Magnesium Hydride Enhances Both Growth and Bioactive Compound Biosynthesis in Salvia miltiorrhiza: A Novel Eco-Friendly Approach for Medicinal Plant Cultivation
Abstract
1. Introduction
2. Materials and Methods
2.1. Plant Materials and Cultivation Conditions
2.2. MgH2 Treatments
2.3. Growth and Photosynthetic Analysis of S. miltiorrhiza Seedlings
2.4. Extraction and Quantification of Secondary Metabolites from S. miltiorrhiza Roots
2.5. Transcriptome Sequencing of S. miltiorrhiza Seedling Roots
2.6. RNA Extraction and Quantitative RT-PCR (qRT-PCR)
2.7. Data Statistics and Analysis
3. Results
3.1. MgH2 Treatment Promotes Seed Germination in S. miltiorrhiza
3.2. MgH2 Enhances Seedling Shoot Growth and Development in S. miltiorrhiza
3.3. MgH2 Increases Root Biomass in S. miltiorrhiza
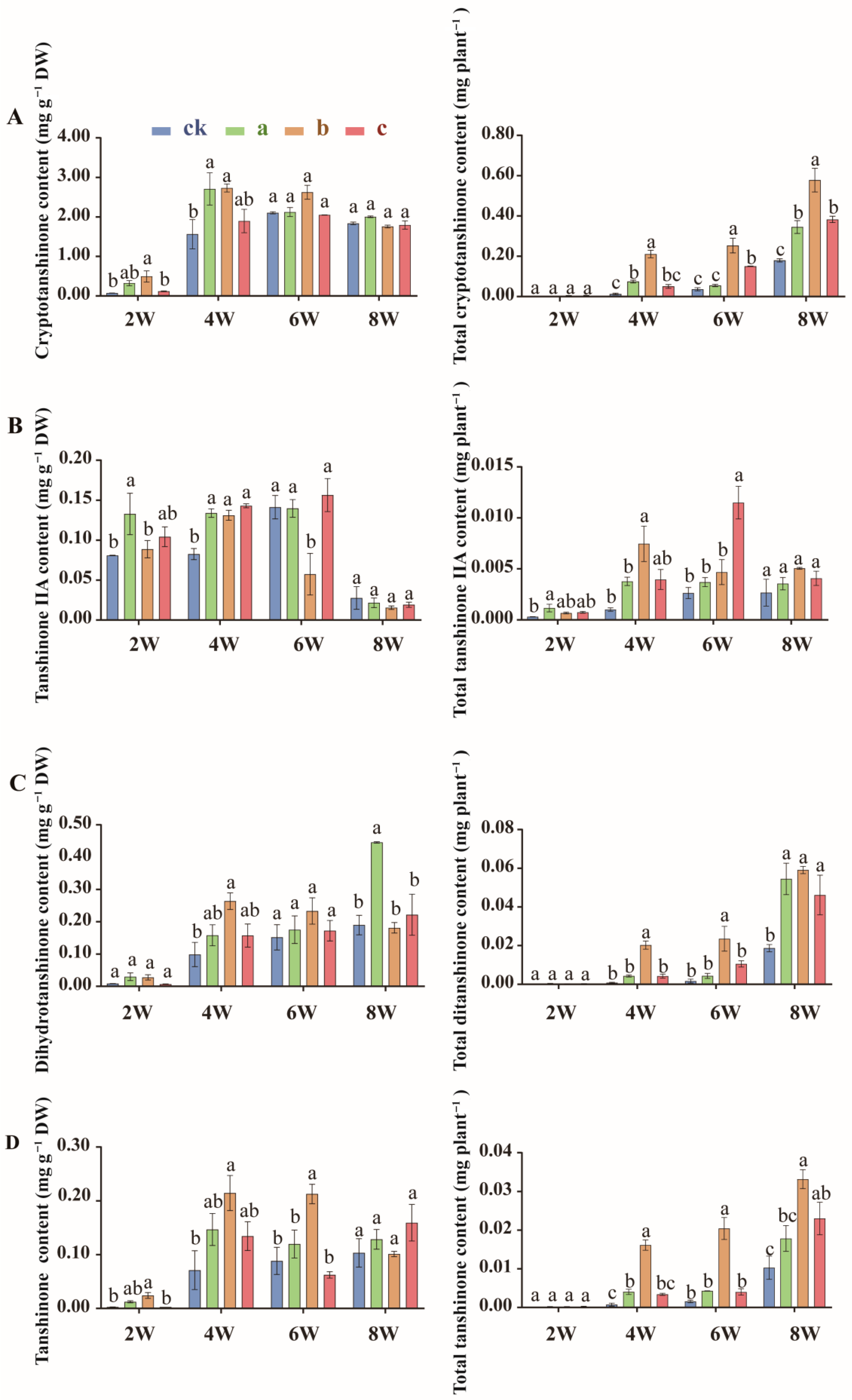
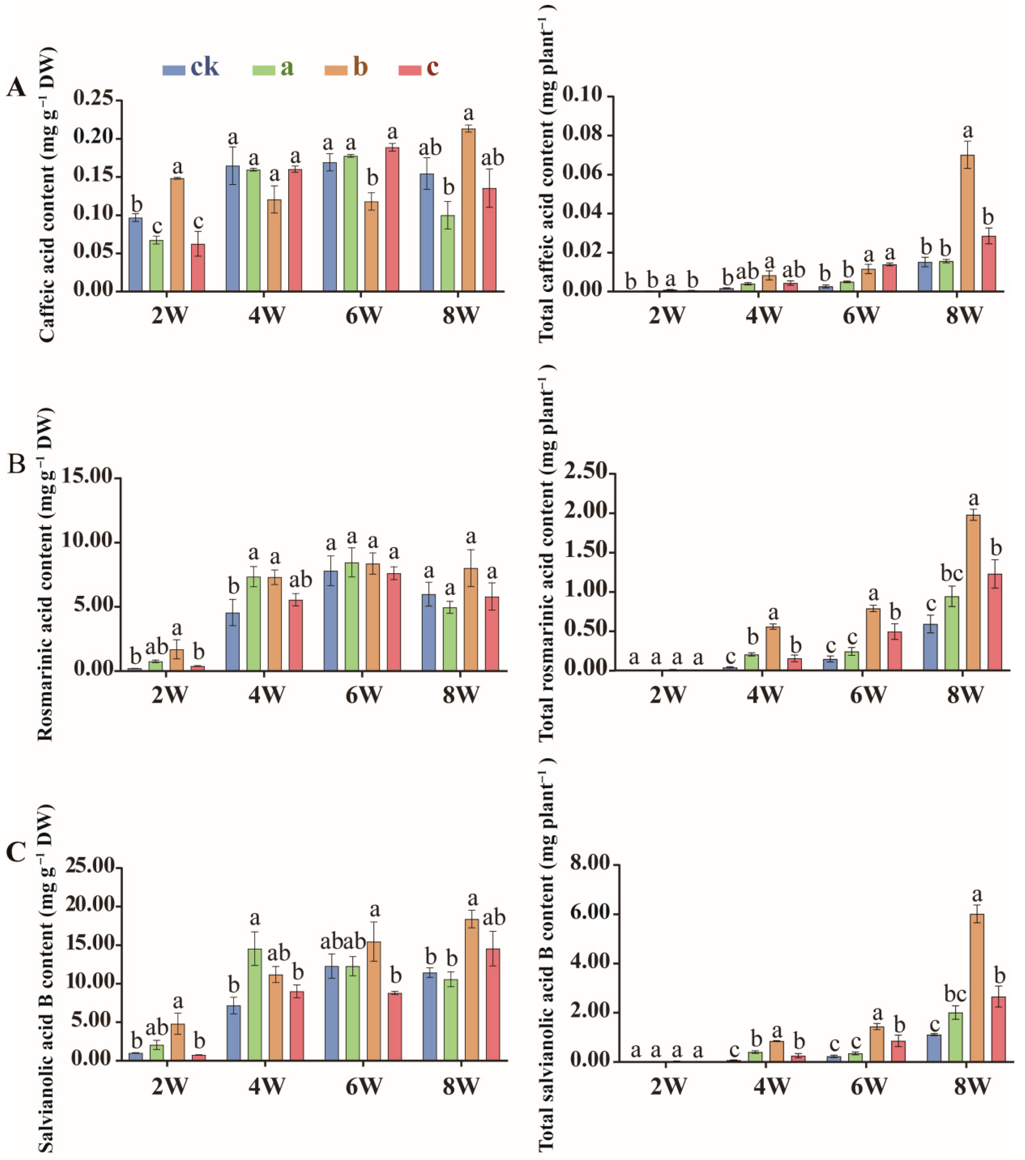
3.4. MgH2 Elevates the Accumulation of Tanshinones and Salvianolic Acids in S. miltiorrhiza Roots
3.5. Multivariate Analysis Reveals Coordinated Enhancement by MgH2
3.6. Transcriptomic Analysis Reveals Potential Mechanisms
4. Discussion
5. Conclusions
6. Study Limitations and Future Perspectives
Supplementary Materials
Author Contributions
Funding
Data Availability Statement
Acknowledgments
Conflicts of Interest
References
- Gao, Q.; Zhang, J.; Cao, J.; Xiang, C.; Yuan, C.; Li, X.; Wang, J.; Zhou, P.; Li, L.; Liu, J.; et al. MetaDb: A database for metabolites and their regulation in plants with an emphasis on medicinal plants. Mol. Hortic. 2024, 4, 17. [Google Scholar] [CrossRef]
- Xia, J.; Lou, G.; Zhang, L.; Huang, Y.; Yang, J.; Guo, J.; Qi, Z.; Li, Z.; Zhang, G.; Xu, S.; et al. Unveiling the spatial distribution and molecular mechanisms of terpenoid biosynthesis in Salvia miltiorrhiza and S. grandifolia using multi-omics and DESI–MSI. Hortic. Res. 2023, 10, uhad109. [Google Scholar] [CrossRef]
- Zhao, G.; Xiang, Z.; Ye, T.; Yuan, Y.; Guo, Z. Antioxidant activities of Salvia miltiorrhiza and Panax notoginseng. Food Chem. 2006, 99, 767–774. [Google Scholar] [CrossRef]
- Ma, S.; Zhang, D.; Lou, H.; Sun, L.; Ji, J. Evaluation of the anti-inflammatory activities of tanshinones isolated from Salvia miltiorrhiza var. alba roots in THP-1 macrophages. J. Ethnopharmacol. 2016, 188, 193–199. [Google Scholar] [CrossRef]
- Guo, S.-S.; Wang, Z.-G. Salvianolic acid B from Salvia miltiorrhiza bunge: A potential antitumor agent. Front. Pharmacol. 2022, 13, 1042745. [Google Scholar] [CrossRef] [PubMed]
