Abstract
The Sugars Will Eventually be Exported Transporter (SWEET) is a class of bidirectional sugar transporter that is involved in critical physiological processes such as plant growth and development, and its response to biotic and abiotic stresses. Currently, there are few reports on the SWEET gene family in strawberry. In this study, we mined the SWEET gene family members in Fragaria × ananassa ‘Camarosa’ and carefully analyzed their molecular features and expression patterns. The results showed that 77 FanSWEET genes existed in the F. × ananassa ‘Camarosa’ genome, and the phylogenetic analysis classified them into four sub-groups. Analysis of gene structure, conserved structural domains, and conserved motifs showed that FanSWEETs were highly conserved during the evolutionary process. Expression profiling of the 11 FanSWEET genes revealed that three members were highly expressed in strawberry fruits, which were presumed to be involved in sugar transport during strawberry fruit ripening. In addition, based on the exogenous sugar-spraying treatment and quantitative real-time PCR analysis, we found that different members responded to different sugar treatments in different response patterns, and their functions in sugar transport need to be further explored. The present study provides a reference for further analysis of the functions of the SWEET gene in strawberry.
1. Introduction
In plants, carbohydrates synthesized through leaf photosynthesis are the main source of energy [1]. As one of the photosynthesis products, saccharides not only can provide carbon skeleton and energy for the growth and development of organisms but also can serve as signaling molecules to participate in various physiological activities and regulate the expression of relevant genes [2,3]. The process of transporting sugar compounds from source leaves to storage organs cannot be independently transported by the concentration difference inside and outside the cell membrane but must be assisted by specific sugar transporters [4,5]. The transport efficiency of sugar transporter proteins determines how much sugar is transported, which, in turn, affects the accumulation of organic matter in the plant [6]. Therefore, sugar transporter proteins are closely related to fruit yield and quality [7].
Currently, sugar transporter proteins in plants are divided into three groups: monosaccharide transporters (MSTs) [8], sucrose transporters (SUTs) [9], and sugars will eventually be exported transporters (SWEETs) [10]. SWEET proteins are a newly discovered family of sugar transporter proteins [11], which are widely found in prokaryotes, animals, and plants [12,13]. They are capable of energy-independent, bidirectional transport of sugars utilizing the concentration difference between sugars inside and outside the cell [14]. Most SWEET proteins in eukaryotes contain seven transmembrane domains (TMs), which are formed by the repeating tandem of two 3-TM units located at the N-terminal and C-terminal ends, respectively, which are joined by one TM helix to form a 3-1-3 structure [10]. These SWEET proteins in plants belong to the MtN3/saliva family (PF03083) or the PQ-Loop family (PF04193) within the MtN3-like family and are mostly localized to the plasma membrane [15].
There are numerous members of the SWEET gene family in higher plants, and studies on the SWEET gene family have been reported: There are 17, 21, 24, 29, 34, 27, 17, 27, 16, 22, 20, 19, 23, 25, and 25 SWEETs identified in Arabidopsis thaliana [10], rice [16], maize [17], tomato [18], Brassica rapa [19], garlic [20], grapes [21], apples [22], litchi [23], watermelon [24], longan [25], jujube [7], Bletilla striata [26], Dendrobium officinale [27], and rose [28], respectively. The members of the SWEET gene family have the specificity of space–time and tissue expression, and there are obvious differences in the types of transported sugar [29]. The phylogenetic analysis of SWEET proteins in plants divides them into four subclasses, and different subclasses of SWEET proteins are closely related to the relative selection of monosaccharides and disaccharides [4]. SWEET proteins of clade III mainly transport sucrose [30], while the other three clades mainly transport monosaccharides including glucose, fructose, and galactose [31]. Experimental studies have found that AtSWEET4/5/8/16 in A. thaliana can decompose glucose [29,32,33], AtSWEET16/17 are involved in fructose efflux [32,34], and AtSWEET9/11/12/13/14/15/16 can translocate sucrose [13,33,35,36]. OsSWEET11 is involved in the transport of sucrose in early rice glumes [37]. Rice OsSWEET3a is involved in glucose translocation to leaves during early glume development [38]. And OsSWEET5 is a galactose transporter protein [39]. In tomato, SlSWEET1a is highly expressed in young leaf veins and regulates glucose accumulation in thin-walled cells [40]. In addition, it has been shown that SWEET proteins in plants are involved in not only sugar transport [34] but also ion transport [41], maturation senescence [42], plant–pathogen interactions [21], biotic and abiotic stresses, and other important processes [43].
The octoploid strawberry (Fragaria × ananassa Duch.) is currently the main cultivar and is popular for its reddish appearance, delicious flavor, and rich nutritional value [44]. Sugar accumulation is the key to the formation of fruit quality, but the sugar content of some strawberry cultivars is relatively low, which limits the development of strawberry industry to some extent. SWEET is a key transport protein for transporting sugar, and analyzing the relationship between sugar and SWEET transport is helpful to improve fruit quality. To date, few studies have been conducted on the SWEET gene family in strawberry. Therefore, we performed a genome-wide analysis of SWEET and characterized the expression patterns of SWEET, which will help to further explore the roles of SWEET genes in the growth and development of strawberry.
2. Materials and Methods
2.1. Identification and Physicochemical Properties Analysis of the SWEET Gene Family
The Fragaria × ananassa Camarosa Genome v1.0.a2 (Re-annotation of v1.0.a1) file as well as the genome annotation file reannotated were downloaded from the GDR database (https://www.rosaceae.org/ (accessed on 3 September 2022)) [45]. The SWEET Hidden Markov Model (HMM) PF03083 was used as a template to download the conserved structural domain data of this family in the Pfam database (http://pfam.xfam.org/ (accessed on 22 June 2022)). With MtN3-slv as a seed model, strawberry proteins were searched in TBtools software (version 2.019) (https://github.com/CJ-Chen/TBtools/releases (accessed on 22 June 2022)). The screening threshold was set to E-value < 1 × 10−10, and the candidate genes encoding SWEET transporters were preliminarily obtained. The protein sequences of the candidate gene family members were then obtained from the strawberry genome-wide database in TBtools software (version 2.019). Each SWEET protein sequence was secondarily screened on the Pfam website to remove genes that did not contain the known MtN3/saliva and PQ-loop domain. The SWEET family members of octoploid ‘Camarosa’ strawberry were named according to their homology to A. thaliana as compared on the Phytozome website (https://phytozome-next.jgi.doe.gov/ (accessed on 22 June 2022)).
