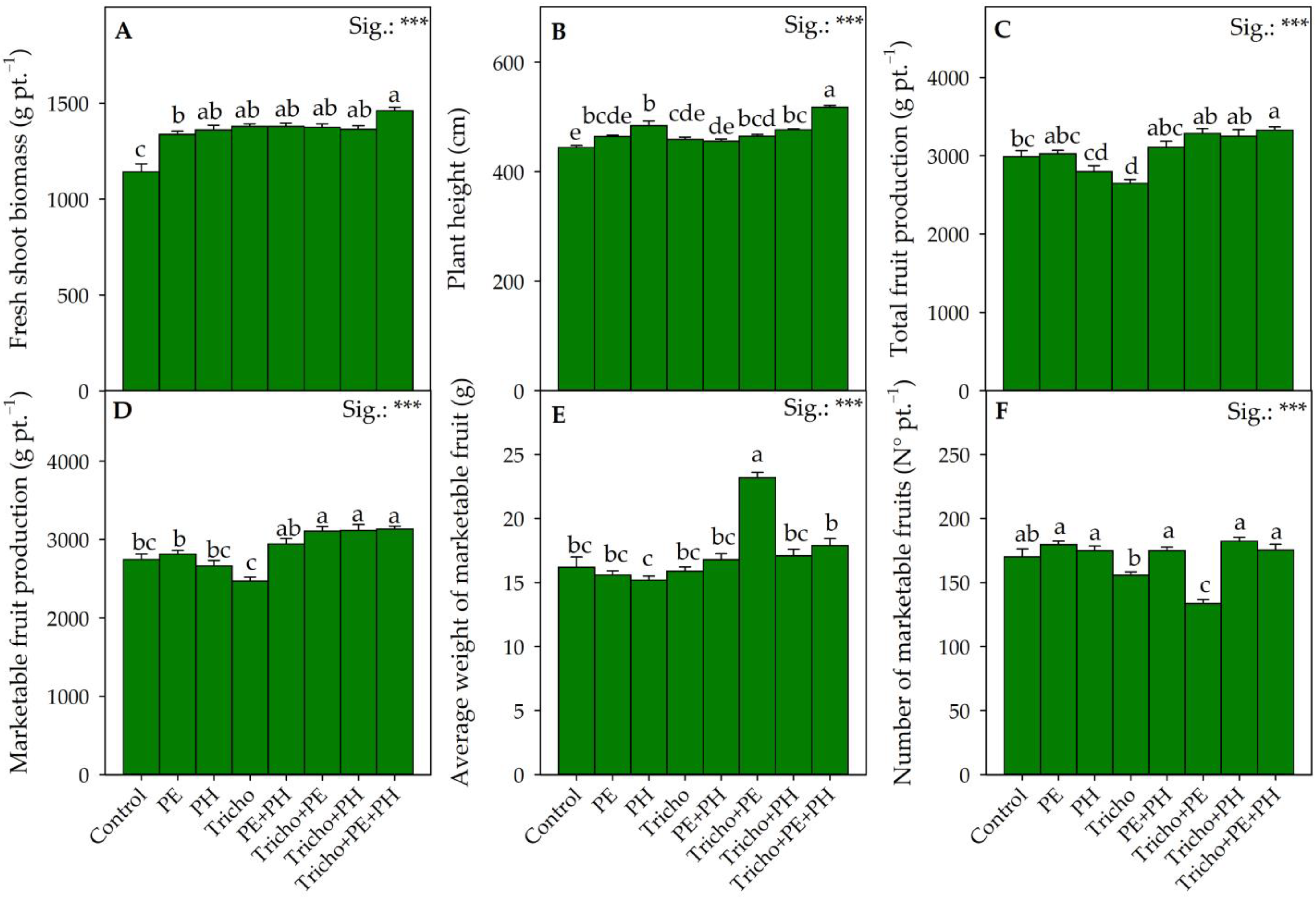
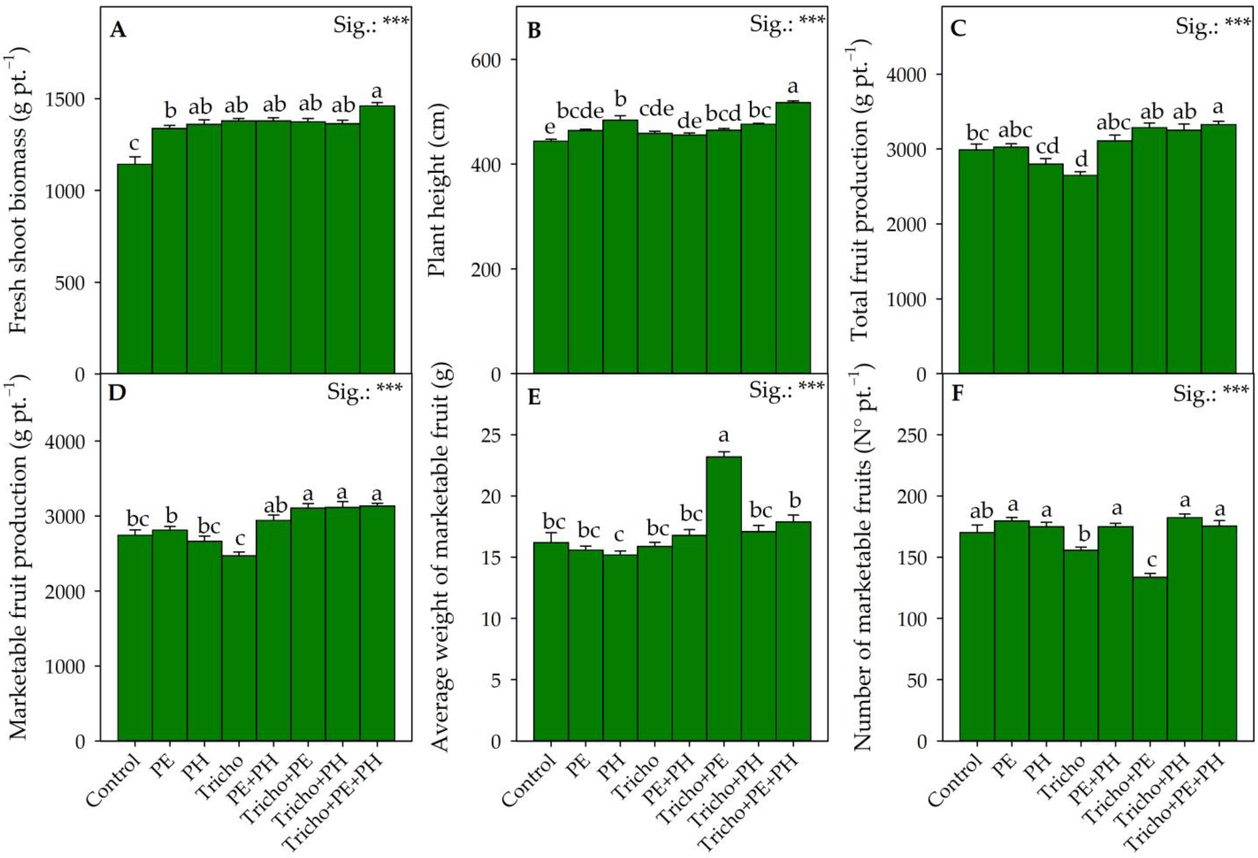
3.1. Yield and Yield Parameters
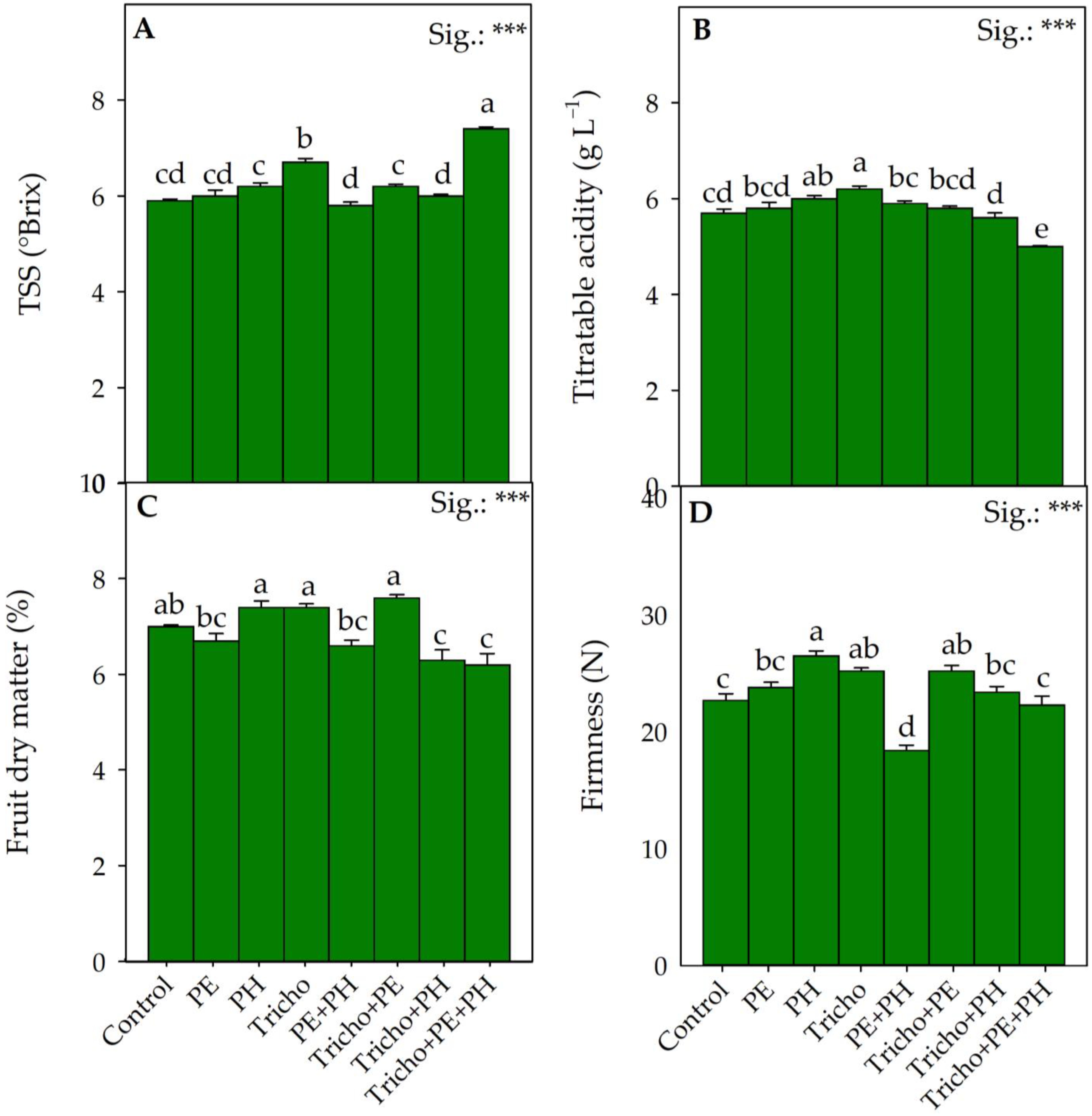
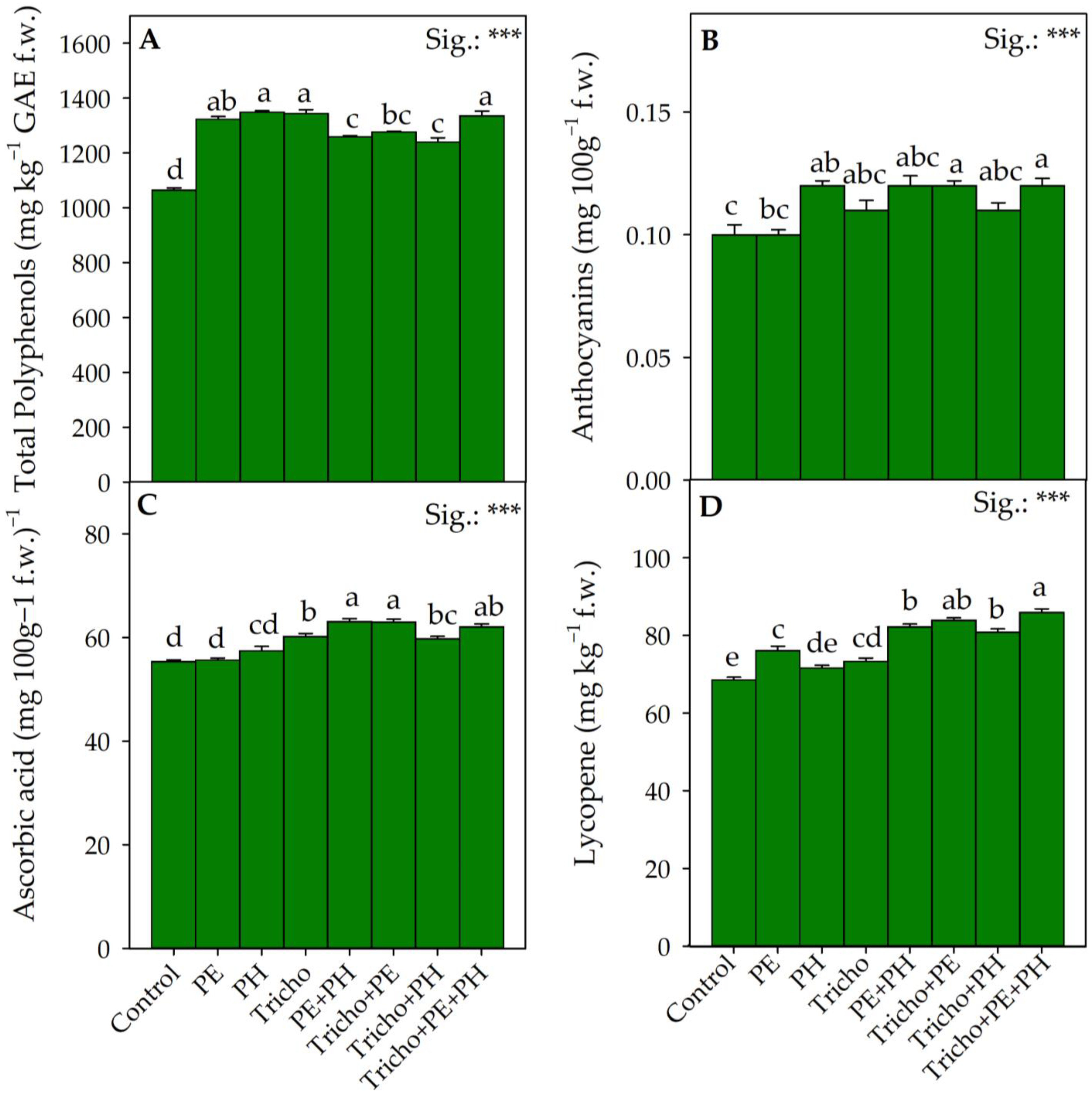
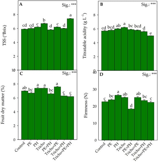
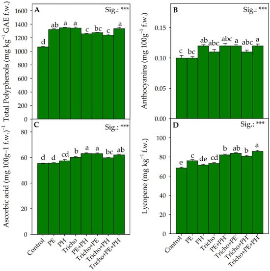
3.2. Assessment of Key Quality Indexes
3.3. Cluster Heatmap of Yield and Quality Parameters of Tomato Plants Treated with Single and/or Combined Applications of Microbial and Nonmicrobial Biostimulants
4. Conclusions
Author Contributions
Funding
Data Availability Statement
Conflicts of Interest
References
- Pavani, K.; Jena, C.; Divya Vani, V.; Mallikarjunarao, K. Cultivation technology of tomato in greenhouse. In Protected Cultivation and Smart Agriculture; Sagar, M., Dinkar, J.G., Tanmoy, S., Eds.; New Delhi Publishers: New Delhi, India, 2020; pp. 121–129. [Google Scholar]
- FAOSTAT. 2022. Available online: https://www.fao.org/faostat/en/#home (accessed on 26 June 2024).
- ISTAT. 2024. Available online: https://www.istat.it (accessed on 26 June 2024).
- Gao, F.; Li, H.; Mu, X.; Gao, H.; Zhang, Y.; Li, R.; Cao, K.; Ye, L. Effects of organic fertilizer application on tomato yield and quality: A meta-analysis. Appl. Sci. 2023, 13, 2184. [Google Scholar] [CrossRef]
- Dawid, J. The role of tomato products for human health (Solanum lycopersicum)—A review. J. Health Med. Nurs. 2016, 33, 66–74. [Google Scholar]
- Sattar, S.; Iqbal, A.; Parveen, A.; Fatima, E.; Samdani, A.; Fatima, H.; Shahzad, M. Tomatoes Unveiled: A Comprehensive Exploration from Cultivation to Culinary and Nutritional Significance. Qeios 2024. [Google Scholar] [CrossRef]
- Kurina, A.; Solovieva, A.; Khrapalova, I.; Artemyeva, A. Biochemical composition of tomato fruits of various colors. Vavilov J. Genet. Breed. 2021, 25, 514. [Google Scholar] [CrossRef]
- Collins, E.J.; Bowyer, C.; Tsouza, A.; Chopra, M. Tomatoes: An extensive review of the associated health impacts of tomatoes and factors that can affect their cultivation. Biology 2022, 11, 239. [Google Scholar] [CrossRef]
- Venkadeswaran, E.; Vethamoni, P.I.; Arumugam, T.; Manivannan, N.; Harish, S.; Sujatha, R.; Rani, E.A. Performance of F1 hybrids in cherry tomato [Solanum lycopersicum (L.) var. cerasiforme Mill.] for yield and quality. Electron. J. Plant Breed. 2021, 12, 366–370. [Google Scholar]