- Ren, J.; Fu, L.; Nile, S.H.; Zhang, J.; Kai, G. Salvia miltiorrhiza in Treating Cardiovascular Diseases: A Review on Its Pharmacological and Clinical Applications. Front. Pharmacol. 2019, 10, 753. [Google Scholar] [CrossRef] [PubMed]
- He, X.; Chen, Y.; Xia, Y.; Hong, X.; You, H.; Zhang, R.; Liang, Z.; Cui, Q.; Zhang, S.; Zhou, M.; et al. DNA methylation regulates biosynthesis of tanshinones and phenolic acids during growth of Salvia miltiorrhiza. Plant Physiol. 2023, 194, 2086–2100. [Google Scholar] [CrossRef] [PubMed]
- Jung, I.; Kim, H.; Moon, S.; Lee, H.; Kim, B. Overview of Salvia miltiorrhiza as a Potential Therapeutic Agent for Various Diseases: An Update on Efficacy and Mechanisms of Action. Antioxidants 2020, 9, 857. [Google Scholar] [CrossRef] [PubMed]
- Song, Z.; Lin, C.; Xing, P.; Fen, Y.; Jin, H.; Zhou, C.; Gu, Y.Q.; Wang, J.; Li, X. A high-quality reference genome sequence of Salvia miltiorrhiza provides insights into tanshinone synthesis in its red rhizomes. Plant Genome 2020, 13, e20041. [Google Scholar] [CrossRef]
- Xu, H.; Song, J.; Luo, H.; Zhang, Y.; Li, Q.; Zhu, Y.; Xu, J.; Li, Y.; Song, C.; Wang, B.; et al. Analysis of the Genome Sequence of the Medicinal Plant Salvia miltiorrhiza. Mol. Plant 2016, 9, 949–952. [Google Scholar] [CrossRef]
- Su, Y.; Lin, C.; Zhang, J.; Hu, B.; Wang, J.; Li, J.; Wang, S.; Liu, R.; Li, X.; Song, Z.; et al. One-Step Regeneration of Hairy Roots to Induce High Tanshinone Plants in Salvia miltiorrhiza. Front. Plant Sci. 2022, 13, 913985. [Google Scholar] [CrossRef]
- Wang, M.; Lu, S. Genetic Transformation of Salvia miltiorrhiza. In The Salvia miltiorrhiza Genome. Compendium of Plant Genomes; Springer: Cham, Switzerland, 2019. [Google Scholar] [CrossRef]
- Yan, Y.-P.; Wang, Z.-Z. Genetic transformation of the medicinal plant Salvia miltiorrhiza by Agrobacterium tumefaciens-mediated method. Plant Cell Tissue Organ Cult. (PCTOC) 2007, 88, 175–184. [Google Scholar] [CrossRef]
- Alok, A.; Jain, P.; Kumar, J.; Yajnik, K.; Bhalothia, P. Genome engineering in medicinally important plants using CRISPR/Cas9 tool. In Genome Engineering via CRISPR-Cas9 System; Elsevier: Amsterdam, The Netherlands, 2020; pp. 155–161. [Google Scholar]
- Lu, S. Biosynthesis and Regulatory Mechanisms of Bioactive Compounds in Salvia miltiorrhiza, a Model System for Medicinal Plant Biology. Crit. Rev. Plant Sci. 2021, 40, 243–283. [Google Scholar] [CrossRef]