The SWEET family members identified by the screening were submitted to ExPASy (https://web.Expasy.Org/compute_pi/ (accessed on 30 July 2022)) for predicting protein molecular weight (MW) and theoretical isoelectric point (pI). The ProtParam (https://web.expasy.org/protparam/ (accessed on 30 July 2022)) website was utilized to determine the average hydrophobicity index of proteins. The online tool TMHMM-2.0 (https://services.Healthtech.Dtu.Dk/service.Php?TMHMM-2.0 (accessed on 30 July 2022)) was used for protein transmembrane helix analysis. The protein instability index and aliphatic index were analyzed in TBtools software (version 2.019). The subcellular localization of each family member was predicted using WoLF PSORT (https://wolfpsort.Hgc.Jp/ (accessed on 26 November 2022)).
2.2. Phylogenetic Tree Construction
The seventeen known genetic sequences of AtSWEETs were downloaded from the National Center for Biotechnology Information (NCBI) database (http://ncbi.nlm.nih.gov/ (accessed on 7 October 2022)). Homologous relationships of strawberry SWEET proteins were compared on the Phytozome online website (https://phytozome-next.jgi.doe.gov/blast-search (accessed on 7 October 2022)) using A. thaliana as the comparison target. The SWEET protein sequences of F. × ananassa and Arabidopsis were aligned with ClustalW, and the alignment was imported into MEGA11 (https://www.megasoftware.net/ (accessed on 14 October 2022)) to create a phylogenetic tree. And it was constructed using the neighbor-joining (NJ) method, and the bootstrap value was set as 1000. Evolview (https://evolgenius.info//evolview-v2/#mytrees/SHOWCASES/showcase%2001 (accessed on 20 September 2022)) online tool was used to beautify the evolutionary tree.
2.3. Chromosome Location and Gene Structure Analysis
The position of the SWEET gene family on the chromosome has been mapped using MG2C online tool (http://mg2c.iask.in/mg2c_v2.1/ (accessed on 15 August 2022)). It has been reported that when the amino acid identity of the two sequences is more than 80%, the gene alignment coverage is more than 0.75, and the E expectation value is less than 1 × 10−10, the two genes are considered as a pair of replicated genes [16]. When two genes are located on the same chromosome and the interval is less than 100 kb, they are tandem genes [46]. The exon–intron structure was mapped according to the ‘Camarosa’ strawberry genome annotation file using TBtools software (version 2.019).
2.4. Analysis of Conserved Domains and Conserved Motifs
Prediction of conserved structural domains of SWEET proteins was performed using the NCBI website and visualized by TBtools software (version 2.019). Conserved motifs were analyzed using the online software MEME (https://meme-suite.org/meme/tools/meme (accessed on 7 October 2022)) for ‘Camarosa’ strawberry SWEETs proteins. The parameters were set as follows: the number of replicates was zero or one, the number of motifs was limited to 7, the minimum length of motifs was 10, and the maximum length was 50.
2.5. Analysis of Promoter Cis-Acting Elements
According to the genome annotation file, the first 2000bp sequence of the start codon of the SWEET gene was extracted in TBtools software (version 2.019). The online software Plant CARE (http://bioinformatics.psb.ugent.be/webtools/plantcare/html/ (accessed on 9 August 2023)) was used to predict the cis-acting elements of the SWEET gene, and the data were filtered and organized to visualize the promoter positions.
2.6. Plant Materials and Sugar Treatment
The octoploid strawberry (Fragaria × ananassa) cultivar ‘Yanli’ was used as the plant material in this experiment, which was grown in a greenhouse under natural conditions in ShenYang (Liaoning, China; 41° N, 123° E). A total of 20 plants were used for tissue expression detection, and 90 plants were used for exogenous sugar treatment experiment. The whole strawberry plant was sprayed with 0.1 mol∙L−1 and 0.2 mol∙L−1 solutions of glucose, fructose, sucrose, and mixed sugar (composed of glucose, fructose and sucrose with the same concentration) respectively. The treatment code is shown in Table 1. Subsequently, different sugar solutions were sprayed every 3 d for five treatments. Fruit samples were collected 3 days after the last treatment. The samples used for tissue-specific expression analysis were small green fruit stage (SG), big green fruit stage (BG), white fruit stage (W), turning stage (T), red fruit stage (R), and mature leaves (L). All samples were quickly frozen in liquid nitrogen after collection and stored at −80 °C.
Table 1.
Types and concentrations for the exogenous sugar treatment.
2.7. RT-qPCR Analysis of SWEETs
The total RNA of the above samples was extracted using an RNA extraction kit (TIANGEN, Beijing, China) according to the instructions. And the synthesis of the cDNA was performed using a reverse transcription kit (TaKaRa, Dalian, China). RT-qPCR was carried out using a SYBR Green PCR Master Mix Kit (TaKaRa, Dalian, China) on the CFX96 Real-Time PCR System (Applied Bio-systems, Foster City, CA, USA). The reaction system was as follows: 0.5 μL of template cDNA, 0.5 μL of each upstream and downstream primer, 5 μL of UltraSYBR mixture, and 3.5 μL of ddH2O were added to the reaction system. The qPCRs consisted of a hold at 95 °C for 10 min, then 40 cycles of 95 °C for 15 s and 60 °C for 1 min, and finally 95 °C for 15 s. The Fve26s gene was used as the internal control. The normalized date was processed with TBtools software (version 2.019) and plotted as a heatmap to visualize the changes in SWEET gene expression. Primer sequences used for qPCR are shown in Table S1. Three individual samples were used for each treatment, and three biological replicate analyses were also performed.
3. Results
3.1. Identification and Physicochemical Properties Analysis of SWEET of F. × ananassa
A total of 77 family members of SWEETs were excavated in the F. × ananassa using haplotype analysis (Table 2). The nomenclature of these strawberry SWEET following a phylogenetic analysis with SWEET homologs from Arabidopsis was conducted, which was named FanSWEET1a~FanSWEET17h. The minimum number of transmembrane domains in FanSWEET was only 2 (FanSWEET15d), the maximum contained 14 (FanSWEET10c), and 47 members contained 7 TMs, accounting for 61.04% of the total. The theoretical isoelectric points ranged from 5.00 to 9.83, and eight members were acidic proteins, most of which were found in clade III, while all members of clade II were basic proteins. All FanSWEETs were hydrophobic proteins. A total of 52 members were stable proteins (instability index < 40), and 25 were unstable proteins. About 80.52% of the members were subcellularly localized at the plasma membrane.
Table 2.
Physicochemical characteristics of the SWEET gene family in F. × ananassa.