- Sánchez, A.S.; Flores, P.; Hernández, V.; Sánchez, E.; Molina, E.; López, N.; Rodríguez-Burruezo, A.; Fenoll, J.; Hellín, P. Fruit Agronomic and Quality Traits of Tomato F1 Hybrids Derived from Traditional Varieties. Horticulturae 2024, 10, 440. [Google Scholar] [CrossRef]
- Felföldi, Z.; Ranga, F.; Socaci, S.A.; Farcas, A.; Plazas, M.; Sestras, A.F.; Vodnar, D.C.; Prohens, J.; Sestras, R.E. Physico-chemical, nutritional, and sensory evaluation of two new commercial tomato hybrids and their parental lines. Plants 2021, 10, 2480. [Google Scholar] [CrossRef]
- Mzibra, A.; Aasfar, A.; Khouloud, M.; Farrie, Y.; Boulif, R.; Kadmiri, I.M.; Bamouh, A.; Douira, A. Improving growth, yield, and quality of tomato plants (Solanum lycopersicum L.) by the application of moroccan seaweed-based biostimulants under greenhouse conditions. Agronomy 2021, 11, 1373. [Google Scholar] [CrossRef]
- Argento, S.; Garcia, G.; Treccarichi, S. Sustainable and low-input techniques in Mediterranean greenhouse vegetable production. Horticulturae 2024, 10, 997. [Google Scholar] [CrossRef]
- De Corato, U. Agricultural waste recycling in horticultural intensive farming systems by on-farm composting and compost-based tea application improves soil quality and plant health: A review under the perspective of a circular economy. Sci. Total Environ. 2020, 738, 139840. [Google Scholar] [CrossRef] [PubMed]
- Malécange, M.; Sergheraert, R.; Teulat, B.; Mounier, E.; Lothier, J.; Sakr, S. Biostimulant properties of protein hydrolysates: Recent advances and future challenges. Int. J. Mol. Sci. 2023, 24, 9714. [Google Scholar] [CrossRef] [PubMed]
- Matsumiya, Y.; Kubo, M. Soybean peptide: Novel plant growth promoting peptide from soybean. In Soybean and Nutrition; IntechOpen: London, UK, 2011; Volume 1. [Google Scholar]
- Liao, H.-S.; Chung, Y.-H.; Hsieh, M.-H. Glutamate: A multifunctional amino acid in plants. Plant Sci. 2022, 318, 111238. [Google Scholar] [CrossRef] [PubMed]
- Kim, J.S.; Jeon, B.W.; Kim, J. Signaling peptides regulating abiotic stress responses in plants. Front. Plant Sci. 2021, 12, 704490. [Google Scholar] [CrossRef] [PubMed]
- Ertani, A.; Schiavon, M.; Muscolo, A.; Nardi, S. Alfalfa plant-derived biostimulant stimulate short-term growth of salt stressed Zea mays L. plants. Plant Soil 2013, 364, 145–158. [Google Scholar] [CrossRef]
- Calvo, P.; Nelson, L.; Kloepper, J.W. Agricultural uses of plant biostimulants. Plant Soil 2014, 383, 3–41. [Google Scholar] [CrossRef]