- Gong, F.; He, C.; Li, X.; Wang, K.; Li, M.; Zhou, X.; Xu, M.; He, X. Impacts of fertilization methods on Salvia miltiorrhiza quality and characteristics of the epiphytic microbial community. Front. Plant Sci. 2024, 15, 1395628. [Google Scholar] [CrossRef] [PubMed]
- He, C.; Han, T.; Liu, C.; Sun, P.; Liao, D.; Li, X. Deciphering the effects of genotype and climatic factors on the performance, active ingredients and rhizosphere soil properties of Salvia miltiorrhiza. Front. Plant Sci. 2023, 14, 1110860. [Google Scholar] [CrossRef] [PubMed]
- Liu, Q.; Zhao, Y.; Qi, Y.; Zhang, Z.; Hao, P.; Pu, G.; Zhang, Y.; Zeng, Y.; Zhang, Y. A comprehensive analytical platform for unraveling the effect of the cultivation area on the composition of Salvia miltiorrhiza Bunge. Ind. Crop. Prod. 2020, 145, 111952. [Google Scholar] [CrossRef]
- Zhang, X.-D.; Cen, Y.-S.; Yu, Y.-G.; Qi, Z.-C.; Yang, D.-F.; Wang, Z.-Y.; Hou, Z.-N.; Liang, Z.-S. Simultaneous Determination of 17 Constituents of Chinese Wild Radix Salvia miltiorrhiza from Different Geographical Areas by Ultra-High Performance Liquid Chromatography Coupled to Triple Quadrupole Mass Spectrometry. Curr. Pharm. Anal. 2020, 16, 280–290. [Google Scholar] [CrossRef]
- Cheng, Y.; Hong, X.; Zhang, L.; Yang, W.; Zeng, Y.; Hou, Z.; Yang, Z.; Yang, D. Transcriptomic analysis provides insight into the regulation mechanism of silver ions (Ag+) and jasmonic acid methyl ester (MeJA) on secondary metabolism in the hairy roots of Salvia miltiorrhiza Bunge (Lamiaceae). Med. Plant Biol. 2023, 2, 3. [Google Scholar] [CrossRef]
- Dong, J.; Wan, G.; Liang, Z. Accumulation of salicylic acid-induced phenolic compounds and raised activities of secondary metabolic and antioxidative enzymes in Salvia miltiorrhiza cell culture. J. Biotechnol. 2010, 148, 99–104. [Google Scholar] [CrossRef]
- Hou, Z.; Li, Y.; Su, F.; Wang, Y.; Zhang, X.; Xu, L.; Yang, D.; Liang, Z. The exploration of methyl jasmonate on the tanshinones biosynthesis in hair roots of Salvia miltiorrhiza Bunge and Salvia castanea f. tomentosa Stib. Ind. Crop. Prod. 2021, 167, 113563. [Google Scholar] [CrossRef]
- Liang, Z.-S.; Yang, D.-F.; Liang, X.; Zhang, Y.-J.; Liu, Y.; Liu, F.-H. Roles of reactive oxygen species in methyl jasmonate and nitric oxide-induced tanshinone production in Salvia miltiorrhiza hairy roots. Plant Cell Rep. 2011, 31, 873–883. [Google Scholar] [CrossRef] [PubMed]
- Shi, M.; Liao, P.; Nile, S.H.; Georgiev, M.I.; Kai, G. Biotechnological Exploration of Transformed Root Culture for Value-Added Products. Trends Biotechnol. 2021, 39, 137–149. [Google Scholar] [CrossRef] [PubMed]
