Evaluation of the Resistance of Bitter Cucumber (Momordica charantia) to Saline Stress through Physical, Biochemical, and Physiological Analysis
Abstract
1. Introduction
2. Materials and Methods
2.1. Procedure for Obtaining Plant Material
2.2. Procedure for Determination of Dry Matter
2.3. Procedure for Determining the Height and Number of Fruits
2.4. Procedure for the Determination of Photosynthetic Pigments
2.5. Procedure for Determination of Lipid Peroxidation
2.6. The Procedure for Determining the Parameters F0 and Fm and the Ratio of Fv/Fm
2.7. Characterization Methods
2.8. Statistical Analysis
3. Results
3.1. Chlorophyll a and Chlorophyll b
3.2. Height and Average Number of Fruits
3.3. Dry Matter
3.4. Malondialdehyde (MDA)
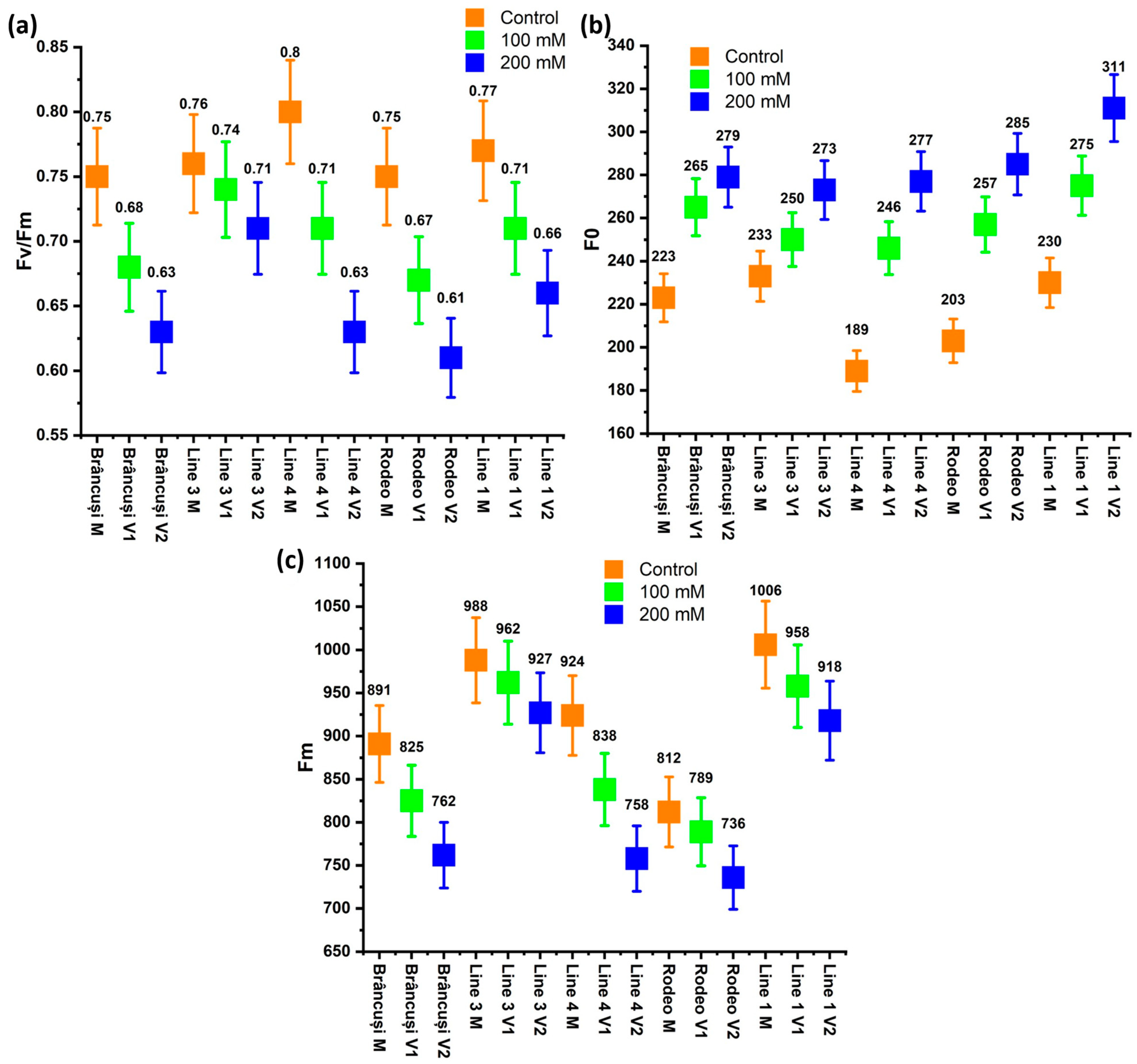
3.5. Maximum Quantum Yield of PS II (Fv/Fm)
3.6. Minimum Fluorescence Yield in the Absence of Photosynthetic Light (F0)
3.7. Maximum Fluorescence Yield in the Absence of Photosynthetic Light (Fm)
3.8. X-ray Fluorescence (XRF)
4. Discussion
4.1. Dry Matter
4.2. Plant Height and Number of Fruits
4.3. Chlorophyll a and Chlorophyll b
4.4. Malondialdehyde
4.5. Maximum Quantum Efficiency of PSII
4.6. Minimum Fluorescence Yield in the Absence of Photosynthetic Light
4.7. Maximum Fluorescence Yield in the Absence of Photosynthetic Light
4.8. X-ray Fluorescence
5. Conclusions
Supplementary Materials
Author Contributions
Funding
Data Availability Statement
Conflicts of Interest
References
- Joseph, B.; Jini, D. Antidiabetic effects of Momordica charantia (bitter melon) and its medicinal potency. Asian Pac. J. Trop. Dis. 2013, 3, 93–102. [Google Scholar] [CrossRef]
- Chanda, R.; Samadder, A.; Banerjee, J. Anti-diabetic Activity of Momordica Charantia or Bitter Melon: A Review. Acta Sci. Pharm. Sci. 2019, 3, 24–30. [Google Scholar]
- Abascal, K.; Yarnell, E. Using bitter melon to treat diabetes. Altern. Altern. Ther. 2005, 11, 179–184. [Google Scholar] [CrossRef]
- Yuwai, K.E.; Rao, K.S.; Kaluwin, C.; Jones, G.P.; Rivett, D.E. Chemical Composition of Momordica charantia L. Fruits. J. Agric. Food Chem. 1991, 39, 1762–1763. [Google Scholar] [CrossRef]
- Singla, D.; Sangha, M.K.; Singh, M.; Pathak, M.; Bala, M. Variation of Mineral Composition in Different Fruit Parts of Bitter Gourd (Momordica charantia L.). Biol. Trace Elem. Res. 2023, 201, 4961–4971. [Google Scholar] [CrossRef]
