β-Aminobutyric Acid Effectively Postpones Senescence of Strawberry Fruit by Regulating Metabolism of NO, H2S, Ascorbic Acid, and ABA
Abstract
1. Introduction
2. Materialsand Methods
2.1. Fruit Pretreatment
2.2. Natural Decay Evaluation
2.3. Quantificationsof MDA, Chlorophyll, Ion Leakage, and Ethylene
2.4. Quantifications of Chlorophyllase, PG, PME, ACS, and ACO Activities
2.5. Quantifications of H2S Metabolism-Related Enzyme Activities and Intermediary Metabolite Contents
2.6. Quantifications of NO Metabolism-Related Enzyme Activities and Intermediary Metabolite Contents
2.7. Quantifications of AsA Content, APX, MDR, and DDR Activity
2.8. Quantifications of ABA Content, Abscisic Acid Aldehyde Oxidase (AAO), and 9-Cis-Epoxycarotenoid Dioxygenase (NCED) Activity
2.9. Quantifications of Gene Expression
2.10. Statistical Analysis
3. Results
3.1. Influence of BABA on Natural Rot Index, Ion Leakageof Strawberry Pericarp, Concentrations of MDA and Chlorophyll, and Chlorophyllase Activity
3.2. Influence of BABA on Activities and Gene Expressions of PG, PME, ACS, and ACO, and Ethylene Concentration in Strawberry Fruit
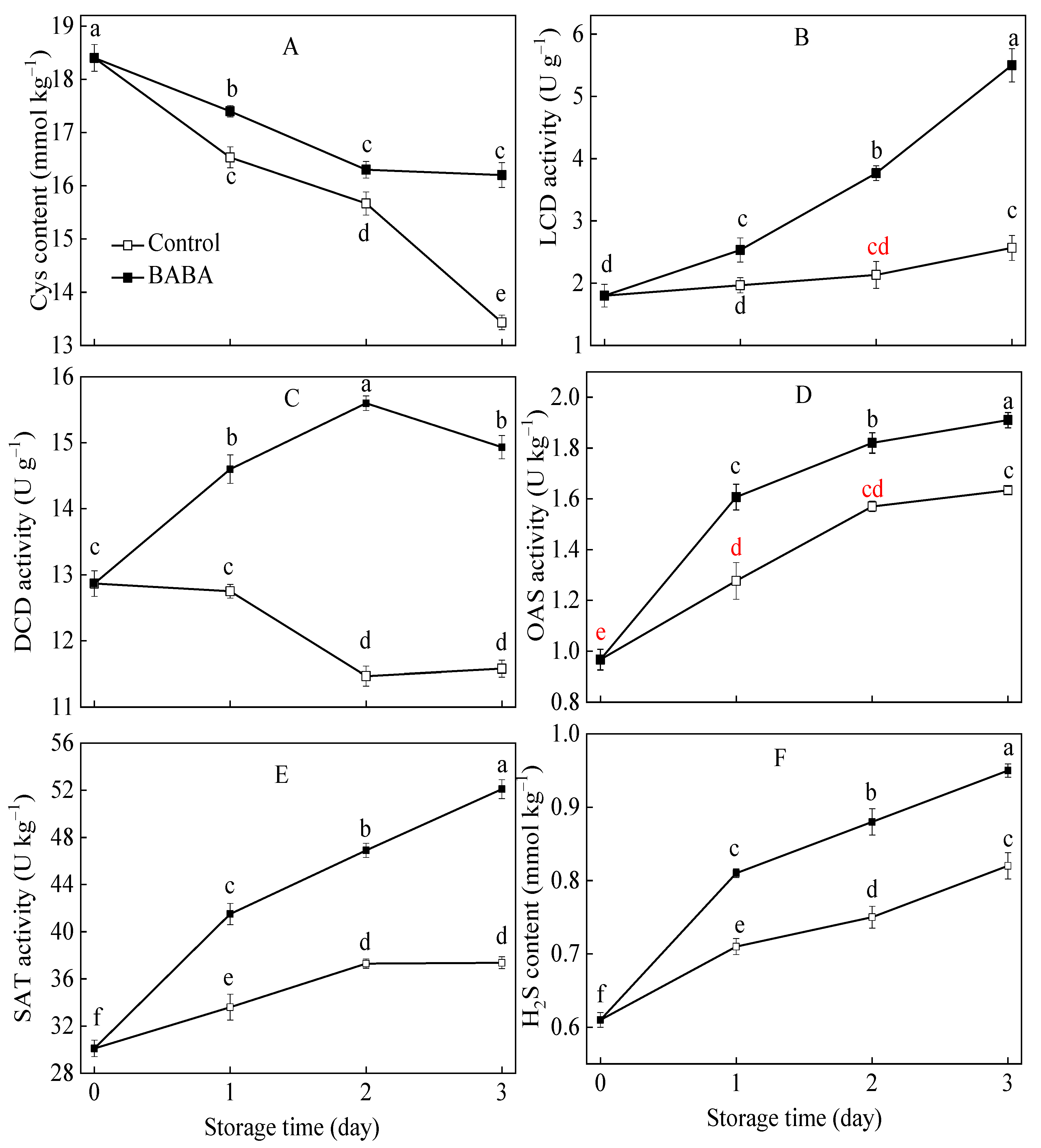
3.3. Influence of BABA on Parameters Associated with Hydrogen Sulfide Metabolism in Strawberry Fruit
3.4. Influence of BABA onParameters Associated with Nitric Oxide Metabolism in Strawberry Fruit
3.5. Influence of BABA onParameters Associated with AsA Metabolism in Strawberry Fruit
3.6. Influence of BABA onParameters Associated with ABA Metabolism in Strawberry Fruit
4. Discussion
5. Conclusions
Supplementary Materials
Author Contributions
Funding
Data Availability Statement
Conflicts of Interest
References
- Xu, X.; Ma, X.; Lei, H.; Yin, L.; Shi, X.; Song, H. MicroRNAs play an important role in the regulation of strawberry fruit senescence in low temperature. Postharvest Biol. Technol. 2015, 108, 39–47. [Google Scholar] [CrossRef]
- Li, D.; Zhang, X.; Li, L.; Aghdam, M.S.; Wei, X.; Liu, J.; Xu, Y.; Luo, Z. Elevated CO2 delayed the chlorophyll degradation and anthocyanin accumulation in postharvest strawberry fruit. Food Chem. 2019, 285, 163–170. [Google Scholar] [CrossRef]
- Huang, D.; Wang, Y.; Zhang, D.; Dong, Y.; Meng, Q.; Zhu, S.; Zhang, L. Strigolactone maintains strawberry quality by regulating phenylpropanoid, NO, and H2S metabolism during storage. Postharvest Biol. Technol. 2021, 178, 111546. [Google Scholar] [CrossRef]
- Zhu, S.; Zhou, J. Effect of nitric oxide on ethylene production in strawberry fruit during storage. Food Chem. 2007, 100, 1517–1522. [Google Scholar] [CrossRef]
