Data-Driven Optimization of Substrate Composition for Lettuce in Soilless Cultivation
Abstract
1. Introduction
2. Materials and Methods
2.1. Formulation of Soilless Substrates
2.2. Substrate Physical Properties
2.3. Plant Materials and Growth Conditions
2.4. Phenotypic Imaging and Data Analysis
2.5. Measurements of Chlorophyll and Biomass
2.6. Statistics
3. Results
3.1. Randomized Substrate Formulations
3.2. Plant Growth in the Randomized Substrates
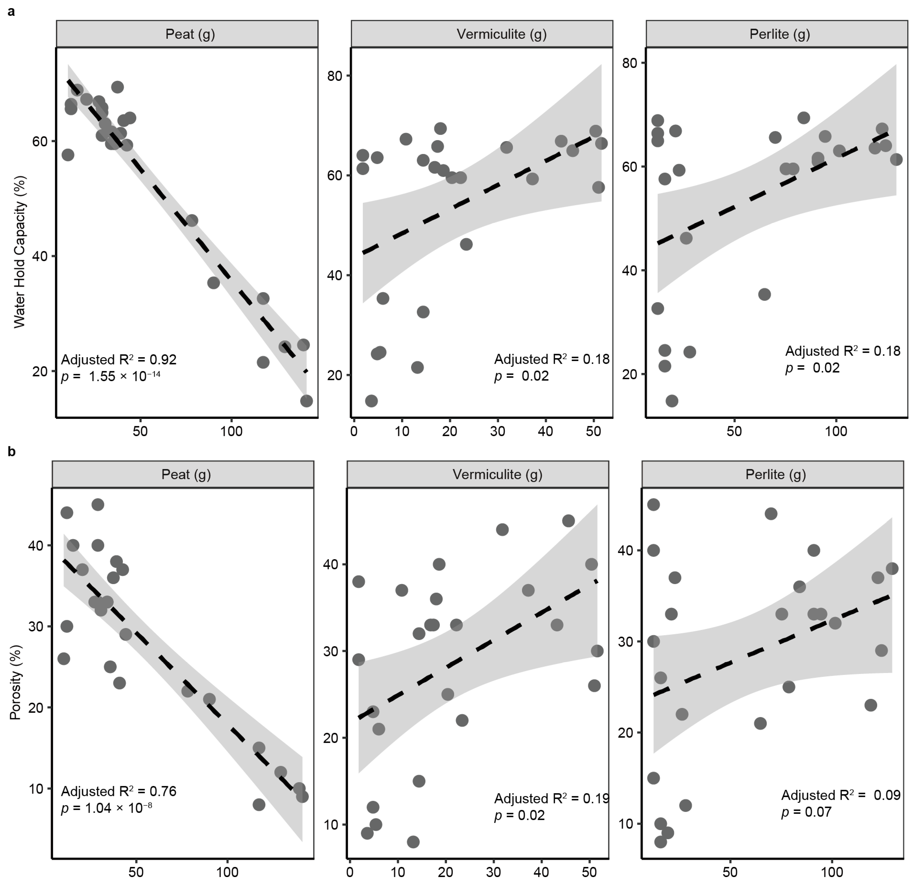
3.3. Effects of Formulation on Substrate Physical Properties
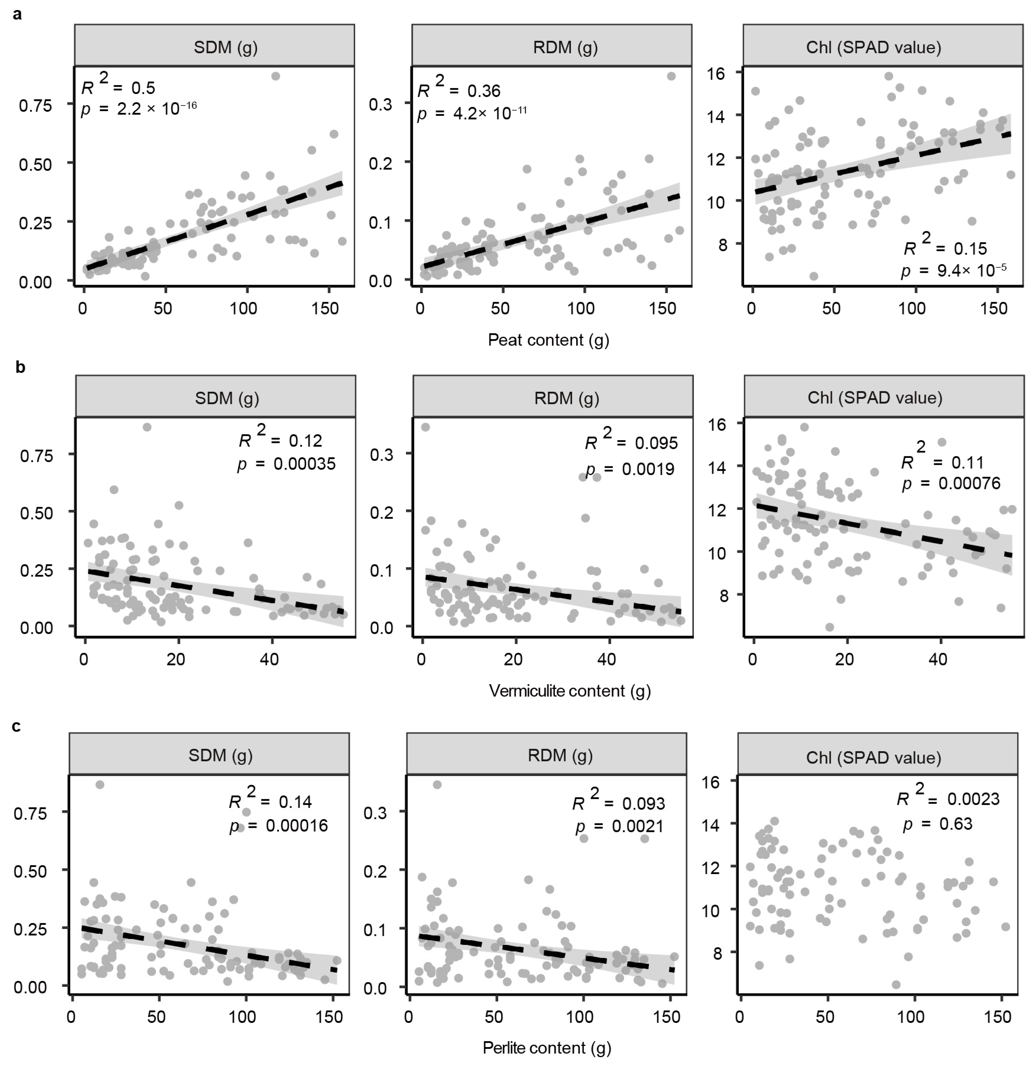
3.4. Correlations Between Substrate Composition and Plant Growth Performance
3.5. Iteration of Substrate Formulation Design
3.6. Phenotyping Traits Obtained by HSI and RGB Imaging
4. Discussion
4.1. Iterative Optimization and Performance Gains
4.2. Imaging as a Predictive Tool
4.3. The Importance of Substrate Compositions for Lettuce Growth
5. Conclusions
Author Contributions
Funding
Data Availability Statement
Acknowledgments
Conflicts of Interest
Abbreviations
| AK | Available Potassium |
| AP | Available Phosphorus |
| BRA | Bounding Rectangle Area |
| CC | Chlorophyll Content |
| CL | Canopy Length |
| DBTL | Design–Build–Test–Learn |
| ECD | Enclosing Circle Diameter |
| GPA | Green Projected Area |
| HSI | Hyperspectral Imaging |
| ML | Machine Learning |
| mNDVI705 | Modified Red Edge Normalized Difference Vegetation Index |
| mSR705 | Modified Red Edge Simple Ratio Index |
| NDVI705 | Red Edge Normalized Difference Vegetation Index |
| RDM | Root Dry Mass |
| RGB | Red-Green-Blue |
| RGRI | Red-Green Ratio Index |
| SDM | Shoot Dry Mass |
| TN | Total Nitrogen |
| TOM | Total Organic Matter |
| WHC | Water-Holding Capacity |
References
- Savvas, D.; Gruda, N. Application of Soilless Culture Technologies in the Modern Greenhouse Industry—A Review. Eur. J. Hortic. Sci. 2018, 83, 280–293. [Google Scholar] [CrossRef]
- Fussy, A.; Papenbrock, J. An Overview of Soil and Soilless Cultivation Techniques—Chances, Challenges and the Neglected Question of Sustainability. Plants 2022, 11, 1153. [Google Scholar] [CrossRef] [PubMed]
