Escherichia coli Inoculation Decreases the Photosynthetic Performance on Tomato Plants: Clarifying the Impact of Human Commensal Bacteria on Transient Plant Hosts
Abstract
1. Introduction
2. Materials and Methods
2.1. Bacterial Strain and Culture Preparation
2.2. Plant Growth and Inoculation Conditions
2.3. Chlorophyll a Fluorescence, Pigment Content, and Gas Exchange
2.4. Cell Membrane Stability
2.5. Leaf Biomass
2.6. Plant Morphology, Fruiting and Fruit Ripening
2.7. Statistical Analysis
3. Results and Discussion
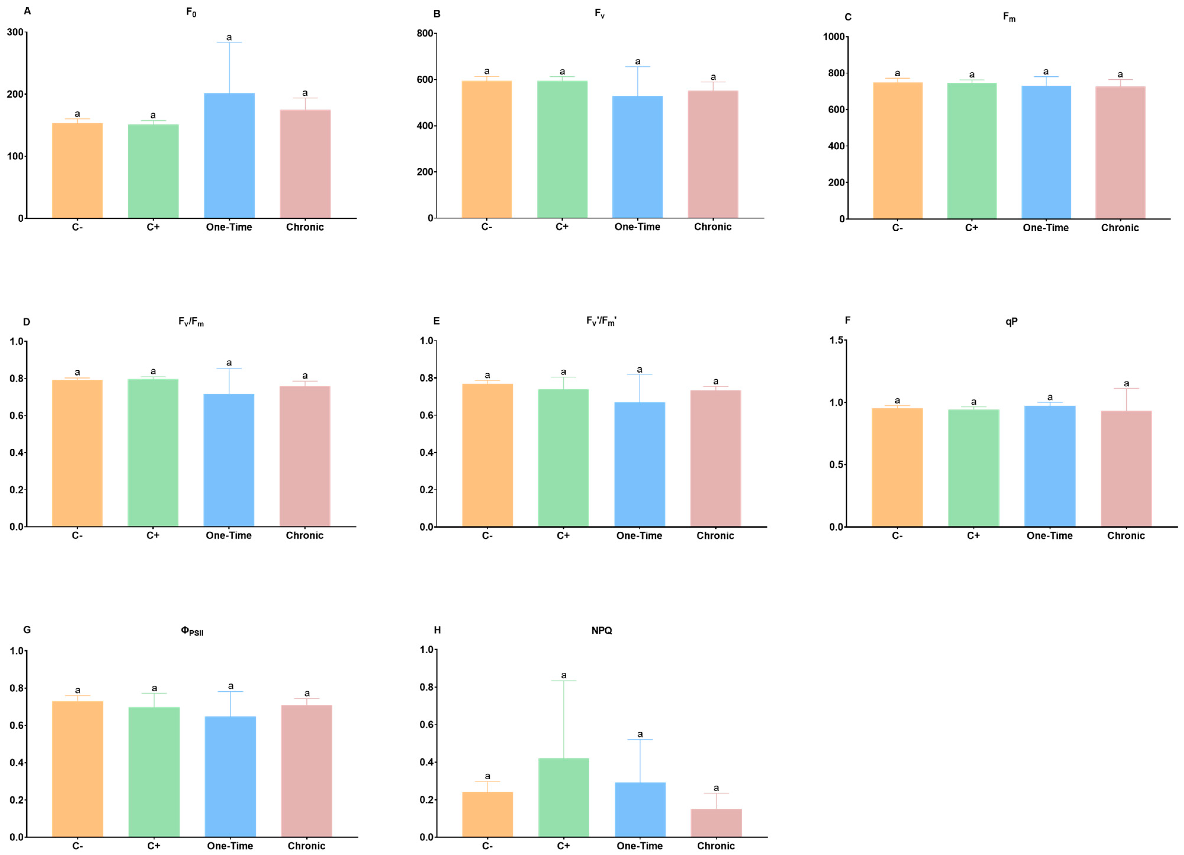
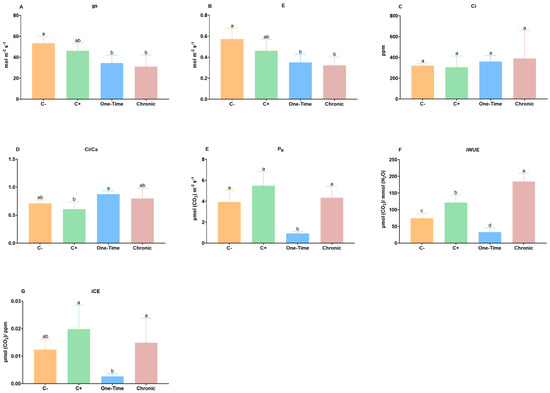
3.1. Chlorophyll Fluorescence, Pigments and Gas Exchange
3.2. Cell Membrane Stability, Leaf Biomass, Plant Morphology, and Fruiting
3.3. PCA Analysis
4. Conclusions
Author Contributions
Funding
Data Availability Statement
Acknowledgments
Conflicts of Interest
References
- Esmael, A.; Al-Hindi, R.R.; Albiheyri, R.S.; Alharbi, M.G.; Filimban, A.A.R.; Alseghayer, M.S.; Almaneea, A.M.; Alhadlaq, M.A.; Ayubu, J.; Teklemariam, A.D.A. Fresh Produce as a Potential Vector and Reservoir for Human Bacterial Pathogens: Revealing the Ambiguity of Interaction and Transmission. Microorganisms 2023, 11, 753. [Google Scholar] [CrossRef]
- Callejón, R.M.; Rodríguez-Naranjo, M.I.; Ubeda, C.; Hornedo-Ortega, R.; Garcia-Parrilla, M.C.; Troncoso, A.M. Reported Foodborne Outbreaks Due to Fresh Produce in the United States and European Union: Trends and causes. Foodborne Pathog. Dis. 2015, 12, 32–38. [Google Scholar] [CrossRef]
- Vassallo, A.; Amoriello, R.; Guri, P.; Casbarra, L.; Ramazzotti, M.; Zaccaroni, M.; Ballerini, C.; Cavalieri, D.; Marvasi, M. Adaptation of Commensal Escherichia coli in Tomato Fruits: Motility, Stress, Virulence. Biology 2023, 12, 633. [Google Scholar] [CrossRef]
- Luna-Guevara, J.J.; Arenas-Hernandez, M.M.P.; Martínez De La Peña, C.; Silva, J.L.; Luna-Guevara, M.L. The Role of Pathogenic E. coli in Fresh Vegetables: Behavior, Contamination Factors, and Preventive Measures. Int. J. Microbiol. 2019, 2019, 2894328. [Google Scholar] [CrossRef]
- Alegbeleye, O.O.; Singleton, I.; Sant’Ana, A.S. Sources and contamination routes of microbial pathogens to fresh produce during field cultivation: A review. Food Microbiol. 2018, 73, 177–208. [Google Scholar] [CrossRef]