- Munns, R. Physiological processes limiting plant growth in saline soils: Some dogmas and hypotheses. Plant Cell Environ. 1993, 16, 15–24. [Google Scholar] [CrossRef]
- Ondrasek, G.; Rathod, S.; Manohara, K.K.; Gireesh, C.; Anantha, M.S.; Sakhare, A.S.; Parmar, B.; Yadav, B.K.; Bandumula, N.; Raihan, F.; et al. Salt Stress in Plants and Mitigation Approaches. Plants 2022, 11, 717. [Google Scholar] [CrossRef] [PubMed]
- Slabu, C.; Zörb, C.; Steffens, D.; Schubert, S. Is salt stress of faba bean (Vicia faba) caused by Na+ or Cl− toxicity? J. Plant Nutr. Soil Sci. 2009, 172, 644–651. [Google Scholar] [CrossRef]
- Lindberg, S.; Premkumar, A. Ion Changes and Signaling under Salt Stress in Wheat and Other Important Crops. Plants 2024, 13, 46. [Google Scholar] [CrossRef]
- Schubert, S. Salt Resistance of Crop Plants: Physiological Characterization of a Multigenic Trait. In The Molecular and Physiological Basis of Nutrient Use Efficiency in Crops; Wiley: Hoboken, NJ, USA, 2011; pp. 443–455. [Google Scholar]
- Munns, R. Plant Adaptations to Salt and Water Stress: Differences and Commonalities, 1st ed.; Elsevier Ltd.: Amsterdam, The Netherlands, 2011; Volume 57. [Google Scholar]
- Alisofi, S.; Einali, A.; Sangtarash, M.H. Jasmonic acid-induced metabolic responses in bitter melon (Momordica charantia) seedlings under salt stress. J. Hortic. Sci. Biotechnol. 2020, 95, 247–259. [Google Scholar] [CrossRef]
- Trivellini, A.; Carmassi, G.; Scatena, G.; Vernieri, P.; Ferrante, A. Molecular and physiological responses to salt stress in salinity-sensitive and tolerant Hibiscus rosa-sinensis cultivars. Mol. Hortic. 2023, 3, 28. [Google Scholar] [CrossRef] [PubMed]
- Chaudhry, U.K.; Gökçe, Z.N.O.; Gökçe, A.F. Salt Stress and Plant Molecular Responses. Intech 2016, 11, 13. Available online: https://www.intechopen.com/books/advanced-biometric-technologies/liveness-detection-in-biometrics (accessed on 3 May 2024).
- Murata, N.; Takahashi, S.; Nishiyama, Y.; Allakhverdiev, S.I. Photoinhibition of photosystem II under environmental stress. Biochim. Biophys. Acta-Bioenerg. 2007, 1767, 414–421. [Google Scholar] [CrossRef] [PubMed]
- Hameed, A.; Gulzar, S.; Aziz, I.; Hussain, T.; Gul, B.; Khan, M.A. Effects of salinity and ascorbic acid on growth, water status and antioxidant system in a perennial halophyte. AoB Plants 2015, 7, plv004. [Google Scholar] [CrossRef] [PubMed]
