Next Article in Journal
Plant Probiotic Potential of Native Rhizobia to Enhance Growth and Sugar Content in Agave tequilana Weber var. Blue
Previous Article in Journal
Effect of Organic Farming Techniques on the Quality of Almond Fat
 
 
Font Type:
Arial Georgia Verdana
Font Size:
Aa Aa Aa
Line Spacing:
Column Width:
Background:
Article

Effect of Branch-Bagged Shading on the Photosynthetic Physiology of Sweet Cherry Leaves in a Greenhouse Environment

1
Liaoning Institute of Pomology, Yingkou 115009, China
2
Horticultural Department, Shenyang Agricultural University, Shenyang 110065, China
*
Author to whom correspondence should be addressed.
Horticulturae 2025, 11(2), 136; https://doi.org/10.3390/horticulturae11020136
Submission received: 5 December 2024 / Revised: 20 January 2025 / Accepted: 21 January 2025 / Published: 27 January 2025

Abstract

The aim of this study was to improve understanding of the impacts of low-light stress induced by branch-bagged shading on photosynthetic physiology and biochemical composition. Eight-year-old ‘Tieton’ sweet cherry leaves and white parchment bags with a 23% shading rate were selected to cover ten 50 cm long branches for 10 d, 20 d, and 30 d followed by 10 d light restoring. The results indicated that when shading for 30 d, the net photosynthetic rate (PN) of the leaves, including stomatal conductance (gs), transpiration rate (E), intercellular CO2 concentration (Ci), superoxide dismutase (SOD), peroxide (POD), catalase (CAT), starch, and sugar contents were lower, whereas chlorophyll (Chl) and malondialdehyde (MDA) concentrations were higher than those in CK leaves. After 10-10 treatments, leaf parameters including SOD, POD, CAT, starch, and sugar levels were almost the same as those in control (CK; no shading) leaves; the opposite was true for Chl and MDA. However, after 10 d of no bag following 20 and 30 d of shading, the PN, Ci, E, and SOD, CAT, glucose, sorbitol, sucrose and starch levels were lower than those in CK leaves, whereas MDA levels were higher. At 20-10, there was no difference in leaf fructose levels compared to those in CK leaves; the Chl levels were higher. At 30-10, leaf fructose levels were reduced compared with those in CK leaves; Chl levels showed no difference. Therefore, sweet cherry leaves have robust recovery abilities; however, prolonged low-light stress can impede physiological restoration.

1. Introduction

Sweet cherries (Prunus avium) are sensitive to light, and intense sunlight can close plant stomata, hindering CO2 absorption and reducing photosynthesis. Shading is a strategy adopted to mitigate the impact of strong summer sunlight on sweet cherry trees [1]. Net shading, particularly over tunnels, is a widely adopted approach [2]. Bagged shading can precisely control the degree of shading by adjusting the light transmittance of the bag, thereby achieving fine regulation of photosynthesis and avoiding the uneven lighting problems associated with traditional net shading methods [3]. Understanding how shading regulates photosynthetic pigments, the photosynthetic rate, and stomatal conductance can help in designing optimal shading periods and rates.
Protective covers can increase diffused photosynthetically active radiation, thereby supporting photosynthesis by shielding plants from direct radiation; however, they may disrupt the balance between vegetative and reproductive growth by reducing light availability and distribution within the canopy [4]. A white insulated shade net with a shading rate of 30 ± 5% significantly reduces the light capture capacity of leaves, damages the photosystem, reduces carbon assimilation capacity, and consumes much of the captured light energy as photochemical energy, thereby restricting the growth and development of leaves and reducing the accumulation of nutrients in fruits [2]. Shading the entire tree increases pigment density and chlorophyll (Chl) content per leaf area, thereby protecting cell membranes and Chl. This enhances the light absorption and energy use efficiency of plants [1]. As shading intensifies, the Chl content per unit area increases; however, the photosynthetic rate per unit area decreases. Reduced light intensity leads to a decrease in net photosynthetic rate (PN), stomatal density (SD), stomatal opening, and stomatal conductance (gs) while increasing the total Chl content, including chlorophyll a (Chl a) and chlorophyll b (Chl b) [5]. Changes in the relative ratio of Chl a and Chl b may be a strategy for plants to adapt to low-light environments and improve light energy use efficiency.
The change trends of antioxidant enzymes induced by shading are closely related to the shading degree and time and vary significantly by species. Plants endure oxidative stress but possess antioxidant enzymes and other protective mechanisms to reduce damage from reactive oxygen species [6]. Superoxide dismutase (SOD) constitutes the first line of cellular defence against reactive oxygen species (ROS) by scavenging the primary product of oxygen reduction, superoxide anion (O2). SOD can convert O2 to hydrogen peroxide (H2O2), which can then be converted back to water via peroxide (POD) and catalase (CAT) to reduce damage from reactive oxygen species [7]. POD serves as a secondary metabolite hydrogen donor, extensively participating in the regulation of extracellular H2O2 levels. Its affinity for H2O2 is 1000 times that of CAT, playing a pivotal role in ROS clearance [8]. Extremely low light levels decrease SOD activity, whereas moderately low light increases it [9]. POD activity in cherry leaves is notably increased, while CAT activity is decreased, indicating that low light may boost POD activity to counteract stress-induced reactive oxygen species, thereby mitigating membrane lipid peroxidation. The activity of antioxidant enzymes in Chinese cherry is high in shelter-covered shaded leaves, presumably to minimise membrane lipid peroxidation and help maintain photosynthetic efficiency [10]. Malondialdehyde (MDA) is one of the most important and widely measured nonenzymatic forms of lipid peroxidation and is also a common indicator used to measure plant oxidative stress [10]. With the prolongation of shading time, plant membrane lipid peroxidation increases, potentially causing significant damage. After 2 weeks of 70%, 48%, 30%, and 11% low-light treatment, cherry leaf MDA content significantly increases, correlated with the intensity of the light reduction, suggesting that low light as a singular stress factor exacerbates membrane lipid peroxidation [11].
Sucrose and starch are the primary end-products of leaf photosynthesis in most higher plants, where sucrose is the main translocated carbohydrate and starch is a temporary storage carbohydrate that accumulates in the chloroplast. Sorbitol, a sugar alcohol, is an additional important translocated form of photoassimilate in Prunus species [12]. Sucrose, fructose, and glucose contents in jujube leaves were significantly reduced by severe shading at a rate of 75% compared with those in the control (no shading). The reduction of sucrose was more pronounced than that of fructose and glucose. Low light diminishes photosynthetic rates, impacting carbon assimilation and sugar synthesis [13]. Shaded leaves showed reduced starch and soluble sugars, linked to increased expression of hexose transporters and invertases [14].
Shading studies have mostly focused on whole tree shading under a net. However, most bagging techniques are only applied to fruit shading. There have been no studies on the effects of bag-shading environments on leaf photosynthetic physiology. Additionally, how quickly leaf photosynthetic physiology recovers after bag shading remains unclear. Therefore, this study analysed the changes in various physiological indicators of ‘Tieton’ sweet cherry under and after three shading treatments to investigate the effects of low-light stress and the recovery rate. By studying the effects of bagging shading on the photosynthetic physiology of sweet cherry leaves, the most suitable shading time and shading rate could be determined to balance photosynthesis, water use, and energy flux, thereby achieving high-quality and high-yield cherries. It is important to determine individualised shading schemes for sweet cherries of different varieties and rootstocks to ensure effective use of light energy while avoiding excessive inhibition of photosynthesis by strong or weak light.

