Next Article in Journal
Adaptive Mechanisms and Regulatory Strategies of Plants Under Saline Stress and Prospects for the Development and Utilization of Chinese Herbal Medicines in Saline Land
Previous Article in Journal
Development of Fruit-Specific Spectral Indices and Endmember-Based Analysis for Apple Cultivar Classification Using Hyperspectral Imaging
Previous Article in Special Issue
Expression Regulatory Mechanisms of the Key Structural Genes in the Carotenoid Biosynthesis Pathway Under Salt Stress of Lycium barbarum
 
 
Font Type:
Arial Georgia Verdana
Font Size:
Aa Aa Aa
Line Spacing:
Column Width:
Background:
Article

Structural, Physiological, and Biochemical Responses of Oreorchis patens (Lindl.) Leaves Under Cold Stress

1
College of Bioscience and Biotechnology, Shenyang Agricultural University, Shenyang 110161, China
2
Liaoning Key Laboratory of Biological Invasions and Global Changes, Shenyang Agricultural University, Shenyang 110161, China
3
Liaoning Panjin Wetland Ecosystem National Observation and Research Station, Panjin 124000, China
*
Authors to whom correspondence should be addressed.
These authors contributed equally to this work.
Horticulturae 2025, 11(10), 1178; https://doi.org/10.3390/horticulturae11101178
Submission received: 15 July 2025 / Revised: 9 September 2025 / Accepted: 26 September 2025 / Published: 2 October 2025
(This article belongs to the Special Issue New Insights into Protected Horticulture Stress)

Abstract

Cold stress significantly impairs plant growth and development, making the study of cold resistance mechanisms a critical research focus. Oreorchis patens (Lindl.) exhibits strong cold hardiness, yet its molecular and physiological adaptations to cold stress remain unclear. This study utilized microscopy, physiological assays, and RNA sequencing to comprehensively investigate O. patens’s responses to cold stress. The results reveal that cold stress altered leaf anatomy, leading to irregular mesophyll cells, deformed chloroplasts, and variable epidermal thickness. Physiologically, SOD and POD activities peaked at 5 °C/−10 °C, while CAT activity declined; osmotic regulators (soluble sugars, proline) increased with decreasing temperatures. Compared to the reference plants (e.g., Erigeron canadensis, Allium fistulosum), O. patens exhibited lower SOD and POD but markedly higher CAT activities, alongside reduced MDA, soluble sugars, proline, and proteins, underscoring its distinctive tolerance strategy. Low temperature stress (≤10 °C/5 °C) significantly decreased the SPAD index; the net photosynthetic rate (Pn) initially increased and then approached zero within the temperature range from 30 °C/25 °C to 25 °C/20 °C; transpiration rate (Tr) and stomatal conductance (Gs) changed synchronously, accompanied by an increase in intercellular CO2 concentration (Ci). RNA sequencing identified 1139 cold-responsive differentially expressed genes, which were primarily enriched in flavonoid/lignin biosynthesis, jasmonic acid synthesis, and ROS scavenging pathways. qRT-PCR analysis revealed the role of secondary metabolites in O. patens response to cold stress. This study was the first to discuss the physiological, biochemical, and molecular regulatory mechanisms of O. patens resistance to cold stress, which provides foundational insights into its overwintering mechanisms and informs breeding strategies for cold-hardy horticultural crops in northern China.

1. Introduction

Cold stress (chilling and freezing stress) is a critical abiotic factor that limits plant growth, development, and geographical distribution [1,2,3]. Cold stress can induce a range of physiological and biochemical changes, including alterations in membrane fluidity, accumulation of reactive oxygen species (ROS), and disruptions in photosynthetic processes [4,5,6]. In rice (Oryza sativa), low temperature stress disrupts the fruit plasma membrane, leading to the loss of solute and affecting the seed germination rate [7]. To cope with these challenges, plants have evolved adaptive mechanisms such as the synthesis of antifreeze proteins, accumulation of compatible solutes like proline and sugars, and modifications in lipid composition to maintain cellular integrity [2,8,9,10,11,12]. Zhang et al. found that OsKASI-2 can regulate the degree of unsaturation in membrane lipids to maintain the membrane structural homeostasis of rice under cold stress [13]. Cold stress can induce the increase in antioxidant enzyme activities (SOD, POD, and CAT) in cucumber, maize, and rice, thereby alleviating the damage caused by low temperature [14,15,16]. Saccharum spontaneum enhances its osmotic regulation system through increased sugar accumulation, thereby increasing its cold tolerance [17]. Thus, understanding the changes in physiological, morphological, and molecular metabolism of plants in response to cold stress is critical for cold-tolerant breeding.
Orchids, a diverse family of flowering plants, are predominantly associated with tropical and subtropical environments [18]. The germplasm resources of Orchidaceae in China are very rich, but its use is mainly ornamental and mostly cultivated in greenhouses due to low temperature in the northern region. Oreorchis patens (Lindl.) is a perennial herb belonging to Oreorchis of Orchidaceae, which is widely distributed in the southwest, central, northeast, and other regions of China. According to the “Chinese Materia Medica”, the pseudobulbs of O. patens, a highly valued medicinal plant, are called ice ball or Cremastra appendiculata [19,20]. Studies have shown that Cremastra appendiculata has good antimicrobial, M3 receptor-blocking, antihypertensive, and anti-tumor activities [21]. In addition, O. patens remains evergreen in winter and is known for its ability to withstand temperatures as low as −40 °C, a trait uncommon among orchids. This characteristic suggests unique structural, physiological, and biochemical adaptations that enable it to thrive in cold environments.
Previous research on cold stress in plants has highlighted the importance of structural adaptations, such as thicker cuticles and smaller cell sizes, which help reduce water loss and maintain cellular stability under freezing conditions [5,22]. Physiologically, plants adjust processes like stomatal conductance and photosynthetic efficiency to cope with low temperatures [23,24]. Biochemically, the accumulation of osmolytes and activation of antioxidant systems play a key role in mitigating cold-induced damage [25]. Additionally, various physiological and biochemical changes caused by cold stress activate the cold-induced signaling transduction cascades in plants to enhance cold tolerance [5]. While these mechanisms are well-documented in some plant species, there is limited information on how orchids, particularly O. patens, respond to cold stress at the leaf level.
This study aims to investigate the structural, physiological, and biochemical responses of O. patens leaves under cold stress conditions. By examining leaf morphological changes (such as cell wall thickness and tissue structure), physiological parameters (such as photosynthetic performance), and biochemical markers (including osmolytes and antioxidant levels), combined with RNA sequencing analysis, we seek to elucidate the adaptive strategies that enable O. patens to survive extreme cold. The findings from this research will contribute to a deeper understanding of cold tolerance in plants, providing insights into the ecological adaptations of O. patens and supporting its conservation and potential horticultural applications.

2. Materials and Methods

2.1. Plant Materials and Growth Conditions

The O. patens served as plant materials in this study. The native habitat of the O. patens is located in Jiucao Gou Village, Ba lidian Town, Huanren County, Benxi City (125°02′16.84″ E, 41°33′18.96″ N), at an elevation of 653 m. This area belongs to the temperate moist climate zone, with an average annual temperature of 6.1 to 7.8 °C. July is the hottest month, with an average temperature of 24.3 °C, while January is the coldest, averaging −14.3 °C. The region receives relatively abundant rainfall, with an average annual precipitation of 800 to 1000 mm. The main vegetation type is a coniferous and broad-leaved mixed forest with a canopy density exceeding 85%. The coniferous component is dominated by Pinus koraiensis Siebold & Zucc. and Larix gmelinii (Rupr.) Kuzen., while the broad-leaved component is primarily composed of Acer miyabei Maxim., Juglans Mandshurica Maxim., and Betula costata Trautv. The shrub layer is mainly composed of Corylus heterophylla Fisch., Philadelphus incanus Koehne, and Lonicera japonica Thunb. The soil type is forest soil (Figure S1). Five reference plant species were selected based on their life form similarity to O. patens, specifically evergreen-leaved species from different families and genera. These included Erigeron canadsis, Allium fistulosum, Spinacia oleracea, Agrostis stolonifera, and Rorippa liaotungensis. All of these reference plants were collected from the campus of Shenyang Agricultural University.