- Martín, M.-H.J.; Ángel, M.-M.M.; Aarón, S.-L.J.; Israel, B.-G. Protein hydrolysates as biostimulants of plant growth and development. In Biostimulants: Exploring Sources and Applications; Springer: Berlin/Heidelberg, Germany, 2022; pp. 141–175. [Google Scholar]
- Sonkar, S.; Pal, P.; Singh, A.K. Role of protein hydrolysates in plants growth and development. In Biostimulants in Plant Protection and Performance; Elsevier: Amsterdam, The Netherlands, 2024; pp. 61–72. [Google Scholar]
- Bulgari, R.; Morgutti, S.; Cocetta, G.; Negrini, N.; Farris, S.; Calcante, A.; Spinardi, A.; Ferrari, E.; Mignani, I.; Oberti, R. Evaluation of borage extracts as potential biostimulant using a phenomic, agronomic, physiological, and biochemical approach. Front. Plant Sci. 2017, 8, 935. [Google Scholar] [CrossRef]
- Arumugam, R.; Rabert, G.A. Plant biostimulants: Overview of categories and effects. In Biostimulants: Exploring Sources and Applications; Springer: Berlin/Heidelberg, Germany, 2022; pp. 1–29. [Google Scholar]
- López-Bucio, J.; Pelagio-Flores, R.; Herrera-Estrella, A. Trichoderma as biostimulant: Exploiting the multilevel properties of a plant beneficial fungus. Sci. Hortic. 2015, 196, 109–123. [Google Scholar] [CrossRef]
- Tyśkiewicz, R.; Nowak, A.; Ozimek, E.; Jaroszuk-Ściseł, J. Trichoderma: The current status of its application in agriculture for the biocontrol of fungal phytopathogens and stimulation of plant growth. Int. J. Mol. Sci. 2022, 23, 2329. [Google Scholar] [CrossRef]
- Li, Y.-T.; Hwang, S.-G.; Huang, Y.-M.; Huang, C.-H. Effects of Trichoderma asperellum on nutrient uptake and Fusarium wilt of tomato. Crop Prot. 2018, 110, 275–282. [Google Scholar] [CrossRef]
- Adnan, M.; Islam, W.; Shabbir, A.; Khan, K.A.; Ghramh, H.A.; Huang, Z.; Chen, H.Y.; Lu, G.-d. Plant defense against fungal pathogens by antagonistic fungi with Trichoderma in focus. Microb. Pathog. 2019, 129, 7–18. [Google Scholar] [CrossRef] [PubMed]
- Kubheka, B.P.; Ziena, L.W. Trichoderma: A biofertilizer and a bio-fungicide for sustainable crop production. In Trichoderma-Technology and Uses; IntechOpen: London, UK, 2022. [Google Scholar]
- Zhao, L.; Wang, F.; Zhang, Y.; Zhang, J. Involvement of Trichoderma asperellum strain T6 in regulating iron acquisition in plants. J. Basic Microbiol. 2014, 54, S115–S124. [Google Scholar] [CrossRef] [PubMed]
