Abstract
During postharvest cold storage, fruit sustains physical and biochemical changes, which may result in physiological rind disorders that consequently affect the fruit’s marketability. Preharvest conditions are known to affect postharvest fruit quality, with the effect of preharvest shade netting being currently unknown. To this end, ‘Nadorcott’ mandarin (Citrus reticulata Blanco) fruit, grown under shade netting and without it, was harvested during two consecutive seasons from an orchard in Citrusdal, Western Cape, South Africa. The fruit was evaluated prior to, as well as after a 7-day shelf-life period following cold storage at either −0.6 or 4 °C for 14, 27 and 34 days, respectively, for changes in rind and pulp colour, rind carotenoids, soluble solid content (SSC), citric acid content and SSC/citric acid ratio. Weight loss and the incidence of rind physiological disorders (staining) were also recorded. The results showed that shade net did not affect the storage behaviour of the fruit, as no treatment differences were seen. However, a storage duration effect for both treatments was evident in some internal and external quality parameters, viz., weight loss percentage and carotenoid content increased over the storage duration. Inconsistency regarding the storage duration effect on the rind colour, SSC and acid content were evident between seasons, at both temperatures. Staining only occurred in the first season after 34 days at both temperatures. The results indicated that shade netting had no negative effect on the cold-storage behaviour of ‘Nadorcott’ fruit. However, contrasting findings from this study emphasized that the condition of the fruit at harvest plays a significant role in the postharvest behaviour of the fruit during cold storage, and different growing conditions may also be a contributable factor.
1. Introduction
South Africa is ranked as the 10th largest fresh citrus producer globally, with soft citrus accounting for 27% of the production area, of which ‘Nadorcott’ (Citrus reticulata Blanco) is the most widely planted mandarin. South Africa exports 69% of its production (2,133,585 tons) [1]. In comparison, 25% is used for processing, and the remaining volume of fruit is consumed locally, resulting in South Africa being the second largest citrus exporter [1].
In addition to preharvest growing conditions, the storage life and quality of citrus fruit are affected by the handling and environmental factors that the fruit is exposed to during the postharvest chain [2]. During postharvest handling, the fruit continues with its essential metabolic processes, as it is active during fruit development. Of all these various physiological and biochemical changes that occur within the fruit, respiration is considered a critical driver, as it affects the postharvest potential of the fruit, either directly or indirectly, through changes in the biochemical composition of the fruit [3]. Blanke and Bower [4] have stated that developing citrus fruit has the highest number of stomata (ca. 200,000) in comparison to other fruit types, and consequently, a high respiration rate is evident. The respiration rate of citrus fruit decreases with development towards maturity, with a relatively low rate in mature fruit [5,6], which finally results in associated changes in the fruit’s biochemical and physical properties after harvest [7].
Physical changes are ascribed to moisture loss, which causes fruit softening and the shrivelling of the peel and consequently accelerates fruit deterioration [8]. The biochemical changes involved, in most instances, are losses in organic acids and sugars, which are used as substrates in the respiration process, providing energy to the fruit to maintain cellular functions [9,10], and consequently affecting the taste [11]. Cold storage and shipping conditions are important to ensure that the fruit maintains its good quality, with no rind physiological disorders and defects present, along with good internal and nutritional quality on reaching the consumer within the targeted export markets [2]. High relative humidity (RH) (85–95%) and low temperature conditions are critical to controlling the fruit deterioration rate and thereby ensuring that the qualities of the fruit are maintained for longer by preventing excessive moisture loss [8,12]. Furthermore, when fruit is subjected to cold storage (i.e., 2 to 8 °C), the rate of biochemical changes is reduced and in addition, the development of decay, i.e., blue and green mold caused by Penicillium spp. is retarded or prevented, which in turn prolongs the fruit’s storage life [9,13].
There are, however, phytosanitary protocols that need to be met to allow the shipment of citrus fruit from South Africa to certain countries [14]. Currently, soft citrus are shipped between −0.6 °C (chilling) and 4 °C (non-chilling temperature), with the temperature and cold-storage duration (days) being dependent on the export market [15,16].
During the cold chain, the fruit experiences certain gradual physiological changes. ‘Washington Navel’ (C. sinensis (L.) Osbeck) oranges, which were stored at 4 °C for an extended storage time of five months, showed an improvement in the rind colour, along with an increase in the total soluble solids (TSS), sugars and weight loss percentage, while the citric acid content decreased [17]. ‘Or’ and ‘Odem’ mandarins stored at 2, 5 and 8 °C showed no increase in TSS, but the acids decreased, leading to an increase in the sugar-to-acid ratio during storage [13]. In addition, these changes may differ between cultivars or varieties. The physiological changes of citrus fruit stored at 15 °C and 95% RH have shown contrasting changes in the °Brix, citric acid and sugars (sucrose, glucose and fructose) content amongst different citrus varieties, ‘Hamlin’ orange, ‘Marsh’ grapefruit (C. paradisi Macf.) and ‘Robinson’ tangerine (C. tangerina) [18]. Furthermore, studies by Matsumoto et al. [19] and Carmona et al. [20] reported that the carotenoid content increased more rapidly during storage at moderate to high temperatures (12 to 20 °C) as compared to lower temperatures (2 to 5 °C) for both ‘Satsuma’ mandarin (C. unshiu Marc.) and ‘Navelina’ orange. Matsumoto et al. [19] proposed that citrus fruit carotenoid biosynthesis is temperature sensitive. In addition to this, Van Wyk et al. [21] found that the rind colouration was enhanced (more orange) and the carotenoid content increased in ‘Palmer Navel’ sweet oranges shipped at 4.5 °C as opposed to −0.6 °C. The same effect was seen in a study by Tietel et al. [13], reporting that “mandarin fruit stored at 8 °C developed a better rind colour than fruit stored at 2 and 5 °C”.
Continuous exposure to low temperatures (0 to 10 °C), however, may result in chilling injury (CI) in citrus fruit, which is considered a physiological disorder [22,23,24,25] that is characterized by a localized discolouration of the rind, resulting in depressions in the fruit surface [26]. CI incidence is determined by various factors, i.e., cultivar, species, season and maturity index [27].
Rind disorders, such as rind staining or rind breakdown (RB), generally referred to as ‘postharvest non-chilling peel pitting’ and may develop at non-chilling temperatures, have been the subject of revision [2,25,28]. These disorders are generally characterized by depressions in the flavedo, which becomes dry and turns brown and black [12]. Thes postharvest physiological rind disorders affect the fruit’s external appearance, thereby reducing marketability. Cronje et al. [29] proposed that citrus fruit sensitivity to RB is largely determined during preharvest conditions, but with symptom development occurring only after a signal is triggered during postharvest handling.
Studies have reported that canopy positions, which are known to receive different light levels [30] have a marked influence on postharvest physiological disorders, i.e., CI in ‘Marsh’ grapefruit [31], and rind breakdown in ‘Nules Clementine’ mandarin [29]. Furthermore, it has been reported that the light levels influence the carbohydrate content (glucose, sucrose and fructose) in the rind, with generally higher carbohydrate levels in the rind of outside canopy ‘Nules Clementine’ fruit [30], even though in one season, no differences were found. A study on ‘Marsh’ grapefruit, showed no difference between canopy positions [32]. In addition, fruit covering studies where light was excluded from the fruit also reported a lower carbohydrate content in the flavedo of both ‘Miyagawa wase’ [33] and ‘Nules Clementine’ mandarins [34] and a reduction in carotenoid and ascorbic acid content in oranges and mandarin fruits [35,36].
Production of citrus fruit under a shade net is a relatively recent orchard management technique used to protect fruit against rind blemishes such as sunburn through light interception [37,38] and wind damage [39]. Shade nets, however, may impact the external and internal quality parameters of citrus fruit both positively and negatively. Syvertsen et al. [40] reported that rind colour of ‘Spring’ navel oranges was enhanced by shade net, while Jifon and Syvertsen [41] reported a delay in rind colour expression in ‘Ruby Red’ grapefruit and ‘Hamlin’ orange fruit. Mira-Garcia et al. [42] found no difference in rind colour for ‘Bearss’ lime (C. latifolia Tan). In terms of internal quality, shade nets enhanced the sugar/acid ratio of the juice in ‘Orri’ mandarin [39], with no effect in ‘Spring Navel’ oranges [40] but with a reduction in ‘Ruby Red’ grapefruits and ‘Hamlin’ sweet oranges [41]. Cohen et al. [43] reported that sugars and acids in ‘Marsh’ grapefruit were not influenced by shade netting, while in ‘Hamlin’ oranges, the °Brix was reduced in the presence of shade nets [41].
The postharvest potential of citrus fruit is determined by the rind and its ability to resist microbial attack and physiological disorder development, in addition to retarding senescence [3]. In addition, Cronje et al. [29,30] proposed that a well-developed rind, with higher carbohydrate and carotenoid content and good rind colour before postharvest storage will result in a good physiological condition of the rind during storage. Van Wyk et al. [21] proposed that the initial rind colour is important in determining the final quality after cold storage. Based on this, it can also be postulated that a fruit of good internal quality at harvest will have a better storage behaviour, since some changes are evident during cold storage. However, to date, there is no available literature on the effect of preharvest shade net on the postharvest storage potential of citrus fruit at various long-term cold-storage temperatures.