- Wang, Y.; Shen, Y.; Shen, Z.; Zhao, L.; Ning, D.; Jiang, C.; Zhao, R.; Huang, L. Comparative proteomic analysis of the response to silver ions and yeast extract in Salvia miltiorrhiza hairy root cultures. Plant Physiol. Biochem. 2016, 107, 364–373. [Google Scholar] [CrossRef]
- Ren, Y.; Wang, G.; Su, Y.; Li, J.; Zhang, H.; Ma, G.; Han, J. Effect of CeO2, TiO2 and SiO2 nanoparticles on the growth and quality of model medicinal plant Salvia miltiorrhiza by acting on soil microenvironment. Ecotoxicol. Environ. Saf. 2024, 280, 116552. [Google Scholar] [CrossRef]
- Reilly, J. Metal hydrides as hydrogen storage media and their applications. Hydrog. Technol. Implicat. 2018, 1, 13–48. [Google Scholar] [CrossRef]
- He, J.; Cheng, P.; Wang, J.; Xu, S.; Zou, J.; Shen, W. Magnesium hydride confers copper tolerance in alfalfa via regulating nitric oxide signaling. Ecotoxicol. Environ. Saf. 2022, 231, 113197. [Google Scholar] [CrossRef]
- Wang, P.; Cao, J.; Lu, J.; Xu, X.; Wu, S.; Liu, H.; Wang, X. Exogenous MgH2-derived hydrogen alleviates cadmium toxicity through m6A RNA methylation in rice. J. Hazard. Mater. 2024, 480, 136073. [Google Scholar] [CrossRef]
- Zhang, Y.; Lu, X.; Yao, W.; Cheng, X.; Wang, Q.; Feng, Y.; Shen, W. Magnesium Hydride Confers Osmotic Tolerance in Mung Bean Seedlings by Promoting Ascorbate–Glutathione Cycle. Plants 2024, 13, 2819. [Google Scholar] [CrossRef]
- Liu, Y.; Wei, L.; Feng, L.; Tie, J.; Liao, W. Hydrogen gas: A potential novel tool to enhance abiotic stress tolerance in plant. Plant Stress 2025, 17, 100911. [Google Scholar] [CrossRef]
- Bohra, A.; Sanadhya, D.; Shukla, A. Synthesis, characterization of Mg(OH)2 nanoparticles and its effect on photosynthetic efficiency in two cultivars of Brassica juncea germinated under cadmium toxicity. In Proceedings of the International Conference on Recent Advances in Biotechnology & Nanobiotechnology, Gwalior, India, 10–12 February 2016; pp. 9–21. [Google Scholar]
- Liang, C.; Xiao, W.; Hao, H.; Xiaoqing, L.; Chao, L.; Lei, Z.; Fashui, H. Effects of Mg2+ on spectral characteristics and photosynthetic functions of spinach photosystem II. Spectrochim. Acta Part A Mol. Biomol. Spectrosc. 2009, 72, 343–347. [Google Scholar] [CrossRef] [PubMed]
- Li, L.; Liu, Y.; Wang, S.; Zou, J.; Ding, W.; Shen, W. Magnesium Hydride-Mediated Sustainable Hydrogen Supply Prolongs the Vase Life of Cut Carnation Flowers via Hydrogen Sulfide. Front. Plant Sci. 2020, 11, 595376. [Google Scholar] [CrossRef]