2.2. Organizational Structure Monitoring

The leaf microstructure of O. patens under different low-temperature conditions was observed using paraffin sectioning [26]. The process included fixation, dehydration, infiltration, embedding, and so on. From leaf samples of O. patens, a 5 mm × 3 mm piece was cut from the center of the leaf, subjected to the following temperature treatments (30 °C/25 °C, 25 °C/20 °C, 10 °C/5 °C, 5 °C/−10 °C, −15 °C/−20 °C, −20 °C/−30 °C), and placed in glass test tubes. FAA fixative (90% ethanol:acetic acid:formaldehyde = 90:5:5) was added, and the samples were fixed for 24 h, with three replicates for each treatment. Subsequently, the samples underwent a series of dehydration steps using 70%, 80%, 90%, and 100% ethanol, with each step lasting 1–2 h. They were then placed in xylene for 1–2 h to achieve transparency, facilitating light penetration through the tissue. Infiltration was then performed. Three wax cups labeled 1 (52–54 °C), 2 (52–54 °C, or 54–56 °C), and 3 (56–58 °C) were placed in a 60 °C constant-temperature wax bath, containing soft wax, soft wax, and hard wax, respectively. The transparent tissue blocks were first immersed in the soft wax for 1 h, and then quickly transferred to the hard wax for another 1 h. The samples were then embedded in wax blocks and sectioned using a paraffin microtome (8–10 μm thickness). The sections were dewaxed in xylene for approximately 10 min, followed by a 5 min immersion in an equal volume mixture of pure ethanol and xylene. They were then sequentially dehydrated in 95%, 90%, 80%, 70%, 50%, and 30% ethanol for 5 min each, and rinsed in distilled water for 2–5 min. The sections were stained with a 1% safranin aqueous solution for about 2 h, after which excess dye was washed away with water. They were then dehydrated again in 50%, 70%, 80%, 90%, and 95% ethanol for 10 min each. Finally, they were stained with a 1% fast green solution for 10–40 s and observed and photographed using a Leica DM2500 microscope (Leica Biosystems, Shanghai, China). Simultaneously, the thickness of the upper and lower epidermis, mesophyll, mechanical tissue, vascular bundle sheath, xylem, and phloem, as well as the number of mesophyll cells and vessel diameter, were measured. Three sections were prepared for each temperature treatment, and 10 fields of view were analyzed per section, with the average value calculated.
The ultrastructure of the chloroplasts in mesophyll cells of O. patens under different low-temperature conditions was observed using transmission electron microscopy (TEM). Fresh leaves of O. patens subjected to the temperature treatments (30 °C/25 °C, 25 °C/20 °C, 10 °C/5 °C, 5 °C/−10 °C, −15 °C/−20 °C, −20 °C/−30 °C) were cut into 1–2 mm tissue samples. The samples were fixed in 1–5% glutaraldehyde (prepared in 0.1 M phosphate buffer, pH 7.2–7.4) at 4 °C for 2 h. Subsequently, the samples were further cut into 1 mm3 blocks and post-fixed in 1% osmium tetroxide at 4 °C for 2 h. After washing in double distilled water for 5–15 min, the fixed samples underwent a graded ethanol dehydration series as follows: 30%, 50%, 70%, 80%, and 90% ethanol for 15 min each at 4 °C, followed by two steps of 100% ethanol for 10 min each at room temperature. The dehydrated samples were then infiltrated with Epoxy Resin 618 at 37 °C for 24 h. The infiltrated samples were transferred to the bottom of capsules, and the embedding medium was poured in. The samples were polymerized at 80 °C for 1.5–2 d. The capsules were then washed off with 50 °C water and the samples were dried. The dried samples were sectioned using an ultrathin microtome. Sections of appropriate thickness (approximately 5 × 10−1 nm to 7 × 10−1 nm, selected based on section color) were collected on copper grids with a film and air-dried in a Petri dish. After drying, the sections were stained with 4% uranyl acetate for 15 min, rinsed with double distilled water for 3 min, blotted dry with filter paper, and then stained with lead citrate for 15 min. The sections were washed again with double distilled water for 5 min, covered with filter paper, and placed in a Petri dish for observation. Finally, the samples were examined using a Hitachi H-7650 Transmission Electron Microscope (Science, Suzhou, China).

2.3. SPAD Index and Gas Exchanges

A significant positive correlation exists between SPAD index and chlorophyll content; therefore, SPAD index can be considered a relative indicator of chlorophyll content in plants. To reflect the trends in chlorophyll content, we measured the SPAD index of O. patens leaves under different temperature using a SPAD-502plus instrument (Konica Minolta, Shanghai, China). For each leaf, five readings were taken at a fixed, wider central area, avoiding the main vein. The average of these five readings was calculated as the SPAD index for that leaf.
A LI-6400XT portable instrument (LI-COR, Lincoln, NE, USA) was used to measure PN (net photosynthetic rate), Tr (transpiration rate), Ci (intercellular CO2 concentration), and Gs (stomatal conductance at the leaf level) in the leaves of O. patens. The parameters were set as follows: a photosynthetic photon flux density (PPFD) of 1500 μmol·m−2·s−1, a temperature of 25 °C, and a reference CO2 concentration of 400 μmol·mol−1. Measurements were recorded when the instrument was stable, indicated by the coefficient of variation (CV) of all measured indicators being less than 0.5%. The measurements were conducted from around 9:00 AM to 11:00 AM daily, with each leaf (at the wider central area) measured three times.

2.4. Determination of Malondialdehyde (MDA) and Osmotic Adjustment Substances

The MDA content was determined using the thiobarbituric acid (TBA) method [27]. Accurately weigh approximately 0.5 g of fresh O. patens leaves, add a small amount of quartz sand and pre-chilled phosphate buffer, and grind them into a homogenate on an ice bath. Centrifuge the homogenate at 4000 rpm and 4 °C for 10 min, and then take the supernatant for subsequent steps. Take 1 mL of the supernatant, and add 3 mL of 27% trichloroacetic acid and 1 mL of 2%TBA solution. Mix well and incubate in a 95 °C water bath for 30 min. Immediately transfer the mixture to an ice-water bath to cool for 15 min. Centrifuge the mixture again at 4000 rpm for 10 min, and then take the supernatant and measure its absorbance (OD value) at 532 nm and 600 nm wavelengths. The formula for calculating MDA content (μ·g−1 FW) is as follows:
MDA Content = 6.45 × (ΔA532 − ΔA600)/W
ΔA532: Absorbance value of the sample at 532 nm.
ΔA600: Absorbance value of the sample at 600 nm.
W: Fresh weight of the sample (g).
The soluble protein content was determined using the Coomassie Brilliant Blue G-250 staining method [27]. Accurately weigh approximately 0.05 g of O. patens leaves, add pre-chilled 0.1 mol·L−1 phosphate buffer and a small amount of quartz sand, and grind them into a homogenate on an ice bath. Perform frozen centrifugation at 4000 rpm and 4 °C for 10 min, and then take the supernatant for subsequent steps. Take an appropriate amount (e.g., 20 μL) of the supernatant, add 1 mL of Coomassie Brilliant Blue G-250 staining reagent, mix thoroughly, and incubate at room temperature for 5–10 min. Measure the absorbance (OD value) at 595 nm wavelength using a spectrophotometer. A standard curve (absorbance value vs. protein concentration) was established using a standard protein solution (BSA). The formula for calculating protein content is as follows:
Protein Content (μg·g−1) = (C × V)/W
C: Protein concentration (μg·mL−1) obtained from the standard curve.
V: Total volume of the extracted solution (mL).
W: Sample weight (g).
The soluble sugar content was determined using the anthrone colorimetric method [27]. Accurately weigh 0.5 g of O. patens leaves, and extract it twice with distilled water in a boiling water bath for 0.5 h each time. Combine the extracts, dilute them to volume in a 25 mL volumetric flask, and filter the solution for subsequent use. Take 1 mL of the extract, add 10 mL of 6% anthrone reagent, mix thoroughly, and immediately immerse the mixture in a 90 °C water bath for 15 min. Remove it and cool it to room temperature. Measure its absorbance (OD value) at 620 nm wavelength using a spectrophotometer. Establish a standard curve using a glucose standard solution (absorbance value vs. glucose concentration). Substitute the sample’s OD value into the regression equation of the standard curve to calculate the soluble sugar content in the sample (μg·mL−1).
The free proline content was determined using the acid ninhydrin method [27]. Accurately weigh 1.0 g of fresh O. patens leaves, add 5 mL of 3% sulfosalicylic acid solution, and extract in a boiling water bath for 10 min. After cooling, centrifuge the mixture at 4000 rpm for 10 min and keep the supernatant for subsequent steps. Take 2 mL of the supernatant, and add 2 mL of glacial acetic acid and 2 mL of acid ninhydrin reagent. Mix thoroughly and heat in a boiling water bath for 30 min. After cooling, add 5 mL of toluene and vigorously shake to extract the red-colored substance. Take the toluene layer (the upper red solution), use toluene as the blank control, and measure its absorbance (OD value) at 520 nm wavelength using a spectrophotometer. Establish a standard curve using a proline standard solution (absorbance value vs. proline concentration). Substitute the sample’s OD value into the regression equation of the standard curve to calculate the free proline content in the sample (ng·mL−1).

2.5. Antioxidant Enzyme Activity Assay

Before determining the activities of SOD, POD, and CAT, all samples undergo a standardized pretreatment: accurately weigh 0.5 g of fresh O. patens leaves, cut them into pieces, and place them into a pre-chilled mortar. Add 4.5 mL of pre-chilled 0.1 mol·L−1 phosphate buffer (pH 7.8) according to a tissue weight-to-volume ratio of 1:9. Grind the mixture with a small amount of quartz sand under an ice bath until a homogeneous paste is obtained. Transfer the homogenate into a centrifuge tube and centrifuge it at 12,000 rpm and 4 °C for 15–20 min. The supernatant (i.e., the crude enzyme extract) was used for subsequent enzyme activity determinations.
SOD activity was determined using the NBT photoreduction method [27]. Prepare 3 mL of reaction mixture containing 1.5 mL of methionine solution, 0.3 mL of NBT solution, 0.3 mL of EDTA and riboflavin solution, and 0.875 mL of 0.05 mol·L−1 sodium phosphate buffer (pH 7.8). Add 30 μL of the enzyme extract to the reaction mixture. Place the tube under a 4000 Lux daylight lamp and allow the reaction to proceed for 30 min. Simultaneously, set up two control tubes: one containing 3 mL of reaction mixture and 30 μL of buffer (light-exposed control tube), and the other kept in the dark (blank tube). Measuring the absorbance (OD value) of each tube at 560 nm, using the dark-adapted blank tube as the baseline. The total SOD activity (μ·g−1 min−1) was calculated using the following formula:
Total SOD activity (μ·g−1 min−1) = (Ack − Ae)/(0.5 × Ack) × (Vt/W)
Ack: Absorbance of the light-exposed control tube.
Ae: Absorbance of the sample tube.
Vt: Total volume of the enzyme extract (mL).
W: Fresh weight of the sample (g).
POD activity was determined using the Guaiacol method [27]. Prepare 3 mL of reaction mixture (prepared in 0.2 mol·L−1 phosphate buffer, pH 6.0, containing guaiacol and 30% H2O2) in a test tube. Immediately add 30 μL of the enzyme extract and start timing. Measure the absorbance at 470 nm wavelength every 30 s for a total of 1–2 min. Record the rate of change in absorbance (ΔA470/min). The POD activity (μ·g−1 min−1 × 103) is calculated using the following formula:
POD activity (μ·g−1 min−1 × 103) = (ΔA470 × Vt)/(W × Vs × t × 0.01)
ΔA470: The change in absorbance at 470 nm during the reaction period.
Vt: Total volume of the enzyme extract (mL).
W: Fresh weight of the sample (g).
Vs: Volume of enzyme extract used in the assay (mL).
t: Reaction time (min).
CAT activity was determined using the ultraviolet and visible spectrum [27]. Prepare 3 mL of reaction mixture (composed of 0.1·0.1 mol·L−1 phosphate buffer, pH 7.0, and 30% H2O2 solution) in a quartz cuvette. Immediately add 0.1 mL of the enzyme extract and mix thoroughly, and then start timing. Measure the absorbance at 240 nm wavelength, recording the value every minute for a total of 4 min.
CAT activity (μ·g−1 min−1) = (ΔA240 × Vt)/(0.1 × W × Vs × t)
ΔA240: The change in absorbance at 240 nm during the reaction period.
Vt: Total volume of the enzyme extract (mL).
W: Fresh weight of the sample (g).
Vs: Volume of enzyme extract used in the assay (mL).
t: Reaction time (min).