This study aimed to determine the effect of 20% white shade netting on the external and internal quality parameters of ‘Nadorcott’ mandarin fruit during long-term cold storage at −0.6 and 4 °C. Aspects such as changes in the rind and pulp colour, internal quality parameters (soluble solid content (SSC), citric acid percentage and the SSC-to-acid ratio), carotenoid concentration and fruit weight loss over the storage duration at these temperatures were evaluated in addition to the incidence of physiological disorders such as chilling injury and staining.
2. Materials and Methods
2.1. Plant Material and Site Location
Fruit was obtained from ‘Nadorcott’ mandarin (C. reticulata Blanco) trees, grafted on ‘Carrizo citrange’ (Poncirus trifoliata × C. sinensis) rootstock within a commercial orchard in Citrusdal (−32.542140, 19.011877), Western Cape Province, South Africa. Trees were planted in 2012 in a north-to-south row orientation, with a tree spacing of 5.5 m between and 2.5 m within rows. The orchard management followed standard citriculture practices for both treatments, including irrigation and nutrition, as well as pest and disease management. Fruit was harvested over two consecutive seasons, on 7 July 2016 (first season) and 10 July 2017 (second season).
2.2. Experimental Design and Treatments
The experimental layout was a randomized complete block design (RCBD), where each experimental block was divided into two plots of 75 m × 25 m, with the treatments being randomly allocated to the plots within a block and replicated four times per treatment (n = 4). The treatments consisted of either the shade netting or the control (no netting). The shade plots were covered with permanent 20% white shade netting (Plusnet, 13 Bussing Road, Aureus, Randfontein, 1759, Gauteng, South Africa) after flowering in Sept. 2015 of the first season. The shade net structure was not fully enclosed on the sides (halfway down). To compensate for a border effect, trees in the first 10 m at either side of the rows and the first two rows from the sides of each plot were excluded from data collection.
Three adjacent trees per block were selected, uniform in size, health and crop load, which served as sampling units per replicate for each treatment.
2.3. Fruit Sampling and Measurements
Fruit was harvested from a central position within the canopy, at approximately 1–1.5 m from the ground level and 0–20 cm from the outside part into the canopy, on the eastern side of the tree. The fruits were all uniform in colour and free of rind blemishes, with a fruit diameter between 55–74 mm. A total of 280 fruits per block replicates were sampled in the first season, and 140 fruits per block replicate were sampled in the second season.
In the first season, 40 fruits per block replicate (n = 4) of each treatment were randomly allocated to be stored at either 4 °C or −0.6 °C for 14, 27 or 34 d, respectively. The remaining 40 fruits of each replicate were subjected to immediate quality analysis on day 0 (at harvest), with no exposure to cold storage. The same process was repeated during the second season; however, the fruit number was reduced to 20 fruit per replicate due to the low variation observed in the first season.
To increase potential susceptibility to rind pitting and staining, fruits were dehydrated at 25–30 °C for 3 d, in both seasons, before cold storage. After that, the fruits were rehydrated for 1 d at room temperature by placing wet paper towels in each berry tray and covering it with plastic, to achieve approximately 100% RH. The fruit did not receive any of the postharvest treatments that are commercial practices for citrus fruit, i.e., the application of wax or thiabendazole prior to cold storage.
During the second season, the weight loss of the fruit over the cold-storage period was calculated using the following equation:
% Weight loss = [(Initial fruit weight) − (Fruit weight after storage) × 100]/(Initial fruit weight)
Following cold storage at the respective storage regimes, the fruits were subjected to a 7 d shelf-life period at 20–22 °C, whereafter the fruits were evaluated for internal and external quality parameters.
2.4. External and Internal Quality Analysis
External quality assessment included the determination of rind colour on the most vivid coloured side of the fruit by means of a chroma meter (CR-400, Konica Minolta Sensing, Inc., Osaka, Japan), immediately prior to the removal of the flavedo in preparation for rind pigment analyses. The rind and pulp colour were expressed as the Hunter a/b ratio, obtained by dividing the Hunter a value by the Hunter b value.
The flavedo was removed with a lemon zester from the fruit sample for each treatment replicate and pooled accordingly before being frozen in liquid nitrogen. Thereafter, it was freeze-dried (Christ Beta 1-8 LD, Christ, Osterode am Harz, Germany) for 2 d before milled to a fine powder with an analytical grinder (Yellow line, A10, IKA-Werke, Staufen, Germany) and stored at −80 °C until rind pigment analysis (see Section 2.6).
To measure internal quality parameters, following flavedo removal, the fruit was cut in half along the longitudinal plane (from stem to calyx end) for the measurement of pulp colour with a chroma meter (CR-400, Konica Minolta Sensing, Inc., Osaka, Japan) on one pulp segment, whereafter extraction of juice using a citrus juicer (8-SA10, Sunkist®, Chicago, IL, USA) was performed.
The juice was strained through a muslin cloth to remove the pulp particles, whereafter the soluble solids content (SSC), measured as °Brix, was determined with a digital refractometer (PR-32 Palette, ATAGO CO, Tokyo, Japan). From the extracted juice, a 50 mL sample was used to determine the citric acid content, with a potentiometric titrator (888 Titrando, Metrohm AG, Herisua, Switzerland), using Tiamo™ software (Version 2.5). Due to citric acid being the major component of organic acids within Citrus, the percentage citric acid was also used in calculating the sugar-to-acid ratio (°Brix/citric acid percentage).
2.5. Postharvest Rind Disorders
Fruit was rated for detected incidences of staining following the respective storage days and shelf-life period, based on a visual rating system, where 0 = no incidence and 3 = severe (Figure 1). The staining incidence was calculated as a staining index to provide an estimate of severity and a staining percentage, by using the equations below:
Staining index = ∑ [Number of fruit in rating category × Rating category (0–3)]/(Total of fruit per rep)
Staining % = (Sum of fruit scored 1–3) × 100/(Total fruit per rep)
Figure 1.
Rind staining incidence of ‘Nadorcott’ mandarin fruit, scored on a colour chart according to an increasing severity (0 to 3, left to right), following cold storage at either 4 or −0.6 °C, for a period of 14, 27 and 34 days, respectively, during the two seasons.
2.6. Rind Pigment Analysis
The chlorophyll and carotenoid content in the flavedo were determined spectrophotometrically. Two extractions per replicate were done in the first season and increased to three in the second season.
Extractions were performed in diminished light conditions to limit direct light exposure. A sample of 0.050–0.055 g freeze-dried and milled flavedo was weighed into a Kimax tube before adding 2 mL absolute ethanol (99.9% v/v) [Merck (Pty) Ltd., Modderfontein, Gauteng, South Africa] and vortexed until the solution was well dispersed. The tubes were placed in a shaker (KS 500, IKA-Werke GmbH&Co. KG, Staufen, Germany) for 30 min at a speed of 265 rpm, whereafter the tube was centrifuged (5810 R, Eppendorf AG, Hamburg, Germany) for 5 min at 4000 rpm and 4 °C. The alcoholic supernatant was transferred to a savant vial that was closed to prevent evaporation. The ethanol extraction procedure was repeated, with the alcoholic phases subsequently pooled. Thereafter, 2 mL n-hexane (≥97.0% v/v) [Sigma-Aldrich, Co., St. Louis, MO, USA] containing butylated hydroxytoluene (BHT) (100 mg·L−1) [Sigma-Aldrich Co., St. Louis, MO, USA] was added to the pellet. The tube was vortexed and then shaken at 265 rpm for 15 min.
The tube was then centrifuged, and the extraction solution was transferred to the Savant tube containing the ethanol fraction, which was closed to prevent evaporation. The hexane extraction was repeated twice following the first extraction.
The extraction was dried under vacuum using a speedvac concentrator (SC210A, Thermo Fisher Scientific, Asheville, NC, USA), set at low-to-medium temperature. The dried extracts were reconstituted with 10 mL pure acetone (100% v/v) [Merck (Pty) Ltd., Modderfontein, Gauteng, South Africa]. The acetone volume was, however, increased up to 16 mL, as rind colour development progressed.
The pigment-containing solution was then transferred to microtubes and centrifuged (5417 R, Eppendorf AG, Hamburg, Germany) for 7 min, 10,000 rpm, and 4 °C before being transferred to a UV-specific cuvette. The absorbance was measured with a spectrophotometer (Cary 60 UV-Vis, Agilent, Santa Clara, CA, USA) at 470, 644 and 662 nm wavelengths, respectively, with 100% acetone as the blank solution. The concentrations of chlorophyll a (Ca), chlorophyll b (Cb) and carotenoids (Cx+c), expressed as µg∙mL−1, were determined by substituting the absorbance values into equations based on Lichtenthaler [44] for 100% acetone (v/v).
Ca = 11.24A661.6 − 2.04A644.8
Cb = 20.13A644.8 − 4.19A661.6
Cx+c = (1000A470 − 1.90Ca − 63.14Cb)/214
Concentration values were converted to express data as µg∙g−1 dry weight (DW) for chlorophyll a (CCa), chlorophyll b (CCb) and carotenoids (Ccar) using the equations below, where vf represents the final volume of acetone in L and the unit for flavedo mass in g:
CCa = (Ca × vf × 1000)/flavedo mass
CCb = (Cb × vf × 1000)/flavedo mass
Ccar = (Cx+c × vf × 1000)/flavedo mass
2.7. Statistical Analysis
Statistical analyses were conducted using Statistica 13’s VEPAC module (TIBICO Software Inc., Santa Clara, CA, USA, (version 13), 2017). The mixed model was used to account for repeated measures that were performed on the same blocks over time. Treatment (control and shade-net fruit) and storage duration (days) were entered as fixed effects, and block nested in treatment as a random effect. For cases where there were technical reps within a block (e.g., fruit coming from the same block were individually measured i.e., rind colour), blockstorage duration nested in treatment was further added as a random effect. Fisher’s Least Significant Difference (LSD) tests were used for post hoc testing.