- Li, Y.; Li, L.; Wang, S.; Liu, Y.; Zou, J.; Ding, W.; Du, H.; Shen, W. Magnesium hydride acts as a convenient hydrogen supply to prolong the vase life of cut roses by modulating nitric oxide synthesis. Postharvest Biol. Technol. 2021, 177, 111526. [Google Scholar] [CrossRef]
- Chen, H.; Chen, J.; Qi, Y.; Chu, S.; Ma, Y.; Xu, L.; Lv, S.; Zhang, H.; Yang, D.; Zhu, Y.; et al. Endophytic fungus Cladosporium tenuissimum DF11, an efficient inducer of tanshinone biosynthesis in Salvia miltiorrhiza roots. Phytochemistry 2022, 194, 113021. [Google Scholar] [CrossRef]
- Xing, B.; Qiu, L.; Wang, Z.; Wang, F.; Yu, H.; Li, W.; Li, Y.; Abozeid, A.; Xia, P.; Zhang, L.; et al. A novel synergistic regulatory mechanism involving the MYB39-MYB111-bHLH51-TTG1 module in the phenolic and diterpenoid biosynthetic pathways of Salvia miltiorrhiza. Plant Biotechnol. J. 2025, 23, 4367–4380. [Google Scholar] [CrossRef] [PubMed]
- Zhang, X.-D.; Yu, Y.-G.; Yang, D.-F.; Qi, Z.-C.; Liu, R.-Z.; Deng, F.-T.; Cai, Z.-X.; Li, Y.; Sun, Y.-F.; Liang, Z.-S. Chemotaxonomic variation in secondary metabolites contents and their correlation between environmental factors in Salvia miltiorrhiza Bunge from natural habitat of China. Ind. Crop. Prod. 2018, 113, 335–347. [Google Scholar] [CrossRef]
- Cao, Z.; Duan, X.; Yao, P.; Cui, W.; Cheng, D.; Zhang, J.; Jin, Q.; Chen, J.; Dai, T.; Shen, W. Hydrogen Gas Is Involved in Auxin-Induced Lateral Root Formation by Modulating Nitric Oxide Synthesis. Int. J. Mol. Sci. 2017, 18, 2084. [Google Scholar] [CrossRef] [PubMed]
- Felix, K.; Su, J.; Lu, R.; Lu, R.; Zhao, G.; Cui, W.; Wang, R.; Mu, H.; Cui, J.; Shen, W. Hydrogen-induced tolerance against osmotic stress in alfalfa seedlings involves ABA signaling. Plant Soil. 2019, 445, 409–423. [Google Scholar] [CrossRef]
- Chang, J.; Li, J.; Li, J.; Chen, X.; Jiao, J.; Li, J.; Song, Z.; Zhang, B. The GA and ABA signaling is required for hydrogen-mediated seed germination in wax gourd. BMC Plant Biol. 2024, 24, 542. [Google Scholar] [CrossRef] [PubMed]
- Verbovytskyy, Y.; Berezovets, V.; Kytsya, A.; Zavaliy, I.; Yartys, V. Hydrogen Generation by the Hydrolysis of MgH2. Mater Sci. 2020, 56, 1–14. [Google Scholar] [CrossRef]
- Lee, M.J.; Lee, J.H.; Kim, D.K.; Lee, N.S.; Jeong, Y.G.; Jeong, J.H.; Park, J.H.; Yoo, Y.C.; Han, S.Y. Magnesium hydride attenuates cognitive impairment in a rat model of vascular dementia. Anat. Biol. Anthropol. 2020, 33, 125–134. [Google Scholar] [CrossRef]