3.2. Phylogenetic Tree Construction of F. × ananassa SWEET Family
To better understand the evolutionary origin and function of the strawberry SWEET genes, a phylogenetic tree of the SWEETs was constructed based on the amino acid sequences of AtSWEETs (Figure 1). Phylogenetic results revealed that the evolutionary relationship between ‘Camarosa’ strawberry and the A. thaliana SWEET family was consistent. And it could be classified into four clades, in which clade Ⅰ possessed 19 FanSWEETs, clade Ⅱ possessed 23 FanSWEETs, clade Ⅲ possessed 27 FanSWEETs, and clade Ⅳ possessed 8 FanSWEETs. Although more SWEET members were identified in F. × ananassa than in Arabidopsis, the homologous proteins of AtSWEE6/8/11/12/13/16 have not been identified in strawberry.
Figure 1.
Phylogenetic tree of SWEET family of F. × ananassa and A. thaliana. All SWEET proteins are divided into four clades (I, II, III, and IV), which are represented by different colored backgrounds. At stands for A. thaliana, Fan stands for F. × ananassa, and FanSWEET proteins are marked in red font.
3.3. Chromosome ‘Location of SWEET Family in F. × ananassa
According to the chromosome location (Figure 2), there is no FanSWEET gene in the first set of homologous chromosomes of F. × ananassa, and 19, 7, 9, 14, 16, and 12 FanSWEET genes are unevenly distributed in the other six sets of homologous chromosomes. The genes on the second and fourth chromosomes are mostly distributed in the middle, while the genes on the other four chromosomes are mostly distributed at both ends. A total of 76 pairs of fragment replication genes and 6 groups of tandem gene clusters were found in 77 FanSWEETs. Among them, FanSWEET4f-FanSWEET4g located on Chr 6-1 chromosome is a pair of tandem repeat genes.
Figure 2.
Chromosome localization of SWEET family members in F. × ananassa. The chromosome number is shown above each chromosome. Purple vertical bars with different lengths indicate F. × ananassa chromosomes, black short lines indicate the position of each FanSWEET, blue fonts indicate tandem genes, and red fonts indicate tandem repetitive genes. The scale bars beside the chromosome indicate the length of megabases (Mb). The arrows show the transcription directions of FanSWEET genes.
3.4. Analysis of Conserved Domains and Motifs of the SWEET Family in F. × ananassa
By conservative domain analysis (Figure 3), it is found that members of the SWEET family generally have two typical domains, the MtN3_slv or PQ-loop superfamily. Meanwhile, FanSWEET1e/2g/3f/4h/4i/5e/9l/9m/9n/9r/15d/17c and 17h have only one structural domain, and FanSWEET4b, FanSWEET9j, and FanSWEET10c have four SWEET family typical structural domains. FanSWEET members homologous to AtSWEET2 and AtSWEET3 only have the PQ-loop superfamily structural domains and not the MtN3_slv structural domain. Furthermore, FanSWEET9b-9e contain a SPARK domain, and FanSWEET9c and FanSWEET9d also have the PKc_like superfamily. It can be seen that the structural domains of the FanSWEET protein family are conserved to a certain extent, but the number and distribution of the structural domains are somewhat differentiated.
Figure 3.
Conservative domains of SWEET family members of F. × ananassa. Different colored boxes represent different conserved domains.
The analysis of the motifs of FanSWEET members (Figure 4) showed that the members of this family contain 2 to 7 motifs, and Motif 1 and Motif 7 are mostly distributed at the N-terminal end, while Motif 2 and Motif 3 are mostly distributed at the C-terminal end. Motif 6 (fluorescent green) is the most conserved of all seven motifs because it is missing in only two FanSWEETs (FanSWEET4i, 9r). Fifty-three members of the FanSWEETs contain all seven conserved motifs, which is 68.83% of the total number. It can be seen (Figure 5) that G (glycine), P (proline), and Y (tyrosine) are highly conserved. I (isoleucine) and L (leucine) are present in all seven Motifs, and F (phenylalanine), G (glycine), and N (asparagine) are absent in Motif 2 only.
Figure 4.
Conservative motif composition of SWEET family members of F. × ananassa. Different colored boxes represent different conserved protein motifs.
Figure 5.
Identification of conservative motif sequences of SWEET family members of F. × ananassa. The bigger the letter of amino acid, the more conservative it is. The size of different amino acids in the same position is scaled according to their frequency.
3.5. Analysis of Gene Structure and Promoter Cis-Acting Elements of the SWEET Family of F. × ananassa
The number, location, and distribution of the exon–intron of the FanSWEET family are shown in Figure 6. There are thirty-five members without upstream and downstream regulatory regions. The number and length of introns and exons in the FanSWEET genes are extremely different. More than half of them (45, 58.44%) have six exons, and seventeen members have five exons (22.08%). FanSWEET10c contains the largest number of exons (13), while FanSWEET4h, 4i, and 9r contain the least number of exons (2).
Figure 6.
Genetic structure of SWEET family members of F. × ananassa. The orange box indicates the exon, the black line indicates the intron, and the blue box indicates the untranslated 5′- or 3′-region.
As shown in Figure 7, the four genes FanSWEET 1a/15a/15b/15c do not contain the 10 promoter elements looked up 2000 bp upstream. FanSWEET3a contains only one drought-responsive element; the majority of FanSWEET genes (0.78%) contain 10 to 27 cis-acting elements; and FanSWEET2a contains 39 cis-elements, the highest number of cis-acting elements in the family. Among the cis-acting elements identified in ‘Camarosa’ strawberry, light-responsive elements account for the largest proportion (46.26%) of the 10 elements. Circadian rhythm-responsive elements account for the smallest proportion, accounting for only 0.015% of the total number of elements. Among the phytohormone-responsive elements, MeJA-responsive elements were the most numerous (167), followed by abscisic-acid-responsive elements (119).
Figure 7.
Homeopathic elements of SWEET family members of F. × ananassa. Different colored boxes represent different cis-acting elements.
3.6. Analysis of FanSWEET Gene Expression
3.6.1. Analysis of FanSWEETs Expression in Different Organs and Fruit Development Stages of Strawberry
By comparing the sequences of SWEET proteins in A. thaliana and F. × ananassa, 11 FanSWEETs (FanSweet1a/2a/3b/4c/5a/7a/9b/10a/14/15a/17a) with high similarity to the AtSWEET amino acid sequences were screened out for the determination of expression.
