In Vitro Shoot Regeneration and Callogenesis of Sechium compositum (Donn. Sm.) C. Jeffrey for Plant Conservation and Secondary Metabolites Product
Abstract
1. Introduction
2. Materials and Methods
2.1. Plant Material: Mother Plant Description
2.2. Experimental Phase 1: Disinfection Procedure and Culture Establishment
2.2.1. In Vitro Base Culture Medium and General Maintenance Conditions
2.2.2. In Vitro Multiplication
2.3. Experimental Phase 2: Callus Formation
2.3.1. Prevention of Oxidation in Calli
Test with Activated Charcoal
Test with Polyvinylpyrrolidone (PVP) as Antioxidant Agent
2.4. Feasibility of the Callus Formation Protocol
2.5. Statistical Analysis
3. Results
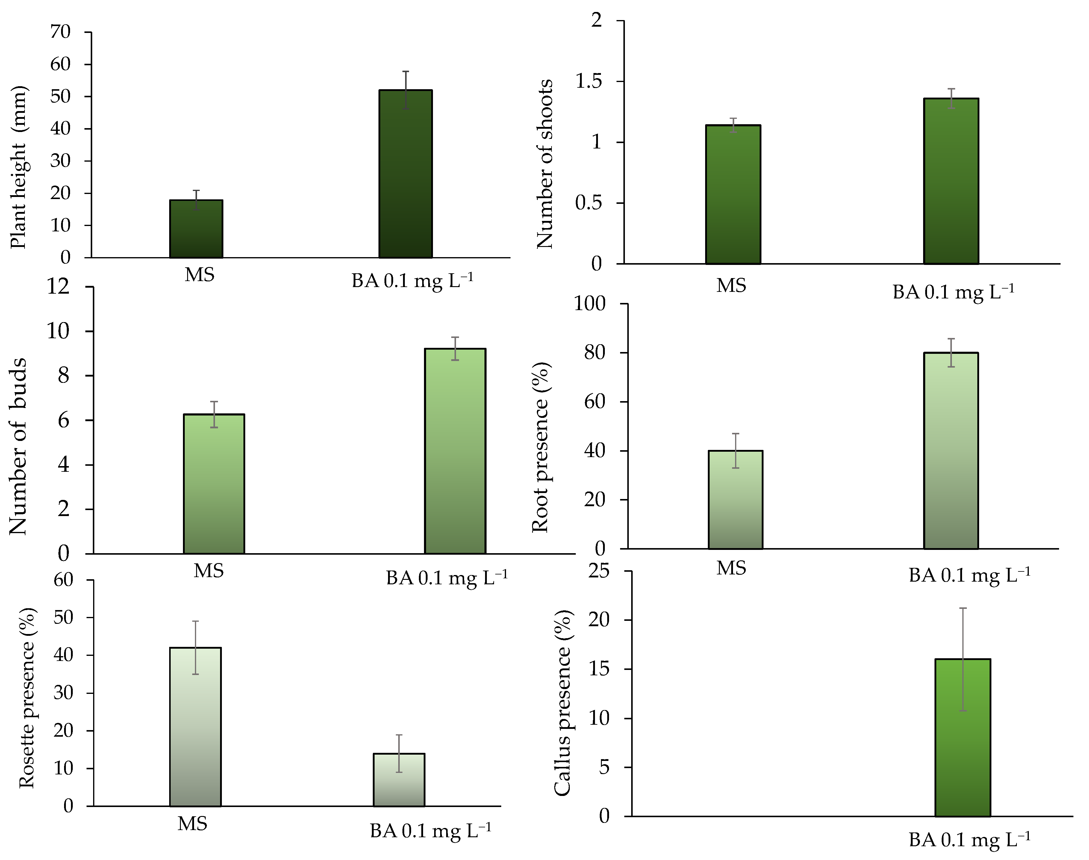
3.1. Experimental Phase 1: In Vitro Multiplication
3.2. Experimental Phase 2: Callus Formation
3.2.1. Control of Callus Oxidation
Activated Charcoal
Application of Polyvinylpyrrolidone (PVP)
3.3. Validation of the Callus Formation Protocol
4. Discussion
4.1. Experimental Phase 1: In Vitro Multiplication
4.2. Experimental Phase 2: Callus Formation Protocol
5. Conclusions
Author Contributions
Funding
Data Availability Statement
Acknowledgments
Conflicts of Interest
References
- Casas, A.; Vallejo, M. Agroecología y agrobiodiversidad. Crisis Ambient. México 2019, 103, 99–117. [Google Scholar]
- CDB Convenio de Diversidad Biológica. Available online: https://www.cbd.int/convention/text/default.shtml (accessed on 12 April 2024).