Normal probability plots were inspected to check the normality of the data, and for cases where there were prominent deviations from normality, Box-Cox transformations were performed. The staining index and percentage were analyzed by a one-way analysis of variance (ANOVA).
3. Results
3.1. Weight Loss
There was no interaction between treatment (control and shade net) and storage duration at 4 °C and −0.6 °C, as the weight loss recorded for fruit grown under the shade net was not differently influenced by the cold-storage duration compared to the control fruit at either 4 or −0.6 °C (Figure 2).
Figure 2.
The influence of cold-storage duration at 4 °C (A) and −0.6 °C (B) on the weight loss percentage of ‘Nadorcott’ mandarin fruit following a storage period of 14, 27 and 34 days (d) after a 7-day (d) shelf-life period during the second season. Values reported on the line graph are the combined means of the two treatments, control and shade netting (20% white), as no significant interaction between the storage duration and treatment was evident. The bar graphs are visual illustrations of the two respective treatments over the storage duration. The p-values for the main effects and their interaction are indicated. Means with different letters (line graph) differ significantly at p ≤ 0.05, as determined by Fisher’s Least Significant Difference (LSD) test. Vertical bars show the standard error.
However, the percentage weight loss recorded in fruit stored at 4 °C increased significantly over the storage period (Figure 2A). Data obtained for weight loss at −0.6 °C storage were not normally distributed. However, the effects from the transformed and untransformed data remained the same, except for a significant difference between 14 and 27 days (d) of storage occurring in the transformed data, which was not evident in the untransformed data. The untransformed data are reported to show the percentage weight loss at −0.6 °C over the storage period. Weight loss was observed to increase significantly between 27 and 34 d of cold storage, with no difference between 14 and 27 d (Figure 2B). Furthermore, the averages for the control and shade-net fruit stored at either 4 °C or −0.6 °C were reported to be comparable over the entire storage duration period.
3.2. Rind Colouration
3.2.1. The 4 °C Cold-Storage Condition
There was no interaction between treatment and the storage duration in either the first or second season, indicating that the two treatments followed the same pattern regarding rind colour development with storage (Figure 3). Regarding the rind colouration changes over the storage duration, there was a contrasting trend between the two seasons (Figure 3A,B). In the first season, the Hunter a/b ratio decreased significantly between 14 and 27 d of storage; thereafter, it remained constant. This resulted in fruit stored at 27 and 34 d having a significantly lower ratio than fruit at harvest and 14 d, which did not differ from each other (Figure 3A). During the second season, the fruit that received cold storage had a significantly higher Hunter a/b ratio compared to harvest. The ratio increased significantly between harvest and 14 d of storage. After that, no further increase occurred (Figure 3B). A higher ratio indicates a better, more orange rind colour.
Figure 3.
The effect of 4 °C cold-storage duration of 14, 27 and 34 d on the rind colour (A,B) and carotenoid (C,D) concentration of ‘Nadorcott’ mandarin fruit evaluated at harvest (0 d) and after a 7 d shelf-life period following storage, during two consecutive seasons. The values reported on the line graph are the means of the two treatments, control and shade net (20% white) combined, as no interaction between treatment and storage duration was evident, with no significant treatment effect. The bar graphs visually illustrate the two treatment trends over time. The p-values for the two main effects and their interaction are indicated on the graph. Different letters on each line graph indicate significant differences at 5% level (p ≤ 0.05) according to Fisher’s LSD test. Vertical bars show the standard error.
Furthermore, in the first season, no differences occurred between the respective averages over the storage duration for the two treatments. However, in the second season and, although the difference between the treatments was insignificant, shade net-grown fruit had a slightly higher Hunter a/b ratio of 1.32 compared to 1.27 for the control, possibly indicating a better rind colouration.
3.2.2. The −0.6 °C Cold-Storage Condition
No interaction occurred between treatment and the storage duration during the first and second seasons regarding rind colour development. In addition to this, the storage duration influenced the rind colour significantly during the first season only (Figure 4A,B).
Figure 4.
Changes in the rind colouration (A,B) and carotenoid (C,D) concentration of ‘Nadorcott’ mandarin fruit stored at −0.6 °C for 14, 27 and 34 days, followed by a 7-day shelf-life period. Fruit was also evaluated at harvest (0 d). Data from the two respective seasons are shown. Values reported on the line graphs are the combined mean for the two treatments, control and shade-net fruit (20% white), since no interaction between treatment and storage duration was evident. The bar graphs are visual presentations of the two treatments only. Both main effects and interaction p-values are indicated on each graph. Different letters on each graph denote significant differences according to Fisher’s LSD test at p ≤ 0.05. Vertical bars show the standard error.
In the first season, the Hunter a/b ratio decreased significantly after harvest (0 d storage) until 27 d of storage, after which the ratio remained constant during the rest of the storage duration (Figure 4A). In the second season, there was no significant effect at the 5% confidence interval on rind colour over the storage duration. However, a trend was noted, indicating a possible effect on the ratio at 14 d of storage, followed by a steady decline with longer cold storage (Figure 4B).
A significant difference in the average a/b ratios in rind colour over the storage duration between treatments was evident during the first season, with the shade-net fruit attaining a higher ratio (1.22) compared to the control (1.20), whilst in the second season, no differences were found.
3.3. Chlorophyll Content
The chlorophyll concentration measured for the fruit that received cold storage at either 4 or −0.6 °C was very low, with the highest being 115 µg·g−1 DW, which could be an outlier. Since this concentration was approximately only 6% of that measured in a green immature fruit (1959 µg·g−1 DW), the data are not reported.
3.4. Carotenoid Content
3.4.1. Cold Storage at 4 °C
The shade net did not influence the carotenoid levels during storage compared to the control, irrespective of the season. No interaction occurred between the treatment and storage duration for both seasons. However, the storage duration significantly influenced the carotenoid content (Figure 3C,D).
In both seasons, cold storage resulted in a higher concentration of carotenoids compared to the fruit at harvest (0 d storage). In the first season, the carotenoid content increased until 14 d; whereafter, a significant decrease towards 27 d followed, with no differences after that (Figure 3C). The same pattern was observed during the second season, with an increase in the concentration between harvest and 14 d, with no further differences occurring throughout the rest of the storage duration (Figure 3D).
The average concentration of carotenoids during storage in the first season was 2322 µg·g−1 DW for the control and 2264 µg·g−1 DW for the shade-net fruit, which did not differ. In the second season, although the two treatments did not differ, there was an indication that the shade net sample (1978 µg·g−1 DW) had a higher carotenoid content compared to the control (1829 µg·g−1 DW), being significant at the 10% confidence level (p = 0.059).
3.4.2. Cold Storage at −0.6 °C
No interaction occurred between the treatment and storage duration during either of the two seasons, indicating that cold storage had a similar effect on both treatments regarding the carotenoid content. Furthermore, storage duration significantly influenced the carotenoid content of the fruit, irrespective of the season (Figure 4C,D).
The fruit stored for 14, 27 and 34 d contained a significantly higher carotenoid content than the fruit harvested during both seasons (Figure 4C,D). In the first season, a significant increase occurred between harvest and 14 d; whereafter, the concentration decreased significantly until 27 d, with no differences after that (Figure 4C). In the second season, the carotenoid content increased until 14 d and remained stable for the rest of storage period (Figure 4D).
The average carotenoid content during the storage period did not differ between the control (2207 µg·g−1 DW) and the shade-net fruit (2289 µg·g−1 DW) during the first season. The same trend repeated in the second season, with comparable concentrations of 1690 µg·g−1 DW for the control and 1824 µg·g−1 DW for the shade-net fruit.