- Gunapala, R.; Gangahagedara, R.; Wanasinghe, W.C.S.; Samaraweera, A.U.; Gamage, A.; Rathnayaka, C.; Hameed, Z.; Baki, Z.A.; Madhujith, T.; Merah, O. Urban Agriculture: A Strategic Pathway to Building Resilience and Ensuring Sustainable Food Security in Cities. Farming Syst. 2025, 3, 100150. [Google Scholar] [CrossRef]
- Paoli, R.; Feofilovs, M.; Kamenders, A.; Romagnoli, F. Peat Production for Horticultural Use in the Latvian Context: Sustainability Assessment through LCA Modeling. J. Clean. Prod. 2022, 378, 134559. [Google Scholar] [CrossRef]
- Gruda, N.S.; Machado, R.M.A.; van Os, E.A. Is Soilless Culture a Sustainable Form of Agriculture? Horticulturae 2023, 9, 1190. [Google Scholar] [CrossRef]
- Gohardoust, M.R.; Bar-Tal, A.; Effati, M.; Tuller, M. Characterization of Physicochemical and Hydraulic Properties of Organic and Mineral Soilless Culture Substrates and Mixtures. Agronomy 2020, 10, 1403. [Google Scholar] [CrossRef]
- Česonienė, L.; Krikštolaitis, R.; Daubaras, R.; Mažeika, R. Effects of Mixes of Peat with Different Rates of Spruce, Pine Fibers, or Perlite on the Growth of Blueberry Saplings. Horticulturae 2023, 9, 151. [Google Scholar] [CrossRef]
- Gong, B.; Wang, N.; Zhang, T.; Li, S.; Wu, X.; Tian, J.; Li, J.; Lyu, G.; Gao, H. Establishment and Verification of Prediction Models for Evaluating the Physical and Chemical Properties of Soilless Substrates. Int. J. Agric. Biol. Eng. 2021, 14, 9–18. [Google Scholar] [CrossRef]
- Sabatino, L. Increasing Sustainability of Growing Media Constituents and Stand-Alone Substrates in Soilless Culture Systems. Agronomy 2020, 10, 1384. [Google Scholar] [CrossRef]
- Papadimitriou, D.M.; Daliakopoulos, I.N.; Louloudakis, I.; Savvidis, T.I.; Sabathianakis, I.; Savvas, D.; Manios, T. Impact of Container Geometry and Hydraulic Properties of Coir Dust, Perlite, and Their Blends Used as Growing Media, on Growth, Photosynthesis, and Yield of Golden Thistle (S. hispanicus L.). Sci. Hortic. 2024, 323, 112425. [Google Scholar] [CrossRef]
- Sodini, M.; Cacini, S.; Navarro, A.; Traversari, S.; Massa, D. Estimation of Pore-Water Electrical Conductivity in Soilless Tomatoes Cultivation Using an Interpretable Machine Learning Model. Comput. Electron. Agric. 2024, 218, 108746. [Google Scholar] [CrossRef]
- Lu, B.; Dao, P.D.; Liu, J.; He, Y.; Shang, J. Recent Advances of Hyperspectral Imaging Technology and Applications in Agriculture. Remote Sens. 2020, 12, 2659. [Google Scholar] [CrossRef]