- Gekenidis, M.T.; Rigotti, S.; Hummerjohann, J.; Walsh, F.; Drissner, D. Long-Term Persistence of blaCTX-M-15 in Soil and Lettuce after Introducing Extended-Spectrum β-Lactamase (ESBL)-Producing Escherichia coli via Manure or Water. Microorganisms 2020, 8, 1646. [Google Scholar] [CrossRef]
- Melotto, M.; Panchal, S.; Roy, D. Plant innate immunity against human bacterial pathogens. Front. Microbiol. 2014, 5, 411. [Google Scholar] [CrossRef]
- Chelaghma, W.; Loucif, L.; Bendahou, M.; Rolain, J.-M. Vegetables and Fruit as a Reservoir of β-Lactam and Colistin-Resistant Gram-Negative Bacteria: A Review. Microorganisms 2021, 9, 2534. [Google Scholar] [CrossRef]
- World Health Organization (WHO). Critically Important Antimicrobials for Human Medicine, 6th ed.; World Health Organization: Geneva, Switzerland, 2018. [Google Scholar]
- Berger, C.N.; Sodha, S.V.; Shaw, R.K.; Griffin, P.M.; Pink, D.; Hand, P.; Frankel, G. Fresh fruit and vegetables as vehicles for the transmission of human pathogens. Environ. Microbiol. 2010, 12, 2385–2397. [Google Scholar] [CrossRef]
- Saldaña, Z.; Sánchez, E.; Xicohtencatl-Cortes, J.; Puente, J.L.; Girón, J.A. Surface structures involved in plant stomata and leaf colonization by Shiga-toxigenic Escherichia coli O157: H7. Front. Microbiol. 2011, 2, 119. [Google Scholar] [CrossRef]
- Grivokostopoulos, N.C.; Makariti, I.P.; Tsadaris, S.; Skandamis, P.N. Impact of Salmonella in Leafy greens and Impact on Acid Tolerance. Food Microbiol. 2022, 88, e02249-21. [Google Scholar] [CrossRef]
- Thilmony, R.; Underwood, W.; He, S.Y. Genome-wide transcriptional analysis of the Arabidopsis thaliana interaction with the plant pathogen Pseudomonas syringae pv. tomato DC3000 and the human pathogen Escherichia coli O157:H7. Plant J. 2006, 46, 34–53. [Google Scholar] [CrossRef]
- Roy, D.; Panchal, S.; Rosa, B.A.; Melotto, M. Escherichia coli O157:H7 Induces Stronger Plant Immunity than Salmonella enterica Typhimurium SL1344. Phytopathology 2013, 103, 326–332. [Google Scholar] [CrossRef]
- Meddya, S.; Meshram, S.; Sarkar, D.; Rakesh, S.; Datta, R.; Singh, S.; Avinash, G.; Kondeti, A.K.; Savani, A.K.; Thulasinathan, T. Plant Stomata: An Unrealized Possibility in Plant Defense against Invading Pathogens and Stress Tolerance. Plants 2023, 12, 3380. [Google Scholar] [CrossRef]
- Production/Crops and Livestock Products—Metadata. Available online: https://www.fao.org/faostat/en/#data/QCL/visualize (accessed on 6 May 2024).