3.5. Internal Fruit Quality Parameters
3.5.1. The 4 °C Cold-Storage Condition
SSC (°Brix)
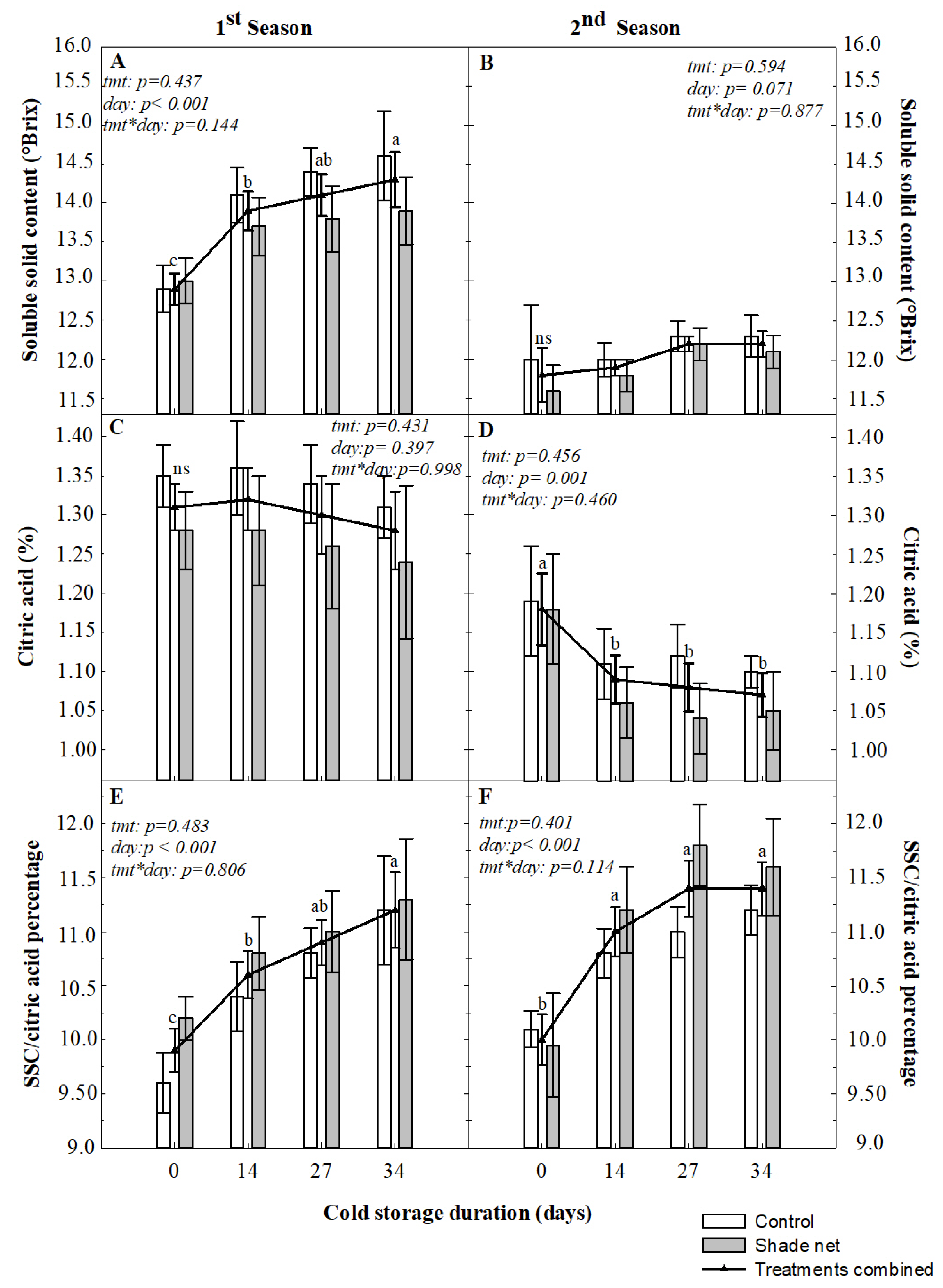
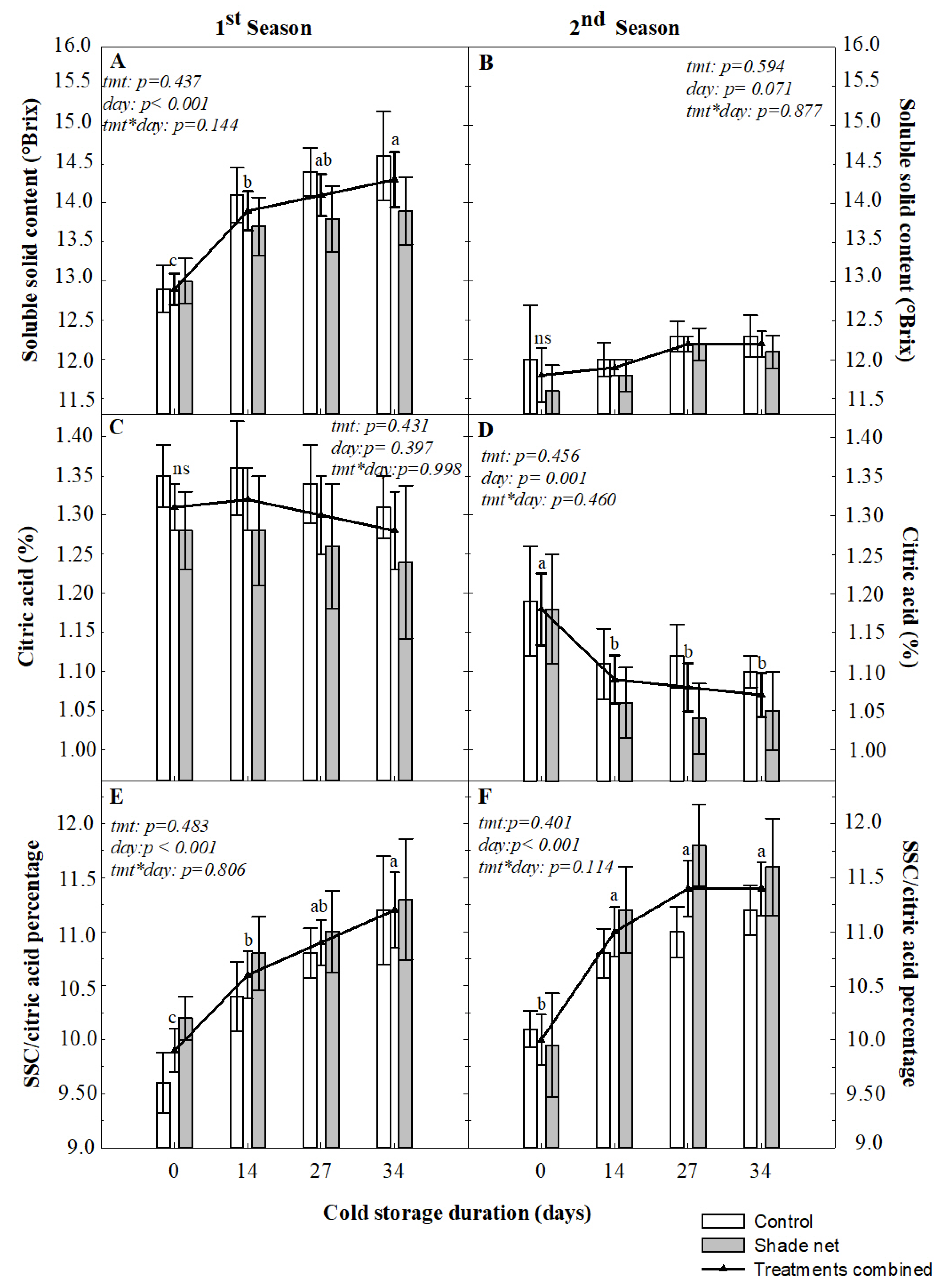
No interaction was evident between the treatment and storage duration during the first or second season. This indicates that the shade net did not influence the soluble solid content (SSC) of fruit during storage. The storage duration, however, influenced the SSC during the first season (Figure 5A), but with no apparent effect in the second season (Figure 5B).
Figure 5.
Changes during cold-storage duration of internal quality parameters: soluble solid content (SSC) (A,B), citric acid content (C,D) and SSC-to-citric-acid ratio (E,F) of ‘Nadorcott’ mandarin fruit, as affected by 4 °C cold storage at harvest (day 0) and after a 7 d shelf-life period following cold storage at 14, 27 and 34 d, respectively, for two consecutive seasons. Values reported on the line graphs are the combined means for the two treatments, control and shade-net fruit (20% white). The bar graphs illustrate the two treatments separately and the trend over time only. The p-values of the main effects and their interaction are indicated on each graph. Different letters on each graph denote significant differences at p ≤ 0.05, according to Fisher’s LSD test. Vertical bars show the standard error.
The SSC at the three storage periods (14, 27 and 34 d) was higher compared to that of the fruit at harvest (Figure 5A). Furthermore, the SSC of the fruit at 34 d was significantly higher than that of the fruit at 14 d, but no difference occurred between 14 and 27 d or between 27 and 34 d. At the 5% confidence level, storage duration during the second season (p = 0.071) did not differ between treatments. However, a trend indicated a possible increasing effect of storage on the SSC (Figure 5B).
Regarding the average SCC over the storage duration, no differences occurred between fruit grown with or without shade net, regardless of the season. In the first season, a value of 14.0 °Brix for the control and 13.6 °Brix for the shade net was attained, while in the second season, the control had a value of 12.2 °Brix compared to 11.9 °Brix under shade netting.
Citric Acid Percentage
No interaction existed between the treatment and storage duration in either the first or second season, implicating that the fruit exposed to shade netting was not affected differently by cold storage when compared with the control fruit. In addition, the storage duration did influence the citric acid percentage during the second season, but not in the first season (Figure 5C,D).
The citric acid content remained constant throughout the storage in the first season (Figure 5C). In contrast, in the second season, there was a significant decrease from harvest until 14 d, whereafter there were no further changes (Figure 5D).
The average citric acid percentage under shade net did not differ from that of the control, over the whole storage duration and for both seasons. In the first season, an average of 1.34% citric acid was recorded for the control compared to 1.27% reported for the shade-net fruit, while in the second season, the control had 1.13% citric acid compared to 1.08% in the shade-net fruit.
SSC (°Brix)-to-Citric-Acid Ratio
The SSC-to-citric-acid ratio of fruit grown under shade net was not influenced differently by cold-storage duration compared to the control in either of the seasons, as no interaction was evident between the treatment and storage duration. However, the storage duration over the 34 d period significantly influenced the sugar-to-acid ratio during both seasons.