- Rudresh, D.; Shivaprakash, M.; Prasad, R. Tricalcium phosphate solubilizing abilities of Trichoderma spp. in relation to P uptake and growth and yield parameters of chickpea (Cicer arietinum L.). Can. J. Microbiol. 2005, 51, 217–222. [Google Scholar] [CrossRef]
- Fazeli-Nasab, B.; Shahraki-Mojahed, L.; Piri, R.; Sobhanizadeh, A. Trichoderma: Improving growth and tolerance to biotic and abiotic stresses in plants. In Trends of Applied Microbiology for Sustainable Economy; Elsevier: Amsterdam, The Netherlands, 2022; pp. 525–564. [Google Scholar]
- Vultaggio, L.; Ciriello, M.; Campana, E.; Bellitto, P.; Consentino, B.B.; Rouphael, Y.; Colla, G.; Mancuso, F.; La Bella, S.; Napoli, S. Single or blended application of non-microbial plant-based biostimulants and trichoderma atroviride as a new strategy to enhance greenhouse cherry tomato performance. Plants 2024, 13, 3048. [Google Scholar] [CrossRef]
- Sonneveld, C.; Voogt, W. Nutrient solutions for soilless cultures. In Plant Nutrition of Greenhouse Crops; Springer: Berlin/Heidelberg, Germany, 2009; pp. 257–275. [Google Scholar]
- Boztok, K.; Hartmann, H.; Zengerle, K. Solar radyasyon esas alinarak yapilan farkli seviyelerde sulamanin bazi sebze turlerinde urune etkileri. Ziraat Fakultesi dergisi-Ege Universitesi 1982, 19, 151–156. [Google Scholar]
- Han, C.; Zhao, Y.; Leonard, S.W.; Traber, M.G. Edible coatings to improve storability and enhance nutritional value of fresh and frozen strawberries (Fragaria × ananassa) and raspberries (Rubus ideaus). Postharvest Biol. Technol. 2004, 33, 67–78. [Google Scholar] [CrossRef]
- Lamien-Meda, A.; Lamien, C.E.; Compaoré, M.M.; Meda, R.N.; Kiendrebeogo, M.; Zeba, B.; Millogo, J.F.; Nacoulma, O.G. Polyphenol content and antioxidant activity of fourteen wild edible fruits from Burkina Faso. Molecules 2008, 13, 581–594. [Google Scholar] [CrossRef]
- Rabino, I.; Mancinelli, A.L. Light, temperature, and anthocyanin production. Plant Physiol. 1986, 81, 922–924. [Google Scholar] [CrossRef]
- Sadler, G.; Davis, J.; Dezman, D. Rapid extraction of lycopene and β-carotene from reconstituted tomato paste and pink grapefruit homogenates. J. Food Sci. 1990, 55, 1460–1461. [Google Scholar] [CrossRef]
- Navez, B.; Letard, M.; Grasselly, D.; Jost, M. Les criteres de qualite de la tomate. Infos-Ctifl 1999, 155, 41–47. [Google Scholar]
