How Climate Variability Affects Safflower (Carthamus tinctorius L.) Yield, Oil, and Fatty Acids in Response to Sowing Dates
Abstract
1. Introduction
2. Materials and Methods
2.1. Site Selection and Crop Growth Conditions
2.2. Determination of Plant Traits
2.2.1. Collection of Phenological and Agronomic Traits
2.2.2. Growing Degree Days Calculation
- TMax = Maximum temperature on X Day
- TMin = Minimum temperature on X Day
- Tbase = Base temperature (3 °C) at which growth and degree days accumulation is possible
2.3. Determination of Oil Content
2.4. Seed Fatty Acids Determination
2.5. Statistical Analyses
3. Results
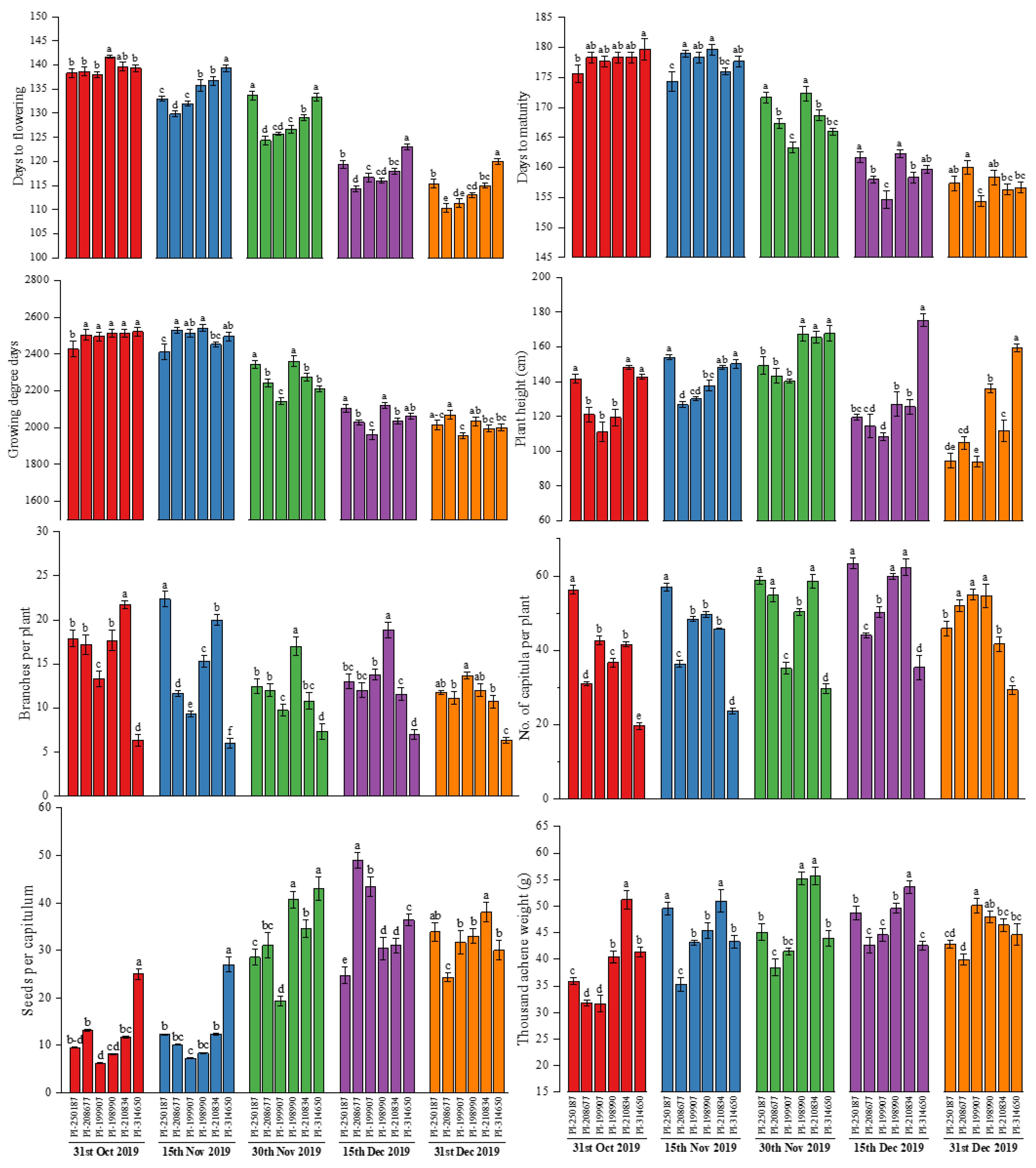
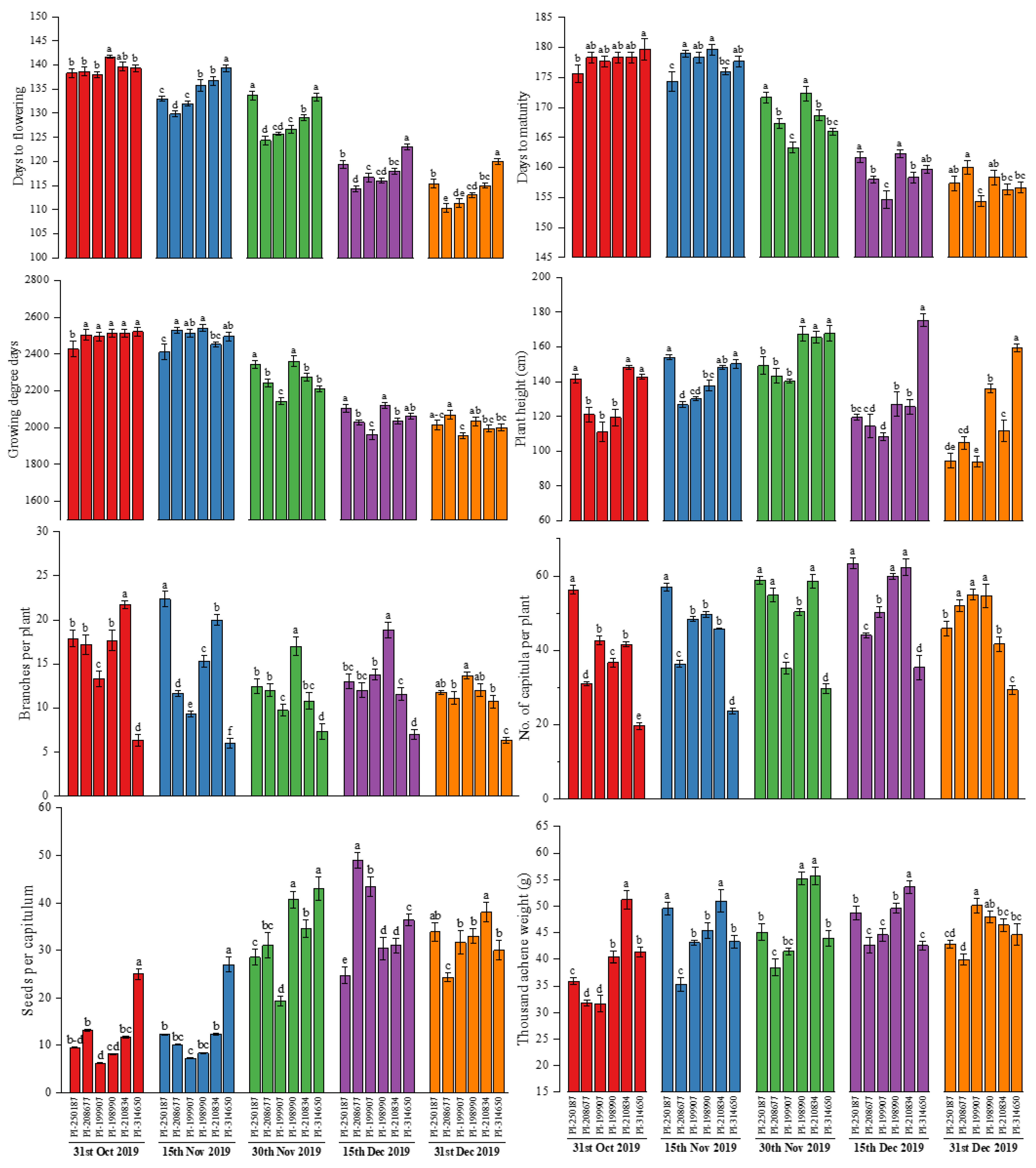
3.1. Description of Phenological Traits and Degree Days
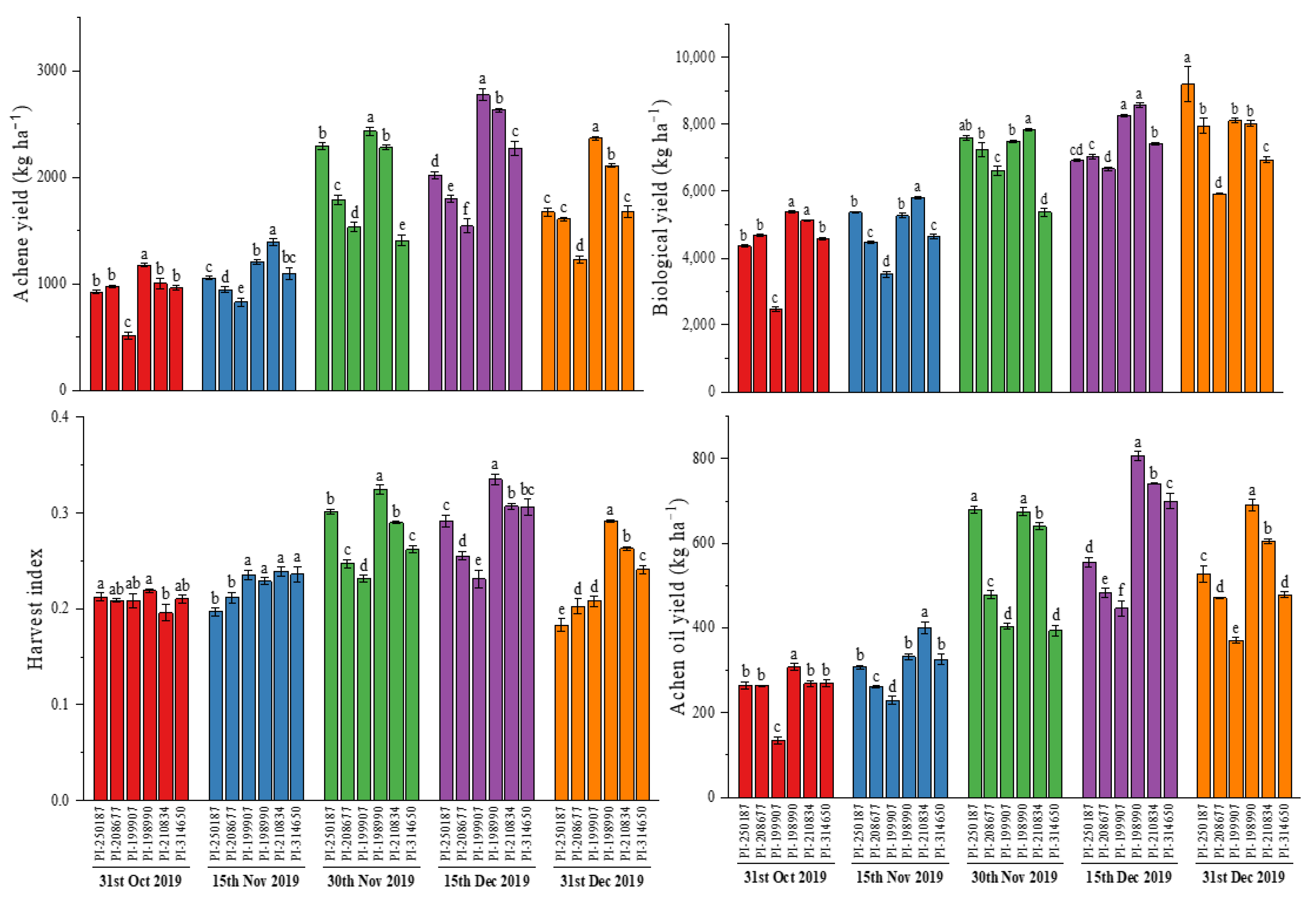
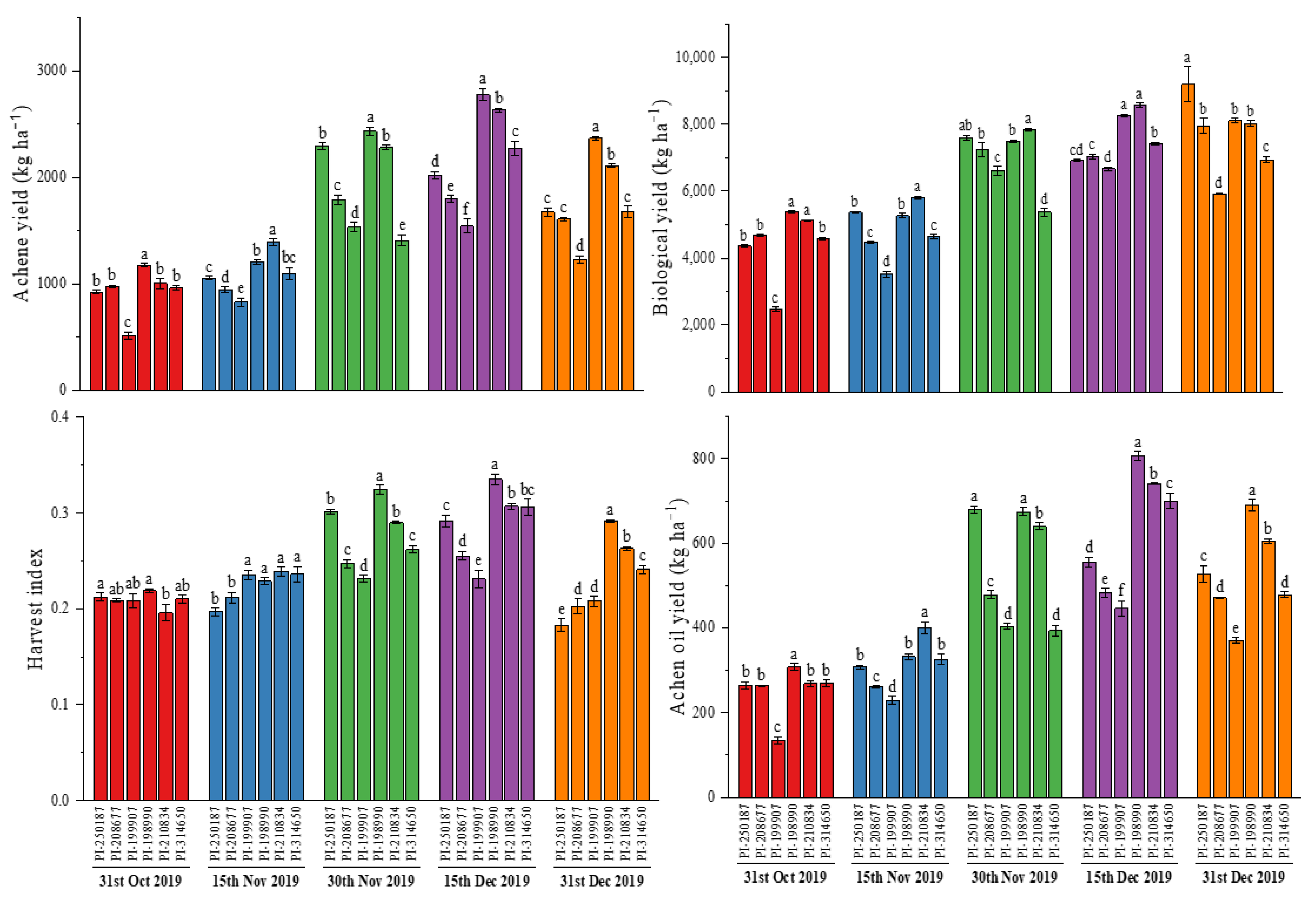
3.2. Description of Agronomic Traits

3.3. Description of Oil Content and Fatty Acid Profile
3.4. Correlation Analysis
3.5. Stability Analysis
| DF | DM | GDD | PH | Bran | Heads | Seeds | SYH | BYH | TSW | HI | Oil | OY | OA | |
|---|---|---|---|---|---|---|---|---|---|---|---|---|---|---|
| DM | 0.921 ** | 1 | ||||||||||||
| GDD | 0.919 ** | 0.999 | 1 | |||||||||||
| PH | 0.431 * | 0.307 | 0.295 | 1 | ||||||||||
| Bran | 0.228 | 0.307 | 0.310 | −0.107 | 1 | |||||||||
| Heads | −0.469 ** | −0.337 | −0.340 | −0.092 | 0.380 * | 1 | ||||||||
| Seeds | −0.647 ** | −0.744 ** | −0.748 ** | 0.055 | −0.418 * | 0.273 | 1 | |||||||
| SYH | −0.134 | −0.169 | −0.181 | 0.217 | 0.205 | 0.336 | 0.280 | 1 | ||||||
| BYH | 0.104 | 0.169 | 0.167 | 0.319 | 0.512 ** | 0.629 ** | 0.008 | 0.445 * | 1 | |||||
| TSW | −0.278 | −0.286 | −0.285 | 0.284 | 0.191 | 0.577 ** | 0.372 * | 0.455 * | 0.668 ** | 1 | ||||
| HI | −0.201 | −0.299 | −0.312 | −0.014 | −0.197 | −0.210 | 0.349 | 0.634 ** | −0.337 | −0.070 | 1 | |||
| Oil | −0.407 * | −0.429 * | −0.429 * | −0.013 | −0.175 | 0.199 | 0.363 * | 0.195 | −0.097 | 0.275 | 0.251 | 1 | ||
| OY | −0.137 | −0.143 | −0.153 | 0.255 | 0.187 | 0.388 * | 0.259 | 0.967 ** | 0.490 ** | 0.450 * | 0.564 ** | 0.234 | 1 | |
| OA | −0.602 ** | −0.643 ** | −0.634 ** | −0.039 | −0.425 * | 0.032 | 0.567 ** | −0.063 | −0.160 | 0.274 | 0.053 | 0.513 ** | −0.047 | 1 |