2. Materials and Methods

2.1. Plant Cultivation and Processing

The experiment was conducted in the greenhouse of the Liaoning Institute of Pomology in Xiongyue town (40°11′ N, 122°09′ E), utilising 8-year-old ‘Tieton’ sweet cherry trees with Prunus serrulate rootstock. NPK compound fertilizer mixed with trace element was applied via drip irrigation 4 times from the young fruit stage until harvest, and manure fertilizer was applied once in September. Pesticides were applied five times during the growing season. The trees were cultivated in a spindle shape and spaced at 2.0 × 4.0 m intervals. Temperatures averaged 10–12 °C at night and 20–24 °C during the day. The experiment began on 24 January 2022, starting 14 d post-flowering and ten branches 1 m above ground at a similar angle with a south orientation from five tested trees were selected. White parchment bags with a shading rate of 23% were selected to cover 50 cm long branches with 15–18 leaves for a bagging shading treatment. Three treatments were tested: leaves were subjected to low-light stress via bagged shading for 10, 20, or 30 d, followed by 10 d of full light with the bag removed (10-10, 20-10, and 30-10, respectively). Unshaded leaves were used as the control (CK) on the same tested trees. Measuring and collecting samples was conducted from 9:00–11:00 a.m. Ten healthy leaves per treatment from the middle part of the branches were selected for analysis. Samples were immediately frozen in liquid nitrogen and stored at −80 °C for further analysis.

2.2. Photosynthetic Physiological Indicators

A LI-6400 (LI-COR, Lincoln, NE, USA) portable photosynthetic instrument was used to measure the net photosynthetic rate (PN), transpiration rate (E), intercellular carbon dioxide concentration (Ci), and stomatal conductance (gs) of mature leaves on clear days. The photosynthetic system controlled the leaf chamber temperature (Tl; 20–24 °C), humidity (RH; around 40%), indoor CO2 concentration (400 ± 10 μL·L−1), and photosynthetic effective radiation of 1000 μmol·m−2·s−1 LED light source and set the indoor air flow rate to 500 mL·min−1. To eliminate temporal errors, the leaf samples were randomly measured during each repeated measurement.

2.3. Chl Concentration

A Chl concentration test kit (Beijing Solarbio Science Technology Co. Ltd., Beijing, China). The results of the relevant indicators were measured using the protocol and calculation methods provided in the kit manual [15].

2.4. Antioxidative Enzymes

A SOD assay kit [16], POD assay kit [17], CAT assay kit [18], and MDA assay kit [19] (Beijing Solarbio Science Technology Co. Ltd., Beijing, China). The SOD, POD, CAT, and MDA contents were determined according to the protocol and calculation methods provided in the kits’ manuals.

2.5. Leaf Starch Content

A starch content test kit (BC0700-50T/48S) [20] was purchased from Beijing Solarbio Science & Technology Co., Ltd., and the protocol and calculation methods provided in the kit’s manual were used to determine the starch contents.

2.6. Leaf-Soluble Sugar Content

The sugar (sucrose, fructose, glucose, and sorbitol) contents and composition of the leaves were assessed through high-performance liquid chromatography (HPLC) [21]. Fresh leaves (1 g) were ground into powder with liquid nitrogen, extracted with 7 mL of 80% ethanol, and subsequently heated in an 80 °C water bath for 30 min. The homogenate was centrifuged at 10,000 rpm for 10 min at room temperature. The leaves were extracted three times and their supernatants were mixed. The final supernatant was filtered through a 0.22 μm filter, and the filtrate was evaluated.
In the instrument model (Dionex Ultimate 3000) and chromatographic column (Agilent Hi Plex Ca; 7.7 × 300 mm, 8 μm), the sugar concentration in the filtrate was measured using a differential refractive index detector. The mobile phase was ultrapure water, with a flow rate of 0.6 mL/min and column temperature of 80 °C. The standard samples used for sucrose, fructose, glucose, and sorbitol were chromatography-grade standards (Sigma), with a sample volume of 10 µL each time and tested in triplicate. The sucrose, fructose, glucose, and sorbitol contents in the leaves were calculated based on peak areas and standard curves of various carbohydrates.

2.7. Statistical Analysis

The experimental data were plotted using Origin 2021 (America, USA). Data were statistically analysed using SPSS 27.0 for Windows (SPSS, Chicago, IL, USA). An analysis of variance (ANOVA) was performed on the data to determine the least significant difference (LSD) between treatment means, with the level of significance at p < 0.05.