- Benito, P.; Celdrán, M.; Bellón, J.; Arbona, V.; González-Guzmán, M.; Porcel, R.; Yenush, L.; Mulet, J.M. The combination of a microbial and a non-microbial biostimulant increases yield in lettuce (Lactuca sativa) under salt stress conditions by up-regulating cytokinin biosynthesis. J. Integr. Plant Biol. 2024, 66, 2140–2157. [Google Scholar] [CrossRef]
- Sani, M.N.H.; Yong, J.W. Harnessing synergistic biostimulatory processes: A plausible approach for enhanced crop growth and resilience in organic farming. Biology 2021, 11, 41. [Google Scholar] [CrossRef] [PubMed]
- Sánchez-Montesinos, B.; Diánez, F.; Moreno-Gavíra, A.; Gea, F.J.; Santos, M. Role of Trichoderma aggressivum f. europaeum as Plant-Growth Promoter in Horticulture. Agronomy 2020, 10, 1004. [Google Scholar] [CrossRef]
- Di Mola, I.; Ottaiano, L.; Cozzolino, E.; Marra, R.; Vitale, S.; Pironti, A.; Fiorentino, N.; Mori, M. Yield and quality of processing tomato as improved by biostimulants based on Trichoderma sp. and Ascophyllum nodosum and biodegradable mulching films. Agronomy 2023, 13, 901. [Google Scholar] [CrossRef]
- Chrysargyris, A.; Charalambous, S.; Xylia, P.; Litskas, V.; Stavrinides, M.; Tzortzakis, N. Assessing the biostimulant effects of a novel plant-based formulation on tomato crop. Sustainability 2020, 12, 8432. [Google Scholar] [CrossRef]
- Molla, A.H.; Manjurul Haque, M.; Amdadul Haque, M.; Ilias, G. Trichoderma-enriched biofertilizer enhances production and nutritional quality of tomato (Lycopersicon esculentum Mill.) and minimizes NPK fertilizer use. Agric. Res. 2012, 1, 265–272. [Google Scholar] [CrossRef]
- Almeida, J.; Perez-Fons, L.; Fraser, P.D. A transcriptomic, metabolomic and cellular approach to the physiological adaptation of tomato fruit to high temperature. Plant Cell Environ. 2021, 44, 2211–2229. [Google Scholar] [CrossRef]
- Alam, Z.; Akter, S.; Khan, M.A.H.; Amin, M.N.; Karim, M.R.; Rahman, M.H.S.; Rashid, M.H.; Rahman, M.M.; Mokarroma, N.; Sabuz, A.A. Multivariate analysis of yield and quality traits in sweet potato genotypes (Ipomoea batatas L.). Sci. Hortic. 2024, 328, 112901. [Google Scholar] [CrossRef]
- Treccarichi, S.; Infurna, M.; Malgioglio, G.; Arena, D.; Ruffino, A.; Prohens, J.; Branca, F. Evaluation of tomato rootstock in Sicilian greenhouse growing conditions. In Proceedings of the III International Organic Fruit Symposium and I International Organic Vegetable Symposium 1354, Catania, Italy, 14–16 December 2021; pp. 129–136. [Google Scholar]