| LA | 0.600 ** | 0.642 ** | 0.633 ** | 0.040 | 0.423 * | −0.031 | −0.565 ** | 0.065 | 0.158 | −0.273 | −0.050 | −0.512 ** | 0.049 | −1.000 ** |
| Genotypes | Yield | Wᵢ2 | σ2ᵢ | s2dᵢ | bᵢ | CVi | KR |
|---|---|---|---|---|---|---|---|
| PI-250187 | 1593 | 147643 | 44720 | 20982 | 1.0 | 37 | 7 |
| PI-208677 | 1425 | 90952 | 23461 | 3784 | 0.8 | 30 | 8 |
| PI-199907 | 1130 | 80607 | 19582 | 4864 | 0.8 | 40 | 8 |
| PI-198990 | 1991 | 184334 | 58479 | 5113 | 1.4 | 37 | 6 |
| PI-210834 | 1883 | 77077 | 18258 | 3289 | 1.2 | 35 | 3 |
| PI-314650 | 1483 | 271058 | 91001 | 34297 | 0.8 | 35 | 10 |
4. Discussion
5. Conclusions
Supplementary Materials
Author Contributions
Funding
Data Availability Statement
Acknowledgments
Conflicts of Interest
References
- Golkar, P. Breeding improvements in safflower (Carthamus tinctorius L.): A review. Aust. J. Crop Sci. 2014, 8, 1079–1085. [Google Scholar]
- Dajue, L.; Mündel, H.H. Safflower. In Carthamus tinctorius L. Promoting the Conservation and Use of Underutilized and Neglected Crops; Institute of Plant Genetics and Crop Plant Research, Gatersleben/International Plant Genetic Resources Institute: Rome, Italy, 1996. [Google Scholar]
- Yesilyurt, M.K.; Cesur, C.; Aslan, V.; Yilbasi, Z. The production of biodiesel from safflower (Carthamus tinctorius L.) oil as a potential feedstock and its usage in compression ignition engine: A comprehensive review. Renew. Sust. Energ. Rev. 2020, 119, 109574. [Google Scholar] [CrossRef]
- Steberl, K.; Hartung, J.; Graeff-honninger, S. Impact of cultivar, harvest date and threshing prameter settings on floret and carthamidin yield of safflower. Agronomy 2020, 10, 1272. [Google Scholar] [CrossRef]
- Bar-Tal, A.; Landau, S.; Li-xin, Z.; Markovitz, T.; Keinan, M.; Dvash, L.; Brener, S.; Weinberg, Z.G. Fodder quality of safflower across an irrigation gradient and with varied nitrogen rates. Agron. J. 2008, 100, 1499–1505. [Google Scholar] [CrossRef]
- FAOSTAT. FAOSTAT Database. 2021. Available online: http://www.fao.org/faostat/en/#home (accessed on 1 January 2018).