The ratio for fruit that received cold storage was significantly higher compared to that of fruit at harvest, irrespective of the season (Figure 5E,F). In the first season, the ratio increased significantly between harvest and 14 d, with no differences occurring thereafter, except for fruit stored for 34 d having a higher ratio than fruit stored for only 14 d (Figure 5E). The same effect was observed during the second season. However, the ratio did not differ for the remaining storage duration after the significant increase between harvest and 14 d of cold storage (Figure 5F).
Furthermore, no differences between averages occurred between treatments over the storage duration in the first (shade net = 13.6, control = 14.0) or the second season (shade net = 11.1, control = 10.8).
3.5.2. The −0.6 °C Cold-Storage Condition
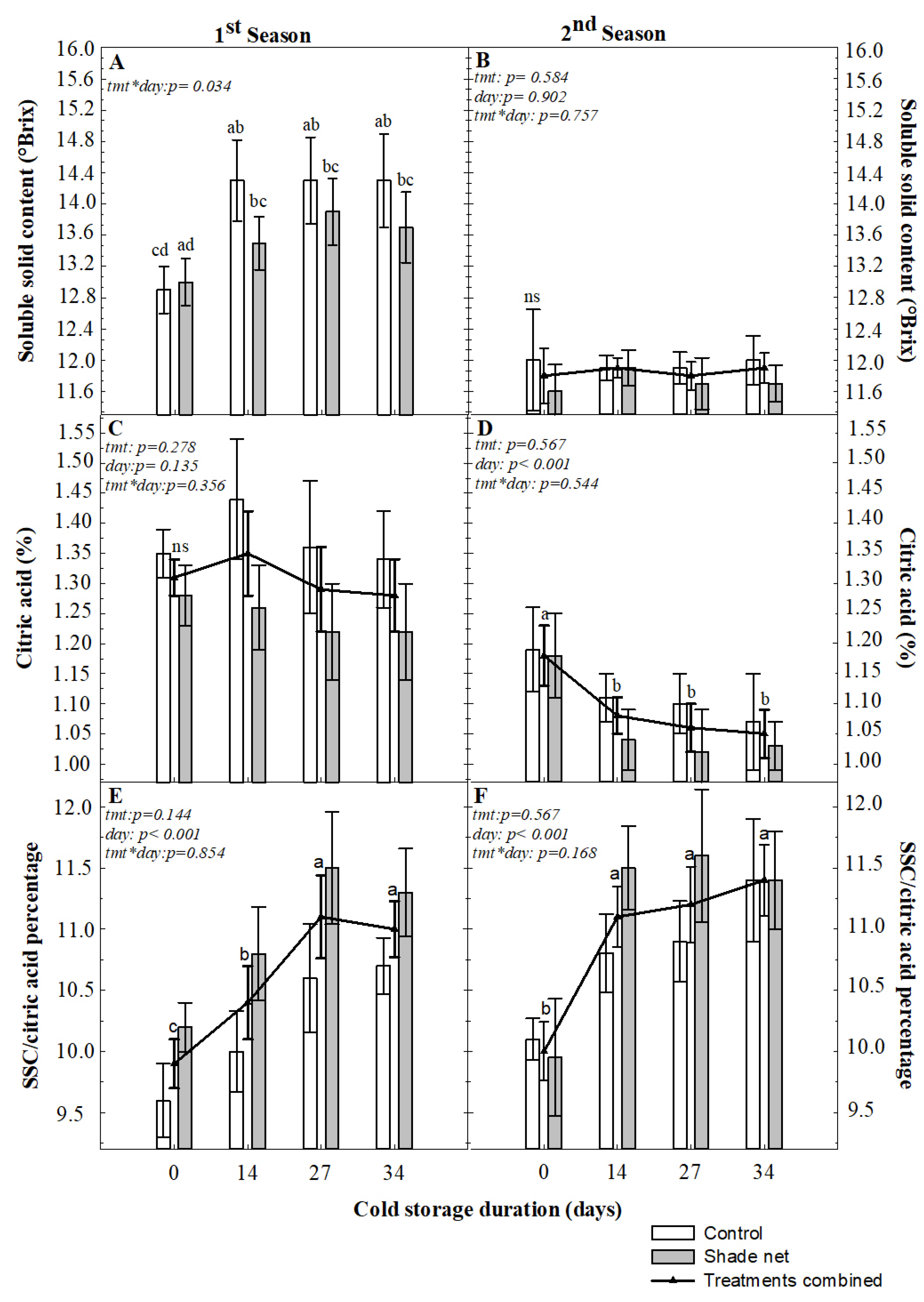
SSC (°Brix)
A significant interaction between treatment and storage duration was seen in the first season, but not the second season (Figure 6A,B). Although no differences occurred between fruit grown with or without shade net at each respective storage day, the interaction was caused by the steeper increase between harvest and 14 d of storage in the control fruit. This showed an increase between the two storage periods, but not to the same extent (Figure 6A). In addition, the SSC, as recorded for the three cold-storage durations, was significantly higher than that reported for harvest fruit, both for the control and shade net-produced fruit. The SSC values, however, did not differ in fruit once exposed to cold over the entire storage period.
Figure 6.
The effect of cold sterilization (−0.6 °C) on the internal quality parameters: soluble solid content (SSC) (A,B), citric acid content (C,D) and the SSC-to-citric-acid ratio (E,F) of ‘Nadorcott’ mandarin fruit after evaluation at harvest (0 days), as well as after a 7-day shelf-life period for fruit that received 14, 27 and 34 days of cold storage, respectively. Values reported in (A) are the means of the two respective treatments (n = 4), control and shade net (20% white), with the p-value of the interaction between treatment (tmt) and storage duration (day) indicated on the graph. The values reported in the line graphs of (B–F) are the combined mean of the two treatments, with the p-values of the main effects and interaction indicated on the graph. The bar graphs visually illustrate the trends for the two treatments. Means with different letters differ significantly at p ≤ 0.05 according to Fisher’s LSD test. Vertical bars show the standard error.
However, no storage effect was seen on the SSC of fruit from the second season (Figure 6B). In addition, the respective means for the SSC over the storage duration for the control and shade net did not differ, and average values of 12.0 and 11.7 °Brix were recorded for the control and shade-net fruit, respectively.
Citric Acid Percentage
No interaction was evident between treatment and storage duration for the two seasons. The citric acid content was not influenced by storage duration in the first season (Figure 6C). However, during the second season, the citric acid decreased from harvest until 14 d of storage, whereafter no further differences were seen (Figure 6D).
Furthermore, no difference was observed between the averages over the storage duration for the control and shade-net fruit in either of the seasons. The control attained an average of 1.37% citric acid compared to 1.24% for shade-netted fruit for the first season. In contrast, in the second season, the average citric acid reported was 1.12% and 1.07% for the control and the shade-net fruit, respectively.
SSC-to-Citric-Acid Ratio
Both treatments followed similar trends over the storage period, since no interaction was seen between the treatment and storage duration. The storage duration, however, did have a significant effect on the ratio during both seasons. The ratio was significantly higher in the fruit that received cold storage compared to that at harvest (Figure 6E,F).
In the first season, the ratio increased significantly from harvest until 27 d of cold storage, with no difference between 27 and 34 d of storage duration (Figure 6E), while in the second season, the ratio increased significantly between harvest and 14 d of cold storage, whereafter no further differences were recorded for the remaining storage duration (Figure 6F).
The average ratios over the storage duration for the two treatments did not differ, irrespective of the season. In the first season, the values were 10.5 and 10.8 for the control and the shade-net fruit, respectively, while in the second season, of the values were 10.8 for the control and 11.1 for the fruit produced under shade netting.
3.6. Pulp Colouration
3.6.1. The 4 °C Cold-Storage Condition
The cold-storage duration did not have a different effect on the pulp colouration of the shade net-grown fruit compared to the control, irrespective of the season, since no interaction occurred between the treatment and storage duration as main effects. In addition, the storage duration did influence the pulp colour, but only in the first season (Figure 7A,B). The fruit that received cold storage had a higher a/b ratio than the fruit at harvest, indicating a more yellow-orange colouration. The ratio increased significantly from harvest until 27 d; whereafter, a slight decrease occurred towards 34 d of storage. However, no difference occurred in the ratio between 14 and 34 d of storage (Figure 7A).
Figure 7.
Pulp colouration changes over the cold storage duration of ‘Nadorcott’ mandarin fruit stored at 4 °C (A,B) and −0.6 °C (C,D), respectively, during the two seasons, in 2016 and 2017. The fruit was evaluated after a 7 d shelf-life period following the respective storage days (14, 27 and 34), while 0 d represents the fruit at harvest. The values reported on the line graph are the combined means of the two treatments, control and shade net (20% white), since no interaction was evident. Bar graphs serve as visual illustration of the treatments over time. The p-value of the two main effects and their interaction are indicated on each graph. Different letters on each graph denote a significant difference between means according to Fisher’s LSD test at p ≤ 0.05. Vertical bars show the standard error.
No differences were recorded between the means for the control and shade net treatments over the storage duration, regardless of the season. An a/b ratio of 0.50 was measured for both treatments in the first season, while in the second season, both treatments attained a ratio of 0.47, respectively.
3.6.2. The −0.6 °C Cold-Storage Condition
No interaction occurred between the treatment and storage duration in either the first or second season. In addition, the storage duration significantly affected the pulp colour in the first season (Figure 7C) but had no influence on the fruit from the second season (Figure 7D).