- Lobo, M.; Medina, C.I. Conservación de recursos genéticos de la agrobiodiversidad como apoyo al desarrollo de sistemas de producción sostenibles. Revista Corpoica. Cienc. Tecnol. Agropecu. 2009, 10, 33–42. [Google Scholar] [CrossRef]
- Cadena-Íñiguez, J.; Trejo-Téllez, B.I.; Morales-Flores, F.J.; Ruíz-Vera, V.M. Análisis de tratados internacionales relacionados con recursos genéticos y su congruencia con el marco jurídico mexicano. In Proceedings of the 22th International Congress on Project Engineering, Madrid, Spain, 11–13 July 2018; p. 97. [Google Scholar]
- Cadena-Iñiguez, J. El chayote (Sechium edule (Jacq.) Sw., importante recurso fitogenético mesoamericano. Agro Product. 2010, 3, 3307. [Google Scholar]
- Rodas, Y.C.R.; Galarza, M.L.A.; Hernández, M.S.; Íñiguez, J.C.; Solano, V.M.C. Gestión de un recurso fitogenético para producción de metabolitos secundarios en proyectos de diversificación económica rural. In Proceedings of the XXV Congreso Internacional de Ingeniería de Proyectos, Alcoy, Spain, 6–9 July 2021; p. 101. [Google Scholar]
- Salas, S.M.P.; Aguilar-Galván, F.; Sandoval, L.H. Plantas silvestres comestibles de la Barreta, Querétaro, México y su papel en la cultura alimentaria local. Rev. Etnobiología 2021, 19, 41–62. [Google Scholar]
- Organización de las Naciones Unidas para la Alimentación y la Agricultura. AGP-Conservación de los Recursos Fitogenéticos. Available online: https://www.fao.org/agriculture/crops/core-themes/theme/seeds-pgr/conservation/en (accessed on 19 December 2023).
- Cadena Iñiguez, J.; González Santos, R.; Cuevas Sánchez, J.; Riviello Flores, M.D.L.L.; Ruiz Posadas, L.D.M. La Conservación in situ de la Biodiversidad Agrícola, y la generación de proyectos en ejidos y comunidades de México. In Proceedings of the 22th International Congress on Project Engineering, Madrid, Spain, 7–9 July 2020. [Google Scholar]
- González-Santos, R.; Cadena-Iñiguez, J.; Morales-Flores, F.J.; Ruiz-Vera, V.M.; Pimentel-López, J.; Peña-Lomelí, A. Model for the conservation and sustainable use of plant genetic resources in México. Wulfenia J. 2015, 22, 333–353. [Google Scholar]
- Beeching, J.R.; Marmey, P.; Hughes, M.A.; Charrier, A. Evaluation of molecular approaches for determining genetic diversity in Cassava germplasm. In Proceedings of the 2nd International Scientific Meeting, The Cassava Biotechnology Network, Bogor, Indonesia, 22–26 August 1994; pp. 22–26. [Google Scholar]
- Organización de las Naciones Unidas para la Alimentación y la Agricultura. El segundo Informe Sobre el Estado de los Recursos Fitogenéticos para la Alimentación y la Agricultura en el Mundo. Available online: https://www.fao.org/documents/card/es?details=22fabd61-4b41-5bb3-b6be-d38e1516dccc/ (accessed on 23 November 2023).
- Vargas-Bermúdez, J.D. Conservación In situ de Plantas Nativas Herbáceas, Medicinales o Bioplaguicidas, Como Reservorio de Diversidad Genética y Cultural, Mariscal Sucre-Guayas. Ph.D. Thesis, Universidad Agraria Del Ecuador, Guayaquil, Ecuador, 2020. [Google Scholar]
- Barrera-Guzmán, L.A.; Cadena-Iñiguez, J.; Legaria-Solano, J.P.; Sahagún-Castellanos, J. Phylogenetics of the genus Sechium P. Brown: A review. Span. J. Agric. Res. 2021, 19, e07R01. [Google Scholar] [CrossRef]
- Avendaño-Arrazate, C.H.; Cadena Iñiguez, J.; Arévalo Galarza, M.L.C.; Campos Rojas, E.; Cisneros Solano, V.M.; Aguirre Medina, J.F. Las Variedades del Chayote Mexicano, Recurso Ancestral con Potencial de Comercialización; No. Libro 635.62 A8; Grupo Interdisciplinario de Investigación en Sechium edule en México (GISeM): Morelia, Mexico, 2010. [Google Scholar]