- Cerrotta, A.; Lindstrom, L.I.; Echenique, V. Selection tools for oil content and fatty acid composition in safflower (Carthamus tinctorius L.). Breed. Sci. 2020, 70, 558–566. [Google Scholar] [CrossRef] [PubMed]
- Emongor, V. Safflower (Carthamus tinctorius L.) the underutilized and neglected crop: A review. Asian J. Plant Sci. 2010, 9, 299–306. [Google Scholar] [CrossRef]
- Heydarizadeh, P.; Sabzalian, M.R.; Khajehpour, M.R. Effect of temperature and day length on vegetative growth and yield of safflower genotypes. J. Water Soil Sci. 2008, 12, 365–376. [Google Scholar]
- Yau, S.K. Winter versus spring sowing of rain-fed safflower in a semi-arid, high-elevation Mediterranean environment. Eur. J. Agron. 2007, 26, 249–256. [Google Scholar] [CrossRef]
- Si, P.; Walton, G.H. Determinants of oil concentration and seed yield in canola and Indian mustard in the lower rainfall areas of Western Australia. Aust. J. Agric. Res. 2004, 55, 367–377. [Google Scholar] [CrossRef]
- Juknevicius, S.; Pekarskas, J. Influence of safflower (Carthamus tinctorius L.) sowing time on seed yield, chemical composition, yield structure, growth and development. Agriculture 2002, 4, 50–59. [Google Scholar]
- Tahmasebizadeh, H.; Khodabandeh, N.; Madani, L.; Farahani, A. Surveying the analysis of spring safflower growth and its effect on the performance in Weathers conditions of Arak. New Find. Agric. 2008, 3, 136–154. [Google Scholar]
- Omidi, A.H.; Sharifmogadas, M.R. Evaluation of Iranian safflower cultivars reaction to different sowing dates and plant densities. World Appl. Sci. J. 2010, 8, 953–958. [Google Scholar]
- Koutroubas, S.D.; Papakosta, D.K.; Doitsinis, A. Phenotypic variation in physiological determinants of yield in spring sown safflower under Mediterranean conditions. Field Crops Res. 2009, 112, 99–204. [Google Scholar] [CrossRef]
- Abou Chehade, L.; Angelini, L.G.; Tavarini, S. Genotype and seasonal variation affect yield and oil quality of safflower (Carthamus tinctorius L.) under Mediterranean conditions. Agronomy 2022, 12, 122. [Google Scholar] [CrossRef]
- Taylor, D.C.; Smith, M.A.; Fobert, P.; Mietkiewaska, E.; Weselake, R.J. Metabolic engineering of higher plants to produce bio-industrial oils. Compr. Biotechnol. 2011, 4, 67–85. [Google Scholar]