- Huang, P.; Li, C.; Liu, H.; Zhao, Z.; Liao, W. Hydrogen Gas Improves Seed Germination in Cucumber by Regulating Sugar and Starch Metabolisms. Horticulturae 2021, 7, 456. [Google Scholar] [CrossRef]
- Wang, R.; Yang, X.; Chen, X.; Zhang, X.; Chi, Y.; Zhang, D.; Chu, S.; Zhou, P. A critical review for hydrogen application in agriculture: Recent advances and perspectives. Crit. Rev. Environ. Sci. Technol. 2024, 54, 222–238. [Google Scholar] [CrossRef]
- Tränkner, M.; Tavakol, E.; Jákli, B. Functioning of potassium and magnesium in photosynthesis, photosynthate translocation and photoprotection. Physiol. Plant. 2018, 163, 414–431. [Google Scholar] [CrossRef]
- Wang, Y.; Chen, X.; Chen, W.; Yang, Z.; Shi, L.; Li, X.; Gao, S.; Song, W. Hydrogen-rich water delays post-harvest yellowing in broccoli by inhibiting ethylene and ABA levels, thereby reducing chlorophyll degradation and carotenoid accumulation. Postharvest Biol. Technol. 2025, 228, 113661. [Google Scholar] [CrossRef]
- Zuo, X.; Wang, J.; Cao, S.; Zheng, Y. Research Progress of Hydrogen Rich Water in Preservation of Postharvest Horticultural Products: A Review. J. Agric. Food Chem. 2025, 73, 9478–9488. [Google Scholar] [CrossRef] [PubMed]
- Xie, Y.; Mao, Y.; Zhang, W.; Lai, D.; Wang, Q.; Shen, W. Reactive Oxygen Species-Dependent Nitric Oxide Production Contributes to Hydrogen-Promoted Stomatal Closure in Arabidopsis. Plant Physiol. 2014, 165, 759–773. [Google Scholar] [CrossRef] [PubMed]
- Gou, J.; Ma, C.; Kadmiel, M.; Gai, Y.; Strauss, S.; Jiang, X.; Busov, V. Tissue-specific expression of Populus C19 GA 2-oxidases differentially regulate above- and below-ground biomass growth through control of bioactive GA concentrations. New Phytol. 2011, 192, 626–639. [Google Scholar] [CrossRef]
- Lo, S.-F.; Yang, S.-Y.; Chen, K.-T.; Hsing, Y.-I.; Zeevaart, J.A.; Chen, L.-J.; Yu, S.-M. A Novel Class of Gibberellin 2-Oxidases Control Semidwarfism, Tillering, and Root Development in Rice. Plant Cell 2008, 20, 2603–2618. [Google Scholar] [CrossRef]
- Ramireddy, E.; Nelissen, H.; Leuendorf, J.E.; Van Lijsebettens, M.; Inzé, D.; Schmülling, T. Root engineering in maize by increasing cytokinin degradation causes enhanced root growth and leaf mineral enrichment. Plant Mol. Biol. 2021, 106, 555–567. [Google Scholar] [CrossRef]
- Tang, D.; Li, Y.; Zhai, L.; Li, W.; Kumar, R.; Yer, H.; Duan, H.; Cheng, B.; Deng, Z.; Li, Y. Root predominant overexpression of iaaM and CKX genes promotes root initiation and biomass production in citrus. Plant Cell Tissue Organ Cult. (PCTOC) 2023, 155, 103–115. [Google Scholar] [CrossRef]