- Cadena-Iñiguez, J.; Arévalo, G.M. Volumen 2: Chayote. In GISeM Rescatando y Aprovechando los Recursos Fitogenéticos de Mesoamérica; Grupo Interdisciplinario de Investigación en Sechium edule en México, Colegio de Postgraduados: Texcoco, Mexico, 2011; 24p. [Google Scholar]
- Iñiguez-Luna, M.I.; Cadena-Iñiguez, J.; Soto-Hernández, R.M.; Morales-Flores, F.J.; Cortes-Cruz, M.; Watanabe, K.N. Natural bioactive compounds of Sechium spp. for therapeutic and nutraceutical supplements. Front. Plant Sci. 2021, 12, 772389. [Google Scholar] [CrossRef]
- Iñiguez-Luna, M.I.; Cadena-Iñiguez, J.; Soto-Hernández, R.M.; Morales-Flores, F.J.; Cortes-Cruz, M.; Watanabe, K.N.; Machida-Hirano, R.; Cadena-Zamudio, J.D. Bioprospecting of Sechium spp. varieties for the selection of characters with pharmacological activity. Sci. Rep. 2021, 11, 6185. [Google Scholar] [CrossRef]
- Rivera-Ponce, E.A.; Cadena-Iñiguez, J.; Cisneros-Solano, V.M.; Soto-Hernández, R.M.; San Miguel-Chávez, R.; García-Osorio, C.; Arévalo-Galarza, M.D.L. Composición Fitoquímica y uso Potencial del Jugo de Sechium compositum (Donn. Sm.) C. Jeffrey; Agro-Divulgación: Texcoco, Mexico, 2022; Volume 2. [Google Scholar]
- Aguiñiga Sánchez, I. Potencial Antileucémico In Vitro de Extractos de Cuatro Genotipos de Sechium spp. (Cucurbitaceae). Master’s Thesis, Colegio de Postgraduados, Montecillo, México, 2013. [Google Scholar]
- Gordillo Salinas, L.S. Actividad Antifúngica de Sechium compositum Contra Botrytis Cinerea y Colletotrichum Gloeosporioides en Condiciones In Vitro. Master’s Thesis, Colegio de Postgraduados, Montecillo, Meéxico, 2019. [Google Scholar]
- Cruz-Martínez, V.; Castellanos-Hernández, O.A.; Acevedo-Hernández, G.J.; Torres-Morán, M.I.; Gutiérrez-Lomelí, M.; Ruvalcaba-Ruiz, D.; Zurita, F.; Rodríguez-Sahagún, A. Genetic fidelity assessment in plants of Sechium edule regenerated via organogenesis. S. Afr. J. Bot. 2017, 112, 118–122. [Google Scholar] [CrossRef]
- Castillo-Martínez, C.; Cisneros-Solano, V.M.; Hernández-Marini, R.; Cadena-Iñiguez, J.; Avendaño-Arrazate, C.H. Conservación y Multiplicación de una Colección de Sechium spp.; Colegio de Postgraduados y Grupo Interdisciplinario de Investigación Sechium edule en México A.C.: Montecillo, Mexico, 2013. [Google Scholar]
- Cruz-Martínez, V.O.; Acevedo-Hernández, G.J.; Castellanos-Hernández, O.A.; Rodríguez-Sahagún, A. Regeneración de Sechium edule mediante organogénesis y uso de marcadores ramp para evaluar la fidelidad genética. Biotecnol. Sustentabilidad 2016, 1, 96. [Google Scholar]
- Wei, Y.; Li, Z.; Lv, L.; Yang, Q.; Cheng, Z.; Zhang, J.; Zhang, W.; Luan, Y.; Wu, A.; Li, W.; et al. Overexpression of MbICE3 increased the tolerance to cold and drought in lettuce (Lactuca sativa L.). In Vitro Cell. Dev. Biol.-Plant 2023, 59, 767–782. [Google Scholar] [CrossRef]
- Romo-Paz, F.d.J.; Orozco-Flores, J.D.; Delgado-Aceves, L.; Zamora-Natera, J.F.; Salcedo-Pérez, E.; Vargas-Ponce, O.; Portillo, L. Micropropagation of Physalis angulata L. and P. chenopodifolia Lam. (Solanaceae) via indirect organogenesis. In Vitro Cell. Dev. Biol.-Plant 2023, 59, 497–506. [Google Scholar] [CrossRef]
- Alihodzic, A.; Davis, J.; Roberts, C.; Henrie, S.; Bolyard, M. Production of secondary metabolites in regenerated Southern wormwood (Artemisia abrotanum L.) under various experimental conditions. In Vitro Cell. Dev. Biol.-Plant 2023, 59, 847–852. [Google Scholar] [CrossRef]