- Konishi, M.; Yanagisawa, S. Signaling cross talk between ethylene and other molecules. Plant Biotechnol. 2005, 22, 401–407. [Google Scholar] [CrossRef]
- Zhang, J.; Jiang, H.; Li, Y.; Wang, S.; Wang, B.; Xiao, J.; Cao, Y. Transcriptomic and physiological analysis reveals the possiblemechanism of ultrasound inhibiting strawberry(Fragaria × ananassa Duch.) postharvest softening. Front. Nutr. 2022, 9, 1066043. [Google Scholar] [CrossRef] [PubMed]
- Li, B.J.; Grierson, D.; Shi, Y.; Chen, K.S. Roles of abscisic acid in regulating ripening and quality of strawberry, a modelnon-climacteric fruit. Hortic. Res. 2022, 9, uhac089. [Google Scholar] [CrossRef] [PubMed]
- Chen, R.; Wu, Y.; Wei, X.; Huang, Z.; Mao, L. Ethylene promotes ABA biosynthesis by repressing the expression of miR161 in postharvest strawberry fruit. Postharvest Biol. Technol. 2023, 199, 112302. [Google Scholar] [CrossRef]
- Khan, T.A.; Yusuf, M.; Fariduddin, Q. Hydrogen peroxide in regulation of plant metabolism: Signalling and its effect under abiotic stress. Photosynthetica 2018, 56, 1237–1248. [Google Scholar] [CrossRef]
- Smirnoff, N.; Arnaud, D. Hydrogen peroxide metabolism and functions in plants. New Phytol. 2019, 221, 1197–1214. [Google Scholar] [CrossRef] [PubMed]
- Wang, K.; Wang, C.; Liu, Y.; Jiang, W.; Li, W.; Cheng, F.; Ma, C.; Nie, Y. Effects of hydrogen sulfide on the quality deterioration of button mushrooms and the interaction with ethylene. Food Bioprocess Technol. 2021, 14, 1983–1995. [Google Scholar] [CrossRef]
- Jiao, C.; Duan, Y. The mediation of NO-enhanced chilling tolerance by GSK-3 in postharvest peach fruit. Food Bioprocess Technol. 2019, 12, 2028–2035. [Google Scholar] [CrossRef]
- Verslues, P.E.; Zhu, J.-K. New developments in abscisic acid perception and metabolism. Curr. Opin. Plant Biol. 2007, 10, 447–452. [Google Scholar] [CrossRef]
- Justyna, P.G.; Ewa, K. Induction of resistance against pathogens by β-aminobutyric acid. Acta Physiol. Plant. 2013, 35, 1735–1748. [Google Scholar] [CrossRef]
- Yan, J.; Yuan, S.; Wang, C.; Ding, X.; Cao, J.; Jiang, W. Enhanced resistance of jujube (Zizyphus jujuba Mill. cv. Dongzao) fruit against postharvest Alternaria rot by β-aminobutyric acid dipping. Sci. Hortic. 2015, 186, 108–114. [Google Scholar] [CrossRef]
- Wang, B.; Zhang, H.; Li, Y.; Zheng, Y.; Wang, L. Elevated level of chilling tolerance in cucumber fruit was obtained by β-aminobutyric acid via the regulation of antioxidative response and metabolism of energy, proline and unsaturated fatty acid. Sci. Hortic. 2023, 307, 111521. [Google Scholar] [CrossRef]