- Farrar, M.B.; Wallace, H.M.; Tahmasbian, I.; Yule, C.M.; Dunn, P.K.; Hosseini Bai, S. Rapid Assessment of Soil Carbon and Nutrients Following Application of Organic Amendments. Catena 2023, 223, 106928. [Google Scholar] [CrossRef]
- Malmir, M.; Tahmasbian, I.; Xu, Z.; Farrar, M.B. Geoderma Prediction of Soil Macro- and Micro-Elements in Sieved and Ground Air-Dried Soils Using Laboratory-Based Hyperspectral Imaging Technique. Geoderma 2019, 340, 70–80. [Google Scholar] [CrossRef]
- Feng, W.; Guo, B.-B.; Zhang, H.-Y.; He, L.; Zhang, Y.-S.; Wang, Y.-H.; Zhu, Y.-J.; Guo, T.-C. Remote Estimation of above Ground Nitrogen Uptake during Vegetative Growth in Winter Wheat Using Hyperspectral Red-Edge Ratio Data. Field Crops Res. 2015, 180, 197–206. [Google Scholar] [CrossRef]
- Zhang, K.; Yan, F.; Liu, P. The Application of Hyperspectral Imaging for Wheat Biotic and Abiotic Stress Analysis: A Review. Comput. Electron. Agric. 2024, 221, 109008. [Google Scholar] [CrossRef]
- Gao, X.; Li, S.; He, Y.; Yang, Y.; Tian, Y. Spectrum Imaging for Phenotypic Detection of Greenhouse Vegetables: A Review. Comput. Electron. Agric. 2024, 225, 109346. [Google Scholar] [CrossRef]
- Sarić, R.; Nguyen, V.D.; Burge, T.; Berkowitz, O.; Trtílek, M.; Whelan, J.; Lewsey, M.G.; Čustović, E. Applications of Hyperspectral Imaging in Plant Phenotyping. Trends Plant Sci. 2022, 27, 301–315. [Google Scholar] [CrossRef]
- Khan, A.; Vibhute, A.D.; Mali, S.; Patil, C.H. A Systematic Review on Hyperspectral Imaging Technology with a Machine and Deep Learning Methodology for Agricultural Applications. Ecol. Inform. 2022, 69, 101678. [Google Scholar] [CrossRef]
- Meshram, V.; Patil, K.; Meshram, V.; Hanchate, D.; Ramkteke, S.D. Machine Learning in Agriculture Domain: A State-of-Art Survey. Artif. Intell. Life Sci. 2021, 1, 100010. [Google Scholar] [CrossRef]
- Saleem, M.H.; Potgieter, J.; Arif, K.M. Automation in Agriculture by Machine and Deep Learning Techniques: A Review of Recent Developments. Precis. Agric. 2021, 22, 2053–2091. [Google Scholar] [CrossRef]
- Sharma, A.; Jain, A.; Gupta, P.; Chowdary, V. Machine Learning Applications for Precision Agriculture: A Comprehensive Review. IEEE Access 2021, 9, 4843–4873. [Google Scholar] [CrossRef]