3. Results

3.1. Photosynthetic Physiological Indicators

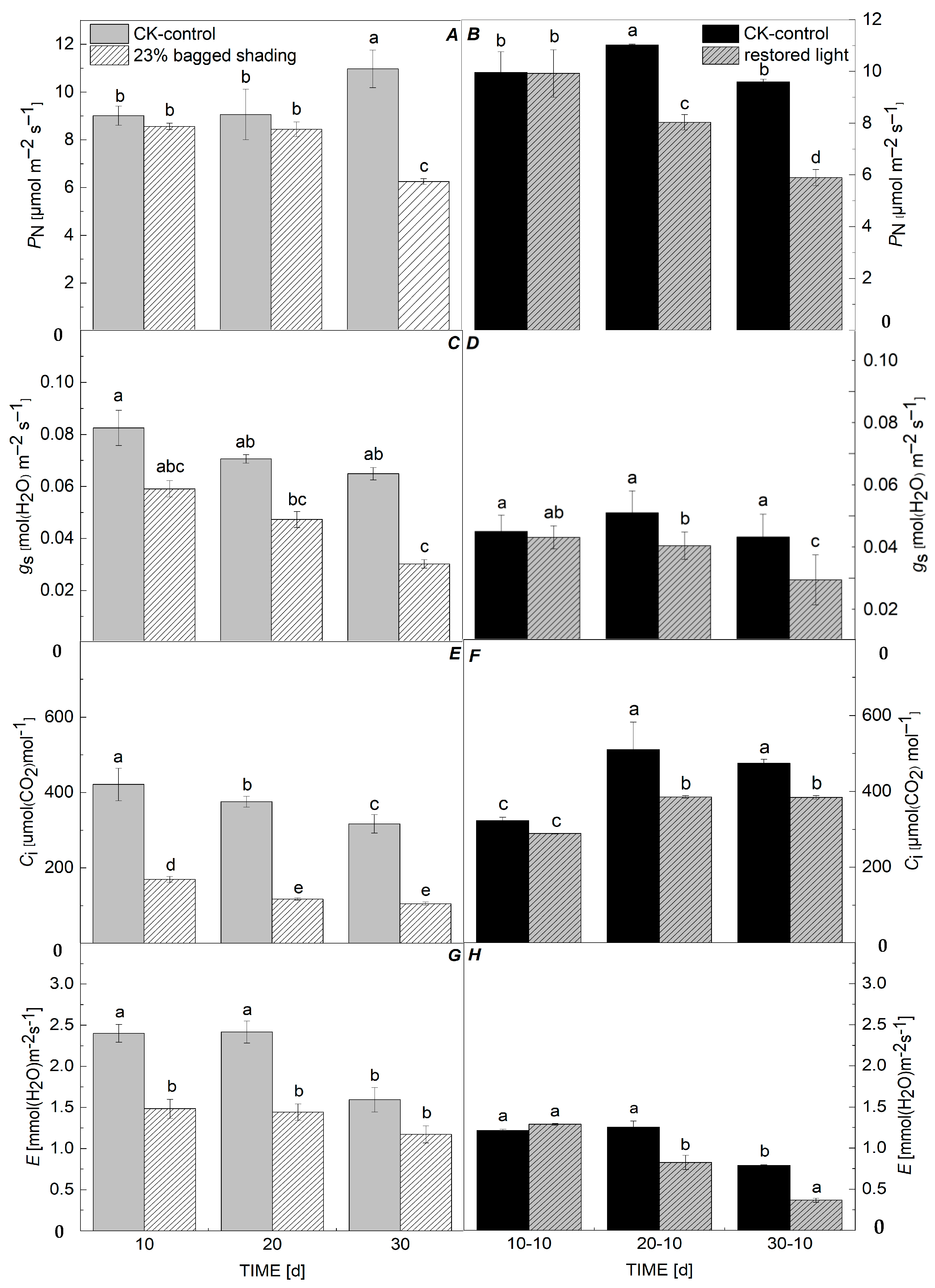
During the shading period, PN gradually increased, gs and Ci of CK showed a decreasing trend, while E firstly stabilised and then decreased. After bagged shading for 10 d, the leaf PN, gs, Ci, and E were 4.94%, 28.39%, 59.73%, and 38.33%, respectively, lower than those of CK leaves (Figure 1A,C,E,G). After bagged shading for 20 d and 30 d, PN, gs, Ci, and E were lower than those of bagged shading for 10 d CK (Figure 1A,C,E,G). Thus, as the number of days of bagging shading increased, the leaf PN, gs, Ci, and E gradually decreased. During light recovery, PN, gs, Ci, and E of CK showed a gradually increasing trend followed by a decreasing trend. After restoration, under 10-10, leaf PN, Ci, and gs were lower (0.33%, 10.63%, and 5.71%, respectively) than those of CK; however, E was 5.47% higher than that of CK (Figure 1B,D,F,H); under 20-10, PN, gs, Ci, and E were lower (27.20%, 25%, 24.51%, and 33.6%, respectively) than those of CK (Figure 1B,D,F,H); and under 30-10, leaf PN, gs, Ci, and E were lower (38.57%, 42.42%, 18.99%, and 53.16%, respectively) than those of CK (Figure 1B,D,F,H). Bagged shading for 10 d followed by 10 d of full light with the bag removed did not affect leaf growth.

3.2. Chl Concentration

Throughout the entire treatment period, the CK showed a gradually increasing trend. Bagged shading for 10 d increased leaf Chl a, Chl b, chlorophyll (a + b) (Chl (a + b)), and chlorophyll (a/b) (Chl (a/b)) by 23.12%, 15.08%, 21.25%, and 38.43%, respectively, compared to those of CK leaves (Figure 2A,C,E,G). Bagged shading for 20 d increased Chl a, Chl b, Chl (a + b), and Chl (a/b) by 6.79%, 4.20%, 4.09%, and 8.05% compared to those of CK leaves, respectively, while these indexes of shading for 30 d were all lower than for the 10 d and 20 d treatments (Figure 2A,C,E,G). Under 10-10, leaf Chl a, Chl b, Chl (a + b), and Chl (a/b) concentrations were 26.54%, 34.74%, 28.50%, and 49.01% higher than those of CK leaves, respectively (Figure 2B,D,F,H). Under 20-10, Chl a, Chl b, Chl (a + b), and Chl (a/b) concentrations were 34.58%, 35.92%, 34.90%, and 56.82% higher than those of CK leaves, respectively (Figure 2B,D,F,H). Under 30-10, Chl a, Chl b, Chl (a + b), and Chl (a/b) were slightly higher than those of CK, respectively (Figure 2B,D,F,H). The Chl contents after 10 d of shading and 10 d of restored light were all higher than those of CK.