2.6. RNA Sequencing (RNA-Seq) Analyses

To analyze transcriptome expression changes in O. patens under low-temperature conditions, we performed transcriptome sequencing on O. patens leaves. The low temperature was set at 0 °C, while the control was at 19.5 °C. Samples were collected after 24 h of cryogenic treatment. A total of 2 g of fresh O. patens leaves were quickly frozen in liquid nitrogen for RNA-seq analysis, with three replicates per treatment.
The RNA-seq library was constructed using a strand-specific kit. First, total RNA was extracted from the leaves of O. patens using the Trizol method. The RNA integrity was assessed using the Agilent 2100 Bioanalyzer (Agilent, Beijing, China). Subsequently, the mRNA was fragmented using an ion fragmentation method, followed by reverse transcription to synthesize cDNA. Library fragments were then enriched through PCR amplification, and fragments within the size range of 300–400 bp were selected after amplification. Quality control (QC) of the library was performed using the Agilent 2100 Bioanalyzer. After passing QC, the libraries were sequenced using next-generation sequencing (NGS) technology on the Illumina HiSeq platform. High-quality sequencing data were assembled using the Trinity software (version r20140717, k-mer 25 bp) for subsequent analysis. Gene function annotation was performed using databases such as nr (NCBI non-redundant protein sequences), GO (Gene Ontology), and KEGG (Kyoto Encyclopedia of Genes and Genomes). Differentially expressed genes were screened using DESeq (version 1.18.0) based on the fold change and statistical significance (p-value), with the screening criteria set as |log2(fold change)| > 1 and p-value < 0.05.

2.7. RNA Extraction and qRT-PCR

For transcriptome validation, O. patens plants were treated at 0 °C, while the control group was maintained at 19.5 °C. The leaves were collected after 24 h, shock-frozen in liquid nitrogen, and stored at −80 °C for further analysis. Each replicate consisted of leaves from at least three plants. Total RNA was extracted from the plants using Trizol-reagent (CWBIO, Jiangsu, China). qRT-PCR was performed using a SYBR Green PCR Master Mix kit on a CFX96 Touch Real-Time PCR Detection System (Bio-Rad, Hercules, CA, USA). The OpACTIN gene served as the reference, and primer sequences are detailed in Table S2.

2.8. Cloning the OpACTIN Gene

The ACTIN sequences of Orchidaceae (Phalaenopsis aphrodite, Doritaenopsis hybrid, Cymbidium ensifolium, Oncidium hybridum, and Sedirea japonica) from the National Center for Biotechnology Information (NCBI) database (https://www.ncbi.nlm.nih.gov/, accessed on 1 July 2025) were downloaded (Table S3). The DNAMAN software (version 9) was used for sequence homology analysis to identify highly conserved segments (Figure S3a). A pair of primers was designed based on homologous sequences using the Primer 5.0 software; the forward primer was 5′-AGCAACTGGGATGATATGGAAAA-3′, and the reverse primer was 5′-GCTTGAATGGCAACATACATGG-3′. The amplification products were subjected to gel electrophoresis analysis, and the results show that the amplified bands were in the range of 100–200 bp (Figure S3b). Sequence analysis showed that the amplified band exhibited 90.8% homology with other Orchidaceae ACTIN sequences (Figure S3c). These results indicate that the OpACTIN fragment was successfully cloned, and subsequent experiments were suitable for qRT-PCR analysis.

2.9. Statistical Analysis

All data are represented as mean ± standard deviation (SD), and GraphPad Prism 9 was used for graphing. The statistical significance of differences between mean values was determined by one-way analysis of variance (ANOVA) or Student’s t-test with the IBM SPSS 26 software. For significant differences, (p < 0.05).

3. Results

3.1. Changes in Anatomical Structure of O. patens Leaves

The anatomical structure of O. patens leaf in cross-section consists of epidermis, mesophyll, and veins, which are typical of monocot leaves. The epidermis is a single-cell layer with a well-developed cuticle; the mesophyll cell structure is uniform; and the vascular bundle consists of the vascular bundle sheath, phloem, and xylem. Cells that have differentiated into sclerenchyma are distributed between the vascular bundles and the upper and lower epidermis of the leaves. Furthermore, O. patens is a C3 plant in which the vascular bundle sheath consists of one to two layers of parenchyma cells and does not contain chloroplasts (Figure 1).
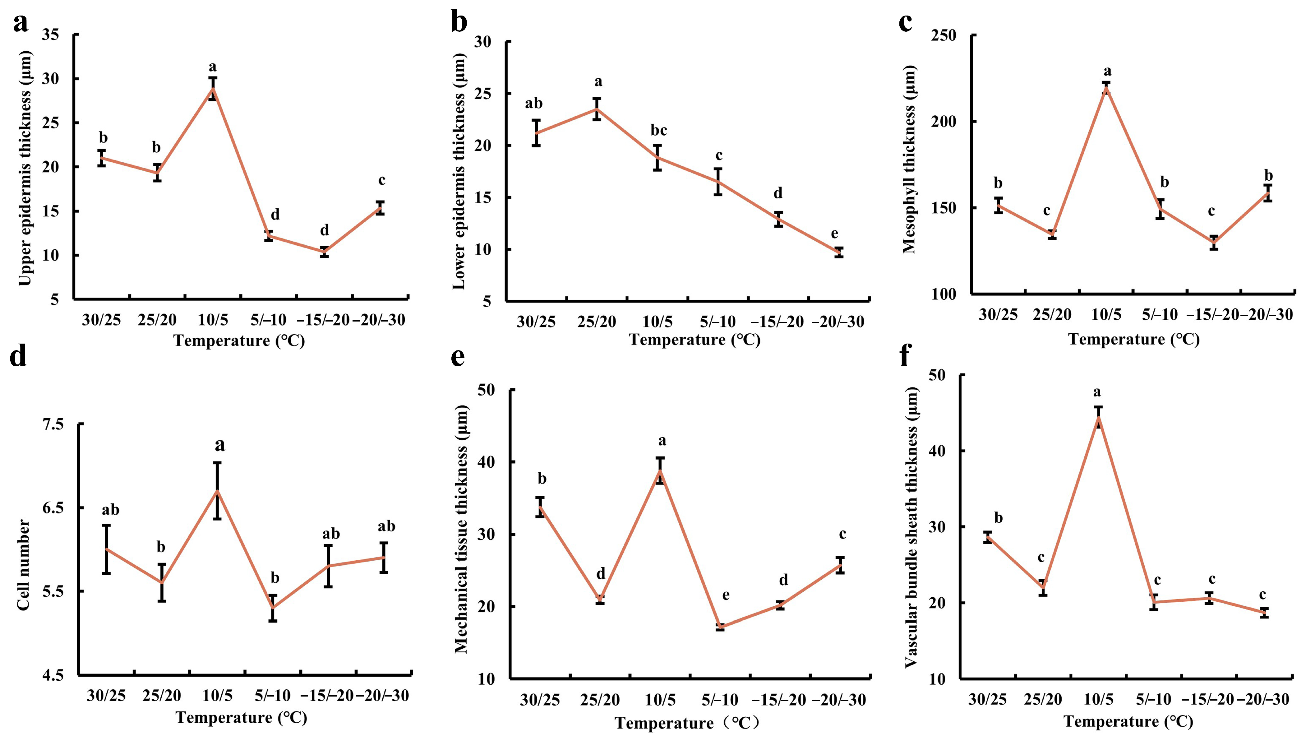
Investigations into the changes in the anatomical structure of O. patens leaves under different low-temperature treatments showed that the mesophyll cells were neatly and densely arranged at higher diurnal temperatures (Figure 1a). As the treatment temperature gradually decreased, the mesophyll cells exhibited increasing water loss, irregular shapes, and larger intercellular spaces (Figure 1b–f). Upper epidermis thickness initially increased then decreased; lower epidermis thickness steadily decreased (Figure 2a,b; Table S4). Mesophyll and mechanical tissue thicknesses, mesophyll cell count, xylem thickness, vessel diameter, and phloem thickness exhibited an inverse U-shaped pattern (Figure 2c–f and Figure S4, Table S4).

3.2. The Ultrastructure of Mesophyll Cells

The ultrastructure of mesophyll cells in O. patens is shown in Figure 3. The results show that intact mesophyll cells exhibited clear cell walls and membranes and a distinct cytoplasm with fewer granules, with their mostly spherical chloroplasts being squeezed toward the cell edge by vacuoles at higher diurnal temperatures (Figure 3a,b). With the decrease in diurnal temperature, the mesophyll cell walls gradually became irregular and uneven. At 10 °C/5 °C, although the chloroplast membranes began to change, most retained their original spherical shape (Figure 3c). When the temperature dropped to 5 °C/−10 °C, the chloroplasts became elongated or protruded (Figure 3d), while at −15 °C/−20 °C, some chloroplasts contracted and exhibited an amoeboid shape (Figure 3e). Finally, when the temperature was lowered to −20 °C/−25 °C, the chloroplasts disintegrated (Figure 3f).