- Mendes, R.J.; Mariz-Ponte, N.; Correia, C.V.; Dias, M.C.; De Sousa, M.L.; Tavares, F.; Santos, C. Fire Blight Management: Physiological Assessment of Cultural Control by Pruning in Pear Orchards. Agriculture 2020, 66, 128–136. [Google Scholar] [CrossRef]
- Murchie, E.H.; Lawson, T. Chlorophyll fluorescence analysis: A guide to good practice and understanding some new applications. J. Exp. Bot. 2013, 64, 3983–3998. [Google Scholar] [CrossRef]
- Sims, D.A.; Gamon, J.A. Relationships between leaf pigment content and spectral reflectance across a wide range of species, leaf structures and developmental stages. Remote Sens. Environ. 2002, 81, 337–354. [Google Scholar] [CrossRef]
- Mariz-Ponte, N.; Mendes, R.J.; Sario, S.; Ferreira de Oliveira, J.M.P.; Melo, P.; Santos, C. Tomato plants use non-enzymatic antioxidant pathways to cope with moderate UV-A/B irradiation: A contribution to the use of UV-A/B in horticulture. J. Plant Physiol. 2017, 221, 32–42. [Google Scholar] [CrossRef]
- Yin, Y.G.; Kobayashi, Y.; Sanuki, A.; Kondo, S.; Fukuda, N.; Ezura, H.; Sugaya, S.; Matsukura, C. Salinity induces carbohydrate accumulation and sugar-regulated starch biosynthetic genes in tomato (Solanum lycopersicum L. cv.‘Micro-Tom’) fruits in an ABA-and osmotic stress-independent manner. J. Exp. Bot. 2009, 61, 563–574. [Google Scholar] [CrossRef] [PubMed]
- Maxwell, K.; Johnson, G.N. Chlorophyll fluorescence—A practical guide. J. Exp. Bot. 2000, 51, 659–668. [Google Scholar] [CrossRef]
- Ritchie, G.A. Chlorophyll fluorescence: What is it and what do the numbers mean? In USDA Forest Service Proceeding RMRS; Rocky Mount Research Station: Fort Collins, CO, USA, 2006; pp. 34–42. [Google Scholar]
- Tatagiba, S.D.; DaMatta, F.M.; Rodrigues, F.Á. Leaf gas exchange and chlorophyll a fluorescence imaging of rice leaves infected with Monographella albescens. Phytopathology 2015, 105, 180–188. [Google Scholar] [CrossRef]
- Nelson, N.; Yocum, C.F. Structure and function of photosystems I and II. Annu. Rev. Plant Biol. 2006, 57, 521–565. [Google Scholar] [CrossRef]
- Gahir, S.; Bharath, P.; Raghavendra, A.S. Stomatal Closure Sets in Motion Long-Term Strategies of Plant Defense Against Microbial Pathogens. Front. Plant Sci. 2021, 12, 761952. [Google Scholar] [CrossRef]
- Sakata, N.; Ishiga, Y. Prevention of Stomatal Entry as a Strategy for Plant Disease Control against Foliar Pathogenic Pseudomonas Species. Plants 2023, 12, 590. [Google Scholar] [CrossRef]