- Koen, E.; Trapet, P.; Brulé, D.; Kulik, A.; Klinguer, A.; Atauri-Miranda, L.; Meunier-Prest, R.; Boni, G.; Glauser, G.; Mauch-Mani, B.; et al. β-Aminobutyric acid (BABA)-induced resistance in Arabidopsis thaliana: Link with iron homeostasis. Mol. Plant Microbe Interact. 2014, 27, 1226–1240. [Google Scholar] [CrossRef]
- Wang, L.; Jin, P.; Wang, J.; Jiang, L.; Shan, T.; Zheng, Y. Effect of β-aminobutyric acid on cell wall modification and senescence in sweet cherry during storage at 20 °C. Food Chem. 2015, 175, 471–477. [Google Scholar] [CrossRef]
- Bradford, M.M. A rapid and sensitive method for the quantitation of microgram quantities of protein utilizing the principle-dye binding. Anal. Biochem. 1976, 72, 248–254. [Google Scholar] [CrossRef]
- Geng, B.; Huang, D.D.; Zhu, S.H. Regulation of hydrogen sulfide metabolism by nitric oxide inhibitors and the quality of peaches during cold storage. Antioxidants 2019, 8, 401. [Google Scholar] [CrossRef]
- Liu, L.; Huang, A.; Wang, B.; Zhang, H.; Zheng, Y.; Wang, L. Melatonin mobilizes the metabolism of sugars, ascorbic acid and amino acids to cope with chilling injury in postharvest pear fruit. Sci. Hortic. 2024, 323, 112548. [Google Scholar] [CrossRef]
- Siebeneichler, T.J.; Crizel, R.L.; Reisser, P.L.; Perin, E.C.; Messias, R.S.; Rombaldi, C.V.; Galli, V. Changes in the abscisic acid, phenylpropanoids and ascorbic acid metabolism during strawberry fruit growth and ripening. J. Food Compos. Anal. 2022, 108, 104398. [Google Scholar] [CrossRef]
- Carvajal, F.; Palma, F.; Jiménez-Muñoz, R.; Jamilena, M.; Pulido, A.; Garrido, D. Unravelling the role of abscisic acid in chilling tolerance of zucchini during postharvest cold storage. Postharvest Biol. Technol. 2017, 133, 26–35. [Google Scholar] [CrossRef]
- Huang, Y.; Cai, S.; Ruan, X.; Xu, J.; Cao, D. CSN improves seed vigor of aged sunflower seeds by regulating the fattyacid, glycometabolism, and abscisic acid metabolism. J. Adv. Res. 2021, 33, 1–13. [Google Scholar] [CrossRef]
- Borges, A.A.; Sandalio, L.M. Induced resistance for plant defense. Front. Plant Sci. 2015, 6, 109. [Google Scholar] [CrossRef][Green Version]
- Tian, S.; Qin, G.; Li, B. Reactive oxygen species involved in regulating fruit senescence and fungal pathogenicity. Plant Mol. Biol. 2013, 82, 593–602. [Google Scholar] [CrossRef] [PubMed]