- Behera, S.; Kar, S.K.; Monalisa, K.; Mohapatra, S.; Meher, R.K.; Barik, D.P.; Panda, P.C.; Naik, P.K.; Naik, S.K. Assessment of genetic, biochemical fidelity, and therapeutic activity of in vitro regenerated Hedychium coronarium. In Vitro Cell. Dev. Biol.-Plant 2023, 59, 602–620. [Google Scholar] [CrossRef]
- Zhang, W.; Dai, W. In vitro plant regeneration of ‘Prelude’ red raspberry (Rubus idaeus L.). In Vitro Cell. Dev. Biol.-Plant 2023, 59, 461–466. [Google Scholar] [CrossRef]
- Gaspar, T.; Kevers, C.; Penel, C.; Greppin, H.; Reid, D.M.; Thorpe, T.A. Plant hormones and plant growth regulators in plant tissue culture. In Vitro Cell. Dev. Biol.-Plant 1996, 32, 272–289. [Google Scholar] [CrossRef]
- Kaur, K.; Dolker, D.; Behera, S.; Pati, P.K. Critical factors influencing in vitro propagation and modulation of important secondary metabolites in Withania somnifera (L.) dunal. Plant Cell Tissue Organ Cult. PCTOC 2022, 149, 41–60. [Google Scholar] [CrossRef] [PubMed]
- Alvarenga, S.; Morera, J. In vitro micropropagation of the chayote (Sechium edule Jacq. Sw.). Tecnol. Marcha 1992, 11, 31–42. [Google Scholar]
- Abdelnour, A.; Ramírez, C.; Engelmann, F. Micropropagación de chayote (Sechium edule Jacq. SW.) a partir de brotes vegetativos. Agron. Mesoam. 2002, 13, 147–151. [Google Scholar] [CrossRef]
- Abdelnour-Esquivel, A.; Bermudez, L.C.; Rivera, C.; Alvarenga-Venutolo, S. Cultivo de meristemas, termo y quimioterapia en chayote (Sechium edule Jacq. Sw.) para la erradicación del virus del mosaico del chayote (ChMV). In Manejo Integrado de Plagas y Agroecología; CATIE: Turrialba, Costa Rica, 2006; Volume 77. [Google Scholar]
- Del Ángel, O.; Vela, G.; Rodríguez, A.; Gómez, M.; García, H. Desinfección y regeneración eficiente de chayote in vitro (Sechium edule Jacq. Sw.). In Ciencias Agropecuarias Handbook T-II: Congreso Interdisciplinario de Cuerpos Académicos, ECORFAN; 2014; p. 23. Available online: https://www.coursehero.com/file/219916369/Dialnet-CienciasAgropecuariasHandbookTII-563076pdf/ (accessed on 12 April 2024).
- Mora, D.F.; Esquivel, A.A.; Venutolo, S.A. Micropropagación de fenotipos seleccionados de chayote. Tecnol. Marcha 1999, 13, 9–15. [Google Scholar]
- Abdelnour-Esquivel, A.; Brenes-Madriz, J.; Alvarenga-Venutolo, S. Guía Técnica Semilla de Chayote. 2015. Available online: https://repositoriotec.tec.ac.cr/bitstream/handle/2238/6768/gu%C3%ADa-tecnica-semillachayote-14%20SET-15.pdf?sequence=1&isAllowed=y (accessed on 12 April 2024).
- García, J.G.; Alvarado, E.S.; Bolaños, J.A. Efecto del AIA y el AIB sobre el enraizamiento in vitro de brotes de Sechium edule (Jacq.) Sw. Biotecnol. Veg. 2015, 15, 3–7. [Google Scholar]
- Soto-Contreras, A.; Núñez-Pastrana, R.; Rodríguez-Deméneghi, M.V.; Aguilar-Rivera, N.; Galindo-Tovar, M.E.; Ramírez-Mosqueda, M.A. Indirect organogenesis of Sechium edule (Jacq.) Swartz. In Vitro Cell. Dev. Biol.-Plant 2022, 58, 903–910. [Google Scholar] [CrossRef]
- Da Silva, R.F. Sistema de regeneración in vitro por embriogénesis somática indirecta en variedades venezolanas de arroz (Oryza sativa L.). Rev. Científica UDO Agrícola 2012, 12, 55–68. [Google Scholar]
- Riviello-Cogco, E.; Robledo-Paz, A.; Gutiérrez-Espinosa, M.A.; Suárez-Espinosa, J.; Mascorro-Gallardo, J.O. Maduración y germinación de embriones somáticos de Coffea arabica cv. colombia. Rev. Fitotec. Mex. 2021, 44, 161. [Google Scholar] [CrossRef]
- Classic Murashige, T.; Skoog, F. A revised medium for rapid growth and bioassays with tobacco tissue cultures. Physiol. Plant 1962, 15, 473–497. [Google Scholar] [CrossRef]