- Jiang, X.; Walker, B.J.; He, S.Y.; Hu, J. The role of photorespiration in plant immunity. Front. Plant Sci. 2023, 14, 1125945. [Google Scholar] [CrossRef]
- Gudesblat, G.E.; Torres, P.S.; Vojnov, A.A. Stomata and pathogens: Warfare at the gates. Plant Signal. Behav. 2009, 4, 1114–1116. [Google Scholar] [CrossRef]
- Xicohtencatl-Cortes, J.; Chacón, E.S.; Saldaña, Z.; Freer, E.; Girón, J.A. Interaction of Escherichia coli O157:H7 with leafy green produce. J. Food Prot. 2009, 72, 1531–1537. [Google Scholar] [CrossRef]
- Berger, C.N.; Shaw, R.K.; Ruiz-Perez, F.; Nataro, J.P.; Henderson, I.R.; Pallen, M.J.; Frankel, G. Interaction of enteroaggregative Escherichia coli with salad leaves. Environ. Microbiol. Rep. 2009, 1, 234–239. [Google Scholar] [CrossRef]
- Melotto, M.; Underwood, W.; Koczan, J.; Nomura, K.; He, S.Y. Plant Stomata Function in Innate Immunity against Bacterial Invasion. Cell 2006, 126, 969–980. [Google Scholar] [CrossRef] [PubMed]
- Nautiyal, C.S.; Rehman, A.; Chauhan, P.S. Environmental Escherichia coli occur as natural plant growth-promoting soil bacterium. Arch. Microbiol. 2010, 192, 185–193. [Google Scholar] [CrossRef] [PubMed]
- Tharek, M.; Sim, K.S.; Khairuddin, D.; Ghazali, A.H.; Najimudin, N. Whole-Genome Sequence of Endophytic Plant Growth-Promoting Escherichia coli USML2. Genome Announc. 2017, 5, e00305-17. [Google Scholar] [CrossRef]
- Verma, V.P.; Saharan, V.V.; Nimesh, S.; Singh, A.P. Phenotypic and virulence traits of Escherichia coli and Salmonella strains isolated from vegetables and fruits from India. J. Appl. Microbiol. 2018, 125, 270–281. [Google Scholar] [CrossRef]
- Deering, A.J.; Jack, D.R.; Pruitt, R.E.; Mauer, L.J. Movement of Salmonella serovar Typhimurium and E. coli O157:H7 to Ripe Tomato Fruit Following Various Routes of Contamination. Microorganisms 2015, 3, 809–825. [Google Scholar] [CrossRef] [PubMed]




| Negative Control (C−) | Positive Control (C+) | One-Time | Chronic | |
|---|---|---|---|---|
| CMS (%MD) | 9.61 ± 3.42 a | 7.31 ± 2.5 a | 10.20 ± 3.60 a | 10.07 ± 3.20 a |
| FW (mg) | 0.35 ± 0.12 a | 0.32 ± 0.09 a | 0.31 ± 0.04 a | 0.38 ± 0.09 a |
| DW (mg) | 0.03 ± 0.02 a | 0.05 ± 0.03 a | 0.03 ± 0.01 a | 0.05 ±0.01 a |
| RWC (%) | 44 ± 15.1 a | 43.2 ± 13.7 a | 37.2 ± 6.5 a | 44.8 ± 6.3 a |
| Shoot Length (cm) | 28 ± 3.39 a | 26.8 ± 3.27 a | 27.2 ± 2.95 a | 33 ± 4.95 a |
| Necrotic Leaves | 5 ± 1.58 a | 7.4 ± 3.91 a | 11.6 ± 6.84 a | 9.2 ± 2.17 a |