- Su, J.; Jiao, Q.; Jia, T.; Hu, X. The photosystem-II repair cycle: Updates and open questions. Planta 2024, 259, 20. [Google Scholar] [CrossRef]
- Tsai, Y.C.; Chen, K.C.; Cheng, T.S.; Lee, C.; Lin, S.H.; Tung, C.W. Chlorophyll fluorescence analysis in diverse rice varieties reveals the positive correlation between the seedlings salt tolerance and photosynthetic efficiency. BMC Plant Biol. 2019, 19, 403. [Google Scholar] [CrossRef]
- Peršić, V.; Ament, A.; Antunović Dunić, J.; Drezner, G.; Cesar, V. PEG-induced physiological drought for screening winter wheat genotypes sensitivity—Integrated biochemical and chlorophyll a fluorescence analysis. Front. Plant Sci. 2022, 13, 987702. [Google Scholar] [CrossRef]
- Ghassemi-Golezani, K.; Hosseinzadeh-Mahootchi, A.; Farhangi-Abriz, S. Chlorophyll a fluorescence of safflower affected by salt stress and hormonal treatments. SN Appl. Sci. 2020, 2, 1306. [Google Scholar] [CrossRef]
- Lee, G.; Carrow, R.N.; Duncan, R.R. Photosynthetic responses to salinity stress of halophytic seashore paspalum ecotypes. Plant Sci. 2004, 166, 1417–1425. [Google Scholar] [CrossRef]
- Mehta, P.; Kreslavsky, V.; Bharti, S.; Allakhverdiev, S.I.; Jajoo, A. Analysis of salt stress induced changes in Photosystem II heterogeneity by prompt fluorescence and delayed fluorescence in wheat (Triticum aestivum) leaves. J. Photochem. Photobiol. B Biol. 2011, 104, 308–313. [Google Scholar] [CrossRef]
- Chaudhry, U.K.; Gökçe, Z.N.Ö.; Gökçe, A.F. Drought and salt stress effects on biochemical changes and gene expression of photosystem II and catalase genes in selected onion cultivars. Biologia 2021, 76, 3107–3121. [Google Scholar] [CrossRef]
- Kaiser, W. The effect of hydrogen peroxide on CO2 fixation of isolated intact chloroplasts. BBA-Bioenerg. 1976, 440, 476–482. [Google Scholar] [CrossRef]
- Asada, K. Production and scavenging of reactive oxygen species in chloroplasts and their functions. Plant Physiol. 2006, 141, 391–396. [Google Scholar] [CrossRef] [PubMed]
- Guo, Y.Y.; Yu, H.Y.; Yang, M.M.; Kong, D.S.; Zhang, Y.J. Effect of Drought Stress on Lipid Peroxidation, Osmotic Adjustment and Antioxidant Enzyme Activity of Leaves and Roots of Lycium ruthenicum Murr. Seedling. Russ. J. Plant Physiol. 2018, 65, 244–250. [Google Scholar] [CrossRef]