The expression of 11 FanSWEET genes in the fruits and leaves of the ‘Yanli’ strawberry was detected by RT-qPCR. The experimental results (Figure 8) showed that the expression patterns of FanSWEET genes in leaves and different development stages of fruits were quite different, and the expression level of FanSWEET genes in fruits was lower than that in leaves. Among them, the expression level of FanSWEET10a/14/15a was higher in the fruits (1.009, 1.006, and 1.012) and lower in the leaves (0.156, 0.006, and 0.064), while the other eight FanSWEET genes were highly expressed in the leaves and low in the fruits. This indicates that these genes may have different functions in the fruits and leaves. Among them, the expression of FanSWEET17 in leaves is 19.05 times that in small green fruit and 150.59 times that in red fruits. The expression levels of all FanSWEET genes in strawberry fruits at the white stage are relatively low. With the gradual development of strawberry fruit, the expression of FanSWEET4c/14/15a decreased, while the expression of FanSWEET1a/7a/9b/10a first increased and then decreased. It is speculated that these FanSWEET genes participated in the process of sugar transportation and accumulation during fruit development. The highest expression level in the red fruit stage was FanSWEET1a, and the expression level in the smaller green fruit stage increased by 1.62 times. The lowest fruit expression level in the red fruit stage was FanSWEET10a, which decreased by 65.97 times in the small green fruit stage.
Figure 8.
Expression patterns of the FanSWEET genes in leaves and different development stages of fruits of ‘Yanli’ strawberry. SG, BG, W, T, R, and L represent small green fruits, big green fruits, white fruits, turning fruits, red fruits, and leaves, respectively. The color grade indicates gene expression level: blue indicates low expression level, and red indicates high expression level.
3.6.2. Expression of FanSWEETs in Strawberry Fruits Treated with Exogenous Sugar
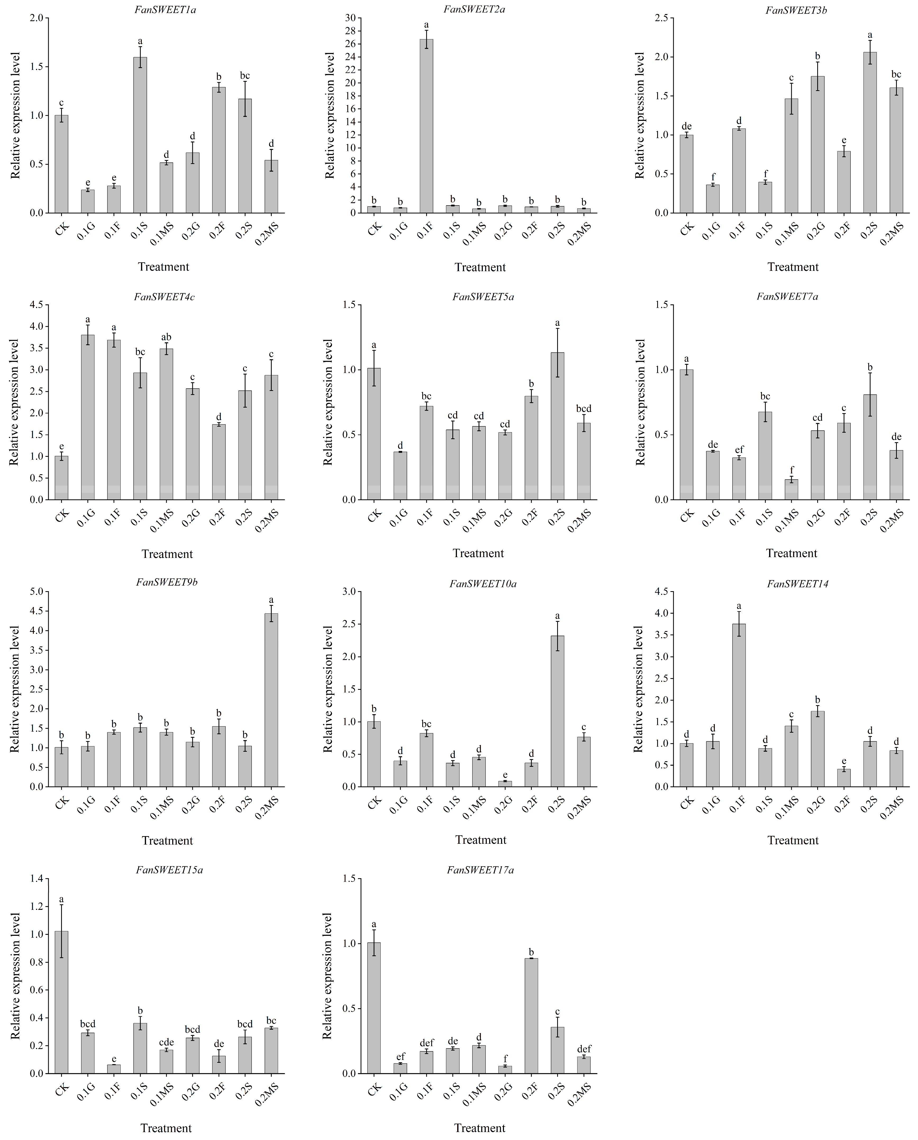
By spraying glucose, fructose, sucrose, and their mixed sugar on ‘Yanli’ strawberry plants, the expression of the SWEET genes in strawberry plants was examined. The results showed that spraying exogenous sugar changed the expression of the FanSWEET genes in fruits (Figure 9). Glucose treatment significantly reduced the expression of FanSWEET1a/5a/7a/10a/15a/17a and significantly increased FanSWEET4c. The expression level of FanSWEET4c significantly increased after exogenous fructose treatment at two concentrations, while the expression level of five FanSWEET genes (FanSWEET5a/7a/10a/15a/17a) decreased. However, the expression level of FanSWEET1a decreased by 35.986 times at low concentrations and increased by 1.284 times at high concentrations. Low-concentration treatment promoted the expression of FanSWEET2a/14, while high-concentration treatment inhibited the expression of these two genes. Under different concentrations of sucrose, the expression level of FanSWEET1a increased by 1.592 and 1.165 times, that of FanSWEET5a/7a/15a/17a significantly decreased, while that of FanSWEET2a/9b/14 did not significantly change. Spraying exogenous mixed sugar reduced the expression level of six FanSWEET members (FanSWEET1a/5a/7a/10a/15a/17a), but increased the expression level of FanSWEET4c. The treatment of 0.2 mol∙L−1 mixed sugar highly induced FanSWEET9b, and the expression level was 4.407 times that of the control group. FanSWEET2a and FanSWEET3b were inhibited by low concentration and promoted by high concentration under glucose treatment. Under fructose treatment, FanSWEET1a was always expressed at low concentrations, and high concentration promoted expression, while FanSWEET2b/3c/14 showed that low concentration promoted expression and high concentration inhibited expression. The expression of FanSWEET3b/5a/10a/14 was inhibited under 0.1 mol∙L−1 sucrose treatment, but promoted under 0.2 mol∙L−1 sucrose treatment
Figure 9.