The fruit receiving cold storage had a significantly higher Hunter a/b ratio compared to the fruit at harvest. The ratio increased steeply between harvest and 14 d of storage; whereafter, a significant decrease occurred between 14 and 27 d, followed by a significant increase between the latter and 34 d. The highest ratio was attained at 14 d, followed by 34 and 27 d of storage duration, respectively (Figure 7C).
Furthermore, the mean values over the storage duration for fruit grown with and without shade net did not differ during either the first or second season, respectively. An a/b ratio of 0.49 was recorded for both the control and shade net in the first season, while in the second season, the control had a ratio of 0.46 compared to 0.47 measured for the shade net-produced fruit.
3.7. Postharvest Rind Disorders
Staining only occurred during the first season in fruit stored for 34 days at both storage temperatures (4 and −0.6 °C) (Table 1), with no staining reported for shorter storage durations, irrespective of storage temperature. In addition, no differences were found in the index and percentage of the rind staining between fruit grown with or without shading, regardless of the storage temperature (Table 1).
Table 1.
The staining index and percentage of ‘Nadorcott’ mandarin fruit grown with or without 20% white shade netting in the 2016 season, after cold storage at either 4 or −0.6 °C for a 34-day duration. Values reported are the means ± SE of four replications.
4. Discussion
The production and delivery of high-quality fruit in the market remain key factors in ensuring competitiveness in the fresh fruit industry, driving producers to incorporate new technology, such as shade netting, to realize these goals. The impact of shade netting on fruit development and its effect on the postharvest potential of citrus fruit are largely unknown. The results from the current study on the impact of 20% white shade netting on ‘Nadorcott’ mandarin fruit when subjected to extended periods of postharvest cold storage reported no negative effects on internal or external fruit quality.
Moisture loss in citrus fruit during postharvest handling and storage is mainly ascribed to water loss through the rind, causing fruit softening and the shrivelling of the rind. Water-based waxing as a postharvest treatment is generally applied to reduce water loss in citrus fruit during storage [8,13,45]. In this study, fruit was deliberately not treated with waxes to avoid interferences of the treatment in the evaluation of the possible impact of preharvest cultivation conditions, such as exposure to shade netting versus open cultivation (no shade netting), on moisture loss of fruit during postharvest. Our results showed that preharvest shading did not affect fruit weight loss during long-term cold storage, irrespective of whether the storage temperatures were at 4 or −0.6 °C.
The results from our study concurred with those of Lee et al. [38], where preharvest shading did not influence the weight loss of ‘Ponkan’ mandarin. However, in their study, the fruit was stored at 13.5 or 25 °C.
The results from our study concur with both those of Cohen et al. [26] in ‘Marsh’ grapefruit and ‘Villa franca’ lemon (C. limon L. Burm.f.), as well as with those of Çandir et al. [17] in ‘Washington’ Navel, who reported that weight loss increased during cold storage. However, the weight loss reported by Cohen et al. [26] and Çandir et al. [17] was not as pronounced as that recorded in our study. This discrepancy may be mostly attributed to the fact that the fruit in the current study was only evaluated after an additional 7 d shelf-life period at 20 to 22 °C, which exacerbated the extent of weight loss. Such an extended shelf period is known to influence weight loss, as reported by Cohen et al. [26] in grapefruit and lemon fruit after being transferred from cold storage to a shelf life of three days at 20 °C. However, it is important to note that none of these aspects resulted in any difference in fruit weight loss between the shade-net fruit and control treatments, suggesting that the netting conditions assessed did not produce a negative impact in the ability the epidermis of the peel to control water exchange during subsequent postharvest cold storage.
Rind colour largely determines consumers’ acceptance. In Citrus, carotenoids are responsible for the characteristic orange rind colouration [46,47]. In the current study, rind colouration, quantified as the Hunter a/b ratio, was not affected by the shade netting treatment at harvest or during cold storage except in the first season for fruit stored at −0.6 °C. However, no visual difference could be detected (personal observation). Seasonal variation in colour development was seen, as illustrated by the different Hunter a/b ratios of the fruit stored at 4 °C. In the first season, the a/b ratio decreased after 14 d of cold storage, whereas in the second season, an increase in the a/b ratio values occurred. In addition, the starting point at harvest was lower in the second season compared to the first. The fruit stored at −0.6 °C showed a decrease in the Hunter a/b ratio during the first season, with no cold storage effect evident in the second season. However, there was a trend for fruit stored for 34 d to have a lower ratio in general. Although numerical differences existed in the a/b ratio, such changes did not produce visible differences in the external colour (probably due to the high a/b values) and, therefore, had little or no commercial importance.
These results on fruit colouration are consistent with those on carotenoid content, since shade netting did not affect the carotenoid content throughout fruit development, as determined at harvest or during cold storage at 4 or −0.6 °C, regardless of the season. However, the storage duration significantly affected the carotenoid content of both treatments, resulting in a general increase in carotenoid content. The difference in rind colouration development between the two seasons might be explained by a delay in rind carotenoid synthesis observed in the second season, resulting in less coloured fruit. Therefore, full colouration could only be achieved during cold storage. Carmona et al. [20] reported that when ‘Navelina’ oranges were harvested at the breaker stage (−0.11 Hunter a/b ratio, indicating that they were not fully coloured) and stored at 2 °C, there was a slight increase in the rind colour, as opposed to the full coloured fruit, which showed no change in colour. Furthermore, the total carotenoid content was not always directly related to colour, at least as determined by the Hunter a/b ratio, as differences in the orange and yellow carotenoid ratio impacted the actual flavedo colouration [20,48]. It is interesting to note that although the Hunter a/b ratio (colour) decreased in the first season during storage at both temperatures, the carotenoid content increased, suggesting changes in the different carotenoid species which did not directly contribute to the rind colour, or to the a/b Hunter value.
Cold storage is known to influence rind colouration. Tietel et al. [13] reported ‘Or’ and ‘Odem’ mandarin fruit exposed to 2 and 5 °C developed a paler rind colour than fruit stored at 8 °C. In contrast, Carmona et al. [20] found no change in the rind colour and carotenoid content of full coloured ‘Navelina’ orange fruit stored at 2 °C compared to fruit kept at 12 °C. In our study, the fruit from the first season stored at both 4 or −0.6 °C showed a reduction in rind colour, which was in agreement with the findings in a previous study by Van Wyk et al. [21] on ‘Palmer Navel’ oranges, but contradicting with those reported by Cronje et al. [29] for ‘Nules Clementine’, where an improvement in rind colouration was observed during storage. The increase in the carotenoid content for the fruit in cold storage recorded in our study followed similar trends to those reported for ‘Nules Clementine’, stored at both −0.5 and 7.5 °C [29], and for ‘Satsuma’ mandarins stored at 5 °C [19]. This apparent discrepancy may be explained by an equilibrium between carotenoid synthesis and catabolism, which favours the accumulation of carotenoids with little to no impact in external colouration. In this context, citrus fruit carotenoid biosynthesis is considered temperature-sensitive [19].
Moreover, different levels of specific carotenoids are known to be present and differentially accumulated in the various commercial citrus varieties. The interaction of these factors may result in different storage behaviour of the fruit, explaining the contradicting reports obtained from studies on different cultivars [49]. This concurs with Rodrigo et al. [50], who proposed that the regulatory process of pigmentation in Citrus fruit differs amongst species.
With regards to pulp colouration, no shade net effect was seen, and both subsequent cold-storage temperatures had similar trends, with only an increase in pulp colouration seen during the first season. Due to the lack of comparable literature, no conclusions can be drawn about the reason for the seasonal difference.
The lack of postharvest physiological disorders, along with rind colour, is responsible for determining the appearance and, consequently, the value of the fruit. Rind staining of ‘Nadorcott’ mandarin (Figure 1) occurred in fruit stored at both cold storage temperatures. Yet, there was no difference when the fruit from the shade netting and the control treatment were compared. The highest staining incidence occurred in the first season, indicating the impact of seasonal macroclimatic factors on fruit rind sensitivity during fruit development [7,29]. The absence of any negative impact from the shade netting on postharvest disorders in ‘Nadorcott’ mandarin indicates that the physiological and biochemical changes occurring under the shade conditions assessed did not have a detrimental effect on the postharvest performance of the peel, which is a key result with great commercial significance.
The taste and flavour of mandarin fruit, which is determined by the pulp SSC, acid content and the sugar/acid ratio, are important in shaping consumers’ perception of quality [13]. Preharvest shade netting did not influence the SSC, citric acid content or their ratio at harvest and during storage at either 4 or −0.6 °C. Similar findings were reported for ‘Ponkan’ mandarin, with late shading application not influencing the SSC or titratable acidity [38]. Due to the increase in SSC and decrease in acid, the SSC/citric acid ratio increased during both seasons when the fruit were subjected to extended periods of cold storage. There is limited research on how mandarin fruit responds to cold storage at chilling temperatures < 0 °C. The observed increase in the ratio reported in our study, due to a decrease in acid content, could be beneficial for producing mandarins with more acceptable quality for export markets, especially after shipment at often mandatory ultra-low temperature regimes. Mature citrus fruit generally has a relatively low respiration rate [6], which declines during storage at low temperatures, as compared with fruit not exposed to cold storage [29]. In addition, acids tend to decrease much faster than sugars under storage [51].