- Vaidyanathan, H.; Sivakumar, P.; Chakrabarty, R.; Thomas, G. Scavenging of reactive oxygen species in NaCl-stressed rice (Oryza sativa L.)—Differential response in salt-tolerant and sensitive varieties. Plant Sci. 2003, 165, 1411–1418. [Google Scholar] [CrossRef]
- Kavi Kishor, P.B.; Suravajhala, P.; Rathnagiri, P.; Sreenivasulu, N. Intriguing Role of Proline in Redox Potential Conferring High Temperature Stress Tolerance. Front. Plant Sci. 2022, 13, 867531. [Google Scholar] [CrossRef]
- Gan, T.; Lin, Z.; Bao, L.; Hui, T.; Cui, X.; Huang, Y.; Wang, H.; Su, C.; Jiao, F.; Zhang, M.; et al. Comparative proteomic analysis of tolerant and sensitive varieties reveals that phenylpropanoid biosynthesis contributes to salt tolerance in mulberry. Int. J. Mol. Sci. 2021, 22, 9402. [Google Scholar] [CrossRef]
- Yasar, F.; Ellialtioglu, S.; Yildiz, K. Effect of salt stress on antioxidant defense systems, lipid peroxidation, and chlorophyll content in green bean. Russ. J. Plant Physiol. 2008, 55, 782–786. [Google Scholar] [CrossRef]
- Sudhakar, C.; Lakshmi, A.; Giridarakumar, S. Changes in the antioxidant enzyme efficacy in two high yielding genotypes of mulberry (Morus alba L.) under NaCl salinity. Plant Sci. 2001, 161, 613–619. [Google Scholar] [CrossRef]
- Rajput, V.D.; Harish; Singh, R.K.; Verma, K.K.; Sharma, L.; Quiroz-Figueroa, F.R.; Meena, M.; Gour, V.S.; Minkina, T.; Sushkova, S.; et al. Recent developments in enzymatic antioxidant defence mechanism in plants with special reference to abiotic stress. Biology 2021, 10, 267. [Google Scholar] [CrossRef] [PubMed]
- Song, J.Q.; Mei, X.R.; Fujiyama, H. Adequate internal water status of NaCl-salinized rice shoots enhanced selective calcium and potassium absorption. Soil Sci. Plant Nutr. 2006, 52, 300–304. [Google Scholar] [CrossRef][Green Version]
- Eker, S.; Cömertpay, G.; Konuşkan, Ö.; Ülger, A.C.; Öztürk, L.; Çakmak, I. Effect of salinity stress on dry matter production and ion accumulation in hybrid maize varieties. Turkish J. Agric. For. 2006, 30, 365–373. [Google Scholar]
- Ma, X.; Li, Q.H.; Yu, Y.N.; Qiao, Y.M.; Haq, S.U.; Gong, Z.H. The CBL–CIPK pathway in plant response to stress signals. Int. J. Mol. Sci. 2020, 21, 5668. [Google Scholar] [CrossRef]
- Sheikhalipour, M.; Gohari, G.; Esmaielpour, B.; Behnamian, M.; Giglou, M.T.; Milani, M.H.; Bahrami, M.K.; Kulak, M.; Ioannou, A.; Fotopoulos, V.; et al. Effect of melatonin foliar sprays on morphophysiological attributes, fruit yield and quality of Momordica charantia L. under salinity stress. Plant Physiol. Biochem. 2023, 205, 108194. [Google Scholar] [CrossRef]