- Yue, A.Q.; Sun, X.P.; Li, R.Z. Metabolic engineering of edible plant oils. Zhi Wu Sheng Li Yu Fen Zi Sheng Wu Xue Xue Bao = J. Plant Physiol. Mol. Biol. 2007, 33, 489–498. [Google Scholar]
- Vanhercke, T.; Wood, C.C.; Stymne, S.; Singh, S.P.; Green, A.G. Metabolic engineering of plant oils and waxes for use as industrial feedstocks. Plant Biotechnol. J. 2013, 11, 197–210. [Google Scholar] [CrossRef]
- Safdari-Monfared, N.; Noor-Mohammadi, G.; Shirani Rad, A.H.; Majidi Hervan, E. Effect of sowing date and glycinebetaine on seed yield, oil content, and fatty acids in rapeseed cultivars. J. Agric. Sci. Technol. 2019, 21, 1495–1506. [Google Scholar]
- Velioglu, S.D.; Temiz, H.T.; Ercioglu, E.; Velioglu, H.M.; Topcu, A.; Boyaci, I.H. Use of Raman spectroscopy for determining erucic acid content in canola oil. Food Chem. 2017, 22, 87–90. [Google Scholar] [CrossRef]
- Steel, R.G.D.; Torrie, J.H.; Dickey, D.A. Principles and Procedures of Statistics, A Biometrical Approach, 3rd ed.; McGraw-Hill Book Company, Inc.: New York, NY, USA; Toronto, ON, Canada; London, UK, 1997; pp. 352–358. [Google Scholar]
- Pour-Aboughadareh, A.; Yousefian, M.; Moradkhani, H.; Poczai, P.; Siddique, K.H. STABILITYSOFT: A new online program to calculate parametric and non-parametric stability statistics for crop traits. Appl. Plant Sci. 2019, 7, 01211. [Google Scholar] [CrossRef]
- Shukla, G.K. Some statistical aspects of partitioning genotype environmental components of variability. Heredity 1972, 29, 237–245. [Google Scholar] [CrossRef]
- Finlay, K.W.; Wilkinson, G.N. The analysis of adaptation in a plant-breeding programme. Aust. J. Agric. Res. 1963, 14, 742–754. [Google Scholar] [CrossRef]
- Eberhart, S.T.; Russell, W.A. Stability parameters for comparing varieties 1. Crop Sci. 1966, 6, 36–40. [Google Scholar] [CrossRef]
- Wricke, G. Uber eine Methode zur Erfassung der okologischen Streubreite in Feldverzuchen. Z. Pflanzenzuchtg. 1962, 47, 92–96. [Google Scholar]
- Kang, M.S. A rank-sum method for selecting high-yielding, stable corn genotypes. Cereal Res. Commun. 1988, 16, 113–115. [Google Scholar]