During postharvest storage there are, however, changes that occur in the individual sugars of the juice (glucose, fructose and sucrose), which directly affect the Brix content, as reported by Echeverria and Ismail [18]. The increase in SSC during the first season can be ascribed to the known changes in these individual sugars. Even though some changes in the internal quality parameter did occur during cold storage, they were still well within the range set for export standards for late mandarins, where a minimum of 12 °Brix, 0.85% acid and a sugar/acid ratio of 10 are allowed [52]. However, a sub-minimum value for SSC at 11.8 was recorded on some storage days during the second season, at both storage temperatures, a value that is still close to the acceptable standards.
As with rind colouration and the reported disorder incidences, the values measured to quantify internal quality also differed between seasons, indicating the likely impact of macroclimatic effects prevalent between seasons. However, these preharvest conditions were not altered by the shade netting to such an extent as to result in any difference in internal fruit quality. In addition, it was concluded by various researchers that the unique genetics of each mandarin variety play a significant role in how the fruit responds to low temperatures during storage [13,18,53]. Overall, our results from the current study under climatic conditions characteristics of Citrusdal, where the trial site was located, demonstrated that the 20% shade netting conditions used for ‘Nadorcott’ mandarin did not have a detrimental effect on external and internal fruit quality. These conditions can be suitable agronomical growing conditions for avoiding winds, excessive irradiation and other adverse situations.
5. Conclusions
The results indicated that ‘Nadorcott’ mandarin fruit developing under a permanent 20% white shade netting did not differ from the control treatment (no shade net) in terms of postharvest storage potential with respect to weight loss, rind and pulp colour, physiological disorders or the internal quality at either 4 or −0.6 °C cold storage. However, weight loss, rind and pulp colour changes, as well as changes in carotenoid content and internal quality parameters (SSC, citric acid percentage and SSC/acid ratio) occurred for both treatments.
Due to the differences in these parameters observed between seasons, it can be postulated that in some of the characteristics, the condition of the fruit at harvest, as influenced by developmental conditions other than shading, may impact the corresponding postharvest response. It is suggested that similar in-depth studies should commence in other production areas with contrasting climatic conditions to determine how shade nets may influence the fruits’ postharvest storage behaviour. Other citrus types should also be investigated, as there may be a different response as compared to that of ‘Nadorcott’ mandarin. However, the results stemming from this detailed experiment, indicating no negative impact due to shade netting on the postharvest quality of ‘Nadorcott’ mandarin, have contributed to citriculture.
Author Contributions
Conceptualization, P.J.R.C. and J.N.; methodology, J.N. and P.J.R.C.; validation, J.N. and P.J.R.C.; formal analysis, M.K.; investigation, J.N.; resources, P.J.R.C.; data curation, J.N.; writing—original draft preparation, J.N.; writing—review and editing, P.J.R.C., E.W.H. and L.Z.; visualization, J.N., P.J.R.C. and E.W.H.; supervision, P.J.R.C., E.W.H. and L.Z.; project administration, J.N. and P.J.R.C.; funding acquisition, P.J.R.C. All authors have read and agreed to the published version of the manuscript.
Funding
This research was funded by Citrus Research International (CRI project number 1125), 2 Baker Street, Mbombela, Mpumalanga, 1200, South Africa and the Department of Science and Technology, Republic of South Africa, Pretoria 0182.
Data Availability Statement
The work presented formed part of an MSc. thesis and the datasets generated for this study are available from the corresponding author upon request.
Acknowledgments
We would like to acknowledge Rémy Rosalie for developing the protocol for pigment analysis, Mouton Citrus for access to the trial site and the lab personnel at the Horticultural department of Stellenbosch University for all their help.
Conflicts of Interest
The authors declare no conflicts of interest. The funders had no role in the design of the study; in the collection, analyses or interpretation of data; in the writing of the manuscript; or in the decision to publish the results.
References
- 2023 Industry Statistics 2022 Export Season. Available online: https://www.citrusresourcewarehouse.org.za/home/document-home/information/cga-key-industry-statistics/8871-cga-key-industry-statistics-2023/file (accessed on 31 October 2023).
- Zacarías, L.; Cronje, P.J.R.; Palou, L. Postharvest technology of citrus fruits. In The Genus Citrus; Talon, M., Garuso, M., Gmitter, F.G., Jr., Eds.; Woodhead Publishing: Duxford, UK, 2020; pp. 421–446. [Google Scholar]
- Biale, J.B. Postharvest Physiology and Chemistry. In The Orange: Its Biochemistry and Physiology; Sinclair, W.B., Ed.; University of California: Berkeley, CA, USA, 1961; pp. 96–130. [Google Scholar]
- Blanke, M.M.; Bower, J.P. Photosynthesis, transpiration and small fruit problem of citrus orange fruit. Proc. Int. Soc. Citric. 1992, 1, 439–442. [Google Scholar]
- Aharoni, Y. Respiration of oranges and grapefruits harvested at different stages of development. Plant Physiol. 1968, 43, 99–102. [Google Scholar] [CrossRef] [PubMed]
- Eaks, I.L. Respiratory response, ethylene production and response to ethylene of citrus fruit during ontogeny. Plant Physiol. 1970, 45, 334–338. [Google Scholar] [CrossRef] [PubMed]
- Ting, S.V.; Attaway, J.A. Citrus fruits. In The Biochemistry of Fruits and Their Products; Hulme, A.C., Ed.; Academic Press Inc.: London, UK, 1971; Volume 2, pp. 107–169. [Google Scholar]
- Ben-Yehoshua, S. Gas exchange, transpiration, and the commercial deterioration in storage of orange fruit. J. Am. Soc. Hort. Sci. 1969, 94, 524–528. [Google Scholar] [CrossRef]
- Miller, E.V. Physiology of citrus fruits in storage. Bot. Rev. 1946, 12, 393–423. [Google Scholar] [CrossRef]
- Tucker, G.A. Introduction. In Biochemistry of Fruit Ripening; Seymour, G.B., Taylor, J.E., Tucker, G.A., Eds.; Chapman & Hall: London, UK, 1993; pp. 1–51. [Google Scholar]
- Kader, A.A. Postharvest biology and technology: An overview. In Postharvest Technology of Horticultural Crops, Publication 3311; Kader, A.A., Ed.; The Regents of the University of California, Division of Agriculture and Natural Resources: Oakland, CA, USA, 1992; pp. 15–20. [Google Scholar]
- Alférez, F.; Agusti, M.; Zacarías, L. Postharvest rind staining in ‘Navel’ oranges is aggravated by changes in storage relative humidity: Effect on respiration, ethylene production and water potential. Postharvest Biol. Technol. 2003, 28, 143–152. [Google Scholar] [CrossRef]
- Tietel, Z.; Lewinsohn, E.; Fallik, E.; Porat, R. Importance of storage temperatures in maintaining flavor and quality of mandarins. Postharvest Biol. Technol. 2012, 64, 175–182. [Google Scholar] [CrossRef]
- Intransit Handling Protocol—HP05—USA (T107-e) Citrus, Table Grapes, Nectarines, Peaches and Plum. Available online: https://ppecb.com/wp-content/uploads/2023/05/Intransit-Handling-Protocol-HP05-USA-T107-e-citrus-table-grapes-nectarines-peaches-and-plum-ID-1820.pdf (accessed on 14 November 2023).
- Ordinary Handling Protocol—Schedule 1/HP22 Carrying Temperature Regime Codes of Perishable Produce. Available online: https://ppecb.com/wp-content/uploads/2023/09/Ordinary-Handling-Protocol-Schedule-12HP22-Carrying-Temperature-Regime-Codes-of-Perishable-Produce-ID-2764.pdf (accessed on 14 November 2023).
- Cold Treatment Container Loading Protocols. Available online: https://ppecb.com/document-category/cold-treatment-shipments/general/ (accessed on 14 November 2023).