- Ahmad, P.; Azooz, M.M.; Prasad, M.N.V. Ecophysiology and Responses of Plants under Salt Stress; Springer: Berlin/Heidelberg, Germany, 2013. [Google Scholar]
- Ostaci, Ștefănica; Covașă, M.; Slabu, C.; Marta, A.E.; Jităreanu, C.D. Ostaci Ștefănica; Covașă, M.; Slabu, C.; Marta, A.E.; Jităreanu, C.D. Estimation of Chlorophyll Content and Determination of Chlorophyll Fluorescence in Bitter Cucumber (Momordica charantia L.) Leaves under Saline Stress Conditions. Sci. Pap. Ser. B Hortic. 2023, LXVII, 663–668. [Google Scholar]
- Ostaci, Ș.; Slabu, C.; Marta, A.E.; Covașă, M.; Miniață, I.; Jităreanu, C.D. Spectral Study of Some Metabolites Involved in the Adaptation Reaction of Bitter Cucumber (Momordica charantia) to Saline Stress. Horticulturae 2024, 10, 309. [Google Scholar] [CrossRef]
- Cojocariu, M.; Marta, A.E.; Jităreanu, C.D.; Chelariu, E.-L.; Căpşună, S.; Cara, I.G.; Amișculesei, P.; Istrate, A.-M.; Chiruță, C. A Study on the Development of Two Ornamental Varieties of Ipomoea batatas Cultivated in Vertical Systems in the Northeastern Region of Europe. Horticulturae 2024, 10, 133. [Google Scholar] [CrossRef]
- Khaleghi, E.; Arzani, K.; Moallemi, N.; Barzegar, M. Evaluation of Chlorophyll Content and Chlorophyll Fluorescence Parameters and Relationships between Chlorophyll a, b and Chlorophyll Content Index under Water Stress in Olea europaea cv. Dezful. Int. Sch. Sci. Res. Innov. 2012, 6, 2108–2111. [Google Scholar]
- Aldesuquy, H.S.; Baka, Z.A.; Al-Shahaby, O.A.; Ghanem, H.E. Growth, lipid peroxidation and antioxidant enzyme activities as a selection criterion for the salt tolerance of wheat cultivars irrigated by Seawater. Phyt.-Ann. Rei Bot. 2013, 53, 151–162. [Google Scholar]
- OS30p+. Available online: https://www.optisci.com/os30p.html (accessed on 10 April 2024).
- Bevans, R. Two-Way ANOVA|Examples & When To Use It., Scribbr. Available online: https://www.scribbr.com/statistics/two-way-anova/ (accessed on 15 January 2024).
- Kenton, W. Analysis of Variance (ANOVA) Explanation, Formula, and Applications. Available online: https://www.investopedia.com/terms/a/anova.asp (accessed on 20 January 2024).
- Goulden, C.H. Methods of Statistical Analysis, 2nd ed. Available online: https://www.statisticshowto.com/probability-and-statistics/t-test/ (accessed on 2 May 2024).