- Zhao, Y.; Christensen, S.K.; Fankhauser, C.; Cashman, J.R.; Cohen, J.D.; Weigel, D.; Chory, J. A Role for Flavin Monooxygenase-Like Enzymes in Auxin Biosynthesis. Science 2001, 291, 306–309. [Google Scholar] [CrossRef] [PubMed]
- Schneider, M.; Knuesting, J.; Birkholz, O.; Heinisch, J.J.; Scheibe, R. Cytosolic GAPDH as a redox-dependent regulator of energy metabolism. BMC Plant Biol. 2018, 18, 184. [Google Scholar] [CrossRef] [PubMed]
- Xiao, W.; Wang, R.-S.; Handy, D.E.; Loscalzo, J. NAD(H) and NADP(H) Redox Couples and Cellular Energy Metabolism. Antioxid. Redox Signal. 2018, 28, 251–272. [Google Scholar] [CrossRef]
- Bai, Z.-Q.; Li, W.-R.; Zhou, Z.-Y.; Liang, Z.-S. Transcriptional activity and subcellular location of SmWRKY42-like and its response to gibberellin and ethylene treatments in Salvia miltiorrhiza hairy roots. Chin. Herb. Med. 2018, 10, 263–268. [Google Scholar] [CrossRef]
- Cao, W.; Wang, Y.; Shi, M.; Hao, X.; Zhao, W.; Wang, Y.; Ren, J.; Kai, G. Transcription Factor SmWRKY1 Positively Promotes the Biosynthesis of Tanshinones in Salvia miltiorrhiza. Front. Plant Sci. 2018, 9, 554. [Google Scholar] [CrossRef]
- Deng, C.; Hao, X.; Shi, M.; Fu, R.; Wang, Y.; Zhang, Y.; Zhou, W.; Feng, Y.; Makunga, N.P.; Kai, G. Tanshinone production could be increased by the expression of SmWRKY2 in Salvia miltiorrhiza hairy roots. Plant Sci. 2019, 284, 1–8. [Google Scholar] [CrossRef]
- Yu, H.; Guo, W.; Yang, D.; Hou, Z.; Liang, Z. Transcriptional Profiles of SmWRKY Family Genes and Their Putative Roles in the Biosynthesis of Tanshinone and Phenolic Acids in Salvia miltiorrhiza. Int. J. Mol. Sci. 2018, 19, 1593. [Google Scholar] [CrossRef]
- Cao, R.; Lv, B.; Shao, S.; Zhao, Y.; Yang, M.; Zuo, A.; Wei, J.; Dong, J.; Ma, P. The SmMYC2–SmMYB36 complex is involved in methyl jasmonate-mediated tanshinones biosynthesis in Salvia miltiorrhiza. Plant J. 2024, 119, 746–761. [Google Scholar] [CrossRef]
- Wang, X.; Zhu, N.; Yang, J.; Zhou, D.; Yuan, S.; Pan, X.; Jiang, C.; Wu, Z. CwJAZ4/9 negatively regulates jasmonate-mediated biosynthesis of terpenoids through interacting with CwMYC2 and confers salt tolerance in Curcuma wenyujin. Plant Cell Environ. 2024, 47, 3090–3110. [Google Scholar] [CrossRef]
- Zheng, X.; Chen, D.; Chen, B.; Liang, L.; Huang, Z.; Fan, W.; Chen, J.; He, W.; Chen, H.; Huang, L.; et al. Insights into salvianolic acid B biosynthesis from chromosome-scale assembly of the Salvia bowleyana genome. J. Integr. Plant Biol. 2021, 63, 1309–1323. [Google Scholar] [CrossRef]