- Çandir, E.; Kamiloğlu, M.; Üstün, D.; Kendir, G.T. Comparison postharvest quality of conventionally and organically grown ‘Washington Navel’ oranges. J. App. Bot. Food Qual. 2013, 86, 59–65. [Google Scholar]
- Echeverria, E.D.; Ismail, M. Changes in sugars and acids of citrus fruits during storage. Proc. Fla. State Hort. Soc. 1987, 100, 50–52. [Google Scholar]
- Matsumoto, H.; Ikoma, Y.; Kato, M.; Nakajima, N.; Hasegawa, Y. Effect of postharvest temperature and ethylene on carotenoid accumulation in the flavedo and juice sacs of Satsuma mandarin (Citrus unshiu Marc.) fruit. J. Agric. Food Chem. 2009, 57, 4724–4732. [Google Scholar] [CrossRef]
- Carmona, L.; Zacarías, L.; Rodrigo, M.J. Stimulation of coloration and carotenoid biosynthesis during postharvest storage of ‘Navelina’ orange fruit at 12 °C. Postharvest Biol. Technol. 2012, 74, 108–117. [Google Scholar] [CrossRef]
- Van Wyk, A.A.; Huysamer, M.; Barry, G.H. Extended low-temperature shipping adversely affects rind colour of ‘Palmer Navel’ sweet orange [Citrus sinensis (L.) Osb.] due to carotenoid degradation but can partially be mitigated by optimizing post-shipping holding temperature. Postharvest Biol. Technol. 2009, 53, 109–116. [Google Scholar] [CrossRef]
- Bassal, M.; El-Hamahmy, M. Hot water dip and preconditioning treatments to reduce chilling injury and maintain postharvest quality of Navel and Valencia oranges during cold quarantine. Postharvest Biol. Technol. 2011, 60, 186–191. [Google Scholar] [CrossRef]
- Petracek, P.D.; Kelsey, D.F.; Grierson, W. Physiological peel disorders. In Fresh Citrus Fruits, 2nd ed.; Wardowski, W.F., Miller, W.M., Hall, D.J., Grierson, W., Eds.; Florida Science Source Inc.: Longboat Key, FL, USA, 2006; pp. 397–419. [Google Scholar]
- Purvis, A.C.; Yelenosky, G. Inducible chilling injury to grapefruit on trees. HortTechnology 1993, 3, 68–69. [Google Scholar] [CrossRef]
- Lado, J.; Cronje, P.J.R.; Rodrigo, M.J.; Zacarías, L. Citrus. In Postharvest Physiological Disorders in Fruits and Vegetables; De Freitas, S.R., Pareek, S., Eds.; CRC Press Taylor & Francis Group: Abingdon, UK; London, UK, 2019; pp. 377–398. [Google Scholar]
- Cohen, E.; Shapiro, B.; Shalom, Y.; Klein, J.D. Water loss: A nondestructive indicator of enhanced cell membrane permeability of chilling-injured Citrus fruit. J. Am. Soc. Hort. Sci. 1994, 119, 983–986. [Google Scholar] [CrossRef]
- Strano, M.C.; Altieri, G.; Admane, N.; Genovese, F.; Di Renzo, G.C. Advances in citrus postharvest management: Diseases, cold storage and quality evaluation. In Citrus Pathology; Gill, H., Garg, H., Eds.; In Tech: Croatia, EU, USA, 2017; pp. 139–159. [Google Scholar]
- Lafuente, M.T.; Zacarías, L. Postharvest physiological disorders in citrus fruit. Stewart Postharvest Rev. 2006, 1, 1–9. [Google Scholar]
- Cronje, P.J.R.; Barry, G.H.; Huysamer, M. Postharvest rind breakdown of ‘Nules Clementine’ mandarin is influenced by ethylene application, storage temperature and storage duration. Postharvest Biol. Technol. 2011, 60, 192–201. [Google Scholar] [CrossRef]
- Cronje, P.J.R.; Barry, G.H.; Huysamer, M. Canopy position affects pigment expression and accumulation of flavedo carbohydrates of ‘Nules Clementine’ mandarin fruit, thereby affecting rind condition. J. Am. Soc. Hort. Sci. 2013, 138, 217–224. [Google Scholar] [CrossRef]
- McDonald, R.E.; Nordby, H.E.; McCollum, T.G. Epicuticular wax morphology and composition are related to grapefruit chilling injury. HortScience 1993, 28, 311–312. [Google Scholar] [CrossRef]
- Purvis, A.C. Influence of canopy depth on susceptibility of ‘Marsh’ grapefruit to chilling injury. HortScience 1980, 15, 731–733. [Google Scholar] [CrossRef]
- Chen, J.W.; Zhang, S.L.; Zhang, L.C.; Zhao, Z.Z.; Xu, J.G. Fruit photosynthesis and assimilate translocation and partitioning: Their characteristics and role in sugar accumulation in developing Citrus unshiu fruit. Acta Bot. Sinica 2002, 44, 158–163. [Google Scholar]
- Magwaza, L.S.; Opara, U.L.; Cronje, P.J.R.; Landahl, S.; Terry, L.A. Canopy position affects rind biochemical profile of ‘Nules Clementine’ mandarin fruit during postharvest storage. Postharvest Biol. Technol. 2013, 86, 300–308. [Google Scholar] [CrossRef]
- Rey, F.; Zacarías, L.; Rodrigo, M.J. Carotenoids, vitamin c, and antioxidant capacity in the peel of mandarin fruit in relation to the susceptibility to chilling injury during postharvest cold storage. Antioxidants 2020, 9, 1296. [Google Scholar] [CrossRef] [PubMed]
- Lado, J.; Alós, E.; Manzi, M.; Cronje, P.J.R.; Gómez-Cadenas, A.; Rodrigo, M.J.; Zacarías, L. Light regulation of carotenoid biosynthesis in the peel of mandarin and sweet orange fruits. Front. Plant Sci. 2019, 10, 1288. [Google Scholar] [CrossRef] [PubMed]
- Iglesias, I.; Alegre, S. The effect of anti-hail nets on fruit protection, radiation, temperature, quality and profitability of ‘Mondial Gala’ apples. J. Appl. Hort. 2006, 8, 91–100. [Google Scholar]
- Lee, T.C.; Zhong, P.J.; Chang, P.T. The effects of preharvest shading and postharvest storage temperatures on the quality of ‘Ponkan’ (Citrus reticulata Blanco) mandarin fruits. Scientia Hort. 2015, 188, 57–65. [Google Scholar] [CrossRef]
- Wachsmann, Y.; Zur, N.; Shahak, Y.; Ratner, K.; Giler, Y.; Schlizerman, L.; Sadka, A.; Cohen, S.; Garbinshikof, V.; Giladi, B.; et al. Photoselective anti-hail netting for improved citrus productivity and quality. Acta Hort. 2014, 1015, 169–176. [Google Scholar] [CrossRef]
- Syvertsen, J.P.; Goñi, C.; Otero, A. Fruit load and canopy shading affect leaf characteristics and net gas exchange of ‘Spring’ navel orange trees. Tree Physiol. 2003, 23, 899–906. [Google Scholar] [CrossRef]
- Jifon, J.L.; Syvertsen, J.P. Effects of moderate shade on citrus leaf gas exchange, fruit yield and quality. Proc. Fla. State Hort. Soc. 2001, 114, 177–181. [Google Scholar]
- Mira-García, A.B.; Conejero, W.; Vera, J.; Ruiz-Sánchez, M.C. Effect of water stress and shading on lime yield and quality. Plants 2023, 12, 503. [Google Scholar] [CrossRef]
- Cohen, S.; Grava, A.; Goldschmidt, E.E. Citrus response to radiation load reduction: Water use, photosynthesis, and productivity. Proc. Intl. Soc. Citricult. IX Congr. 2000, 1, 615–618. [Google Scholar]
- Lichtenthaler, H.K. [34] Chlorophylls and carotenoid pigments of photosynthetic biomembranes. Methods Enzymol. 1987, 148, 350–382. [Google Scholar]
- El-Otmani, M.; Ait-Oubahou, A.; Zacarías, L. Citrus spp.: Orange, mandarin, tangerine, clementine, grapefruit, pomelo, lemon and lime. In Postharvest Biology and Technology of Tropical and Subtropical Fruits; Yahia, E.M., Ed.; Woodhead Publishing: Cambridge, UK, 2011; Volume 2, pp. 437–514. [Google Scholar]
- Gross, J. Pigments in Fruits; Academic Press: London, UK, 1987. [Google Scholar]
- Lado, J.; Rodrigo, M.J.; Zacarías, L. Maturity indicators and citrus fruit quality. Stewart Postharvest. Rev. 2014, 2, 1–6. [Google Scholar]
- Gross, J.; Gabai, M.; Lifshitz, A. A comparative study of the carotenoid pigments in juice of Shamouti, Valencia and Washington oranges, three varieties of Citrus sinensis. Phytochemistry 1972, 11, 303–308. [Google Scholar] [CrossRef]
- Alquézar, B.; Rodrigo, M.J.; Zacarías, L. Carotenoid biosynthesis and their regulation in citrus fruits. Tree For. Sci. Biotechnol. 2008, 2, 23–35. [Google Scholar]
- Rodrigo, M.; Alquézar, B.; Alós, E.; Lado, J.; Zacarías, L. Biochemical bases and molecular regulation of pigmentation in the peel of citrus fruit. Sci. Hort. 2013, 163, 46–62. [Google Scholar] [CrossRef]
- Grierson, W. Anatomy and physiology. In Fresh Citrus Fruits, 2nd ed.; Wardowski, W.F., Miller, W.M., Hall, D.J., Grierson, W., Eds.; Florida Science Source Inc.: Longboat Key, FL, USA, 2006; pp. 1–22. [Google Scholar]
- Export Standards and Requirements: Part 2 Soft Citrus. Available online: https://citrusresourcewarehouse.org.za/home/document-home/consumer-assurance/quality-standards/daff-export-standards-04-05-18/5345-daff-export-standards-citrus-pt2-soft-citrus-2018/file (accessed on 14 November 2023).
- Obenland, D.; Collin, S.; Mackey, B.; Sievert, J.; Arpaia, M.L. Storage temperature and time influences sensory quality of mandarins by altering soluble solids, acidity and aroma volatile composition. Postharvest Biol. Technol. 2011, 59, 187–193. [Google Scholar] [CrossRef]
Disclaimer/Publisher’s Note: The statements, opinions and data contained in all publications are solely those of the individual author(s) and contributor(s) and not of MDPI and/or the editor(s). MDPI and/or the editor(s) disclaim responsibility for any injury to people or property resulting from any ideas, methods, instructions or products referred to in the content. |
© 2024 by the authors. Licensee MDPI, Basel, Switzerland. This article is an open access article distributed under the terms and conditions of the Creative Commons Attribution (CC BY) license (https://creativecommons.org/licenses/by/4.0/).