3.3. Enzyme Activity

Under CK treatment, the SOD content of CK leaves stabilised and gradually decreased, while the POD content ascended and decreased, the CAT content decreased, and the MDA concentration of CK leaves gradually increased. Bagged shading for 10 d decreased the SOD, POD, and CAT contents by 25.33%, 10.99%, and 7.48% and increased the MDA concentration by 34.72%, respectively, compared to the CK (Figure 3A,C,E,G). Bagged shading for 20 d decreased the SOD, POD, and CAT contents by 22%, 17.52%, and 24.16% and increased the leaf MDA concentration by 6.89%, respectively, compared to the CK (Figure 3A,C,E,G). Bagged shading for 30 d decreased the three types of enzymes contents compared to the CK, increasing the MDA concentration by 30.71% (Figure 3A,C,E,G). During the light recovery period, the SOD, POD and CAT contents of the CK leaves progressively increased and then subsequently reduced, whereas the MDA concentration of the CK leaves decreased slowly and increased. Under 10-10, the SOD and POD contents were 6.76% and 10.04% lower, respectively, than those of CK, and the CAT content was 6.29% higher than that of CK, while the MDA concentration was 39.33% higher than that of the CK (Figure 3B,D,F,H). Under 20-10, the SOD, POD, and CAT contents were 8.41%, 2.51%, and 10.56% lower than those of CK, respectively, and the MDA concentration was 50.05% higher than that of CK (Figure 3B,D,F,H). Under 30-10, leaf SOD, POD, and CAT were lower than those of CK while the leaf MDA concentration was a half higher than that of CK (Figure 3B,D,F,H).

3.4. Starch Content

During the shading period, the starch content in the CK leaves gradually decreased and slowly increased. The starch content after bagged shading for 10 d was 805.56 mg g−1, compared to 886.66 mg g−1 in CK (Figure 4A). The starch content after bagged shading for 20 d was 764.18 mg g−1 compared to 801.68 mg g−1 in CK (Figure 4A). However, these differences were not significant. After 30 d of bagged shading, the starch content in the leaf was lower (378.68 mg g−1) than that in CK (Figure 4A). After restoring light, the starch contents of the CK leaves increased gradually and then gradually decreased. Under 10-10, the starch content (677.51 mg g−1) was higher than that in CK at 673.31 mg g−1 (Figure 4B). Under 20-10 and 30-10, the starch contents were lower (57.18 mg g−1 and 150.08 mg g−1) than that in CK (Figure 4B).

3.5. Sucrose, Glucose, Fructose, and Sorbitol Contents

During the shading period, the sucrose content trend remained stable, the glucose trend stabilised and then increased, the fructose level in CK leaves gradually increased, and the sorbitol content first increased and then decreased. Bagged shading for 10 d decreased the sucrose, glucose, fructose, and sorbitol contents by 0.308 mg g−1, 0.108 mg g−1, 0.003 mg g−1 and 0.235 mg g−1, respectively, compared to the CK, with the difference in the sucrose content being statistically significant (Figure 5A,C,E,G). Bagged shading for 20 d decreased the sucrose, glucose, fructose, and sorbitol contents by 0.021 mg g−1, 0.015 mg g−1, 0.011 mg g−1 and 0.294 mg g−1, respectively, compared to the CK (Figure 5A,C,E,G). Bagged shading for 30 d reduced the sucrose, glucose, fructose, and sorbitol contents by 0.404 mg g−1, 0.121 mg g−1, 0.004 mg g−1, and 0.130 mg g−1, respectively, compared to the CK, with the difference in the sucrose content being statistically significant (Figure 5A,C,E,G). During the restoration period, the content of fructose, glucose, sorbitol, and sucrose in CK leaves gradually increased and then decreased. Under 10-10, the sucrose, glucose, fructose, and sorbitol contents in the leaf only differed by 0.038 mg g−1, 0.016 mg g−1, 0.004 mg g−1, and 0.232 mg g−1, respectively, compared to the CK (Figure 5B,D,F,H). Under 20-10, the sucrose, glucose, fructose, and sorbitol contents were 0.056 mg g−1, 0.222 mg g−1, 0.005 mg g−1, and 0.736 mg g−1 lower than those of CK (Figure 5B,D,F,H). Under 30-10, the sucrose, glucose, fructose, and sorbitol contents were 0.154 mg g−1, 0.172 mg g−1, 0.115 mg g−1, and 0.141 mg g−1 lower than those of CK, respectively, and the differences in the fructose and sucrose contents were statistically different (Figure 5B,D,F,H).