- Xu, H.; Liu, J.; Jin, Y.; Zhang, F.; Li, C.; Ge, Y. Phenyllactic acid maintains the postharvest quality of winter jujube fruit via activating ascorbic acid metabolism. Sci. Hortic. 2023, 322, 112443. [Google Scholar] [CrossRef]
- Li, T.; Shi, D.; Wu, Q.; Zhang, Z.; Qu, H.; Jiang, Y. Sodium para-aminosalicylate delays pericarp browning of litchi fruit by inhibiting ROS-mediated senescence during postharvest storage. Food Chem. 2019, 278, 552–559. [Google Scholar] [CrossRef] [PubMed]
- Liu, C.; Zheng, H.; Sheng, K.; Liu, W.; Zheng, L. Effects of melatonin treatment on the postharvest quality of strawberry fruit. Postharvest Biol. Technol. 2018, 139, 47–55. [Google Scholar] [CrossRef]
- Yu, X.; Hu, S.; He, C.; Zhou, J.; Qu, F.; Ai, Z.; Chen, Y.; Ni, D. Chlorophyll metabolism in postharvest tea (Camelliasinensis L.) leaves: Variations in color values, chlorophyll derivatives, and gene expression levels under different withering treatments. J. Agric. Food Chem. 2019, 67, 10624–10636. [Google Scholar] [CrossRef] [PubMed]
- Figueroa, C.R.; Rosli, H.G.; Civello, P.M.; Martínez, G.A.; Herrera, R.; Moya-León, M.A. Changes in cell wall polysaccharides and cell wall degrading enzymes during ripening of Fragaria chiloensis and Fragaria×ananassa fruits. Sci. Hortic. 2010, 124, 454–462. [Google Scholar] [CrossRef]
- Li, X.; Xu, C.; Korban, S.S.; Chen, K. Regulatory mechanisms of textural changes in ripening fruits. Crit. Rev. Plant Sci. 2010, 29, 222–243. [Google Scholar] [CrossRef]
- Brummell, D.A.; Bowen, J.K.; Gapper, N.E. Biotechnological approaches for controlling postharvest fruit softening. Curr. Opin. Biotech. 2022, 78, 102786. [Google Scholar] [CrossRef]
- Chen, Y.; Hung, Y.C.; Chen, M.; Lin, H. Effects of acidic electrolyzed oxidizing water on retarding cell wall degradation and delaying softening of blueberries during postharvest storage. LWT-Food Sci. Technol. 2017, 84, 650–657. [Google Scholar] [CrossRef]
- Merchante, C.; Vallarino, J.G.; Osorio, S.; Aragüez, I.; Villarreal, N.; Ariza, M.T.; Martínez, G.A.; Medina-Escobar, N.; Civello, M.P.; Fernie, A.R.; et al. Ethylene is involved in strawberry fruit ripening in an organ-specific manner. J. Exp. Bot. 2013, 64, 4421–4439. [Google Scholar] [CrossRef]
- Lelièvre, J.-M.; Latchè, A.; Jones, B.; Bouzayen, M.; Pech, J.-C. Ethylene and fruit ripening. Physiol. Plant 1997, 101, 727–739. [Google Scholar] [CrossRef]
- Ali, S.; Zahid, N.; Nawaz, A.; Naz, S.; Ejaz, S.; Ullah, S.; Siddiq, B. Tragacanth gum coating suppresses the disassembly of cell wall polysaccharides and delays softening of harvested mango (Mangifera indica L.) fruit. Int. J. Biol. Macromol. 2022, 222, 521–532. [Google Scholar] [CrossRef] [PubMed]