Expression of the FanSWEET genes in ‘Yanli’ strawberry fruits treated with exogenous sugar. CK is clear water control, with 0.1 G representing 0.1 mol∙L−1 glucose, 0.1 F representing 0.1 mol∙L−1 fructose, 0.1 S representing 0.1 mol∙L−1 sucrose, 0.1 MS representing 0.1 mol∙L−1 mixed sugar, 0.2 G representing 0.2 mol∙L−1 glucose, 0.2 F representing 0.2 mol∙L−1 fructose, 0.2 S representing 0.2 mol∙L−1 sucrose, and 0.2 MS representing 0.2 mol∙L−1 mixed sugar. The letters above the bars indicated the significant differences by student’s t-test (p < 0.05). Three biological replicates were analyzed, and the error bars represented the SD.
3.6.3. Expression of FanSWEETs in Strawberry Leaves Treated with Exogenous Sugar
Under the treatments of exogenous sugar, the expression of the FanSWEET genes in leaves generally decreased (Figure 10). The expression levels of six FanSWEET genes (FanSWEET1a/2a/7a/9b/10a/14) significantly decreased under different sugar treatments. This may be because the application of exogenous sugar leads to the accumulation of enough sugar in leaves, and the sugar transporters no longer played the role in transporting sugar. The expression level of FanSWEET4c was down-regulated by glucose, fructose, and sucrose alone and up-regulated by mixed sugar. Different from other sugar treatments, the expression of FanSWEET3b/4c/5a/17a increased under 0.1 MS treatment, which may play different roles in leaves. The expression level of FanSWEET15a was up-regulated by 1.205 times under 0.2 S treatment, and FanSWEET17a was up-regulated by 1.290 times under 0.1 MS treatment. Up-regulated genes (FanSWEET3b/4c/5a/15a/17a) were all caused by exogenous sucrose and mixed sugar spraying, which indicated that these genes were regulated by sucrose content. The expression of FanSWEET3b/4c/15a was inhibited at low concentration and promoted at high concentration. However, the expression levels of FanSWEET3b/5a/17a increased under low-concentration mixed sugar treatment and decreased under high-concentration treatment.
Figure 10.
Expression of the FanSWEET genes in ‘Yanli’ strawberry leaves treated with exogenous sugar. CK is clear water control, with 0.1 G representing 0.1 mol∙L−1 glucose, 0.1 F representing 0.1 mol∙L−1 fructose, 0.1 S representing 0.1 mol∙L−1 sucrose, 0.1 MS representing 0.1 mol∙L−1 mixed sugar, 0.2 G representing 0.2 mol∙L−1 glucose, 0.2 F representing 0.2 mol∙L−1 fructose, 0.2 S representing 0.2 mol∙L−1 sucrose, and 0.2 MS representing 0.2 mol∙L−1 mixed sugar. The letters above the bars indicated the significant differences by student’s t-test (p < 0.05). Three biological replicates were analyzed, and the error bars represented the SD.
4. Discussion
4.1. Bioinformatics Analysis of FanSWEET Gene Family
SWEET protein plays an important role in the growth and development of plants, which has been identified in many horticultural plants [4,47]. Research shows that 18 SWEET transporters were identified in pear [48]; 52 SWEET genes with high homology were blasted in soybean [49]. In this report, 77 members of the FanSWEETs protein family were found in the genome of octoploid F. × ananassa, and the number of SWEET genes was significantly higher than that of other species [10,16], which may be due to the difference of ploidy or usage methods. pI is an important parameter of protein, which is determined by the relative content of amino acid residues at different pH, and it affects the stability and physiological function of protein [50]. The pI of most FanSWEET members is greater than 7, while the pI of FanSWEET1e/9l/9r/15a/15b/15c/15e/17h is less than 7. However, the pI of Arabidopsis homologous genes AtSWEET1/9/15 is greater than 7 [10]. This analysis leads us to speculate that their functions and modes of action are different from those of Arabidopsis. According to our analysis, most FanSWEETs have 7 TMHs, and a few members have 2 to 6 TMHs, implying that duplication and fusion of SWEETs may still be going on [51,52]. Knowing the subcellular localization information of protein can provide necessary help for us to infer the biological function of protein. This study predicts that FanSWEETs were distributed in the plasma membrane, vacuole, chloroplast, endoplasmic reticulum, and Golgi apparatus, indicating that they participate in various physiological functions in plants.
It is public knowledge that polyploidy is a crucial process in plant evolution, and many angiosperms have experienced polyploidy, which subsequently leads to gene replication in gene families [53,54]. As an octoploid species, F. × ananassa has a high probability of gene duplication. A total of 77 FanSWEET genes were distributed on all chromosomes except Chr1. Interestingly, we found that 76 gene fragments were duplicated, and tandem duplication clusters were observed on Chr 6-1 (FanSWEET4f-FanSWEET4g). These data suggest that the segmental duplication of genes in F. × ananassa resulted in gene family expansion, and we speculate that some genes may have functional redundancy or synergy. The membership in a clade can slightly define the substrate specificity of SWEETs [55]. According to the classification method of the phylogenetic tree of A. thaliana [10], 77 FanSWEETs were also divided into four subgroups, which is the same as other plants [56]. Based on the research on Arabidopsis, members in clade I (FanSWEET1a-3f) and II (FanSWEET4a-7e) may transport monosaccharides, those in clade Ⅲ (FanSWEET9a-15e) are predominantly involved in sucrose uptake, and the proteins in clade Ⅳ (FanSWEET17a-17h) may mediate fructose transport [10,32,34,57].
The SWEET proteins belong to the MtN3_slv subfamily and the PQ-loop subfamily. The MtN3_slv subfamily is involved in glucose transport, while the PQ-loop subfamily is involved in amino acid transport [58]. Conservative domain analysis showed that most family members contained two MtN3_slv or PQ-loop superfamily domains. This indicated that the SWEET protein family of F. × ananassa was relatively conservative in evolution. Individual members (FanSWEET9b-9e) also contain SPARK and PKc_like domains, which play a role in signal transduction during plant–fungus symbiosis and catalytic transfer of amino acid [59]. The intron is involved in many important biological processes, such as mRNA output, transcription coupling, alternative splicing, gene expression regulation, and so on [60,61]. The analysis of gene structure shows that the number and length of introns and exons are quite different among FanSWEET genes, which may be the reason for functional diversity. Moreover, because the first two exons of the FanSWEET gene are very short, it is easy to be lost over time. Take FanSWEET2g for example, its first two exons are lost, leaving only four exons.