4. Discussion

The structure and physiological functions of plant leaves under shading have undergone certain changes to adapt to the shading environment. Shading reduces E, gs, PN, SD, hydraulic conductivity, and water use efficiency [22,23]. The main factors affecting PN are gs and Ci [24,25]. gs adjusts the stomata closure and opening, and E typically exhibits a consistent trend with gs [26] to maintain a balance between water and gas exchange [27].
Under 10-10, leaf PN, E, gs, and Ci showed no differences from the CK leaf, and were almost restored to the same as those of the CK after removal of the shading. Under 20-10 and 30-10 conditions, PN, gs, Ci, and E did not return to the levels obtained under normal light conditions (CK). There was a correlation between the gas exchange parameters gs, E, and PN in the restored light leaves of 10-10 treatments. The stomatal resistance increases or even closes, reducing the transpiration rate and reducing water loss, leading to a decrease in stomatal conductance and a reduction in CO2 content at carboxylation sites in leaf mesophyll cells, resulting in a decrease in the photosynthetic rate. Light recovery can significantly improve various photosynthetic parameters and enhance leaf growth status, but the recovery effect varies depending on the duration of bagging time. After 10 d bagging, leaf PN can be fully restored. However, under 20 d of moderate stress, leaf PN recovered to only 70% of the control level, while under 30 days of severe stress, PN recovered to only 50% of the control level, indicating a decrease in leaf photosynthetic capacity.
Chl plays a crucial role in the absorption, transfer, and transport of photons in leaves, directly influencing PN [28], and is affected by shading [29]. Chl a and Chl b are the primary types of Chl in leaves, with Chl a being essential for photosynthesis and Chl b primarily found in the chromatin complex of photosystem II, aiding in capturing diffuse light [30]. The increase in Chl b enhances the use of shorter-wavelength light, such as blue and purple, improving chloroplast photosynthetic capacity, balancing the excitation energy distribution, and allowing for heightened light quantum absorption [31,32].
In the present study, after bagged shading for 10 d, the four Chl concentrations were higher than those in CK. Under 10-10 and 20-10 conditions, the leaf Chl a, Chl b, Chl (a + b), and Chl (a/b) concentrations were higher than those in CK. Increased Chl content, including Chl a, Chl b, and their total Chl (a + b), in shaded environments is beneficial for absorbing and capturing light energy, thereby improving light energy use efficiency [33,34]. Under 30-10 conditions, there was no difference in Chl concentration compared to CK leaves. Normal light conditions promote recovery, while prolonged low-light exposure slows this process [10]. However, increased light-harvesting efficiency does not offset the reduction in photosynthesis due to shading [10,35], and extended periods of low-light reduce recovery capability.
The three membrane protective enzymes, SOD, POD, and CAT, are major components of the enzymatic defence system of plants. After 10 d, 20 d and 30 d of shading, the SOD, POD, and CAT contents in leaves were lower than those in CK leaves, while the POD content was slightly lower after 10 d shading. These antioxidant enzymes collaborate to shield sweet cherry leaves by promoting defence mechanisms in low-light environments, minimising membrane peroxidation and oxidative stress from abiotic stressors, thereby enhancing the leaves’ enzyme activity for stress adaptation [9,36].
Under 10-10 d, the contents of SOD, POD and CAT were no different from those of CK leaves. This may be because SOD, POD and CAT activities have a certain adaptability from low light to normal light. At 20-10 and 30-10 d, SOD, and CAT were higher than that in CK, except for POD with an insignificant difference from CK leaves at 20-10 d. However, when the degree of stress exceeds their tolerance, this adaptability may decrease or disappear [13]. The MDA concentration in the all-tested leaves was higher than that in the CK except for 20 d shading with no difference. Consequently, the leaves’ capacity to eliminate reactive oxygen species diminishes. After the plant recovers from weak light stress, its photosynthetic enzyme activity is inhibited, and stomatal limitation increases, resulting in a decrease in plant photosynthetic carbon assimilation ability.
Sugars, the main product of photosynthetic carbon assimilation in leaves [37], are stored as carbon reserves (such as starch) in leaves [38]. The distribution of photosynthetic products between starch and sucrose is primarily to meet the needs of sucrose synthesis and transport, with the excess portion being converted into starch accumulation. The results showed that under 30 d of bagged shading conditions, the starch, sucrose, glucose, and sorbitol contents were lower than those in CK. Low-light conditions reduce the photosynthetic rate, impairing carbon assimilation and sugar synthesis [39], thereby inhibiting sucrose synthesis and sugar accumulation in sweet cherry leaves.
Under 10-10, the starch and four sugar component contents returned to the levels under CK. The role of starch as an energy storage substance is weakened during the bagging period, while the improvement of the light environment amplifies sucrose phosphate synthase (SPS), sucrose invertase (Inv) and soluble sugar content, which is closely related to the ability to restore photosynthetic capacity [40]. Under 20-10 and 30-10, the starch and four sugar component contents did not return to the levels under CK, except for no difference in fructose between leaves and CK leaves. The longer the plant was in a bagged shading environment, the greater the impact on photosynthesis and the more time required to restore normal growth, ultimately leading to a decrease in the accumulation of photosynthetic products. Additionally, the fructose levels in CK were similar to those in the 10 or 10-10 treatments but different from the other controls. Low-light conditions did not affect the fructose content, which provides raw materials for glucose and starch synthesis in plant photosynthesis and reduces the inhibitory effect of low light on plant photosynthesis. Due to fact that plants communicate internally through chemical, electrical, and hormonal signals, stress in one part of the plant can affect other parts.

5. Conclusions

Sweet cherry leaves have strong resilience under moderate shading. After 10 d of shading and 10 d restoration of light exposure, there was little difference in the various physiological indicators of the leaves compared to CK leaves, while Chl and MDA were all increased. The increased content of Chl b could improve the ability to capture weak light, induce the activity of some key photosynthetic enzymes in the leaves to increase, and thus improve the accumulation rate of photosynthetic products. However, 20 d and 30 d prolonged low light pressure could hinder physiological recovery of leaves. In a greenhouse environment, performing a 10 d branch-shading treatment would not affect leaf growth.

Author Contributions

Conceptualization, Q.Z., J.A., M.H., and Y.C.; Methodology, Q.Z., J.A., Y.C., and M.H.; Software and Validation, J.A., M.H., Y.C. and Q.Z.; Formal analysis, J.A., Y.C. and Q.Z.; Investigation, J.A., M.W. and F.C.; Resources, Q.Z.; Data curation, Q.Z., Y.C. and J.A.; Writing—original draft preparation, J.A., Q.Z., M.H. and Y.C.; Writing—review and editing, Q.Z., M.H. and Y.C. and J.A.; Visualization, Q.Z.; Supervision, Q.Z., M.H. and Y.C.; Project administration, Q.Z.; Funding acquisition, Q.Z. All authors have read and agreed to the published version of the manuscript.

Funding

The authors gratefully acknowledge financial support provided by the China Agriculture Research System (Grant No. CARS-30-ZY-25).

Data Availability Statement

The data presented in this study are available in the article.

Conflicts of Interest

The authors declare that they have no conflicts of interest.

Abbreviations

The following abbreviations are used in this manuscript:
ANOVAAnalysis of variance
CiIntercellular CO2 concentration
CATCatalase
ChlChlorophyll
Chl a(b)Chlorophyll a(b)
Chl (a + b)(a/b)Chlorophyll (a + b)(a/b)
CKControl
DDay
ETranspiration rate
gsStomatal conductance
LSDLeast significant difference
MDAMalondialdehyde
PODPeroxidase
PNNet photosynthetic rate
SODSuperoxide dismutase
SDStomatal density