- Carillo, P.; Woo, S.L.; Comite, E.; El-Nakhel, C.; Rouphael, Y.; Fusco, G.M.; Borzacchiello, A.; Lanzuise, S.; Vinale, F. Application of Trichoderma harzianum, 6-pentyl-α-pyrone and plant biopolymer formulations modulate plant metabolism and fruit quality of plum tomatoes. Plants 2020, 9, 771. [Google Scholar] [CrossRef]
- Ruiz-Cisneros, M.F.; Ornelas-Paz, J.d.J.; Olivas-Orozco, G.I.; Acosta-Muñiz, C.H.; Sepúlveda-Ahumada, D.R.; Pérez-Corral, D.A.; Rios-Velasco, C.; Salas-Marina, M.Á.; Fernández-Pavía, S.P. Efecto de Trichoderma spp. y hongos fitopatógenos sobre el crecimiento vegetal y calidad del fruto de jitomate. Rev. Mex. De Fitopatol. 2018, 36, 444–456. [Google Scholar] [CrossRef]
- Rouphael, Y.; Giordano, M.; Cardarelli, M.; Cozzolino, E.; Mori, M.; Kyriacou, M.C.; Bonini, P.; Colla, G. Plant-and seaweed-based extracts increase yield but differentially modulate nutritional quality of greenhouse spinach through biostimulant action. Agronomy 2018, 8, 126. [Google Scholar] [CrossRef]
- Ertani, A.; Pizzeghello, D.; Francioso, O.; Sambo, P.; Sanchez-Cortes, S.; Nardi, S. Capsicum chinensis L. growth and nutraceutical properties are enhanced by biostimulants in a long-term period: Chemical and metabolomic approaches. Front. Plant Sci. 2014, 5, 375. [Google Scholar] [CrossRef] [PubMed]
- Rana, V.S.; Sharma, V.; Sharma, S.; Rana, N.; Kumar, V.; Sharma, U.; Almutairi, K.F.; Avila-Quezada, G.D.; Abd_Allah, E.F.; Gudeta, K. Seaweed extract as a biostimulant agent to enhance the fruit growth, yield, and quality of kiwifruit. Horticulturae 2023, 9, 432. [Google Scholar] [CrossRef]
- Formisano, L.; Ciriello, M.; El-Nakhel, C.; Poledica, M.; Starace, G.; Graziani, G.; Ritieni, A.; De Pascale, S.; Rouphael, Y. Pearl grey shading net boosts the accumulation of total carotenoids and phenolic compounds that accentuate the antioxidant activity of processing tomato. Antioxidants 2021, 10, 1999. [Google Scholar] [CrossRef] [PubMed]
- Dodgson, J.; Weston, A.K.; Marks, D.J. Tomato Firmness and Shelf-Life Increased by Application of Stimulated Calcium. Crops 2023, 3, 251–265. [Google Scholar] [CrossRef]
- Bapary, M.S.; Islam, M.N.; Kumer, N.; Tahery, M.H.; Al Noman, M.A.; Mohi-Ud-Din, M. Postharvest physicochemical and nutritional properties of Tomato fruit at different maturity stages affected by physical impact. Appl. Food Res. 2024, 4, 100636. [Google Scholar] [CrossRef]