- Nerlich, A.; Dannehl, D. Soilless Cultivation: Dynamically Changing Chemical Properties and Physical Conditions of Organic Substrates Influence the Plant Phenotype of Lettuce. Front. Plant Sci. 2021, 11, 601455. [Google Scholar] [CrossRef] [PubMed]
- Ye, Z.; Tan, X.; Dai, M.; Chen, X.; Zhong, Y.; Zhang, Y.; Ruan, Y.; Kong, D. A Hyperspectral Deep Learning Attention Model for Predicting Lettuce Chlorophyll Content. Plant Methods 2024, 20, 22. [Google Scholar] [CrossRef] [PubMed]
- Dai, M.; Tan, X.; Ye, Z.; Chen, X.; Zhang, Y.; Ruan, Y.; Ma, B.; Kong, D. Analysis of Lettuce Transcriptome Reveals the Mechanism of Different Light/Dark Cycle in Promoting the Growth and Quality. Front. Plant Sci. 2024, 15, 1394434. [Google Scholar] [CrossRef]
- Kong, D.; Ye, Z.; Dai, M.; Ma, B.; Tan, X. Light Intensity Modulates the Functional Composition of Leaf Metabolite Groups and Phyllosphere Prokaryotic Community in Garden Lettuce (Lactuca sativa L.) Plants at the Vegetative Stage. Int. J. Mol. Sci. 2024, 25, 1451. [Google Scholar] [CrossRef]
- Tan, X.; Pan, Q.; Zhang, Z.; Kong, D.; Xu, P. Leaf Metabolites Drive the Functional Composition of the Phyllosphere Microbiome in Tea Plants. Beverage Plant Res. 2025, 5, e012. [Google Scholar] [CrossRef]
- van Lent, P.; Schmitz, J.; Abeel, T. Simulated Design-Build-Test-Learn Cycles for Consistent Comparison of Machine Learning Methods in Metabolic Engineering. ACS Synth. Biol. 2023, 12, 2588–2599. [Google Scholar] [CrossRef]
- Garg, S. The Importance of Fungal Biotechnology for Sustainable Applications. Trends Biotechnol. 2025, in press. [Google Scholar] [CrossRef]
- Stock, M.; Gorochowski, T.E. Open-Endedness in Synthetic Biology: A Route to Continual Innovation for Biological Design. Sci. Adv. 2024, 10, eadi3621. [Google Scholar] [CrossRef]
- Zournas, A.; Incha, M.R.; Radivojevic, T.; Blay, V.; Martí, J.M.; Costello, Z.; Schmidt, M.; Chung, T.; Thompson, M.G.; Pearson, A.; et al. Machine Learning-Led Semi-Automated Medium Optimization Reveals Salt as Key for Flaviolin Production in Pseudomonas Putida. Commun. Biol. 2025, 8, 630. [Google Scholar] [CrossRef]
- López, M. The Effect of Sampling Mode on Response Rate and Bias in Elite Surveys. Qual. Quant. 2023, 57, 1303–1319. [Google Scholar] [CrossRef]