4.2. Expression of FanSWEET Genes in Strawberry
The evidence that the SWEET protein is involved in sugar accumulation in fruits has been reported in many articles. Ko et al. revealed that SlSWEET15 in tomatoes was involved in the unloading of sugar in fruit [62]. The expression of the EjSWEET15 gene in loquat may regulate the sugar accumulation process in mature fruit [63]. In this study, it was found that FanSWEET1a/2a/3b/4c/5a/7a/9b/17a were mainly expressed in leaves, while FanSWEET10a/14/15a were mainly expressed in fruits. Overall, the expression was low in fruits and high in leaves, which had obvious tissue specificity. That means they have various functions in different organs, as is evident from their expression patterns in other plant species [4,16,29,64,65].
Guo et al. found that AnmSWEET5 and AnmSWEET11 exhibited gradually down-regulated expression profiles during fruit development, especially in the early stages [66]. Recently, Yang et al. identified 19 ZjSWEET genes in jujube, and the expression levels of ZjSWEETs also fluctuated during fruit development [67]. From our research, we found that at the stage of small green fruit, FanSWEET14 and FanSWEET15a were dominant expression genes. However, the expression of these genes gradually decreased with the development of fruits, showing a negative correlation with the accumulation of sugar in fruits. FanSWEET2a/3b/5a/17a were always expressed low during the fruit development of ‘Yanli’ strawberry, with little effect. The expression levels of FanSWEET1a/7a/9b/10a reached the highest in the big green fruit stage, and then rapidly decreased, indicating that they played an important role in the fruit expansion stage. In five stages of fruit development, the expression of FanSWEETs was higher in the small green fruit stage and the big green fruit stage, but lower in the white fruit stage, turning stage, and red fruit stage. The results indicated that FanSWEETs participate in regulating the process of strawberry fruit-ripening process, but their specific functions require further study.
4.3. Effect of Exogenous Sugar Treatments on the Expression of FanSWEETs
The expression of genes related to sugar metabolism in plants is affected by sugars. The expression of CitSUT1 in mature leaf trays is inhibited by exogenous sucrose, glucose, mannose, and glucose analog 2-deoxyglucose [68]. Both PlSUT2 and PlSUT4 of peony can be induced by sucrose treatment [69]. The expression of SWEETs can also respond to their substrates [70]. However, the influence of exogenous sugar treatment on the SWEET gene family is lacking.
The sugar components in strawberry fruit are mainly composed of sucrose, glucose, and fructose, and the content of these three sugars can reach more than 90% of the total sugar content in mature fruit [71]. Therefore, in this study, these three sugars and their mixed sugars were selected to treat strawberry plants, and the effects of exogenous sugars on the expression of the SWEET genes in strawberries were analyzed.
Our findings demonstrate that exogenous sugar-spraying treatment changed the sugar content in strawberry and then changed the expression of FanSWEETs. The expression levels of FanSWEET2a (26.717) and FanSWEET14 (3.755) in fruits were significantly increased by spraying 0.1 mol∙L−1 fructose. But the expression levels of one of these two genes were not significantly changed (0.944), and the other was significantly decreased (0.408) by spraying 0.2 mol∙L−1 fructose. The results showed that these two genes were sensitive to the fructose content in fruits. On the contrary, the expression level of FanSWEET9b was significantly up-regulated under 0.2 mol∙L−1 mixed sugar (4.469). This is obviously different from the reaction of other genes to exogenous sugar, and the cause of this phenomenon need to be further studied.
Sugar acting on leaves can also promote or inhibit the expression of FanSWEETs in leaves. The expression levels of FanSWEET1a/2a/7a/9b/10a/14 were all decreased under exogenous sugar treatment. Similar findings were found in the study of tomatoes [18]. FanSWEET5a was only sensitive to sucrose and mixed sugar, and FanSWEET17a showed the phenomenon that low concentration promotes expression and high concentration inhibits expression under different concentrations of mixed sugar.
In this article, a relatively comprehensive bioinformatics analysis of the FanSWEET gene family was carried out, which provides a basis for further understanding the potential functions and characteristics of FanSWEET genes. As sugar transporters, these genes play essential roles in the growth and development of strawberry as well as the response to exogenous sugar. The understanding of their exact functions, however, is still incomplete. Thus, in order to improve fruit quality, in-depth functional verification research is needed to provide valuable insights.
5. Conclusions
In this study, 77 members of FanSWEET genes were identified by systematic bioinformatics analysis, and their physical and chemical properties, phylogenetic analysis, conserved domains, conserved motifs, gene structure, and chromosome location were analyzed. A total of 11 FanSWEET genes were selected for further expression analysis by comparing them with AtSWEET gene sequences of A. thaliana. Among them, 3 FanSWEETs were highly expressed in fruits, and 8 FanSWEETs were highly expressed in leaves. Further experiments showed that the transcriptions of these genes were influenced by exogenous sugar. Glucose treatments decreased the expression of FanSWEET1a/5a/7a/10a/15a/17a and increased the expression of FanSWEET4c/9b/14. Under fructose treatments, the expression of FanSWEET5a/7a/10a/15a/17a decreased, while the expression of FanSWEET4c/9b increased. Sucrose treatments decreased the expression of FanSWEET7a/15a/17a but increased the expression of FanSWEET1a/2a/4c/9b. Mixed sugar treatments decreased the expression of FanSWEET1a/2a/5a/7a/10a/15a/17a and increased the expression of FanSWEET3b/4c/9a/14. FanSWEET genes in leaves were mainly increased by sucrose and mixed sugar treatment but were decreased by glucose and fructose treatment. This study provided a basis for further research on the FanSWEET gene family of strawberry and SWEET genes in other species.
Supplementary Materials
The following supporting information can be downloaded at: https://www.mdpi.com/article/10.3390/horticulturae10020191/s1, Table S1: Primer sequences in RT-qPCR.
Author Contributions
Conceptualization, R.T. and H.L.; methodology, R.T.; software, R.T. and J.L.; validation, J.X. and Z.X.; writing—original draft preparation, R.T.; resources, H.L.; writing—review and editing, R.T. and H.L.; project administration, H.L. All authors have read and agreed to the published version of the manuscript.