- Cozzolino, E.; Di Mola, I.; Ottaiano, L.; El-Nakhel, C.; Rouphael, Y.; Mori, M. Foliar application of plant-based biostimulants improve yield and upgrade qualitative characteristics of processing tomato. Ital. J. Agron. 2021, 16, 1825. [Google Scholar] [CrossRef]
- Shafique, H.A.; Sultana, V.; Ehteshamul-Haque, S.; Athar, M. Management of soil-borne diseases of organic vegetables. J. Plant Prot. Res. 2016, 56, 221–230. [Google Scholar] [CrossRef]
- Dzhos, E.; Golubkina, N.; Antoshkina, M.; Kondratyeva, I.; Koshevarov, A.; Shkaplerov, A.; Zavarykina, T.; Nechitailo, G.; Caruso, G. Effect of spaceflight on tomato seed quality and biochemical characteristics of mature plants. Horticulturae 2021, 7, 89. [Google Scholar] [CrossRef]
- Parađiković, N.; Vinković, T.; Vinković Vrček, I.; Žuntar, I.; Bojić, M.; Medić-Šarić, M. Effect of natural biostimulants on yield and nutritional quality: An example of sweet yellow pepper (Capsicum annuum L.) plants. J. Sci. Food Agric. 2011, 91, 2146–2152. [Google Scholar] [CrossRef]
- Yeshi, K.; Crayn, D.; Ritmejerytė, E.; Wangchuk, P. Plant secondary metabolites produced in response to abiotic stresses has potential application in pharmaceutical product development. Molecules 2022, 27, 313. [Google Scholar] [CrossRef]
- Ilahy, R.; Tlili, I.; Siddiqui, M.W.; Hdider, C.; Lenucci, M.S. Inside and beyond color: Comparative overview of functional quality of tomato and watermelon fruits. Front. Plant Sci. 2019, 10, 769. [Google Scholar] [CrossRef] [PubMed]
- Tuladhar, P.; Sasidharan, S.; Saudagar, P. Role of phenols and polyphenols in plant defense response to biotic and abiotic stresses. In Biocontrol Agents and Secondary Metabolites; Elsevier: Amsterdam, The Netherlands, 2021; pp. 419–441. [Google Scholar]
- Abd-Elkader, D.Y.; Mohamed, A.A.; Feleafel, M.N.; Al-Huqail, A.A.; Salem, M.Z.; Ali, H.M.; Hassan, H.S. Photosynthetic pigments and biochemical response of zucchini (Cucurbita pepo L.) to plant-derived extracts, microbial, and potassium silicate as biostimulants under greenhouse conditions. Front. Plant Sci. 2022, 13, 879545. [Google Scholar] [CrossRef] [PubMed]
- Giordano, M.; El-Nakhel, C.; Caruso, G.; Cozzolino, E.; De Pascale, S.; Kyriacou, M.C.; Colla, G.; Rouphael, Y. Stand-alone and combinatorial effects of plant-based biostimulants on the production and leaf quality of perennial wall rocket. Plants 2020, 9, 922. [Google Scholar] [CrossRef] [PubMed]