- Ceglie, F.G.; Bustamante, M.A.; Ben Amara, M.; Tittarelli, F. The Challenge of Peat Substitution in Organic Seedling Production: Optimization of Growing Media Formulation through Mixture Design and Response Surface Analysis. PLoS ONE 2015, 10, e0128600. [Google Scholar] [CrossRef] [PubMed]
- Atzori, G.; Pane, C.; Zaccardelli, M.; Cacini, S.; Massa, D. The Role of Peat-Free Organic Substrates in the Sustainable Management of Soilless Cultivations. Agronomy 2021, 11, 1236. [Google Scholar] [CrossRef]
- Sradnick, A.; Werner, M.; Körner, O. Make a Choice: A Rapid Strategy for Minimizing Peat in Horticultural Press Pots Substrates Using a Constrained Mixture Design and Surface Response Approach. PLoS One 2023, 18, e0289320. [Google Scholar] [CrossRef]
- Tuxun, A.; Xiang, Y.; Shao, Y.; Son, J.E.; Yamada, M.; Yamada, S.; Tagawa, K.; Baiyin, B.; Yang, Q. Soilless Cultivation: Precise Nutrient Provision and Growth Environment Regulation Under Different Substrates. Plants 2025, 14, 2203. [Google Scholar] [CrossRef] [PubMed]
- Naseri, E.; Dalir, N.; Mokhtassi-Bidgoli, A.; Ebadi, M.-T.; Rahnemaie, R. Optimizing Saffron Cormlet Production through Substrate Composition Nutrient Concentration and Irrigation Management in Soilless Cultivation. Sci. Rep. 2025, 15, 36. [Google Scholar] [CrossRef]
- Lee, H.; Cui, M.; Lee, B.; Hwang, H.; Chun, C. Optimization of the Pot Volume and Substrate for Strawberry Cultivation in a Hydroponic System. Hortic. Sci. Technol. 2023, 41, 634–644. [Google Scholar] [CrossRef]
- Akhtar, A.M.; Qazi, W.A.; Ahmad, S.R.; Gilani, H.; Mahmood, S.A.; Rasool, A. Integration of High-Resolution Optical and SAR Satellite Remote Sensing Datasets for Aboveground Biomass Estimation in Subtropical Pine Forest, Pakistan. Environ. Monit. Assess. 2020, 192, 584. [Google Scholar] [CrossRef]
- Vuorinne, I.; Heiskanen, J.; Pellikka, P.K.E. Assessing Leaf Biomass of Agave Sisalana Using Sentinel-2 Vegetation Indices. Remote Sens. 2021, 13, 233. [Google Scholar] [CrossRef]
- Rahaman, M.M.; Chen, D.; Gillani, Z.; Klukas, C.; Chen, M. Advanced Phenotyping and Phenotype Data Analysis for the Study of Plant Growth and Development. Front. Plant Sci. 2015, 6, 619. [Google Scholar] [CrossRef] [PubMed]