- Cadena Iñiguez, J.; Soto Hernández, M.; Arévalo Galarza, M.; Avendaño Arrazate, C.H.; Aguirre Medina, J.F.; Ruiz Posadas, L.D.M. Caracterización bioquímica de variedades domesticadas de chayote Sechium edule (Jacq.) Sw. comparadas con parientes silvestres. Rev. Chapingo Ser. Hortic. 2011, 17, 45–55. [Google Scholar] [CrossRef]
- Ramos-Parra, M.; Ulín-Montejo, F.; Aguilar-Nieto, J.A.; Solis-Trapala, I.L.; Fierro-Carbajal, J.B. Modelación y estimación del volumen de tejido vegetal in vitro de Strombocactus disciformis basada en mediciones no intrusivas. Rev. Chapingo. Ser. Hortic. 2010, 26, 195–203. [Google Scholar]
- Dwass, C. Some k-sample rank-order test. Contributions to probability and Statistics. In Contributions to Probability and Statistics; Stanford University Press: Redwood City, CA, USA, 1960; pp. 198–202. [Google Scholar]
- Steel, R. A rank sum test for comparing all pairs of treatments. Technometrics 1960, 2, 197–207. [Google Scholar] [CrossRef]
- Critchlow D y Fligner, M. On distribution-free multiple comparisons in the one-way analysis of variance. Commun. Statist.-Theory Meth. 1991, 20, 127–139. [Google Scholar]
- Castillo-Martínez, C.R.; Gutiérrez-Espinosa, M.; Buenrostro-Nava, M.T.; Cetina Alcalá, V.M.; Cadena Iñiguez, J. Regeneración de plantas de Paulownia elongata Steud: Por organogénesis directa. Rev. Mex. Cienc. For. 2012, 3, 41–49. [Google Scholar]
- Gil, A.I.; Ariza, C.A.; Castillo, L.M.; Salgado, L.E.; Banda Sánchez, L.; Vanegas, L.E. Induction of organogenesis in vitro with 6-benzylaminopurine in Cattleya trianae Linden & Rchb. f. Rev. UDCA Actual. Divulg. Científica 2019, 22. [Google Scholar] [CrossRef]
- Mora-Cruz, Y.; López-Peralta MC, G.; Hernández-Meneses, E.; Cruz-Huerta, N. Regeneración in vitro de plantas de prosthechea vitellina (lindley) we higging por organogenesis directa. Rev. Fitotec. Mex. 2023, 46, 33. [Google Scholar]
- Larson, C.G.; Hasbún, R.; Jofré, M.P.; Sánchez-Olate, M.; Ríos, D. Efecto del genotipo y fuente de citoquinina en la etapa de iniciación de cultivo in vitro de tejido adulto de Castanea sativa Mill. Gayana. Botánica 2017, 74, 30–40. [Google Scholar] [CrossRef][Green Version]
- Alcantara-Cortes, J.S.; Acero Godoy, J.; Alcántara Cortés, J.D.; Sánchez Mora, R.M. Principales reguladores hormonales y sus interacciones en el crecimiento vegetal. Nova 2019, 17, 109–129. [Google Scholar] [CrossRef]
- Zúñiga Ortega, J.A. Aplicación de Reguladores de Crecimiento para Germinación In Vitro de Embriones Cigóticos de Quijo (Passiflora popenovvi Killip) bajo dos Temperaturas. Bachelor’s Thesis, UCE, Quito, Ecuador, 2023. [Google Scholar]
- Laguna-Ibarra, Y.; Cueva-López, J.; Tamariz-Angeles, C.; Olivera-Gonzales, P. Efecto de los reguladores de crecimiento vegetal en la multiplicación y enraizamiento in vitro de senecio calvus (asteraceae), planta medicinal altoandina, endémica del Perú. Rev. Investig. Altoandinas 2019, 21, 111–121. [Google Scholar] [CrossRef]
- Thasni, A.; Sarada, S.; Swapna, A. In vitro bud proliferation response in ivy gourd (Coccinia grandis (L.) Voigt.) cv. Sulabha nodal explants with cytokinin levels. J. Trop. Agric. 2022, 60. [Google Scholar]
- Chuengpanya, R.; Piyasangcharoen, T.; Thongteab, N.; Muangkroot, A.; Jenjittikul, T.; Chuenboonngarm, N. Effect of N6-benzyladenine on in vitro shoot multiplication of Iris collettii Hook. f. and I. domestica (L.) Goldblatt & Mabb. In Proceedings of the IX International Scientific and Practical Conference on Biotechnology as an Instrument for Plant Biodiversity Conservation, Bangkok, Thailand, 12–13 July 2021; Volume 1339, pp. 257–264. [Google Scholar]