Funding
This work was financially supported by the Liaoning Key Agricultural Project (2023JH1/10200003), the Liaoning Key R&D Program (2020JH2/10200032), the National Key R&D Program of China (2019YFD1000200), and the Shenyang Science and Technology Mission Program (23-410-2-04).
Data Availability Statement
Data are contained within the article and supplementary materials.
Conflicts of Interest
The authors declare no conflict of interest.
References
- Braun, D.M.; Wang, L.; Ruan, Y.L. Understanding and manipulating sucrose phloem loading, unloading, metabolism, and signalling to enhance crop yield and food security. J. Exp. Bot. 2014, 65, 1713–1735. [Google Scholar] [CrossRef]
- Filip, R.; Jen, S. Sugar sensing and signalling networks in plants. Biochem. Soc. Trans. 2005, 33, 269–271. [Google Scholar]
- Gibson, S.I. Control of plant development and gene expression by sugar signaling. Curr. Opin. Plant Biol. 2005, 8, 93–102. [Google Scholar] [CrossRef]
- Eom, J.S.; Chen, L.Q.; Sosso, D.; Julius, B.T.; Lin, I.W.; Qu, X.Q.; Braun, D.M.; Frommer, W.B. SWEETs, transporters for intracellular and intercellular sugar translocation. Curr. Opin. Plant Biol. 2015, 25, 53–62. [Google Scholar] [CrossRef]
- Lalonde, S.; Lalonde, D.; Frommer, W.B. Transport mechanisms for organic forms of carbon and nitrogen between sotrce and sink. Annu. Rev. Plant Biol. 2004, 55, 341–372. [Google Scholar] [CrossRef]
- Liu, H.T.; Ji, Y.; Liu, Y.; Tian, S.H.; Duan, K.; Zou, X.H.; Yang, J.; Dong, C.; Gao, Q.H. The sugar transporter system of strawberry: Genome-wide identification and expression correlation with fruit soluble sugar-related traits in Fragaria × ananassa Duchesne germplasms collection. Acta Hortic. 2021, 1309, 223–233. [Google Scholar] [CrossRef]
- Yang, C.; Zhao, X.; Luo, Z.; Wang, L.H.; Liu, M.J. Genome-wide identification and expression profile analysis of SWEET genes in Chinese jujube. PeerJ 2023, 22, e14704. [Google Scholar] [CrossRef] [PubMed]
- Thomas, L.S. Diverse functional roles of monosaccharide transporters and their homologs in vascular plants: A physiological perspective. Mol. Plant. 2011, 4, 641–662. [Google Scholar]
- Brian, G.A. Membrane-transport systems for sucrose in relation to whole-plant carbon partitioning. Mol. Plant 2011, 4, 377–394. [Google Scholar]
- Chen, L.Q.; Hou, B.H.; Lalonde, S.; Takanaga, H.; Hartung, M.L.; Qu, X.Q.; Guo, W.J.; Kim, J.G.; Underwood, W.; Chaudhuri, B.; et al. Sugar transporters for intercellular exchange and nutrition of pathogens. Nature 2010, 468, 527–532. [Google Scholar] [CrossRef]
- Tao, Y.Y.; Cheung, L.S.; Li, S.; Eom, J.S.; Chen, L.Q.; Xu, Y.; Perry, K.; Frommer, W.B.; Feng, L. Structure of a eukaryotic SWEET transporter in a homotrimeric complex. Nature 2015, 527, 259–263. [Google Scholar] [CrossRef] [PubMed]
- Chen, L.Q.; Lin, I.W.; Qu, X.Q.; Sosso, D.; McFarlane, H.E.; Londoño, A.; Samuels, A.L.; Frommer, W.B. A cascade of sequentially expressed sucrose transporters in the seed coat and endosperm provides nutrition for the Arabidopsis embryo. Plant Cell. 2015, 27, 607–619. [Google Scholar] [CrossRef] [PubMed]
- Lin, I.W.; Sosso, D.; Chen, L.Q.; Gase, K.; Kim, S.G.; Kessler, D.; Klinkenberg, P.M.; Gorder, M.K.; Hou, B.H.; Qu, X.Q.; et al. Nectar secretion requires sucrose phosphate synthases and the sugar transporter SWEET9. Nature 2014, 508, 546–549. [Google Scholar] [CrossRef]
- Jeena, G.S.; Kumar, S.; Shukla, R.K. Structure, evolution and diverse physiological roles of SWEET sugar transporters in plants. Plant Mol. Biol. 2019, 100, 351–365. [Google Scholar] [CrossRef]
- Streubel, J.; Pesce, C.; Hutin, M.; Koebnik, R.; Boch, J.; Szurek, B. Five phylogenetically close rice SWEET genes confer TAL effector-mediated susceptibility to Xanthomonas oryzae pv. oryzae. New Phytol. 2013, 200, 303–819. [Google Scholar] [CrossRef]
- Yuan, M.; Wang, S.P. Rice MtN3/saliva/SWEET Family genes and their homologs in cellular organisms. Mol. Plant. 2013, 6, 665–674. [Google Scholar] [CrossRef] [PubMed]
- Zhu, J.L.; Zhou, L.; Li, T.F.; Ruan, Y.Y.; Zhang, A.; Dong, X.M.; Zhu, Y.S.; Li, C.; Fan, J.J. Genome-wide investigation and characterization of SWEET gene family with focus on their evolution and expression during hormone and abiotic stress response in maize. Genes 2022, 133, 1682. [Google Scholar] [CrossRef]
- Feng, C.Y.; Han, J.X.; Han, X.X.; Jiang, J. Genome-wide identification, phylogeny, and expression analysis of the SWEET gene family in tomato. Gene 2015, 573, 261–272. [Google Scholar] [CrossRef]
- Miao, L.M.; Lv, Y.X.; Kong, L.J.; Chen, Q.Z.; Chen, C.Q.; Li, J.; Zeng, F.H.; Wang, S.Y.; Li, J.B.; Huang, L.; et al. Genome-wide identification, phylogeny, evolution, and expression patterns of MtN3/saliva/SWEET genes and functional analysis of BcNS in Brassica rapa. BMC Genom. 2018, 19, 174. [Google Scholar] [CrossRef]