- Zhou, Z.; Duan, Y.; Li, Y.; Zhang, P.; Li, Q.; Yu, L.; Han, C.; Huo, J.; Chen, W.; Xiao, Y. CYP98A monooxygenases: A key enzyme family in plant phenolic compound biosynthesis. Hortic. Res. 2025, 12, uhaf074. [Google Scholar] [CrossRef] [PubMed]
- Ma, P.; Liu, J.; Osbourn, A.; Dong, J.; Liang, Z. Regulation and metabolic engineering of tanshinone biosynthesis. RSC Adv. 2015, 5, 18137–18144. [Google Scholar] [CrossRef]






Disclaimer/Publisher’s Note: The statements, opinions and data contained in all publications are solely those of the individual author(s) and contributor(s) and not of MDPI and/or the editor(s). MDPI and/or the editor(s) disclaim responsibility for any injury to people or property resulting from any ideas, methods, instructions or products referred to in the content. |
© 2025 by the authors. Licensee MDPI, Basel, Switzerland. This article is an open access article distributed under the terms and conditions of the Creative Commons Attribution (CC BY) license (https://creativecommons.org/licenses/by/4.0/).
Share and Cite
Li, W.; Zeng, Y.; Li, J.; Du, X.; Liu, Y.; Li, Y.; Yang, H.; Abirami, G.; Younas, I.; Zheng, H.; et al. Magnesium Hydride Enhances Both Growth and Bioactive Compound Biosynthesis in Salvia miltiorrhiza: A Novel Eco-Friendly Approach for Medicinal Plant Cultivation. Horticulturae 2025, 11, 1499. https://doi.org/10.3390/horticulturae11121499
Li W, Zeng Y, Li J, Du X, Liu Y, Li Y, Yang H, Abirami G, Younas I, Zheng H, et al. Magnesium Hydride Enhances Both Growth and Bioactive Compound Biosynthesis in Salvia miltiorrhiza: A Novel Eco-Friendly Approach for Medicinal Plant Cultivation. Horticulturae. 2025; 11(12):1499. https://doi.org/10.3390/horticulturae11121499
Chicago/Turabian StyleLi, Wei, Youran Zeng, Jingjing Li, Xinru Du, Yang Liu, Yihong Li, Haiyan Yang, Gurusamy Abirami, Itezaz Younas, Han Zheng, and et al. 2025. "Magnesium Hydride Enhances Both Growth and Bioactive Compound Biosynthesis in Salvia miltiorrhiza: A Novel Eco-Friendly Approach for Medicinal Plant Cultivation" Horticulturae 11, no. 12: 1499. https://doi.org/10.3390/horticulturae11121499
APA StyleLi, W., Zeng, Y., Li, J., Du, X., Liu, Y., Li, Y., Yang, H., Abirami, G., Younas, I., Zheng, H., & Yang, D. (2025). Magnesium Hydride Enhances Both Growth and Bioactive Compound Biosynthesis in Salvia miltiorrhiza: A Novel Eco-Friendly Approach for Medicinal Plant Cultivation. Horticulturae, 11(12), 1499. https://doi.org/10.3390/horticulturae11121499