- Thilagam, D.; Kumudini, B.S.; Manohar, S.H. Regeneration of Sechium edule (jacq) sw. From sterile in vitro nodal explants and assessment of clonalfidelity using issr and rapd markers. Int. J. Agric. 2016, 6, 285–292. [Google Scholar]
- Meier-Dinkel, A.; Becker, B.; Duckstein, D. Micropropagation and ex vitro rooting of several clones of late-flushing Quercus robur L. Ann. Des Sci. For. 1993, 50, 319–322. [Google Scholar] [CrossRef]
- Mao, J.; Niu, C.; Li, K.; Mobeen Tahir, M.; Khan, A.; Wang, H.; Li, S.; Liang, Y.; Li, G.; Yang, Z.; et al. Exogenous 6-benzyladenine application affects root morphology by altering hormone status and gene expression of developing lateral roots in Malus hupehensis. Plant Biol. 2020, 22, 1150–1159. [Google Scholar] [CrossRef]
- Dinçer, D. Determination of optimal plant growth regulators for breaking seed dormancy and micropropagation of Sorbus aucuparia L. Balt. For. 2023, 29, id679. [Google Scholar] [CrossRef]
- Hussain, A.; Ahmed Qarshi, I.; Nazir, H.; Ullah, I. Plant tissue culture: Current status and opportunities. Recent Adv. Plant Vitr. Cult. 2012, 6, 1–28. [Google Scholar] [CrossRef]
- Chen, X.; Ye, C.; Yang, H.; Ji, W.; Xu, Z.; Ye, S.; Wang, H.; Jin, S.; Yu, C.; Zhu, X. Callogenesis and plant regeneration in peony (Paeonia × suffruticosa) using flower petal explants. Horticulturae 2022, 8, 357. [Google Scholar] [CrossRef]
- Hernández-Amasifuen, A.D.; Cortez-Lázaro, A.A.; Argüelles-Curaca, A.; Díaz-Pillasca, H.B. Callogénesis in vitro de durazno (Prunus persica L.) var. Huayco rojo a partir de explantes foliares. Cienc. Tecnol. Agropecu. 2022, 23, e2032. [Google Scholar] [CrossRef]
- Sidek, N.; Nulit, R.; Kong, Y.C.; Yien, C.Y.S.; Sekeli, R.; EL-Barghathi, M.F. Callogenesis and somatic embryogenesis of Oryza sativa L.(cv. MARDI Siraj 297) under the influence of 2,4-dichlorophenoxyacetic acid and kinetin. AIMS Agric. Food 2022. [Google Scholar] [CrossRef]
- Zayova, E.; Nedev, T.; Stancheva, I. Callus via shoot organogenesis and plant regeneration of Stevia rebaudiana Bertoni. Proc. Bulg. Acad. Sci. 2022, 75, 620–628. [Google Scholar] [CrossRef]
- Moideen, R.S.; Prabha, L.A. In-Vitro Plant Regeneration of Luffa acutangular Roxb. Var Amara Lin.: An Important Medicinal Plant. Int. J. Sci. Res. 2013, 4, 23197064. [Google Scholar]
- Phillips, G.C.; Garda, M. Plant tissue culture media and practices: An overview. In Vitro Cell. Dev. Biol.-Plant 2019, 55, 242–257. [Google Scholar] [CrossRef]
- Salgado, J.; y Peñaranda, L. Modificaciones en medios de cultivo aplicadas en conservación y producción in-vitro de orquídeas. Rev. Colomb. Investig. Agroindustriales 2018, 6, 17–28. [Google Scholar]
- Verde DD, S.V.; de Souza Mendes, M.I.; da Silva Souza, A.; Pinto, C.R.; Nobre LV, C.; dos Santos Melo, J.E.; da Silva Ledo, C.A. Ácido ascórbico e polivinilpirrolidona no cultivo in vitro de Dioscorea spp. Res. Soc. Dev. 2021, 10, e10510917812. [Google Scholar] [CrossRef]
- Bouzroud, S.; El Maaiden, E.; Sobeh, M.; Devkota, K.P.; Boukcim, H.; Kouisni, L.; El Kharrassi, Y. Micropropagation of Opuntia and Other Cacti Species Through Axillary Shoot Proliferation: A Comprehensive Review. Front. Plant Sci. 2022, 13, 926653. [Google Scholar] [CrossRef]
- May, A.V.; Hau, J.A.; Sheseña, I.G.; Dzib, S.L.; Figueroa, J.L.; Zapata, E.E.; Benítez, J.E.; Galeazzis, A.P. 6-benzylaminopurine and 2,4-dichlorophenoxyacetic acid effect on callus genesis of Brosimum alicastrum. Agrociencia 2021, 55, 133–144. [Google Scholar]