References

  1. Ai, J.Y.; Zhou, C.H.; He, M.L.; Zhang, Q.J. Research progress in sweet cherry photosynthesis. J. Fruit Sci. 2023, 40, 1235–1244. [Google Scholar] [CrossRef]
  2. Tang, W.J.; Chen, C.Q.; Zhang, Y.; Chu, Y.Q.; Yang, W.L.; Cui, Y.L.; Kou, G.Q.; Chen, H.X.; Song, H.Y.; Gong, R.G. Effect of low-light stress on sugar and acid accumulation during Fruit Development and Ripening of Sweet Cherry. Hortic 2023, 9, 654. [Google Scholar] [CrossRef]
  3. Ali, M.M.; Anwar, R.; Yousef, A.F.; Li, B.Q.; Luvisi, A.; De Bellis, L.G.; Aprile, A.; Chen, F.X. Influence of Bagging on the Development and Quality of Fruits. Plants 2021, 10, 358. [Google Scholar] [CrossRef] [PubMed]
  4. Salvadores, Y.; Bastías, R.M. Environmental factors and physiological responses of sweet cherry production under protective cover systems: A review. Chil. J. Agric Res. 2023, 83, 484–498. [Google Scholar] [CrossRef]
  5. Liu, Y.J.; Zhang, W.; Wang, Z.B.; Ma, L.; Guo, Y.P.; Ren, X.L.; Mei, L.X. Influence of shading on photosynthesis and antioxidative activities of enzymes in apple trees. Photosynthetica 2019, 57, 6. [Google Scholar] [CrossRef]
  6. Xiang, X.W.; Song, K.K.; Li, Y.Y.; Zhang, C.Y.; Zhou, R.Q.; Feng, Y.; You, J.G.; Wu, J.D.; Zhang, Y.H.; Jiang, C.C.; et al. Screening and Expression Analysis of POD Gene in POD-H2O2 Pathway on Bud Dormancy of Pear (Pyrus pyrifolia). Forests 2024, 15, 434. [Google Scholar] [CrossRef]
  7. Yao, Y.C.; Wang, S.H.; Kong, Y. Changes in the structure and photosynthetic characteristics of peach leaves and chloroplast ultrastructure under low light conditions. Chin. Agric. Sci. 2007, 40, 9. (In Chinese) [Google Scholar] [CrossRef]
  8. Tian, T.; Qiao, G.; Wen, Z.; Deng, B.; Qiu, Z.L.; Hong, Y.; Wen, X.P. Comparative transcriptome analysis reveals the molecular regulation underlying the adaptive mechanism of cherry (Cerasus pseudocerasus Lindl.) to shelter covering. BMC Plant Biol. 2020, 20, 27. [Google Scholar] [CrossRef] [PubMed]
  9. Huang, W.D.; Wu, L.K.; Zhan, J.C. Effect of weak light on the peroxidation of membrane-lipid of cherry leaves. J. Integr. Plant Biol. 2002, 44, 920. [Google Scholar] [CrossRef]
  10. Huang, W.D.; Wu, L.K.; Zhan, J.C. Adaptive regulation of leaf growth and photosynthesis of Chinese dwarf cherry to low light environment. Chin. Agric. Sci. 2004, 12, 1981–1985. [Google Scholar] [CrossRef]
  11. Xu, C.; Wang, M.T.; Yang, Z.Q.; Zheng, Q.T. Low temperature and low irradiation induced irreversible damage of strawberry seedlings. Photosynthetica 2020, 58. [Google Scholar] [CrossRef]
  12. Thorne, J.H.; Koller, H.R. Influence of assimilate demand on photosynthesis, diffusive resistances, translocation, and carbohydrate levels of soybean leaves. Plant Physiol. 1974, 54, 201–207. [Google Scholar] [CrossRef] [PubMed]
  13. Wang, Y.; Ren, S.; Li, X.L.; Luo, X.; Deng, Q.X. Shading inhibits sugar accumulation in leaf and fruit of jujube (Ziziphus jujuba Mill.). Hortic 2022, 8, 592. [Google Scholar] [CrossRef]
  14. Dayer, S.; Murcia, G.; Prieto, J.A.; Durán, M.; Martínez, L.; Píccoli, P.; Peña, J.P. Non-structural carbohydrates and sugar export in grapevine leaves exposed to different light regimes. Physiol. Plant. 2020, 171, 728–738. [Google Scholar] [CrossRef]
  15. Zhu, F.Y.; Chen, M.X.; Chan, W.L.; Yang, F.; Tian, Y.; Song, T.; Xie, L.J.; Zhou, Y.; Xiao, S.; Zhang, J.H.; et al. SWATH-MS quantitative proteomic investigation of nitrogen starvation in Arabidopsis reveals new aspects of plant nitrogen stress responses. J. Proteom. 2018, 187, 161–170. [Google Scholar] [CrossRef]
  16. Wang, Y.N.; Liang, C.Z.; Meng, Z.G.; Li, Y.Y.; AliAbid, M.H.; Askari, M.; Wang, P.L.; Wang, Y.; Sun, G.Q.; Cai, Y.P.; et al. Leveraging Atriplex hortensis choline monooxygenase to improve chilling tolerance in cotton. Environ. Exp. Bot. 2019, 162, 364–373. [Google Scholar] [CrossRef]
  17. Li, B.B.; Ding, Y.; Tang, X.L.; Wang, G.Y.; Wu, S.J.; Li, X.X.; Qu, T.T.; Chen, J.F.; Tang, X.M. Effect of L-Arginine on Maintaining Storage Quality of the White Button Mushroom (Agaricus bisporus). Food Bioprocess Technol. 2019, 12, 563–574. [Google Scholar] [CrossRef]
  18. Chen, G.L.; Jia, Z.M.; Wang, L.P.; Hu, T.Z. Effect of acute exposure of saxitoxin on development of zebrafish embryos (Danio rerio). Environ. R 2020, 185, 109432. [Google Scholar] [CrossRef] [PubMed]
  19. Liu, G.Y.; Mei, H.; Chen, M.; Qin, S.; Li, L.; Zhang, W.; Chen, T. Protective effect of agmatine against hyperoxia-induced acute lung injury via regulating lncRNA gadd7. Biochem. Biophys. Res. Commun. 2019, 516, 68–74. [Google Scholar] [CrossRef]
  20. Chen, M.X.; Zhu, F.Y.; Wang, F.Z.; Ye, N.H.; Gao, B.; Chen, X.; Zhao, S.S.; Fan, T.; Cao, Y.Y.; Liu, T.Y.; et al. Alternative splicing and translation play important roles in hypoxic germination in rice. J. Exp. Bot. 2019, 70, 817–833. [Google Scholar] [CrossRef] [PubMed]
  21. Li, T.H.; Li, S.H. Leaf responses of micropropagated apple plants to water stress: Nonstructural carbohydrate composition and regulatory role of metabolic enzymes. Tree Physiol. 2005, 25, 495. [Google Scholar] [CrossRef] [PubMed]
  22. Da Silva, P.S.O.; Junior, L.F.G.O.; Gonzaga, M.I.S.; Sena, E.D.O.A.; dos Santos Maciel, L.B.; Matheus, P.F.; Mattos, E.C.D.; Carnelossi, M.A.G. Effects of calcium particle films and natural shading on ecophysiological parameters of conilon coffee. Sci. Hortic. 2019, 245, 171–177. [Google Scholar] [CrossRef]
  23. Mathur, S.; Jain, L.; Jajoo, A. Photosynthetic efficiency in sun and shade plants. Photosynthetica 2018, 56, 354–365. [Google Scholar] [CrossRef]
  24. Gao, J.; Liu, Z.; Zhao, B.; Liu, P.; Zhang, J.W. Physiological and comparative proteomic analysis provides new insights into theeffects of shade stress in maize (Zea mays L.). BMC Plant Biol. 2020, 20, 1–13. [Google Scholar] [CrossRef] [PubMed]
  25. Ren, B.Z.; Cui, H.Y.; Camberato, J.J.; Dong, S.; Liu, P.; Zhao, B.; Zhang, J.W. Effects of shading on the photosyntheticcharacteristics and mesophyll cell ultrastructure of summer maize. Sci.Nat. 2016, 103, 67. [Google Scholar] [CrossRef] [PubMed]
  26. Borel, C.; Frey, A.; Marion-Poll, A.; Tardieu, F.; Simonneau, T. Does engineering abscisic acid biosynthesis in Nicotiana plumbaginifolia modify stomatal response to drought? Plant Cell Environ. 2010, 24, 477–489. [Google Scholar] [CrossRef]
  27. Bharath, P.; Gahir, S.; Raghavendra, A.S. Abscisic acid-induced stomatal closure: An important component of plant defense against abiotic and biotic stress. Front. Plant Sci. 2021, 12, 615114. [Google Scholar] [CrossRef] [PubMed]
  28. Baig, M.J.; Anand, A.; Mandal, P.K.; Bhatt, R.K. Irradiance influences contents of photosynthetic pigments and proteins in tropical grasses and legumes. Photosynthetica 2005, 43, 47–53. [Google Scholar] [CrossRef]
  29. Wang, Y.B.; Huang, R.D.; Zhou, Y.F. Effects of shading stress during the reproductive stages on photosynthetic physiology andyield characteristics of peanut (Arachis hypogaea Linn). Integr. Agric. 2021, 20, 1250–1265. [Google Scholar] [CrossRef]