3.3. Physiological Response of O. patens Leaves

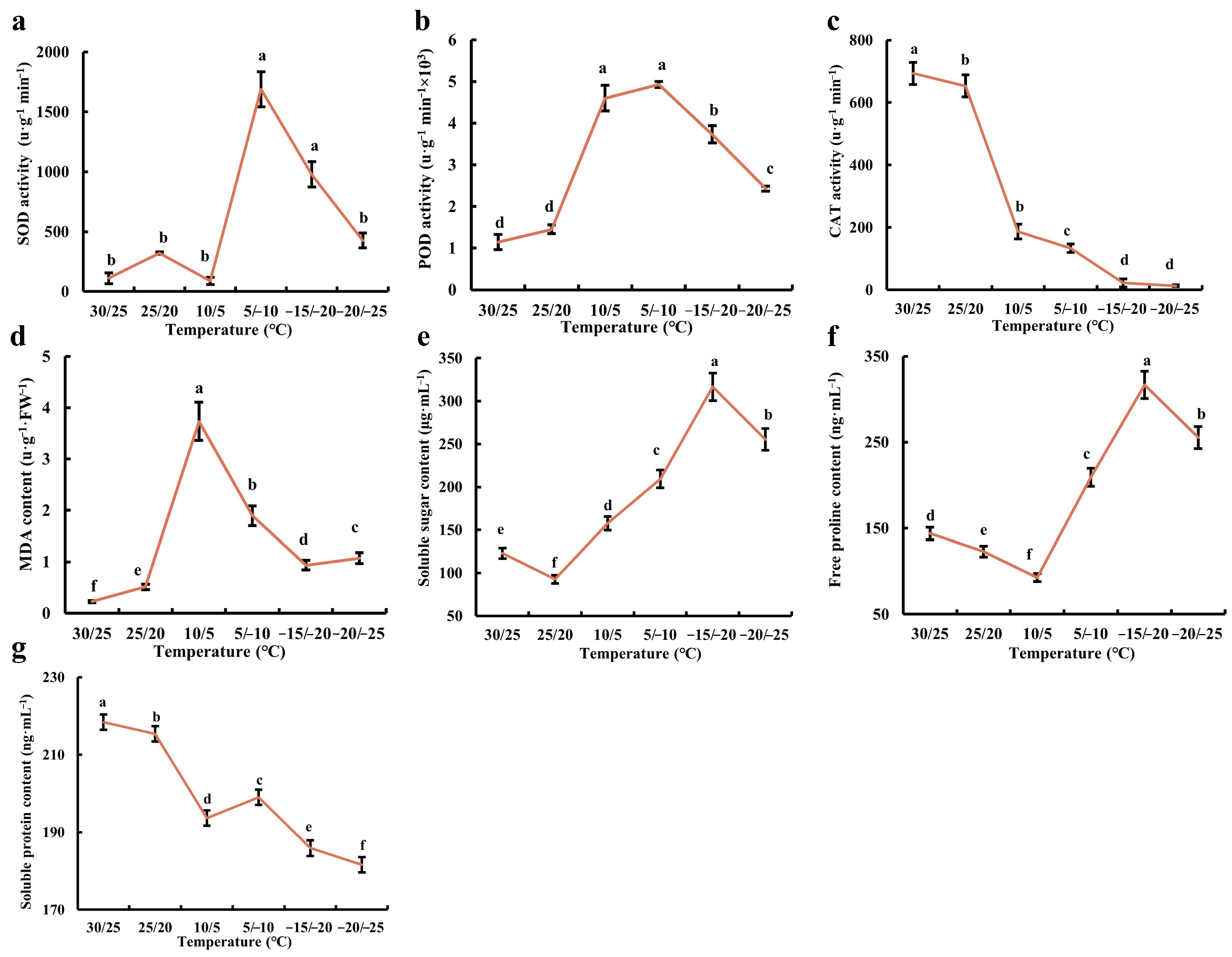
The effects of cold stress on plants are primarily manifested in altered enzyme activities, membrane system disruption, and cellular water loss, ultimately leading to impaired cellular metabolism and potential cell death [27]. During long-term adaptation, certain plants develop cold resistance mechanisms, such as the synthesis of cold-related proteins, increased osmotic regulators, and elevated activities of protective enzymes, thereby enhancing cold tolerance [28]. To investigate the cold-resistant traits of O. patens, we analyzed the changes in leaf osmotic regulators under cold stress. Our results indicate that SOD, POD, and MDA activities followed unimodal patterns with the decrease in diurnal temperatures, peaking near 5 °C/−10 °C (Figure 4a,b,d), while CAT and soluble protein levels declined steadily (Figure 4c,g, Table S5). Biomolecules such as soluble sugars, proline, and low-molecular-weight solutes have been reported to confer cold stress protection [29]. In this study, cold-protective solutes like soluble sugars and proline rose progressively to maxima at −15 °C/−20 °C (Figure 4e,f, Table S5). These results indicate that O. patens adapts to low-temperature environments by modulating the content of diverse osmotic substances.
We also analyzed the differences in resistance to low temperature between O. patens and the reference plants (Erigeron canadsis, Allium fistulosum, Spinacia oleracea, Agrostis stolonifera, and Rorippa liaotungensis). SOD activity was lower than that of Erigeron canadsis, Rorippa liaotungensis, and Allium fistulosum at the beginning of the temperature decrease and became comparable to that of the five reference plants as the temperature decreased further (Figure S5). POD activity was generally lower than that of the five reference plants (Figure S6), while CAT activity was consistently significantly higher than that of the five reference plants (Figure S7). Additionally, the MDA content, soluble sugar, free proline, and soluble protein levels in O. patens leaves were lower than those in the five reference plants as the temperature decreased (Figures S8–S11).

3.4. Variation in Photosynthesis

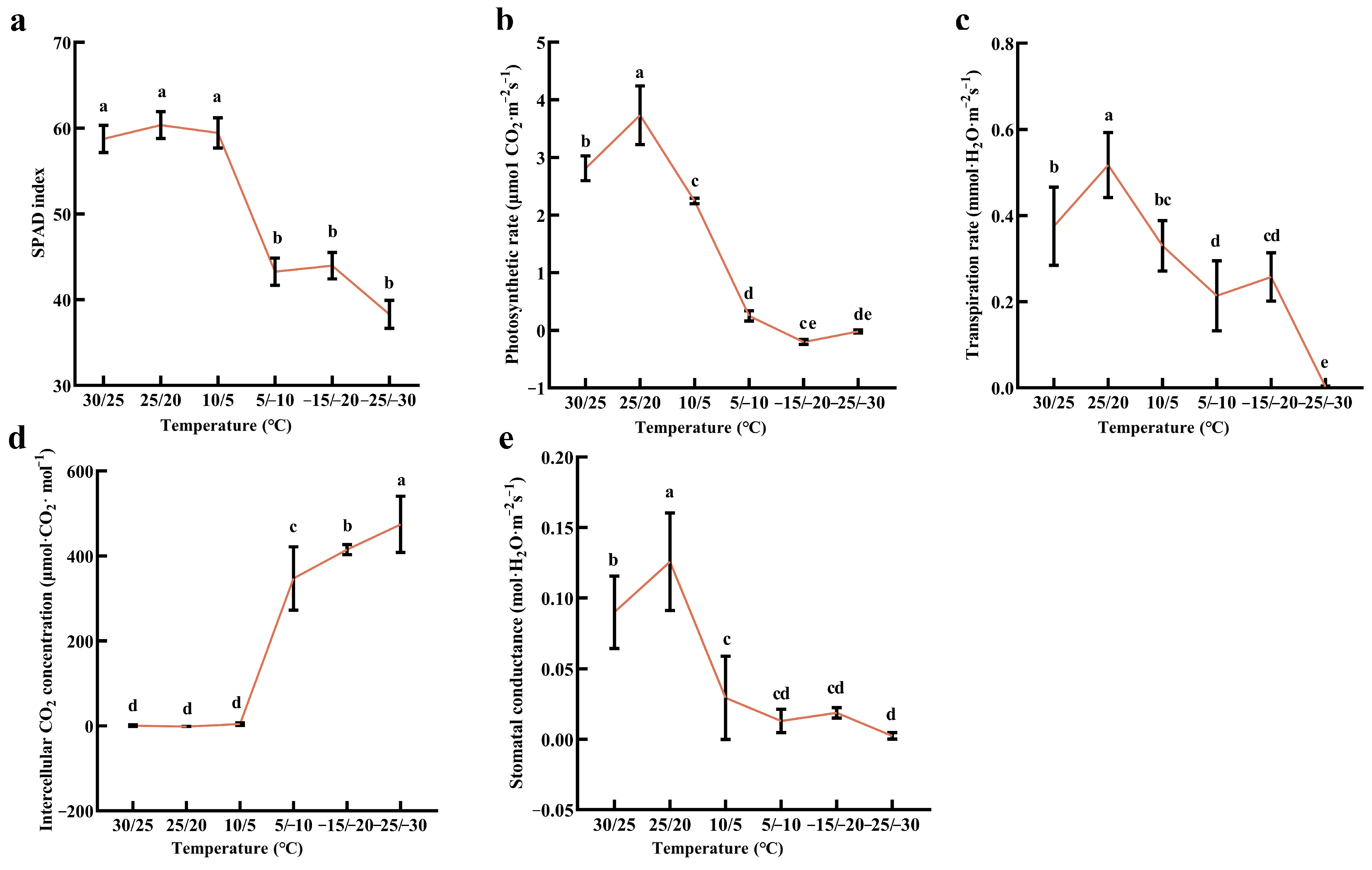
Photosynthesis is the physiological process that determines plant growth and yield and ultimately affects survival. However, plants exposed to cold stress exhibit changes in photosynthetic efficiency [30]. In this study, we found that the SPAD index decreased significantly, when the diurnal temperature was below than 10 °C/5 °C (Figure 5a, Table S6). When the diurnal temperature dropped from 30 °C/25 °C to 25 °C/20 °C, the net photosynthetic rate of the leaves increased significantly, and then approached zero as the temperature dropped further (Figure 5b, Table S6). Changes in stomatal aperture have been shown to be responsible for the altered photosynthetic efficiency [31]. To explore the reasons for the change in photosynthetic rate, we measured leaf transpiration rate, intercellular CO2 concentration, and stomatal conductance. As the temperature decreased, the leaf transpiration rate and stomatal conductance showed a similar trend to the net photosynthetic rate (Figure 5c,e; Table S6). The intercellular CO2 concentration showed a gradual upward trend at 10/5 as the temperature decreases (Figure 5d, Table S6). These results indicate that cold stress could alter the net photosynthetic rate by affecting the SPAD index, transpiration rate, and stomatal conductance in the leaves of O. patens.