- Domínguez-Perales, L.A.; Domínguez-Álvarez, J.L.; Cruz-Izquierdo, S.; Santacruz-Varela, A.; Barrientos-Priego, A.; Padilla-Ramírez, J.S.; Gutiérrez-Espinosa, M.A. Propagación in vitro de selecciones de guayabo (Psidium guajava L.). Rev. Fitotec. Mex. 2016, 39, 285–295. [Google Scholar] [CrossRef]
- Barrales-Cureño, H.J.; Soto-Hernández, R.M.; Ramos-Valdivia, A.C.; Trejo-Téllez, L.I.; Martínez-Vázquez, M.; Ramírez-Guzmán, M.E.; San Miguel-Chávez, R.; Luna-Palencia, G.R.; López-Upton, J. Extracción y cuantificación de taxoides por HPLC en hojas in situ y en callos inducidos in vitro de Taxus globosa Schlecht. Span. J. Rural. Dev. 2011, 2, 103–114. [Google Scholar]








| Level | Callus Formation Scale (%) | Description |
|---|---|---|
| 1 | 0 | There is no tissue response. |
| 2 | 1–25 | The tissue swells (turgor) and begins to form a light-yellow callus at the ends. |
| 3 | 26–50 | The ends surrounding tissue areas show a greater amount of white callus. |
| 4 | 52–75 | A green tissue portion is observed at the top. The rest of the callus is white. |
| 5 | 76–100 | The callus has completely covered the tissue, and there is an increase in the white mass, with a slight brown tone in small areas. |
| Callus Development (%) | Description |
|---|---|
| 0 | Brown callus and yellow medium are observed. |
| 25 | The callus maintains a greater number of brown areas, and the mass does not increase. The medium looks slightly yellow. |
| 50 | A greater percentage of potentially active callus is observed, and the medium turns a light yellow. |
| 75 | A considerable decrease in brown areas is observed, along with a greater number of active areas in the callus and a transparent medium. |
| 100 | The callus presents mostly or all active zones, its mass increases, and root formation is observed. The medium is transparent. |
| Treatment (Growth Regulator) | Concentration (mg L−1) | Means Height Shoot (mm) | Mean Number of Buds | Mean Number of Shoots |
|---|---|---|---|---|
| MS Control | 0 | 20.25 ± 6.10 ab | 10.3 ± 1.4 a | 1.0 ± 0 bc |
| BA | 0.1 | 10.02 ± 0.88 ab | 16.4 ± 1 a | 2.1 ± 0.3 a |
| 0.2 | 31.76 ± 9.85 ab | 15.0 ± 1.9 a | 1.7 ± 0.2 ab | |
| 0.4 | 9.78 ± 1.31 ab | 11.7 ± 1.4 a | 1.6 ± 0.2 ab | |
| 0.6 | 28.76 ± 8.27 ab | 7.4 ± 1.6 ab | 1.4 ± 0.2 ab | |
| 0.8 | 8.56 ± 3.62 ab | 3.9 ± 1.9 ab | 0.7 ± 0.2 bc | |
| 1.0 | 64.46 ± 7.86 a | 12.4 ± 0.5 a | 2.0 ± 0.2 a | |
| 1.2 | 11.46 ± 2.92 ab | 4.1 ± 1.1 ab | 1.0 ± 0 bc | |
| TDZ | 0.1 | 37.25 ± 7.52 a | 12.2 ± 2.5 a | 2.1 ± 0.4 a |
| 0.2 | 30.32 ± 7.84 ab | 10.0 ± 3.1 ab | 1.4 ± 0.3 ab | |
| 0.4 | 16.46 ab | 5.6 ± 1.8 ab | 1.0 ± 0.3 ab | |
| 0.6 | 2.56 ± 0.7 c | 0.8 ± 0.2 bc | 0.7 ± 0.2 bc | |
| 0.8 | 3.25 ± 0.91 b | 0.9 ± 0.3 bc | 0.6 ± 0.2 bc | |
| 1.0 | 5.63 ± 1.76 b | 1.7 ± 0.6 bc | 1.1 ± 0.3 ab | |
| 1.2 | 2.13 ± 0.71 c | 0.5 ± 0.2 bc | 0.5 ± 0.2 bc |
| Explant | Growth Regulator | Concentration (mg L−1) | Mean Number of Callus Formation of Leaf and Stem Explants | Weight (g) | Ø 1 Mean Weight of Callus from Leaf and Stem Explants (mm) | Ø 2 Mean Weight of Callus from Leaf and Stem Explants (mm). | Mean Callus Height of Leaf and Stem Explants (mm) | Mean Callus Volume of Leaf and Stem Explants | Mean Percentage of Root Formed from Callus of Leaf and Stem Explants (%) |
|---|---|---|---|---|---|---|---|---|---|
| Stem | MS | --- | 1.70 ± 0.15 a | 0.15 ± 0.029 c | 7.15 ± 0.44 de | 5.70 ± 0.51 cd | 4.75 ± 0.51 c | 14.06 ± 2.75 ce | 50.0 ± 16.7 abc |
| 2,4-D | 0.5 | 4.33 ± 0.11 b | 1.16 ± 0.068 a | 16.26 ± 0.30 a | 13.48 ± 0.51 a | 11.73 ± 0.31 a | 149.11 ± 7.31 a | 100.0 ± 0.0 a | |
| 1.0 | 4.72 ± 0.11 ab | 1.32 ± 0.064 a | 16.51 ± 0.30 a | 12.95 ± 0.31 a | 11.69 ± 0.28 a | 152.05 ± 7.66 a | 100.0 ± 0.0 a | ||