- Caliskan, S.; Caliskan, M.E. Row and plant spacing effects on the yield and yield components of safflower in a mediterranean-type environment. Turk. J. Field Crops 2018, 23, 85–92. [Google Scholar] [CrossRef]
- Sajid, M.; Munir, H.; Khaliq, A.; Murtazza, G. Estimation of Yield Potential, Oil Content and Fatty Acid Composition of Safflower in Different Ecological Zones. J. Agric. Food 2021, 2, 88–107. [Google Scholar]
- Temirbekova, S.; Afanasyeva, Y.; Metlina, G.; Vasilchenko, S.; Kalashnikova, E. New safflower oil crops in Russia: Agronomy and Adaptability. In Regenerative Agriculture; Springer: Berlin/Heidelberg, Germany, 2021; pp. 261–272. [Google Scholar]
- La Bella, S.; Tuttolomondo, T.; Lazzeri, L.; Matteo, R.; Leto, C.; Licata, M. An agronomic evaluation of new safflower (Carthamus tinctorius L.) germplasm for seed and oil yields under Mediterranean climate conditions. Agronomy 2019, 9, 468. [Google Scholar] [CrossRef]
- Hall, A.E. Breeding for adaptation to drought and heat in cowpea. Eur. J. Agron. 2004, 21, 447–454. [Google Scholar] [CrossRef]
- Jamshidmoghaddam, M.; Alizadeh, K. Study on effect of planting time on seed yield, oil content and some agronomic traits of safflower (Carthamus tinctorius L.) genotypes under moderate cold and cold dryland condition. Iran. J. Dryland Agric. 2018, 6, 229–245. [Google Scholar]
- Jafari, B.; Mohsenabadi, G.; Sabouri, A. Estimation of cardinal temperatures and determination of the effects of tempera-ture and osmotic potential on safflower (Carthamus tinctorius L.) germination. Environ. Stress. Crop Sci. 2018, 11, 1073–1087. [Google Scholar]
- Rauf, S. Breeding sunflower (Helianthus annuus L.) for drought tolerance. Commun. Biometry Crop Sci. 2008, 3, 29–44. [Google Scholar]
- Ozturk, F. Response of sowing time on the seed yield traits, yield and quality of safflower genotypes in southestern Anatolia of Turkey. Fresenius Environ. Bull. 2019, 28, 2141–2152. [Google Scholar]
- Bortolheiro, F.P.; Silva, M.A. Physiological response and productivity of safflower lines under water deficit and rehydration. An. Acad. Bras. Cienc. 2017, 89, 3051–3066. [Google Scholar] [CrossRef] [PubMed]