| Chlorotic Leaves | 16.8 ± 14.89 a | 4.8 ± 3.90 a | 18.4 ± 18.85 a | 8 ± 8.15 a |
| Negative Control (C−) | Positive Control (C+) | One-Time | Chronic | |
|---|---|---|---|---|
| Green | 2.6 ± 2.79 a | 2.8 ± 2.05 a | 0.9 ± 0.84 a | 1.8 ± 1.79 a |
| Yellow | 0.4 ± 0.89 a | 0.6 ± 0.55 a | 0.2 ± 0.45 a | 0.8 ± 1.79 a |
| Red | 3.4 ± 2.3 a | 4.8 ± 1.92 a | 3.4 ± 2.3 a | 3.4 ± 0.89 a |
| Fruit size (h/w) (mm) | 16.6 ± 2.1/19 ± 3.1 a | 18.1 ± 2.7/18 ± 2.9 a | 17.4 ± 3.4/18 ± 3.4 a | 18.8 ± 3/19 ± 4.3 a |
| Fruit weight (g) | 3.4 ± 1.4 a | 3.5 ± 1.6 a | 4.1 ± 1.9 a | 4.4 ± 2.2 a |
Disclaimer/Publisher’s Note: The statements, opinions and data contained in all publications are solely those of the individual author(s) and contributor(s) and not of MDPI and/or the editor(s). MDPI and/or the editor(s) disclaim responsibility for any injury to people or property resulting from any ideas, methods, instructions or products referred to in the content. |
© 2024 by the authors. Licensee MDPI, Basel, Switzerland. This article is an open access article distributed under the terms and conditions of the Creative Commons Attribution (CC BY) license (https://creativecommons.org/licenses/by/4.0/).
Share and Cite
Gomes, A.; Santos, C.; Dinis, L.-T.; Mendes, R.J. Escherichia coli Inoculation Decreases the Photosynthetic Performance on Tomato Plants: Clarifying the Impact of Human Commensal Bacteria on Transient Plant Hosts. Horticulturae 2024, 10, 758. https://doi.org/10.3390/horticulturae10070758
Gomes A, Santos C, Dinis L-T, Mendes RJ. Escherichia coli Inoculation Decreases the Photosynthetic Performance on Tomato Plants: Clarifying the Impact of Human Commensal Bacteria on Transient Plant Hosts. Horticulturae. 2024; 10(7):758. https://doi.org/10.3390/horticulturae10070758
Chicago/Turabian StyleGomes, Anicia, Conceição Santos, Lia-Tânia Dinis, and Rafael J. Mendes. 2024. "Escherichia coli Inoculation Decreases the Photosynthetic Performance on Tomato Plants: Clarifying the Impact of Human Commensal Bacteria on Transient Plant Hosts" Horticulturae 10, no. 7: 758. https://doi.org/10.3390/horticulturae10070758
APA StyleGomes, A., Santos, C., Dinis, L.-T., & Mendes, R. J. (2024). Escherichia coli Inoculation Decreases the Photosynthetic Performance on Tomato Plants: Clarifying the Impact of Human Commensal Bacteria on Transient Plant Hosts. Horticulturae, 10(7), 758. https://doi.org/10.3390/horticulturae10070758