- Aslam, M.; Maqbool, M.A.; Zaman, Q.U.; Shahid, M.; Akhtar, M.A.; Rana, A.S. Comparison of different tolerance indices and PCA biplot analysis for assessment of salinity tolerance in lentil (Lens culinaris) genotypes. Int. J. Agric. Biol. 2017, 19, 470–478. [Google Scholar] [CrossRef]
- Sivakumar, J.; Prashanth, J.E.P.; Rajesh, N.; Reddy, S.M.; Pinjari, O.B. Principal component analysis approach for comprehensive screening of salt stress-tolerant tomato germplasm at the seedling stage. J. Biosci. 2020, 45, 141. [Google Scholar] [CrossRef]
- Mubushar, M.; El-Hendawy, S.; Tahir, M.U.; Alotaibi, M.; Mohammed, N.; Refay, Y.; Tola, E. Assessing the Suitability of Multivariate Analysis for Stress Tolerance Indices, Biomass, and Grain Yield for Detecting Salt Tolerance in Advanced Spring Wheat Lines Irrigated with Saline Water under Field Conditions. Agronomy 2022, 12, 3084. [Google Scholar] [CrossRef]
- Munns, R.; Passioura, J.B.; Colmer, T.D.; Byrt, C.S. Osmotic adjustment and energy limitations to plant growth in saline soil. New Phytol. 2020, 225, 1091–1096. [Google Scholar] [CrossRef]
- Zhang, M.; Fang, Y.; Ji, Y.; Jiang, Z.; Wang, L. Effects of salt stress on ion content, antioxidant enzymes and protein profile in different tissues of Broussonetia papyrifera. S. Afr. J. Bot. 2013, 85, 1–9. [Google Scholar] [CrossRef]
- Kumar, S.; Li, G.; Yang, J.; Huang, X.; Ji, Q.; Liu, Z.; Ke, W.; Hou, H. Effect of Salt Stress on Growth, Physiological Parameters, and Ionic Concentration of Water Dropwort (Oenanthe javanica) Cultivars. Front. Plant Sci. 2021, 12, 660409. [Google Scholar] [CrossRef] [PubMed]
- Hao, S.; Wang, Y.; Yan, Y.; Liu, Y.; Wang, J.; Chen, S. A review on plant responses to salt stress and their mechanisms of salt resistance. Horticulturae 2021, 7, 18. [Google Scholar] [CrossRef]
- Al-Gaadi, K.A.; Tola, E.; Madugundu, R.; Zeyada, A.M.; Alameen, A.A.; Edrris, M.K.; Edrees, H.F.; Mahjoop, O. Response of leaf photosynthesis, chlorophyll content and yield of hydroponic tomatoes to different water salinity levels. PLoS ONE 2024, 19, e0293098. [Google Scholar] [CrossRef]
- Acosta-Motos, J.R.; Ortuño, M.F.; Bernal-Vicente, A.; Diaz-Vivancos, P.; Sanchez-Blanco, M.J.; Hernandez, J.A. Plant responses to salt stress: Adaptive mechanisms. Agronomy 2017, 7, 18. [Google Scholar] [CrossRef]
- Xing, J.-C.; Dong, J.; Wang, M.-W.; Liu, C.; Zhao, B.-Q.; Wen, Z.-G.; Zhu, X.; Ding, H.; Zhao, X.-H.; Hong, L.-Z. Effects of NaCl stress on growth of Portulaca oleracea and underlying mechanisms. Rev. Bras. Bot. 2019, 42, 217–226. [Google Scholar] [CrossRef]
- Jiang, J.; Zhuang, J.; Fan, Y.; Shen, B. Mapping of QTLs for Leaf Malondialdehyde Content Associated with Stress Tolerance in Rice. Rice Sci. 2009, 16, 72–74. [Google Scholar] [CrossRef]
- Wang, D.; Gao, Y.; Sun, S.; Lu, X.; Li, Q.; Li, L.; Wang, K.; Liu, J. Effects of Salt Stress on the Antioxidant Activity and Malondialdehyde, Solution Protein, Proline, and Chlorophyll Contents of Three Malus Species. Life 2022, 12, 1929. [Google Scholar] [CrossRef] [PubMed]