- Khan, M.; Rauf, S.; Munir, H.; Kausar, M.; Hussain, M.M.; Ashraf, E. Evaluation of sunflower (Helianthus annuus L.) single cross hybrids under heat stress condition. Arch. Agron. Soil. Sci. 2017, 63, 525–535. [Google Scholar] [CrossRef]
- Garsid, A. Sowing time effects on the development, yield and oil of flaxseed in semiarid tropical. Aust. J. Prod. Agric. 2004, 23, 607–612. [Google Scholar]
- Franchini, M.C.; Flemmer, A.C.; Lindstrom, L.I.; Carrin, M.E.; Constenla, D.; Johnson, R.C. How sowing date affects development and performance of safflower through climate variables. Crop Sci. 2021, 61, 2775–2786. [Google Scholar] [CrossRef]
- Oz, M. Relationship between sowing time, variety, and quality in safflower. J. Chem. 2016, 2016, 9835641. [Google Scholar] [CrossRef]
- Sajid, M.; Munir, H.; Khaliq AMurtaza, G. Unveiling safflower yield, oil content, water use efficiency, and membrane stability under differential irrigation regimes. Arab. J. Geosci. 2023, 16, 249. [Google Scholar] [CrossRef]
- Tonnis, B.; Wang, M.L.; Li, X.; Wang, J.; Puppala, N.; Tallury, S.; Yu, J. Peanut FAD2 genotype and growing location interactions significantly affect the level of oleic acid in seeds. J. Am. Oil Chem. Soc. 2020, 97, 1001–1010. [Google Scholar] [CrossRef]
- Barla, A.K.; Kote, G.M.; Deshmukh, D.D. Effect of sowing dates on yield and yield attributes of safflower genotypes. Int. J. Curr. Microbiol. Appl. Sci. 2020, 9, 361–366. [Google Scholar] [CrossRef]
- Golkar, P.; Rahmatabadi, N.; Maibody, S.A.M.M. Improvement of yield and yield stability in safflower using multivariate, parametric and non-parametric methods under different irrigation treatments and planting date. Acta Agric. Slov. 2020, 115, 315–327. [Google Scholar] [CrossRef]
- Hasan, M.J.; Kulsum, M.U.; Sarker, U.; Matin, M.Q.I.; Shahin, N.H.; Kabir, M.S.; Marc, R.A. Assessment of GGE, AMMI, regression, and its deviation model to identify stable rice hybrids in Bangladesh. Plants 2022, 11, 2336. [Google Scholar] [CrossRef] [PubMed]