- Ge, Y.; Bai, G.; Stoerger, V.; Schnable, J.C. Temporal Dynamics of Maize Plant Growth, Water Use, and Leaf Water Content Using Automated High Throughput RGB and Hyperspectral Imaging. Comput. Electron. Agric. 2016, 127, 625–632. [Google Scholar] [CrossRef]
- Al-Gaadi, K.A.; Zeyada, A.M.; Tola, E.; Madugundu, R.; Edrris, M.K.; Mahjoop, O. Use of Spectral Indices and Photosynthetic Parameters to Evaluate the Growth Performance of Hydroponic Tomato at Different Salinity Levels. PLoS ONE 2025, 20, e0325839. [Google Scholar] [CrossRef] [PubMed]
- Erdal, İ.; Aktaş, H.; Yaylacı, C.; Türkan, Ş.A.; Aydın, G.; Hor, Y. Effects of Peat Based Substrate Combinations on Mineral Nutrition, Growth and Yield of Tomato. J. Plant Nutr. 2024, 47, 30–48. [Google Scholar] [CrossRef]
- Fryda, L.; Visser, R.; Schmidt, J. Biochar Replaces Peat in Horticulture: Environmental Impact Assessment of Combined Biochar & Bioenergy Production. Detritus 2019, 5, 132–149. [Google Scholar] [CrossRef]
- Gong, X.; Li, S.; Sun, X.; Wang, L.; Cai, L.; Zhang, J.; Wei, L. Green Waste Compost and Vermicompost as Peat Substitutes in Growing Media for Geranium (Pelargonium zonale L.) and Calendula (Calendula officinalis L.). Sci. Hortic. 2018, 236, 186–191. [Google Scholar] [CrossRef]
- Mariyappillai, A.; Arumugam, G. Physico-Chemical and Hydrological Properties of Soilless Substrates. J. Environ. Biol. 2021, 42, 700–704. [Google Scholar] [CrossRef]
- Ammons, A.; Lebude, A.V.; Owen, J.S.; McGinnis, M. Effect of Irrigation, Fertilizer Rate and Placement, and Two Substrates on Growth of Rose and Hydrangea. J. Environ. Hortic. 2022, 40, 123–128. [Google Scholar] [CrossRef]
- Usero, F.M.; Armas, C.; Morillo, J.A.; Gallardo, M.; Thompson, R.B.; Pugnaire, F.I. Effects of Soil Microbial Communities Associated to Different Soil Fertilization Practices on Tomato Growth in Intensive Greenhouse Agriculture. Appl. Soil Ecol. 2021, 162, 103896. [Google Scholar] [CrossRef]
- Lee, J.H.; Jang, I.T.; Kim, E.A.; Shin, E.J.; Lee, S.; Lee, M.; Nam, S.Y. Evaluating the Influence of Various Light Spectra on the Growth and Morphological Responses of Air Plant (Tillandsia ionantha Planch.) Grown under Non-Substrate and Restricted Irrigation Conditions in a Controlled Environment Facility. J. Agric. Life Environ. Sci. 2024, 36, 546–561. [Google Scholar]





| R1 | R2 | ||
|---|---|---|---|
| Peat | v/v (%) | 1~93 | 51~89 |