- Martínez, G.A.; Civello, P.M. Effect of heat treatments on gene expression and enzyme activities associated to cell wall degradation in strawberry fruit. Postharvest Biol. Technol. 2008, 49, 38–45. [Google Scholar] [CrossRef]
- Gupta, K.J.; Kaladhar, V.C.; Fitzpatrick, T.B.; Fernie, A.R.; Møller, I.M.; Loake, G.J. Nitric oxide regulation of plant metabolism. Mol. Plant 2022, 15, 228–242. [Google Scholar] [CrossRef]
- Liu, J.; Yang, J.; Zhang, H.; Cong, L.; Zhai, R.; Yang, C.; Wang, Z.; Ma, F.; Xu, L. Melatonin inhibits ethylene synthesis via nitric oxide regulation to delay postharvest senescence in pears. J. Agric. Food Chem. 2019, 67, 2279–2288. [Google Scholar] [CrossRef]
- Huo, J.; Huang, D.; Zhang, J.; Fang, H.; Wang, B.; Wang, C.; Liao, W. Hydrogen sulfide: A gaseous molecule in postharvest freshness. Front. Plant Sci. 2018, 9, 1172. [Google Scholar] [CrossRef] [PubMed]
- Zhang, J.; Zhou, M.; Zhou, H.; Zhao, D.; Gotor, C.; Romero, L.C.; Shen, J.; Ge, Z.; Zhang, Z.; Shen, W.; et al. Hydrogen sulfide, a signaling molecule in plant stress responses. J. Integr. Plant Biol. 2021, 63, 146–160. [Google Scholar] [CrossRef] [PubMed]
- Li, D.; Li, L.; Ge, Z.; Limwachiranon, J.; Ban, Z.; Yang, D.; Luo, Z. Effects of hydrogen sulfide on yellowing and energy metabolism in broccoli. Postharvest Biol. Technol. 2017, 129, 136–142. [Google Scholar] [CrossRef]
- Jia, D.; Gao, H.; He, Y.; Liao, G.; Lin, L.; Huang, C.; Xu, X. Kiwi fruit monodehydroascorbate reductase 3 gene negatively regulates the accumulation of ascorbic acid in fruit of transgenic tomato plants. Int. J. Mol. Sci. 2023, 24, 17182. [Google Scholar] [CrossRef] [PubMed]
- Zheng, X.; Gong, M.; Zhang, Q.; Tan, H.; Li, L.; Tang, Y.; Li, Z.; Peng, M.; Deng, W. Metabolism and regulation of ascorbic acid in fruits. Plants 2022, 11, 1602. [Google Scholar] [CrossRef]
- Luo, Z.; Zhang, J.; Xiang, M.; Zeng, J.; Chen, J.; Chen, M. Exogenous melatonin treatment affects ascorbic acid metabolism in postharvest ‘Jinyan’ kiwi fruit. Front. Nutr. 2022, 9, 1081476. [Google Scholar] [CrossRef] [PubMed]
- Chen, Q.F.; Ya, H.Y.; Feng, Y.R.; Jiao, Z. Expression of the key genes involved in ABA biosynthesis in rice implanted by ion beam. Appl. Biochem. Biotechnol. 2014, 173, 239–247. [Google Scholar] [CrossRef]