- Bertin, N.; Génard, M. Tomato quality as influenced by preharvest factors. Sci. Hortic. 2018, 233, 264–276. [Google Scholar] [CrossRef]





Disclaimer/Publisher’s Note: The statements, opinions and data contained in all publications are solely those of the individual author(s) and contributor(s) and not of MDPI and/or the editor(s). MDPI and/or the editor(s) disclaim responsibility for any injury to people or property resulting from any ideas, methods, instructions or products referred to in the content. |
© 2025 by the authors. Licensee MDPI, Basel, Switzerland. This article is an open access article distributed under the terms and conditions of the Creative Commons Attribution (CC BY) license (https://creativecommons.org/licenses/by/4.0/).
Share and Cite
Campana, E.; Consentino, B.B.; Vultaggio, L.; Bellitto, P.; Mancuso, F.; La Placa, G.G.; Colla, G.; Sabatino, L.; La Bella, S.; Rouphael, Y.; et al. The Action of Plant Protein Hydrolysates, Plant Extracts and Trichoderma atroviride Modulates the Performance of Cherry Tomato Plants Cultivated in a Soilless System. Horticulturae 2025, 11, 248. https://doi.org/10.3390/horticulturae11030248
Campana E, Consentino BB, Vultaggio L, Bellitto P, Mancuso F, La Placa GG, Colla G, Sabatino L, La Bella S, Rouphael Y, et al. The Action of Plant Protein Hydrolysates, Plant Extracts and Trichoderma atroviride Modulates the Performance of Cherry Tomato Plants Cultivated in a Soilless System. Horticulturae. 2025; 11(3):248. https://doi.org/10.3390/horticulturae11030248
Chicago/Turabian StyleCampana, Emanuela, Beppe Benedetto Consentino, Lorena Vultaggio, Pietro Bellitto, Fabiana Mancuso, Gaetano Giuseppe La Placa, Giuseppe Colla, Leo Sabatino, Salvatore La Bella, Youssef Rouphael, and et al. 2025. "The Action of Plant Protein Hydrolysates, Plant Extracts and Trichoderma atroviride Modulates the Performance of Cherry Tomato Plants Cultivated in a Soilless System" Horticulturae 11, no. 3: 248. https://doi.org/10.3390/horticulturae11030248
APA StyleCampana, E., Consentino, B. B., Vultaggio, L., Bellitto, P., Mancuso, F., La Placa, G. G., Colla, G., Sabatino, L., La Bella, S., Rouphael, Y., & Ciriello, M. (2025). The Action of Plant Protein Hydrolysates, Plant Extracts and Trichoderma atroviride Modulates the Performance of Cherry Tomato Plants Cultivated in a Soilless System. Horticulturae, 11(3), 248. https://doi.org/10.3390/horticulturae11030248