3.5. RNA-Seq Analyses of the Leaf Transcriptome of O. patens Under Cold Stress

To deeply analyze the response of O. patens to cold stress, RNA-Seq was performed on its leaves. The transcriptome changes in the leaves of the control group (19.5 °C) and the cold treatment group (0 °C) were compared. The results show that 1139 Differentially Expressed Genes (DEGs) were identified, 685 of which were upregulated and 454 were downregulated (Figure 6a and Table S7). Kyoto Encyclopedia of Genes and Genomes (KEGG) enrichment analysis indicated that these DEGs were mainly involved in five metabolic pathways (phenylalanine metabolism, phenylpropanoid biosynthesis, alpha-linolenic acid metabolism, flavonoid biosynthesis, stilbenoid, diarylheptanoid, and gingerol biosynthesis) and three metabolic processes (amino acid metabolism, biosynthesis of other secondary metabolites, and lipid metabolism) (Figure 6b and Table S8). These pathways are all related to O. patens’s response to cold stress.

3.6. qRT-PCR Validation

Since the DEGs involved in cold stress were mainly enriched in secondary metabolic pathways, genes with altered expression levels in these pathways were validated using qRT-PCR to confirm the reliability of the transcriptomic results. Eight differentially expressed genes were identified, which are associated with the following pathways: flavonoid biosynthesis (OpC4H, OpPAL), lignin biosynthesis (OpCSE, Op4CL4, OpCCoAOMT), jasmonic acid (JA) biosynthesis (OpAOS1, OpLOX6), and ROS scavenging (OpPAO). The results show that, under the low temperature treatment, OpC4H, OpPAL, OpCSE, Op4CL4, OpAOS1, and OpLOX6 were significantly downregulated (Figure 7a–d,f,g), while OpCCoAOMT and OpPAO were significantly upregulated (Figure 7e,h), indicating that ROS scavenging and resource reallocation may be the core response strategies of O. patens during the initial stage of cold stress.
In addition, six DEGs associated with stress were selected for validation. When plants are exposed to stresses, proline receptor protein kinase (PERK) modifies the plant cell wall and activates related cellular responses to counteract the stress [32]. The CBL-CIPK signaling pathway plays a crucial role in enhancing plant stress tolerance [33]. SABP2 mediates plant stress responses through the elevation of endogenous salicylic acid (SA) levels [34,35]. Abscisic acid (ABA, ALF4 related to ABA production) is essential for modulating plant physiological and biochemical responses to stress [34]. Studies have shown that TaBTF3 silencing reduces tolerance to cold and drought stress in wheat [36]. Additionally, cold shock proteins (CSPs) were found to reduce freezing injury and increase cold tolerance in Arabidopsis [37]. The results show that the transcript levels of OpPERK3, OpCBL, and OpSABP2 were significantly increased (Figure 8a–c), while OpALF4, OpCSP1, and OpBTF3 were significantly decreased at 0 °C (Figure 8d–f), consistent with the transcriptomic data.
These results indicate that, under cold stress, O. patens can rapidly activate proline signaling, calcium signaling, and salicylic acid signaling pathways to initiate defense responses, while suppressing ABA synthesis and non-essential metabolic pathways to optimize resource allocation, thereby achieving a balance between short-term survival and long-term adaptation.

4. Discussion

Climate changes especially cold stress affects plant growth and development, and even causing plant death [38]. O. patens is a perennial herb with a sympodial growth habit. Unlike most orchids, which are sensitive to cold, O. patens remains evergreen in winter and exhibits exceptional frost resistance. This study integrates anatomical, physiological, and molecular data to examines the low-temperature resistance of O. patens.
Plant leaves can adapt to cold stress and improve their resistance by changing their morphological and structural characteristics [39,40]. In this study, as temperature decreased, the mesophyll cells of O. patens transitioned from a neatly arranged structure to irregular shapes, accompanied by increased water loss and expanded intercellular spaces (Figure 1b–f). This pattern, coupled with variable epidermal thickness (Figure 2a,b), suggests that O. patens may adjust the dynamic structure of leaves to mitigate damage caused by cold stress. The well-developed cuticle likely reduces water loss, a trait shared with cold-tolerant plants like barley, which develop thicker cuticles under cold stress [41]. However, O. patens exhibits unique thickness fluctuations in mesophyll cells, differing from the uniform thickening in Arabidopsis, possibly reflecting a short-term response to optimize structural integrity under cold stress.
Physiologically, O. patens employs osmolyte accumulation and antioxidant enzyme activation as key defenses against cold stress, akin to strategies in Arabidopsis, winter cereals, and cold-tolerant orchids like Dendrobium [29,42,43,44,45,46]. However, its lower osmolyte levels compared to these species imply enhanced efficiency or complementary mechanisms, potentially minimizing energy costs while preserving membrane integrity, as evidenced by reduced MDA accumulation relative to more peroxidation-prone plants like wheat [47,48]. Notably, the consistently elevated CAT activity—higher than in comparable species—likely plays a pivotal role in mitigating oxidative damage, enabling sustained cellular function under prolonged cold exposure. Anatomically, the observed mesophyll cell irregularities and enlarged intercellular spaces may facilitate adaptive responses such as improved gas diffusion or controlled extracellular ice formation, diverging from the irreversible damage seen in less tolerant orchids. Furthermore, the novel fluctuations in mesophyll and vascular tissue thickness could dynamically optimize hydraulic efficiency and structural resilience, underscoring O. patens’s unique evolutionary adaptations among predominantly tropical orchids. These traits collectively confer a competitive edge in low-temperature environments, positioning O. patens as a promising model for engineering cold-resistant crops with resource-efficient tolerance mechanisms.
Cold stress can cause plasmolysis and enlargement of the cell gap, cause damage to the chloroplast membrane, cause changes in the membrane components and membrane proteins of the thylakoid membrane, and destroy the ultrastructure of the thylakoid inner membrane [49]. A similar phenomenon was also observed in our study, where the chloroplasts of the leaves gradually dissolved, the number decreased, and the cell wall deformed with the decrease in temperature (Figure 3a–f). However, the retention of mostly spherical chloroplasts at 10 °C/5 °C indicates that O. patens can protect its photosynthetic apparatus under moderate cold stress, a trait less common in tropical orchids like Phalaenopsis. Some studies have shown that cold stress reduces the photosynthetic rate, and reduced chlorophyll synthesis may be one of the causes for this [8,50,51]. Demmig-Adams (2006) found that mesophytes tend to promote photosynthetic capacity and increase chlorophyll levels in winter, whereas several evergreens and conifers tend to enhance photoprotection and retain chlorophyll, which relies more on higher levels of energy dissipation [52]. In this study, we found that cold stress significantly impacts O. patens’s photosynthetic efficiency, mirroring patterns in other plants but with distinct characteristics. At 10 °C/5 °C, O. patens maintains measurable photosynthetic rates, unlike many tropical plants that experience severe photosynthetic decline at similar temperatures. This result indicate that O. patens can continue energy production in cooler conditions. The SPAD index of O. patens’s leaves decreases markedly below 10 °C/5 °C, and the net photosynthetic rate peaks at 25 °C/20 °C, drops to a minimum at 10 °C/5 °C, and approaches zero at lower temperatures (Figure 5a,b). These changes are driven by reductions in stomatal conductance and transpiration rates, which follow similar trends to the net photosynthetic rate, while the gradual increase in intercellular CO2 concentration as temperatures decrease below 10 °C/5 °C indicates that the decline in photosynthesis results from stomatal closure and apparent cellular damage, leading to reduced CO2 assimilation and subsequent accumulation in intercellular spaces (Figure 5c–e). A similar photosynthetic inhibition occurs in Arabidopsis and rice under cold stress, where reduced chlorophyll and stomatal closure limit carbon assimilation [53,54]. These results suggest that O. patens may have evolved mechanisms, such as modified membrane lipids or cryoprotectant accumulation, to cope with moderate cold stress, making it suitable for environments with temperature fluctuations.
O. patens prioritizes secondary metabolic pathways (e.g., flavonoid biosynthesis and lignin biosynthesis) and specific signaling molecules or pathways (e.g., proline metabolism, calcium signaling, salicylic acid signaling) over ABA-mediated responses, unlike Arabidopsis, which heavily relies on the ICE-CBF-COR pathway [2]. By prioritizing ROS-scavenging mechanisms (e.g., OpPAO) and cell wall reinforcement (e.g., OpCCoAOMT), O. patens enables rapid stress response activation with minimal energy expenditure—a key advantage in resource-scarce cold environments. Compared to tropical orchids like Phalaenopsis, O. patens’s ability to maintain evergreen leaves in winter and tolerate −40 °C highlights its superior cold hardiness, likely due to its terrestrial habit and genetic adaptations such as specific gene expression patterns. O. patens achieves dynamic regulation of metabolic resources and rapid mitigation of oxidative damage under low-temperature stress by downregulating non-essential secondary metabolism-related genes (thereby reducing resource consumption) and upregulating ROS-scavenging genes (thereby enhancing antioxidant capacity). This strategy—combining dynamic metabolic resource regulation with rapid oxidative damage mitigation—thereby maintains physiological homeostasis and improves survival rates in adverse conditions, reflecting the ‘energy allocation-anti-stress balance’ adaptive logic evolved in plants. These traits make O. patens a valuable model for studying cold tolerance and breeding cold-resistant crops, particularly in cold northern climates. Its efficient use of resources and robust structural adaptations provide a competitive edge, offering insights into optimizing plant resilience in harsh environments.