- Xu, Y.; Charles, M.T.; Luo, Z.; Mimee, B.; Tong, Z.; Roussel, D.; Rolland, D.; Véronneau, P.-Y. Preharvest UV-C treatment affected postharvest senescence and phytochemicals alternation of strawberry fruit with the possible involvement of abscisic acid regulation. Food Chem. 2019, 299, 125138. [Google Scholar] [CrossRef]
- Qian, M.; Baoju, W.; Xiangpeng, L.; Xin, S.; Lingfei, S.; Haifeng, J.; Jinggui, F. Comparison and verification of the genes involved in ethylene biosynthesis and signaling in apple, grape, peach, pear and strawberry. Acta Physiol. Plant 2016, 38, 44. [Google Scholar] [CrossRef]
- Perin, E.C.; da Silva Messias, R.; Borowski, J.M.; Crizel, R.L.; Schott, I.B.; Carvalho, I.R.; Rombaldi, C.V.; Galli, V. ABA-dependent salt and drought stress improve strawberry fruit quality. Food Chem. 2019, 271, 516–526. [Google Scholar] [CrossRef]







Disclaimer/Publisher’s Note: The statements, opinions and data contained in all publications are solely those of the individual author(s) and contributor(s) and not of MDPI and/or the editor(s). MDPI and/or the editor(s) disclaim responsibility for any injury to people or property resulting from any ideas, methods, instructions or products referred to in the content. |
© 2024 by the authors. Licensee MDPI, Basel, Switzerland. This article is an open access article distributed under the terms and conditions of the Creative Commons Attribution (CC BY) license (https://creativecommons.org/licenses/by/4.0/).
Share and Cite
Wang, L.; Liu, J.; Li, M.; Liu, L.; Zheng, Y.; Zhang, H. β-Aminobutyric Acid Effectively Postpones Senescence of Strawberry Fruit by Regulating Metabolism of NO, H2S, Ascorbic Acid, and ABA. Horticulturae 2024, 10, 218. https://doi.org/10.3390/horticulturae10030218
Wang L, Liu J, Li M, Liu L, Zheng Y, Zhang H. β-Aminobutyric Acid Effectively Postpones Senescence of Strawberry Fruit by Regulating Metabolism of NO, H2S, Ascorbic Acid, and ABA. Horticulturae. 2024; 10(3):218. https://doi.org/10.3390/horticulturae10030218
Chicago/Turabian StyleWang, Lei, Jingru Liu, Meilin Li, Li Liu, Yonghua Zheng, and Hua Zhang. 2024. "β-Aminobutyric Acid Effectively Postpones Senescence of Strawberry Fruit by Regulating Metabolism of NO, H2S, Ascorbic Acid, and ABA" Horticulturae 10, no. 3: 218. https://doi.org/10.3390/horticulturae10030218
APA StyleWang, L., Liu, J., Li, M., Liu, L., Zheng, Y., & Zhang, H. (2024). β-Aminobutyric Acid Effectively Postpones Senescence of Strawberry Fruit by Regulating Metabolism of NO, H2S, Ascorbic Acid, and ABA. Horticulturae, 10(3), 218. https://doi.org/10.3390/horticulturae10030218