- Cheng, M.; Fu, X.; Kang, J. Compressibility of different pore and fracture structures and its relationship with heterogeneity and minerals in low-rank coal reservoirs: An experimental study based on nuclear magnetic resonance and micro-CT. Energ. Fuel 2020, 34, 10894–10903. [Google Scholar] [CrossRef]
- Hussain, M.M.; Rauf, S.; Noor, M.; Bibi, A.; Ortiz, R.; Dahlberg, J. Evaluation of Introgressed Lines of Sunflower (Helianthus annuus L.) under Contrasting Water Treatments. Agriculture 2023, 13, 1250. [Google Scholar] [CrossRef]



| Variables | Value | Unit |
|---|---|---|
| * Sample depth | 0–30 | Cm |
| Soil type | Loam | - |
| Soil saturation | 33.0 | % |
| EC | 2.45 | dS m−1 |
| pH | 7.8 | - |
| Organic matter | 1.02 | % |
| Nitrogen | 0.27 | % |
| Phosphorus | 9.7 | mg kg−1 |
| Potassium | 167.0 | mg kg−1 |
| ** Relative humidity | 77.41 | % |
| Rainfall | 159.80 | mm |
| Max. temperature | 39.00 | °C |
| Min. temperature | 3.00 | °C |
| Av. vegetative phase photoperiod | 6.00 | h |
| Av. maturity phase photoperiod | 8.75 | h |
| Accessions | Achen Oil Content (%) | ||||
|---|---|---|---|---|---|
| Sowing Dates | |||||
| 31 October 2019 | 15 November 2019 | 30 November 2019 | 15 December 2019 | 31 December 2019 | |
| PI-250187 | 28.57 a | 29.23 a | 29.67 a | 27.54 cd | 31.51 a |
| PI-208677 | 27.00 bc | 27.63 b | 26.70 cd | 26.84 d | 29.27 bc |
| PI-199907 | 25.90 d | 27.73 b | 26.34 d | 28.95 b | 30.10 b |
| PI-198990 | 26.10 cd | 27.67 b | 27.75 bc | 29.11 b | 29.15 bc |
| PI-210834 | 26.80 cd | 28.84 a | 28.08 b | 28.14 bc | 28.65 c |
| PI-314650 | 28.00 ab | 29.70 a | 27.93 b | 30.80 a | 28.61 c |
| Linoleic acid C 18:2 (%) | |||||
| PI-250187 | 74.57 a | 69.73 ab | 72.57 ab | 70.38 a | 67.88 a |
| PI-208677 | 74.20 a | 69.85 ab | 72.48 a–c | 67.88 b | 68.76 a |
| PI-199907 | 71.03 c | 69.72 ab | 73.93 a | 67.88 b | 67.88 a |
| PI-198990 | 71.10 bc | 71.47 a | 70.60 c | 68.76 ab | 67.00 ab |
| PI-210834 | 73.03 ab | 69.41 b | 71.40 bc | 67.88 b | 67.88 a |
| PI-314650 | 70.17 c | 70.32 ab | 66.63 d | 65.17 c | 65.07 b |
| Oleic acid C 18:1 (%) | |||||
| PI-250187 | 13.37 c | 18.27 ab | 15.43 cd | 17.62 c | 20.12 b |
| PI-208677 | 13.80 c | 18.15 ab | 15.52 b-d | 20.12 b | 19.24 b |
| PI-199907 | 16.97 a | 18.28 ab | 14.07 d | 20.12 b | 20.12 b |