| 2.0 | 4.89 ± 0.08 a | 1.16 ± 0.048 a | 16.08 ± 0.40 a | 12.55 ± 0.25 a | 11.12 ± 0.26 a | 138.28 ± 8.14 a | 100.0 ± 0.0 a | ||
| TDZ | 0.5 | 2.89 ± 0.08 c | 0.53 ± 0.039 b | 13.07 ± 0.43 b | 10.68 ± 0.40 b | 9.64 ± 0.31 b | 80.82 ± 5.68 b | 0.0 ± 0.0 ce | |
| 1.0 | 3.06 ± 0.06 c | 0.63 ± 0.026 b | 13.79 ± 0.30 b | 10.08 ± 0.28 b | 10.54 ± 0.37 b | 96.43 ± 6.69 b | 0.0 ± 0.0 ce | ||
| 2.0 | 3.22 ± 0.10 c | 0.60 ± 0.026 b | 13.12 ± 0.36 b | 10.40 ± 0.41 b | 9.41 ± 0.31 b | 79.01 ± 5.61 b | 0.0 ± 0.0 ce | ||
| Leaf | MS | --- | 1.00 ± 0.00 e | 0.01 ± 0.001 d | 5.72 ± 0.05 e | 4.61 ± 0.39 d | 0.92 ± 0.11 d | 2.45 ± 0.17 f | 0.0 ± 0.0 ce |
| 2,4-D | 0.5 | 2.83 ± 0.19 cd | 0.46 ± 0.068 bc | 11.48 ± 0.48 bc | 9.04 ± 0.51 b | 8.12 ± 0.55 bc | 56.37 ± 7.05 bcd | 88.90 ± 7.6 ab | |
| 1.0 | 2.67 ± 0.27 cde | 0.52 ± 0.098 bc | 12.07 ± 0.96 b | 8.93 ± 0.74 b | 6.78 ± 0.78 bc | 63.73 ± 11.11 bc | 55.6 ± 12.1 ab | ||
| 2.0 | 2.72 ± 0.29 cde | 0.61 ± 0.128 bc | 11.61 ± 1.00 b | 8.81 ± 0.91 b | 7.52 ± 1.02 bc | 70.47 ± 16.39 bc | 44.40 ± 12.1 bcd | ||
| TDZ | 0.5 | 2.00 ± 0.08 e | 0.23 ± 0.024 c | 10.17 ± 0.51 cd | 7.83 ± 0.40 c | 7.21 ± 0.37 c | 38.82 ± 3.93 cde | 0.0 ± 0.0 ce | |
| 1.0 | 2.00 ± 0.11 de | 0.24 ± 0.027 c | 9.77 ± 0.59 cd | 6.99 ± 0.39 c | 6.42 ± 0.47 c | 33.58 ± 4.65 cde | 0.0 ± 0.0 ce | ||
| 2.0 | 2.28 ± 0.14 de | 0.30 ± 0.032 c | 11.39 ± 0.54 c | 8.06 ± 0.29 c | 6.64 ± 0.45 c | 45.15 ± 5.73 cd | 0.0 ± 0.0 ce |
Disclaimer/Publisher’s Note: The statements, opinions and data contained in all publications are solely those of the individual author(s) and contributor(s) and not of MDPI and/or the editor(s). MDPI and/or the editor(s) disclaim responsibility for any injury to people or property resulting from any ideas, methods, instructions or products referred to in the content. |
© 2024 by the authors. Licensee MDPI, Basel, Switzerland. This article is an open access article distributed under the terms and conditions of the Creative Commons Attribution (CC BY) license (https://creativecommons.org/licenses/by/4.0/).
Share and Cite
de la Luz, R.-F.M.; Román, C.-M.C.; Jorge, C.-I.; del Mar, R.-P.L.; Marcos, S.-H.R.; Lourdes, A.-G.M.d.; Israel, C.-J. In Vitro Shoot Regeneration and Callogenesis of Sechium compositum (Donn. Sm.) C. Jeffrey for Plant Conservation and Secondary Metabolites Product. Horticulturae 2024, 10, 537. https://doi.org/10.3390/horticulturae10060537
de la Luz R-FM, Román C-MC, Jorge C-I, del Mar R-PL, Marcos S-HR, Lourdes A-GMd, Israel C-J. In Vitro Shoot Regeneration and Callogenesis of Sechium compositum (Donn. Sm.) C. Jeffrey for Plant Conservation and Secondary Metabolites Product. Horticulturae. 2024; 10(6):537. https://doi.org/10.3390/horticulturae10060537
Chicago/Turabian Stylede la Luz, Riviello-Flores María, Castillo-Martínez Carlos Román, Cadena-Iñiguez Jorge, Ruiz-Posadas Lucero del Mar, Soto-Hernández Ramón Marcos, Arévalo-Galarza Ma. de Lourdes, and Castillo-Juárez Israel. 2024. "In Vitro Shoot Regeneration and Callogenesis of Sechium compositum (Donn. Sm.) C. Jeffrey for Plant Conservation and Secondary Metabolites Product" Horticulturae 10, no. 6: 537. https://doi.org/10.3390/horticulturae10060537
APA Stylede la Luz, R.-F. M., Román, C.-M. C., Jorge, C.-I., del Mar, R.-P. L., Marcos, S.-H. R., Lourdes, A.-G. M. d., & Israel, C.-J. (2024). In Vitro Shoot Regeneration and Callogenesis of Sechium compositum (Donn. Sm.) C. Jeffrey for Plant Conservation and Secondary Metabolites Product. Horticulturae, 10(6), 537. https://doi.org/10.3390/horticulturae10060537