| Weight (g) | 1.7~158.1 | 86.7~151.3 | |
| Vermiculite | v/v (%) | 1~92 | 11~49 |
| Weight (g) | 0.6~55.2 | 6.6~29.4 | |
| Perlite | v/v (%) | 3~87 | / |
| Weight (g) | 5.25~152.25 | / | |
| TOM | g/kg | 16.06~710.27 | 561.04~718.53 |
| AK | mg/kg | 155.08~2496.05 | 2019.14~2527.78 |
| AP | mg/kg | 14.71~489.4 | 386.84~494.93 |
| TN | g/kg | 0.45~8.66 | 6.9~8.76 |
| Peat | Perlite | Vermiculite | |
|---|---|---|---|
| TOM (g/kg) | 749.667 ± 2.603 a | 1.893 ± 0.015 b | 4.767 ± 0.07 b |
| TN (g/kg) | 9.13 ± 0.011 a | 0.281 ± 0.002 c | 0.324 ± 0.004 b |
| AK (mg/kg) | 2628.333 ± 10.088 a | 93 ± 2 c | 222.667 ± 6.227 b |
| AP (mg/kg) | 516.3 ± 1.955 a | 6.4 ± 0.153 b | 5.067 ± 0.088 b |
| pH | 5.64 ± 0.16 a | 6.78 ± 0.21 b | 7.42 ± 0.17 b |
Disclaimer/Publisher’s Note: The statements, opinions and data contained in all publications are solely those of the individual author(s) and contributor(s) and not of MDPI and/or the editor(s). MDPI and/or the editor(s) disclaim responsibility for any injury to people or property resulting from any ideas, methods, instructions or products referred to in the content. |
© 2025 by the authors. Licensee MDPI, Basel, Switzerland. This article is an open access article distributed under the terms and conditions of the Creative Commons Attribution (CC BY) license (https://creativecommons.org/licenses/by/4.0/).
Share and Cite
Ye, Z.; Deng, L.; Dai, M.; Luo, Y.; Kong, D.; Tan, X. Data-Driven Optimization of Substrate Composition for Lettuce in Soilless Cultivation. Horticulturae 2025, 11, 1153. https://doi.org/10.3390/horticulturae11101153
Ye Z, Deng L, Dai M, Luo Y, Kong D, Tan X. Data-Driven Optimization of Substrate Composition for Lettuce in Soilless Cultivation. Horticulturae. 2025; 11(10):1153. https://doi.org/10.3390/horticulturae11101153
Chicago/Turabian StyleYe, Ziran, Lupin Deng, Mengdi Dai, Yu Luo, Dedong Kong, and Xiangfeng Tan. 2025. "Data-Driven Optimization of Substrate Composition for Lettuce in Soilless Cultivation" Horticulturae 11, no. 10: 1153. https://doi.org/10.3390/horticulturae11101153
APA StyleYe, Z., Deng, L., Dai, M., Luo, Y., Kong, D., & Tan, X. (2025). Data-Driven Optimization of Substrate Composition for Lettuce in Soilless Cultivation. Horticulturae, 11(10), 1153. https://doi.org/10.3390/horticulturae11101153