| PI-198990 | 16.77 ab | 16.53 b | 17.40 b | 19.24 bc | 21.00 ab |
| PI-210834 | 14.97 bc | 18.59 a | 16.60 bc | 20.12 b | 20.12 b |
| PI-314650 | 17.83 a | 17.68 ab | 21.37 a | 22.83 a | 22.93 a |
Disclaimer/Publisher’s Note: The statements, opinions and data contained in all publications are solely those of the individual author(s) and contributor(s) and not of MDPI and/or the editor(s). MDPI and/or the editor(s) disclaim responsibility for any injury to people or property resulting from any ideas, methods, instructions or products referred to in the content. |
© 2024 by the authors. Licensee MDPI, Basel, Switzerland. This article is an open access article distributed under the terms and conditions of the Creative Commons Attribution (CC BY) license (https://creativecommons.org/licenses/by/4.0/).
Share and Cite
Sajid, M.; Munir, H.; Rauf, S.; Ibtahaj, I.; Paray, B.A.; Kiełtyka-Dadasiewicz, A.; Głowacka, A.; Ahmed, M.A.A. How Climate Variability Affects Safflower (Carthamus tinctorius L.) Yield, Oil, and Fatty Acids in Response to Sowing Dates. Horticulturae 2024, 10, 539. https://doi.org/10.3390/horticulturae10060539
Sajid M, Munir H, Rauf S, Ibtahaj I, Paray BA, Kiełtyka-Dadasiewicz A, Głowacka A, Ahmed MAA. How Climate Variability Affects Safflower (Carthamus tinctorius L.) Yield, Oil, and Fatty Acids in Response to Sowing Dates. Horticulturae. 2024; 10(6):539. https://doi.org/10.3390/horticulturae10060539
Chicago/Turabian StyleSajid, Muhammad, Hassan Munir, Saeed Rauf, Iqra Ibtahaj, Bilal Ahamad Paray, Anna Kiełtyka-Dadasiewicz, Aleksandra Głowacka, and Mohamed A. A. Ahmed. 2024. "How Climate Variability Affects Safflower (Carthamus tinctorius L.) Yield, Oil, and Fatty Acids in Response to Sowing Dates" Horticulturae 10, no. 6: 539. https://doi.org/10.3390/horticulturae10060539
APA StyleSajid, M., Munir, H., Rauf, S., Ibtahaj, I., Paray, B. A., Kiełtyka-Dadasiewicz, A., Głowacka, A., & Ahmed, M. A. A. (2024). How Climate Variability Affects Safflower (Carthamus tinctorius L.) Yield, Oil, and Fatty Acids in Response to Sowing Dates. Horticulturae, 10(6), 539. https://doi.org/10.3390/horticulturae10060539