5. Conclusions

This study unveils the innovative structural and physiological response mechanisms of O. patens leaves to cold stress, highlighting its exceptional adaptations among predominantly tropical orchids. Structurally, O. patens exhibits distinctive adjustments, including progressive mesophyll cell water loss, irregularity, and enlarged intercellular spaces, alongside dynamic fluctuations in epidermal and vascular parameters (e.g., mesophyll thickness, xylem/phloem traits) that optimize resilience under diurnal temperature shifts. Physiologically, it modulates osmotic substances (elevated soluble sugars and free proline) and antioxidant enzymes, with SOD and POD peaking at 5 °C/−10 °C, MDA following a unimodal pattern, and notably, sustained high catalase activity—even as it declines progressively—surpassing levels in comparable species to mitigate oxidative damage. Transcriptomic profiling revealed 1139 DEGs enriched in cold-responsive pathways like secondary and lipid metabolism, validated by qRT-PCR to underscore ROS scavenging and resource reallocation as pivotal early strategies. These multi-level mechanisms synergistically confer robust cold tolerance, marking O. patens as a pioneering model for elucidating orchid cold resistance and informing the development of resilient monocotyledonous crops.

Supplementary Materials

The following supporting information can be downloaded at: https://www.mdpi.com/article/10.3390/horticulturae11101178/s1. Figure S1: The natural habitat of O. patens; Figure S2: Growth of artificially transplanted O. patens; Figure S3: Cloning of the OpACTIN gene from O. patens; Figure S4: Changes in the leaf tissue structure of O. patens; Figure S5: Changes of SOD activity in six plants under natural environment; Figure S6: Changes of POD activity in six plants under natural environment; Figure S7: Changes of CAT activity in leaves of six plant species under natural environment; Figure S8: Changes of MDA content in six plants under natural environment; Figure S9: Changes of soluble sugar content in leaves of six plant species under natural environment; Figure S10: Changes of free proline content in leaves of six plant species under natural environment; Figure S11: Changes of soluble protein content in leaves of six plant species under natural environment; Table S1: Sampling time and temperature; Table S2: List of the qRT-PCR primers in this study; Table S3: ACTIN sequences in different Orchidaceae; Table S4: Changes in the leaf tissue structure of O. patens; Table S5: Physiological responses of leaves to cold stress; Table S6: Changes in photosynthesis in leaves of O. patens under cold stress; Table S7: Differentially expressed transcripts in 0 °C compared to 19.5 °C plants; Table S8: KEGG enrichment analysis in 0 °C compared to 19.5 °C.

Author Contributions

Conceptualization, L.Y.; methodology, L.Y.; writing—original draft preparation, L.Y. and N.C.; software, Y.Z.; validation, Y.Z.; formal analysis, Y.X.; investigation, Q.M.; data curation, X.C.; writing—review and editing, N.C. and B.Q.; visualization, M.S.; supervision, N.C. and M.S.; project administration, B.Q.; funding acquisition, B.Q. All authors have read and agreed to the published version of the manuscript.

Funding

This research was funded by special project of orchid survey of national forestry and grassland administration, grant number 2021070710.

Data Availability Statement

The original contributions presented in this study are included in the article and Supplementary Materials. Further inquiries can be directed to the corresponding authors.

Acknowledgments

We would like to thank Guifang He of Qinghai University for her assistance in collecting samples, and the Special Project of Orchid Survey of National Forestry and Grassland Administration for providing financial support.

Conflicts of Interest

The authors declare no conflicts of interest.