- Murchie, E.H.; Lawson, T. Chlorophyll fluorescence analysis: A guide to good practice and understanding some new applications. J. Exp. Bot. 2013, 64, 3983–3998. [Google Scholar] [CrossRef]
- Guidi, L.; Lo Piccolo, E.; Landi, M. Chlorophyll fluorescence, photoinhibition and abiotic stress: Does it make any difference the fact to be a C3 or C4 species? Front. Plant Sci. 2019, 10, 174. [Google Scholar] [CrossRef] [PubMed]
- Ahanger, M.A.; Aziz, U.; Alsahli, A.A.; Alyemeni, M.N.; Ahmad, P. Influence of exogenous salicylic acid and nitric oxide on growth, photosynthesis, and ascorbate- glutathione cycle in salt stressed Vigna angularis. Biomolecules 2020, 10, 42. [Google Scholar] [CrossRef]
- Fracheboud, Y.; Leipner, J. The Application of Chlorophyll Fluorescence to Study Light, Temperature, and Drought Stress. In Practical Applications of Chlorophyll Fluorescence in Plant Biology; Springer: Boston, MA, USA, 2003; pp. 125–150. [Google Scholar]
- Yamane, K.; Kawasaki, M.; Taniguchi, M.; Miyake, H. Correlation between chloroplast ultrastructure and chlorophyll fluorescence characteristics in the leaves of rice (Oryza sativa L.) grown under salinity. Plant Prod. Sci. 2008, 11, 139–145. [Google Scholar] [CrossRef]
- Coskun, D.; Deshmukh, R.; Sonah, H.; Menzies, J.G.; Reynolds, O.; Ma, J.F.; Kronzucker, H.J.; Bélanger, R.R. The controversies of silicon’s role in plant biology. New Phytol. 2019, 221, 67–85. [Google Scholar] [CrossRef]
- Epstein, E. Chapter 1 Silicon in plants: Facts vs. concepts. Stud. Plant Sci. 2001, 8, 1–15. [Google Scholar]
- Wakeel, A. Potassium-sodium interactions in soil and plant under saline-sodic conditions. J. Plant Nutr. Soil Sci. 2013, 176, 344–354. [Google Scholar] [CrossRef]
- Assaha, D.V.M.; Ueda, A.; Saneoka, H.; Al-Yahyai, R.; Yaish, M.W. The role of Na+ and K+ transporters in salt stress adaptation in glycophytes. Front. Physiol. 2017, 8, 509. [Google Scholar] [CrossRef]
- Zhao, D.; Gao, S.; Zhang, X.; Zhang, Z.; Zheng, H.; Rong, K.; Zhao, W.; Khan, S.A. Impact of saline stress on the uptake of various macro and micronutrients and their associations with plant biomass and root traits in wheat. Plant Soil Environ. 2021, 67, 61–70. [Google Scholar] [CrossRef]
- Munns, R.; Day, D.A.; Fricke, W.; Watt, M.; Arsova, B.; Barkla, B.J.; Bose, J.; Byrt, C.S.; Chen, Z.; Foster, K.J.; et al. Energy costs of salt tolerance in crop plants. New Phytol. 2020, 225, 1072–1090. [Google Scholar] [CrossRef] [PubMed]






| K (Counts) | Kat | Ca (Counts) | Caat | Si (Counts) | Siat | K/Si | Ca/Si | |
|---|---|---|---|---|---|---|---|---|
| BM | 2129 | 54.45013 | 2801 | 70.025 | 43 | 1.535714 | 35.4559 | 45.59767 |
| BV1 | 1287 | 32.9156 | 2575 | 64.375 | 50 | 1.785714 | 18.43274 | 36.05000 |
| BV2 | 2299 | 58.79795 | 3401 | 85.025 | 148 | 5.285714 | 11.12394 | 16.08581 |
| L3M | 2346 | 60.00000 | 2649 | 66.225 | 82 | 2.928571 | 20.4878 | 22.61341 |
| L3V1 | 2304 | 58.92583 | 2659 | 66.475 | 85 | 3.035714 | 19.41086 | 21.89765 |
| L3V2 | 2178 | 55.70332 | 2292 | 57.300 | 79 | 2.821429 | 19.74295 | 20.30886 |
| L4M | 3654 | 93.45269 | 4397 | 109.925 | 71 | 2.535714 | 36.85458 | 43.35070 |