  30. Field, K.J.; George, R.; Feam, B.; Quick, W.P.; Davey, M.P. Best of both worlds:simultaneous high-light and shade tolerance adaptations within individual leaves of the living stone Lithops acuampiae. PLoS ONE 2013, 8, e75671. [Google Scholar] [CrossRef]
  31. Cornah, J.E.; Terry, M.J.; Smith, A.G. Green or red: What stops the traffic in the tetrapyrole pathway. Trends Plant Sci. 2003, 8, 224–230. [Google Scholar] [CrossRef] [PubMed]
  32. Dai, Y.; Shen, Z.; Liu, Y.; Wang, L.; Hannaway, D.; Lu, H. Effects of shade treatments on the photosynthetic capacity, chlorophyll fluorescence, and chlorophyll content of Tetrastigma hemsleyanum Diels et Gilg. Environ. Exp. Botany 2009, 65, 177–182. [Google Scholar] [CrossRef]
  33. Gill, S.S.; Tuteja, N. Reactive oxygen species and antioxidant machinery in abiotic stress tolerance in crop plants. Plant Physiol. Biochem. 2010, 48, 909–930. [Google Scholar] [CrossRef]
  34. Yao, X.D.; Zhou, H.L.; Zhu, Q.; Li, C.H.; Zhang, H.J.; Wu, J.J.; Xie, F.T. Photosynthetic response of soybean leaf to wide light-fluctuation in maize-soybean intercropping system. Front. Plant Sci. 2017, 8, 1695. [Google Scholar] [CrossRef] [PubMed]
  35. Qiu, T.; Wu, Y.Y.; Shen, Z.L. Effects of shading on leaf physiology and morphology in the ‘Yinhong’ grape plants. Rev. Bras. De Frutic. 2018, 40, 37. [Google Scholar] [CrossRef]
  36. Wolske, E.T.; Branham, B.E. Growth and productivity of ‘consort’ black currant grown under varying levels of artificial shade. Hortsci 2021, 56, 3–7. [Google Scholar] [CrossRef]
  37. Pan, J.W.; Sharif, R.; Xu, X.W.; Chen, X.H. Mechanisms of waterlogging tolerance in plants: Research progress and prospects. Front. Plant Sci. 2021, 11, 627331. [Google Scholar] [CrossRef]
  38. Durán-Soria, S.; Pott, D.M.; Osorio, S.; Vallarino, J.G. Sugar signaling during fruit ripening. Front. Plant Sci. 2020, 11, 564917. [Google Scholar] [CrossRef] [PubMed]
  39. Dong, C.J.; Wang, X.L.; Shang, Q.M. Salicylic acid regulates sugar metabolism that confers tolerance to salinity stress in cucumber seedlings. Sci. Hortic. Amst. 2011, 129, 629–636. [Google Scholar] [CrossRef]
  40. Yu, X.B.; An, J.G.; Liang, J.Q.; Yang, W.Y.; Zeng, Z.Q.; Feng, J.W.; Hai, Y.; Zhang, M.R. Effects of shading and re illumination on photosynthetic performance and carbon metabolism of soybean leaves. Southwest Agric. J. 2024, 37, 1471–1479. [Google Scholar] [CrossRef]
Figure 1. Net photosynthetic rate (PN-in (A)), stomatal conductance (gs-in (C)), intercellular carbon dioxide concentration (Ci-in (E)), and transpiration rate (E-in (G)) after bagged shading, and net photosynthetic rate (PN-in (B)), stomatal conductance (gs-in (D)), intercellular carbon dioxide concentration (Ci-in (F)), and transpiration rate (E-in (H)) after light restoration in leaves of ‘Tieton’ sweet cherry. Within a column, different letters indicate significant differences (p < 0.05). Values are presented as mean ± SD (n = 3).
Figure 1. Net photosynthetic rate (PN-in (A)), stomatal conductance (gs-in (C)), intercellular carbon dioxide concentration (Ci-in (E)), and transpiration rate (E-in (G)) after bagged shading, and net photosynthetic rate (PN-in (B)), stomatal conductance (gs-in (D)), intercellular carbon dioxide concentration (Ci-in (F)), and transpiration rate (E-in (H)) after light restoration in leaves of ‘Tieton’ sweet cherry. Within a column, different letters indicate significant differences (p < 0.05). Values are presented as mean ± SD (n = 3).
Horticulturae 11 00136 g001
Figure 2. Chlorophyll a (Chl a-in (A)), chlorophyll b (Chl b-in (C)), chlorophyll (a + b) (Chl (a + b)-in (E)), and chlorophyll (a/b) (Chl (a/b)-in (G)) after bagged shading, and chlorophyll a (Chl a-in (B)), chlorophyll b (Chl b-in (D)), chlorophyll (a + b) (Chl (a + b)-in (F)), and chlorophyll (a/b) (Chl (a/b)-in (H)) after light restoration in leaves of ‘Tieton’ sweet cherry. Within a column, different letters indicate significant differences (p < 0.05). Values are presented as mean ± SD (n = 3).
Figure 2. Chlorophyll a (Chl a-in (A)), chlorophyll b (Chl b-in (C)), chlorophyll (a + b) (Chl (a + b)-in (E)), and chlorophyll (a/b) (Chl (a/b)-in (G)) after bagged shading, and chlorophyll a (Chl a-in (B)), chlorophyll b (Chl b-in (D)), chlorophyll (a + b) (Chl (a + b)-in (F)), and chlorophyll (a/b) (Chl (a/b)-in (H)) after light restoration in leaves of ‘Tieton’ sweet cherry. Within a column, different letters indicate significant differences (p < 0.05). Values are presented as mean ± SD (n = 3).
Horticulturae 11 00136 g002
Figure 3. Superoxide (SOD-in (A)), peroxidase (POD-in (C)), catalase (CAT-in (E)), malondialdehyde (MDA-in (G)), and after bagged shading, and superoxide (SOD-in (B)), peroxidase (POD-in (D)), catalase (CAT-in (F)) and malondialdehyde (MDA-in (H)) after light restoration in leaves of ‘Tieton’ sweet cherry. Within a column, different letters indicate significant differences (p < 0.05). Values are presented as mean ± SD (n = 3).
Figure 3. Superoxide (SOD-in (A)), peroxidase (POD-in (C)), catalase (CAT-in (E)), malondialdehyde (MDA-in (G)), and after bagged shading, and superoxide (SOD-in (B)), peroxidase (POD-in (D)), catalase (CAT-in (F)) and malondialdehyde (MDA-in (H)) after light restoration in leaves of ‘Tieton’ sweet cherry. Within a column, different letters indicate significant differences (p < 0.05). Values are presented as mean ± SD (n = 3).
Horticulturae 11 00136 g003
Figure 4. Starch content after (A) bagged shading and (B) light restoration in leaves of ‘Tieton’ sweet cherry. Within a column, different letters indicate significant differences (p < 0.05). Values are presented as mean ± SD (n = 3).
Figure 4. Starch content after (A) bagged shading and (B) light restoration in leaves of ‘Tieton’ sweet cherry. Within a column, different letters indicate significant differences (p < 0.05). Values are presented as mean ± SD (n = 3).
Horticulturae 11 00136 g004
Figure 5. Sucrose-in (A), glucose-in (C), fructose-in (E), and sorbitol-in (G) contents after bagged shading, and sucrose-in (B), glucose-in (D), fructose-in (F), and sorbitol-in (H) contents after light restoration in leaves of ‘Tieton’ sweet cherry. Within a column, different letters indicate significant differences (p < 0.05). Values are presented as mean ± SD (n = 3).
Figure 5. Sucrose-in (A), glucose-in (C), fructose-in (E), and sorbitol-in (G) contents after bagged shading, and sucrose-in (B), glucose-in (D), fructose-in (F), and sorbitol-in (H) contents after light restoration in leaves of ‘Tieton’ sweet cherry. Within a column, different letters indicate significant differences (p < 0.05). Values are presented as mean ± SD (n = 3).
Horticulturae 11 00136 g005
Disclaimer/Publisher’s Note: The statements, opinions and data contained in all publications are solely those of the individual author(s) and contributor(s) and not of MDPI and/or the editor(s). MDPI and/or the editor(s) disclaim responsibility for any injury to people or property resulting from any ideas, methods, instructions or products referred to in the content.