References

  1. Hu, Z.; Fan, J.; Xie, Y.; Amombo, E.; Liu, A.; Gitau, M.M.; Chen, L. Comparative photosynthetic and metabolic analyses reveal mechanism of improved cold stress tolerance in bermudagrass by exogenous melatonin. Plant Physiol. Biochem. 2016, 100, 94–104. [Google Scholar] [CrossRef]
  2. Ding, Y.; Shi, Y.; Yang, S. Advances and challenges in uncovering cold tolerance regulatory mechanisms in plants. New Phytol. 2019, 222, 1690–1704. [Google Scholar] [CrossRef]
  3. Liu, S.B.; Chen, J.; Hu, Z.H. Study on the relationship between leaf structure and cold resistance of 7 species of Annonaceae fruit trees. J. Fruit Trees 2004, 21, 241–246. [Google Scholar]
  4. Abdrakhamanova, A.; Wang, Q.Y.; Khokhlova, L.; Nick, P. Is microtubule disassembly a trigger for cold acclimation? Plant Cell Physiol. 2003, 44, 676–686. [Google Scholar] [CrossRef]
  5. Feng, Y.; Li, Z.; Kong, X.; Khan, A.; Ullah, N.; Zhang, X. Plant coping with cold stress: Molecular and physiological adaptive mechanisms with future perspectives. Cells 2025, 14, 110. [Google Scholar] [CrossRef]
  6. Zhou, L.; Ullah, F.; Zou, J.; Zeng, X. Molecular and physiological responses of plants that enhance cold tolerance. Int. J. Mol. Sci. 2025, 26, 1157. [Google Scholar] [CrossRef]
  7. Anwar, M.P.; Khalid, M.A.I.; Islam, A.M.; Yeasmin, S.; Sharif, A.; Hadifa, A.; El Sabagh, A. Potentiality of different seed priming agents to mitigate cold stress of winter rice seedling. Phyton 2021, 90, 1491. [Google Scholar] [CrossRef]
  8. Cohu, C.M.; Muller, O.; Adams, W.W., III; Demmig-Adams, B. Leaf anatomical and photosynthetic acclimation to cool temperature and high light in two winter versus two summer annuals. Physiol. Plant. 2014, 152, 164–173. [Google Scholar] [CrossRef] [PubMed]
  9. Liu, T.; Du, Q.; Li, S.; Yang, J.; Li, X.; Xu, J.; Chen, Y. GSTU43 gene involved in ALA-regulated redox homeostasis, to maintain coordinated chlorophyll synthesis of tomato at low temperature. BMC Plant Biol. 2019, 19, 323. [Google Scholar] [CrossRef] [PubMed]
  10. Ren, X.X.; Xue, J.Q.; Wang, S.L.; Xue, Y.Q.; Zhang, P.; Jiang, H.D.; Zhang, X.X. Proteomic analysis of tree peony (Paeonia ostii ‘Feng Dan’) seed germination affected by low temperature. J. Plant Physiol. 2018, 224–225, 56–67. [Google Scholar] [CrossRef]
  11. Li, S.; Yang, Y.; Zhang, Q.; Liu, N.; Xu, Q.; Hu, L. Differential physiological and metabolic response to low temperature in two zoysiagrass genotypes native to high and low latitude. PLoS ONE 2018, 13, e0198885. [Google Scholar] [CrossRef]
  12. Ye, K.; Li, H.; Ding, Y.; Shi, Y.; Song, C.; Gong, Z. BRASSINOSTEROID-INSENSITIVE2 negatively regulates the stability of transcription factor ICE1 in response to cold stress in Arabidopsis. Plant Cell 2019, 31, 2682–2696. [Google Scholar] [CrossRef] [PubMed]
  13. Zhang, L.; Wang, S.; Bai, B.; Chen, Y.; Xiang, Z.; Chen, C.; Kuang, X.; Yang, Y.; Fu, J.; Chen, L.; et al. OsKASI-2 is required for the regulation of unsaturation levels of membrane lipids and chilling tolerance in rice. Plant Biotechnol. J. 2024, 22, 2157–2172. [Google Scholar] [CrossRef]
  14. Marta, B.; Szafrańska, K.; Posmyk, M.M. Exogenous melatonin improves antioxidant defense in cucumber seeds (Cucumis sativus L.) germinated under chilling stress. Front. Plant Sci. 2016, 7, 575. [Google Scholar] [CrossRef] [PubMed]
  15. Wu, Z.X.; Xu, N.W.; Yang, M.; Li, X.L.; Han, J.L.; Lin, X.H.; Yang, Q.; Lv, G.H.; Wang, J. Responses of photosynthesis, antioxidant enzymes, and related gene expression to nicosulfuron stress in sweet maize (Zea mays L.). Environ. Sci. Pollut. Res. Int. 2022, 29, 37248–37265. [Google Scholar] [CrossRef]
  16. Sodhi, G.K.; Saxena, S. Plant growth-promoting endophyte Nigrospora oryzae mitigates abiotic stress in rice (Oryza sativa L.). FEMS Microbiol. Ecol. 2023, 99, fiad094. [Google Scholar] [CrossRef] [PubMed]
  17. Yang, H.; Wang, T.; Yu, X.; Yang, Y.; Wang, C.; Yang, Q.; Wang, X. Enhanced sugar accumulation and regulated plant hormone signalling genes contribute to cold tolerance in hypoploid Saccharum spontaneum. BMC Genom. 2020, 21, 507. [Google Scholar] [CrossRef]
  18. Zhang, Z.; Yan, Y.; Tian, Y.; Li, J.; He, J.-S.; Tang, Z. Distribution and conservation of orchid species richness in China. Biol. Conserv. 2015, 181, 64–72. [Google Scholar] [CrossRef]
  19. Xu, G.; Chen, Y.; Xu, L. Traditional Chinese medicine and Chinese materia medica. In Introduction to Chinese Culture; Xu, G., Chen, Y., Xu, L., Eds.; Palgrave Macmillan: Singapore, 2018. [Google Scholar]
  20. Bae, K.H.; Oh, K.H.; Kim, S.Y. Sodium hypochlorite treatment and light-emitting diode (LED) irradiation effect on in vitro germination of Oreorchis patens (Lindl.) Lindl. Plant Biotechnol. J. 2014, 41, 44–49. [Google Scholar] [CrossRef]
  21. Tu, Y.; Huang, J.; Li, Y. Anticholinesterase, antioxidant, and beta-amyloid aggregation inhibitory constituents from Cremastra appendiculata. Med. Chem. Res. 2018, 27, 857–863. [Google Scholar] [CrossRef]
  22. Zhao, P.; Li, Q.; Yang, L.; Zou, J.; Li, Q. Adaptation of cuticle metabolism to abiotic stress in plants. Crop Environ. 2025, 41, 38–44. [Google Scholar] [CrossRef]
  23. Ehonen, S.; Yarmolinsky, D.; Kollist, H.; Kangasjärvi, J. Reactive oxygen species, and environment in the regulation of stomata. Antioxid. Redox Signal. 2019, 30, 1220–1237. [Google Scholar] [CrossRef]
  24. Vosnjak, M.; Kastelec, D.; Vodnik, D.; Hudina, M.; Usenik, V. The physiological response of the sweet cherry leaf to non-freezing low temperatures. Hortic. Environ. Biotechnol. 2021, 62, 199–211. [Google Scholar] [CrossRef]
  25. Jan, N.; Majeed, U.; Andrabi, K.I.; John, R. Cold stress modulates osmolytes and antioxidant system in Calendula officinalis. Acta Physiol. Plant. 2018, 40, 73. [Google Scholar] [CrossRef]
  26. Moreno-Sanz, P.; D’Amato, E.; Nebish, A.; Costantini, L.; Grando, M.S. An optimized histological proceeding to study the female gametophyte development in grapevine. Plant Methods 2020, 16, 61. [Google Scholar] [CrossRef] [PubMed]
  27. Yang, Z.; Zhang, Y.; Ding, Q.; Chen, L.; Wang, C.; Wang, X. The role of TOR in response to chilling stress in the Solanum lycopersicum L. Plant Growth Regul. 2025, 105, 1–15. [Google Scholar] [CrossRef]
  28. Banerjee, A.; Roychoudhury, A. Group II late embryogenesis abundant (LEA) proteins: Structural and functional aspects in plant abiotic stress. Plant Growth Regul. 2016, 79, 1–17. [Google Scholar] [CrossRef]
  29. Manasa, S.L.; Panigrahy, M.; Panigrahi, K.C.S.; Rout, G.R. Overview of cold stress regulation in plants. Bot. Rev. 2022, 88, 359–387. [Google Scholar] [CrossRef]
  30. Miura, K.; Furumoto, T. Cold signaling and cold response in plants. Int. J. Mol. Sci. 2013, 14, 5312–5337. [Google Scholar] [CrossRef] [PubMed]
  31. Banerjee, A.; Roychoudhury, A. Seed priming technology in the amelioration of salinity stress in plants. In Advances in Seed Priming; Springer: Cham, Switzerland, 2018. [Google Scholar]
  32. Paul, M.J.; Primavesi, L.F.; Jhurreea, D.; Zhang, Y. Trehalose metabolism and signaling. Annu. Rev. Plant Biol. 2008, 59, 417–441. [Google Scholar] [CrossRef]
  33. Doblin, M.S.; Johnson, K.L.; Humphries, J.; Newbigin, E.J.; Bacic, A. Are designer plant cell walls a realistic aspiration or will the plasticity of the plant’s metabolism win out? Curr. Opin. Biotechnol. 2014, 26, 108–114. [Google Scholar] [CrossRef] [PubMed]
  34. Ma, X.; Gai, W.X.; Qiao, Y.M.; Ali, M.; Wei, A.M.; Luo, D.X.; Zhang, J. Identification of CBL and CIPK gene families and functional characterization of CaCIPK1 under Phytophthora capsici in pepper (Capsicum annuum L.). BMC Genom. 2019, 20, 775. [Google Scholar] [CrossRef] [PubMed]
  35. Siboza, X.I.; Bertling, I.; Odindo, A.O. Salicylic acid and methyl jasmonate improve chilling tolerance in cold-stored lemon fruit (Citrus limon). J. Plant Physiol. 2014, 171, 1722–1731. [Google Scholar] [CrossRef]
  36. Guan, C.; Wang, C.; Li, Q.; Ji, J.; Wang, G.; Jin, C.; Liu, B. LcSABP2, a salicylic acid binding protein 2 gene from Lycium chinense, confers resistance to triclosan stress in Nicotiana tabacum. Ecotoxicol. Environ. Saf. 2019, 183, 109516. [Google Scholar] [CrossRef]
  37. Kang, G.; Ma, H.; Liu, G.; Han, Q.; Li, C.; Guo, T. Silencing of TaBTF3 gene impairs tolerance to freezing and drought stresses in wheat. Mol. Genet. Genom. 2013, 288, 591–599. [Google Scholar] [CrossRef]
  38. Park, S.J.; Kwak, K.J.; Oh, T.R.; Kim, Y.O.; Kang, H. Cold shock domain proteins affect seed germination and growth of Arabidopsis thaliana under abiotic stress conditions. Plant Cell Physiol. 2009, 50, 869–878. [Google Scholar] [CrossRef]
  39. Ding, Y.; Shi, Y.; Yang, S. Molecular regulation of plant responses to environmental temperatures. Mol. Plant 2020, 13, 544–564. [Google Scholar] [CrossRef] [PubMed]
  40. Zhang, Y.J.; Bucci, S.J.; Arias, N.S.; Scholz, F.G.; Hao, G.Y.; Cao, K.F. Freezing resistance in Patagonian woody shrubs: The role of cell wall elasticity and stem vessel size. Tree Physiol. 2016, 36, 1007–1018. [Google Scholar] [CrossRef]
  41. Tian, X.; Xie, J.; Yu, J. Physiological and transcriptomic responses of Lanzhou Lily (Lilium davidii, var. unicolor) to cold stress. PLoS ONE 2020, 15, e0227921. [Google Scholar] [CrossRef]
  42. Stewart, J.J.; Demmig-Adams, B.; Cohu, C.M.; Wenzl, C.A.; Muller, O.; Adams, W.W. 3rd. Growth temperature impact on leaf form and function in Arabidopsis thaliana ecotypes from northern and southern Europe. Plant Cell Environ. 2016, 39, 1549–1558. [Google Scholar] [CrossRef]
  43. Wahid, A.; Shabbir, A. Induction of heat stress tolerance in barley seedlings by pre-sowing seed treatment with glycinebetaine. Plant Growth Regul. 2005, 46, 133–141. [Google Scholar] [CrossRef]
  44. Ritonga, F.N.; Chen, S. Physiological and molecular mechanism involved in cold stress tolerance in plants. Plants 2020, 9, 560. [Google Scholar] [CrossRef]
  45. Grant, T.N.; Dami, I.E.; Ji, T.; Scurlock, D.; Streeter, J. Variation in leaf and bud soluble sugar concentration among Vitis genotypes grown under two temperature regimes. Can. J. Plant Sci. 2009, 89, 961–968. [Google Scholar] [CrossRef]
  46. Karimzadeh, G.; Darvishzadeh, R.; Jalali-Javaran, M.; Dehghani, H. Cold-induced accumulation of protein in the leaves of spring and winter barley cultivars. Acta Biol. Hung. 2005, 56, 83–96. [Google Scholar] [CrossRef]
  47. Banerjee, S.; Roychoudhury, R. Cold stress effects on plant cell structure and metabolism. Plant Physiol. 2016, 170, 1234–1245. [Google Scholar]
  48. Fan, W.; Zhang, M.; Zhang, H.; Zhang, P. Improved tolerance to various abiotic stresses in transgenic sweet potato (Ipomoea batatas) expressing spinach betaine aldehyde dehydrogenase. PLoS ONE 2012, 7, e37344. [Google Scholar] [CrossRef]
  49. Popov, V.N.; Astakhova, N.V. Ultrastructural changes in chloroplasts of Cucumis sativus L. and Secale cereale L. during low-temperature hardening. Russ. J. Plant Physiol. 2021, 68, 678–687. [Google Scholar] [CrossRef]
  50. Strand, A.; Hurry, V.; Gustafsson, P.; Gardeström, P. Development of Arabidopsis thaliana leaves at low temperatures releases the suppression of and photosynthetic gene expression despite the accumulation of soluble carbohydrates. Plant J. Cell Mol. Biol. 1997, 12, 605–614. [Google Scholar] [CrossRef] [PubMed]
  51. Mohanty, S.; Grimm, B.; Tripathy, B.C. Light and dark modulation of chlorophyll biosynthetic genes in response to temperature. Planta 2006, 224, 692–699. [Google Scholar] [CrossRef] [PubMed]
  52. Demmig-Adams, B.; Adams, W.W., III. Photoprotection in an ecological context: The remarkable complexity of thermal energy dissipation. New Phytol. 2006, 172, 11–21. [Google Scholar] [CrossRef] [PubMed]
  53. Cao, Y.; Hwarari, D.; Radani, Y.; Guan, Y.; Yang, L. Molecular mechanism underlying plant response to cold stress. Phyton 2023, 92, 024929. [Google Scholar] [CrossRef]
  54. Tian, B.J.; Zhu, J.C.; Liu, X.W.; Huang, S.B.; Wang, P. Interacting leaf dynamics and environment to optimize maize sowing date in North China Plain. J. Integr. Agric. 2020, 19, 1227–1240. [Google Scholar] [CrossRef]
Figure 1. Characteristics of the anatomical structure of O. patens leaves at different diurnal temperatures. (af) Leaf cross-sectional structure of O. patens at different diurnal temperatures (day/night). Each group consisted of epidermis, mesophyll, and leaf veins from left to right. (a) 30 °C/25 °C. (b) 25 °C/20 °C. (c) 10 °C/5 °C. (d) 5 °C/−10 °C. (e) −15 °C/−20 °C. (f) −20 °C/−30 °C. UP, Upper epidermis; LP, Lower epidermis; M, Mesophyll; V, Vascular bundle sheath; X, Xylem; P, Phloem; MT, Mechanical tissue. These experiments were conducted with three replicates.
Figure 1. Characteristics of the anatomical structure of O. patens leaves at different diurnal temperatures. (af) Leaf cross-sectional structure of O. patens at different diurnal temperatures (day/night). Each group consisted of epidermis, mesophyll, and leaf veins from left to right. (a) 30 °C/25 °C. (b) 25 °C/20 °C. (c) 10 °C/5 °C. (d) 5 °C/−10 °C. (e) −15 °C/−20 °C. (f) −20 °C/−30 °C. UP, Upper epidermis; LP, Lower epidermis; M, Mesophyll; V, Vascular bundle sheath; X, Xylem; P, Phloem; MT, Mechanical tissue. These experiments were conducted with three replicates.
Horticulturae 11 01178 g001
Figure 2. Changes in the leaf tissue structure of O. patens. Upper epidermis thickness (a), lower epidermis thickness (b), mesophyll thickness (c), number of mesophyll cells (d), mechanical tissue thickness (e), and vascular bundle sheath thickness (f) were analyzed at different diurnal temperatures (day/night). Significance between means was calculated with Tukey’s test. Data are the mean ± standard deviations (n = 6). Different letters on the bars indicate significant differences between organizations (p < 0.05). These experiments were conducted with three replicates.
Figure 2. Changes in the leaf tissue structure of O. patens. Upper epidermis thickness (a), lower epidermis thickness (b), mesophyll thickness (c), number of mesophyll cells (d), mechanical tissue thickness (e), and vascular bundle sheath thickness (f) were analyzed at different diurnal temperatures (day/night). Significance between means was calculated with Tukey’s test. Data are the mean ± standard deviations (n = 6). Different letters on the bars indicate significant differences between organizations (p < 0.05). These experiments were conducted with three replicates.
Horticulturae 11 01178 g002
Figure 3. Ultrastructural analysis of the mesophyll cells. Transmission electron microscopy to observe the leaf ultrastructure of O. patens under different temperature treatments (day/night). (af) The ultrastructure of leaves at different temperatures. (a) 30 °C/25 °C. (b) 25 °C/20 °C. (c) 10 °C/5 °C. (d) 5 °C/−10 °C. (e) −15 °C/−20 °C. (f) −20 °C/−30 °C. Chl, chloroplast. CW, cell wall. These experiments were conducted with three replicates.
Figure 3. Ultrastructural analysis of the mesophyll cells. Transmission electron microscopy to observe the leaf ultrastructure of O. patens under different temperature treatments (day/night). (af) The ultrastructure of leaves at different temperatures. (a) 30 °C/25 °C. (b) 25 °C/20 °C. (c) 10 °C/5 °C. (d) 5 °C/−10 °C. (e) −15 °C/−20 °C. (f) −20 °C/−30 °C. Chl, chloroplast. CW, cell wall. These experiments were conducted with three replicates.
Horticulturae 11 01178 g003
Figure 4. Physiological responses of leaves to cold stress. Changes in SOD activity (a), POD activity (b), CAT activity (c), MDA content (d), soluble sugar content (e), free proline content (f), and soluble protein content (g) of O. patens were analyzed at different diurnal temperatures (day/night). Significance between means was calculated with Tukey’s test. Data are the mean ± standard deviations (n = 6). Different letters on the bars indicate significant differences between organizations (p < 0.05). These experiments were conducted with three replicates.
Figure 4. Physiological responses of leaves to cold stress. Changes in SOD activity (a), POD activity (b), CAT activity (c), MDA content (d), soluble sugar content (e), free proline content (f), and soluble protein content (g) of O. patens were analyzed at different diurnal temperatures (day/night). Significance between means was calculated with Tukey’s test. Data are the mean ± standard deviations (n = 6). Different letters on the bars indicate significant differences between organizations (p < 0.05). These experiments were conducted with three replicates.
Horticulturae 11 01178 g004
Figure 5. Changes in photosynthesis in leaves of O. patens under cold stress. The SPAD value (a), photosynthetic rate (b), transpiration rate (c), intercellular CO2 concentration (d), and stomatal conductance (e) of O. patens were analyzed at different diurnal temperatures (day/night). Significance between means was calculated with Tukey’s test. Data are the mean ± standard deviations (n = 9). Different letters on the bars indicate significant differences between organizations (p < 0.05). These experiments were conducted with three replicates.
Figure 5. Changes in photosynthesis in leaves of O. patens under cold stress. The SPAD value (a), photosynthetic rate (b), transpiration rate (c), intercellular CO2 concentration (d), and stomatal conductance (e) of O. patens were analyzed at different diurnal temperatures (day/night). Significance between means was calculated with Tukey’s test. Data are the mean ± standard deviations (n = 9). Different letters on the bars indicate significant differences between organizations (p < 0.05). These experiments were conducted with three replicates.
Horticulturae 11 01178 g005
Figure 6. Volcano plot of differentially expressed genes (DEGs) and KEGG pathway enrichment analysis of O. patens leaves. (a) Volcano plot of differentially expressed genes in the control group (19.5 °C) and the low temperature treatment (0 °C). (b) KEGG pathway enrichment analysis of DEGs in the control group (19.5 °C) and the low temperature treatment (0 °C).
Figure 6. Volcano plot of differentially expressed genes (DEGs) and KEGG pathway enrichment analysis of O. patens leaves. (a) Volcano plot of differentially expressed genes in the control group (19.5 °C) and the low temperature treatment (0 °C). (b) KEGG pathway enrichment analysis of DEGs in the control group (19.5 °C) and the low temperature treatment (0 °C).
Horticulturae 11 01178 g006
Figure 7. qRT-PCR validation of DEGs related to secondary metabolism validation analysis. Flavonoid biosynthesis (a,b), lignin biosynthesis (ce), jasmonic acid (JA) biosynthesis (f,g), and ROS scavenging (h). 19.5 °C treated (Con.), 0 °C treated (0 °C). Data are presented as means ± SD from three biological replicates (n = 3). Asterisks represent statistically significant differences relative to Con. Asterisks indicate significant differences (Student’s t-test: * for p < 0.05, ** for p < 0.01). These experiments were conducted with three replicates.
Figure 7. qRT-PCR validation of DEGs related to secondary metabolism validation analysis. Flavonoid biosynthesis (a,b), lignin biosynthesis (ce), jasmonic acid (JA) biosynthesis (f,g), and ROS scavenging (h). 19.5 °C treated (Con.), 0 °C treated (0 °C). Data are presented as means ± SD from three biological replicates (n = 3). Asterisks represent statistically significant differences relative to Con. Asterisks indicate significant differences (Student’s t-test: * for p < 0.05, ** for p < 0.01). These experiments were conducted with three replicates.
Horticulturae 11 01178 g007
Figure 8. Validation analysis of stress-related DEGs by qRT-PCR. Relative expression of OpPERK3 (a), OpCBL (b), OpSABP2 (c), OpALF4 (d), OpCSP1 (e), OpBTF3 (f) at 0 °C treatment compared to the control at 19.5 °C. 19.5 °C treated (Con.), 0 °C treated (0 °C). Data are presented as means ± SD from three biological replicates (n = 3). Asterisks represent statistically significant differences relative to Con. Asterisks indicate significant differences (Student’s t-test: ** for p < 0.01). These experiments were conducted with three replicates.
Figure 8. Validation analysis of stress-related DEGs by qRT-PCR. Relative expression of OpPERK3 (a), OpCBL (b), OpSABP2 (c), OpALF4 (d), OpCSP1 (e), OpBTF3 (f) at 0 °C treatment compared to the control at 19.5 °C. 19.5 °C treated (Con.), 0 °C treated (0 °C). Data are presented as means ± SD from three biological replicates (n = 3). Asterisks represent statistically significant differences relative to Con. Asterisks indicate significant differences (Student’s t-test: ** for p < 0.01). These experiments were conducted with three replicates.
Horticulturae 11 01178 g008
Disclaimer/Publisher’s Note: The statements, opinions and data contained in all publications are solely those of the individual author(s) and contributor(s) and not of MDPI and/or the editor(s). MDPI and/or the editor(s) disclaim responsibility for any injury to people or property resulting from any ideas, methods, instructions or products referred to in the content.