| L4V1 | 2172 | 55.54987 | 4250 | 106.250 | 147 | 5.250000 | 10.58093 | 20.23810 |
| L4V2 | 513 | 13.12020 | 970 | 24.250 | 41 | 1.464286 | 8.960140 | 16.56098 |
| RM | 4366 | 111.6624 | 3524 | 88.100 | 81 | 2.892857 | 38.59935 | 30.45432 |
| RV1 | 2083 | 53.27366 | 3925 | 98.125 | 98 | 3.500000 | 15.22104 | 28.03571 |
| RV2 | 361 | 9.232737 | 531 | 13.275 | 31 | 1.107143 | 8.339240 | 11.99032 |
| L1M | 881 | 22.53190 | 2980 | 74.500 | 93 | 3.321429 | 6.783810 | 22.43011 |
| L1V1 | 1321 | 33.78517 | 3138 | 78.450 | 105 | 3.750000 | 9.009378 | 20.92000 |
| L1V2 | 1036 | 26.49616 | 3478 | 86.950 | 125 | 4.464286 | 5.935140 | 19.47680 |
| Variants Compared | t-Stat | P(t ≤ t) One-Tail | t Critical One-Tail | Significance |
|---|---|---|---|---|
| Chlorophyll a and chlorophyll b | ||||
| I-II | 1.927308 | 0.043021 | 1.833113 | ** |
| I-III | 1.601454 | 0.07187 | 1.833113 | * |
| II-III | 1.076179 | 0.154924 | 1.833113 | NS |
| Malondialdehyde | ||||
| I-II | −21.2204 | 1.4610−5 | 2.131847 | **** |
| I-III | −6.31858 | 0.001605 | 2.131847 | *** |
| II-III | −2.08189 | 0.052898 | 2.131847 | * |
| The maximum quantum yield of PS II | ||||
| I-II | 4.531843 | 0.005281 | 2.131847 | *** |
| I-III | 4.503024 | 0.005399 | 2.131847 | *** |
| II-III | 2.442457 | 0.03551 | 2.131847 | ** |
Disclaimer/Publisher’s Note: The statements, opinions and data contained in all publications are solely those of the individual author(s) and contributor(s) and not of MDPI and/or the editor(s). MDPI and/or the editor(s) disclaim responsibility for any injury to people or property resulting from any ideas, methods, instructions or products referred to in the content. |
© 2024 by the authors. Licensee MDPI, Basel, Switzerland. This article is an open access article distributed under the terms and conditions of the Creative Commons Attribution (CC BY) license (https://creativecommons.org/licenses/by/4.0/).
Share and Cite
Ostaci, Ș.; Slabu, C.; Marta, A.E.; Jităreanu, C.D. Evaluation of the Resistance of Bitter Cucumber (Momordica charantia) to Saline Stress through Physical, Biochemical, and Physiological Analysis. Horticulturae 2024, 10, 893. https://doi.org/10.3390/horticulturae10090893
Ostaci Ș, Slabu C, Marta AE, Jităreanu CD. Evaluation of the Resistance of Bitter Cucumber (Momordica charantia) to Saline Stress through Physical, Biochemical, and Physiological Analysis. Horticulturae. 2024; 10(9):893. https://doi.org/10.3390/horticulturae10090893
Chicago/Turabian StyleOstaci, Ștefănica, Cristina Slabu, Alina Elena Marta, and Carmenica Doina Jităreanu. 2024. "Evaluation of the Resistance of Bitter Cucumber (Momordica charantia) to Saline Stress through Physical, Biochemical, and Physiological Analysis" Horticulturae 10, no. 9: 893. https://doi.org/10.3390/horticulturae10090893
APA StyleOstaci, Ș., Slabu, C., Marta, A. E., & Jităreanu, C. D. (2024). Evaluation of the Resistance of Bitter Cucumber (Momordica charantia) to Saline Stress through Physical, Biochemical, and Physiological Analysis. Horticulturae, 10(9), 893. https://doi.org/10.3390/horticulturae10090893