Share and Cite

MDPI and ACS Style

Ai, J.; Wu, M.; Cai, F.; He, M.; Chen, Y.; Zhang, Q. Effect of Branch-Bagged Shading on the Photosynthetic Physiology of Sweet Cherry Leaves in a Greenhouse Environment. Horticulturae 2025, 11, 136. https://doi.org/10.3390/horticulturae11020136

AMA Style

Ai J, Wu M, Cai F, He M, Chen Y, Zhang Q. Effect of Branch-Bagged Shading on the Photosynthetic Physiology of Sweet Cherry Leaves in a Greenhouse Environment. Horticulturae. 2025; 11(2):136. https://doi.org/10.3390/horticulturae11020136

Chicago/Turabian Style

Ai, Jiayin, Min Wu, Feng Cai, Mingli He, Yao Chen, and Qijing Zhang. 2025. "Effect of Branch-Bagged Shading on the Photosynthetic Physiology of Sweet Cherry Leaves in a Greenhouse Environment" Horticulturae 11, no. 2: 136. https://doi.org/10.3390/horticulturae11020136

APA Style

Ai, J., Wu, M., Cai, F., He, M., Chen, Y., & Zhang, Q. (2025). Effect of Branch-Bagged Shading on the Photosynthetic Physiology of Sweet Cherry Leaves in a Greenhouse Environment. Horticulturae, 11(2), 136. https://doi.org/10.3390/horticulturae11020136

Note that from the first issue of 2016, this journal uses article numbers instead of page numbers. See further details here.

Article Metrics

Back to TopTop