Share and Cite

MDPI and ACS Style

Yu, L.; Cui, N.; Zhang, Y.; Xu, Y.; Miao, Q.; Chen, X.; Shao, M.; Qu, B. Structural, Physiological, and Biochemical Responses of Oreorchis patens (Lindl.) Leaves Under Cold Stress. Horticulturae 2025, 11, 1178. https://doi.org/10.3390/horticulturae11101178

AMA Style

Yu L, Cui N, Zhang Y, Xu Y, Miao Q, Chen X, Shao M, Qu B. Structural, Physiological, and Biochemical Responses of Oreorchis patens (Lindl.) Leaves Under Cold Stress. Horticulturae. 2025; 11(10):1178. https://doi.org/10.3390/horticulturae11101178

Chicago/Turabian Style

Yu, Lan, Na Cui, Yuyan Zhang, Yufeng Xu, Qing Miao, Xuhui Chen, Meini Shao, and Bo Qu. 2025. "Structural, Physiological, and Biochemical Responses of Oreorchis patens (Lindl.) Leaves Under Cold Stress" Horticulturae 11, no. 10: 1178. https://doi.org/10.3390/horticulturae11101178

APA Style

Yu, L., Cui, N., Zhang, Y., Xu, Y., Miao, Q., Chen, X., Shao, M., & Qu, B. (2025). Structural, Physiological, and Biochemical Responses of Oreorchis patens (Lindl.) Leaves Under Cold Stress. Horticulturae, 11(10), 1178. https://doi.org/10.3390/horticulturae11101178

Note that from the first issue of 2016, this journal uses article numbers instead of page numbers. See further details here.

Article Metrics

Back to TopTop