- Filyushin, M.A.; Anisimova, O.K.; Shchennikova, A.V.; Kochieva, E.Z. Genome-wide identification, expression, and response to fusarium infection of the SWEET gene family in garlic (Allium sativum L.). Int. J. Mol. Sci. 2023, 24, 7533. [Google Scholar] [CrossRef]
- Chong, J.; Piron, M.C.; Meyer, S.; Merdinoglu, D.; Bertsch, C.; Mestre, P. The SWEET family of sugar transporters in grapevine: VvSWEET4 is involved in the interaction with Botrytis cinerea. J. Exp. Bot. 2014, 65, 6589–6601. [Google Scholar] [CrossRef] [PubMed]
- Wei, X.Y.; Liu, F.L.; Chen, C.; Ma, F.W.; Li, M.J. The Malus domestica sugar transporter gene family: Identifications based on genome and expression profiling related to the accumulation of fruit sugars. Front. Plant Sci. 2014, 5, 569. [Google Scholar] [CrossRef]
- Xie, H.H.; Wang, D.; Qin, Y.Q.; Ma, A.; Fu, J.X.; Qin, Y.H.; Hu, G.B.; Zhao, J.T. Genome-wide identification and expression analysis of SWEET gene family in Litchi chinensis reveal the involvement of LcSWEET2a/3b in early seed development. BMC Plant Biol. 2019, 19, 499. [Google Scholar] [CrossRef] [PubMed]
- Xuan, C.Q.; Lan, G.P.; Si, F.F.; Zeng, Z.L.; Wang, C.X.; Yadav, V.; Wei, C.H.; Zhang, X. Systematic genome-wide study and expression analysis of SWEET gene family: Sugar transporter family contributes to biotic and abiotic stimuli in watermelon. Int. J. Mol. Sci. 2021, 22, 8407. [Google Scholar] [CrossRef] [PubMed]
- Fang, T.; Rao, Y.; Wang, M.Z.; Li, Y.; Liu, Y.J.; Xiong, P.P.; Zeng, L.H. Characterization of the SWEET gene family in Longan (Dimocarpus longan) and the role of DlSWEET1 in cold tolerance. Int. J. Mol. Sci. 2013, 23, 697–702. [Google Scholar] [CrossRef]
- Lu, C.; Ye, J.; Chang, Y.Q.; Mi, Z.Y.; Liu, S.; Wang, D.H.; Wang, Z.Z.; Niu, J.F. Genome-wide identification and expression patterns of the SWEET gene family in Bletilla striata letilla striata and its responses to low temperature and oxidative stress. Int. J. Mol. Sci. 2022, 23, 10057. [Google Scholar] [CrossRef]
- Hao, L.; Shi, X.; Qin, S.W.; Dong, J.H.; Shi, H.; Wang, Y.H.; Zhang, Y. Genome-wide identification, characterization and transcriptional profile of the SWEET gene family in Dendrobium officinale. BMC Genom. 2023, 24, 378. [Google Scholar] [CrossRef]
- Song, X.S.; Kou, Y.Q.; Duan, M.G.; Feng, B.; Yu, X.Y.; Jia, R.D.; Zhao, X.; Ge, H.; Yang, S.H. Genome-wide identification of the rose SWEET gene family and their different expression profiles in cold response between two rose species. Plants 2023, 12, 1474. [Google Scholar] [CrossRef]
- Chen, L.Q.; Qu, X.Q.; Hou, B.H.; Sosso, D.; Osorio, S.; Fernie, A.R.; Frommer, W.B. Sucrose efflux mediated by SWEET proteins as a key step for phloem transport. Science 2012, 335, 207–211. [Google Scholar] [CrossRef]
- Chen, L.Q. SWEET sugar transporters for phloem transport and pathogen nutrition. New Phytol. 2014, 201, 1150–1155. [Google Scholar] [CrossRef]
- Guo, W.J.; Nagy, R.; Chen, H.Y.; Pfrunder, S.; Yu, Y.C.; Santelia, D.; Frommer, W.B.; Martinoia, E. SWEET17, a facilitative transporter, mediates fructose transport across the tonoplast of Arabidopsis roots and leaves. Plant Physiol. 2014, 164, 777–789. [Google Scholar] [CrossRef] [PubMed]
- Klemens, P.A.W.; Patzke, K.; Deitmer, J.; Spinner, L.; Le, H.R.; Bellini, C.; Bedu, M.; Chardon, F.; Krapp, A.; Neuhaus, H.E. Overexpression of the vacuolar sugar carrier AtSWEET16 modifies germination, growth, and stress tolerance in Arabidopsis. Plant Physiol. 2013, 163, 1338–1352. [Google Scholar] [CrossRef] [PubMed]
- Sun, M.X.; Huang, X.Y.; Yang, J.; Guan, Y.F.; Yang, Z.N. Arabidopsis RPG1 is important for primexine deposition and functions redundantly with RPG2 for plant fertility at the late reproductive stage. Plant Reprod. 2013, 26, 83–91. [Google Scholar] [CrossRef] [PubMed]
- Chardon, F.; Bedu, M.; Calenge, F.; Klemens, P.A.; Spinner, L.; Clement, G.; Chietera, G.; Leran, S.; Ferrand, M.; Lacombe, B.; et al. Leaf fructose content is controlled by the vacuolar transporter SWEET17 in Arabidopsis. Curr. Biol. 2013, 23, 697–702. [Google Scholar] [CrossRef] [PubMed]
- Chen, H.Y.; Huh, J.H.; Yu, Y.C.; Ho, L.H.; Chen, L.Q.; Tholl, D.; Frommer, W.B.; Guo, W.J. The Arabidopsis vacuolar sugar transporter SWEET2 limits carbon sequestration from roots and restricts Pythium infection. Plant J. Cell Mol. Biol. 2015, 83, 1046–1058. [Google Scholar] [CrossRef] [PubMed]
- Kanno, Y.; Oikawa, T.; Chiba, Y.; Ishimaru, Y.; Shimizu, T.; Sano, N.; Koshiba, T.; Kamiya, Y.; Ueda, M.; Seo, M. AtSWEET13 and AtSWEET14 regulate gibberellin-mediated physiological processes. Nat. Commun. 2016, 7, 13245. [Google Scholar] [CrossRef]
- Ma, L.; Zhang, D.C.; Miao, Q.S.; Yang, J.; Xuan, Y.H.; Hu, Y.B. Essential role of sugar transporter OsSWEET11 during the early stage of rice grain filling. Plant Cell Physiol. 2017, 58, 863–873. [Google Scholar] [CrossRef]
- Morii, M.; Sugihara, A.; Takehara, S.; Kanno, Y.; Kawai, K.; Hobo, T.; Hattori, M.; Yoshimura, H.; Seo, M.; UeguchiTanaka, M. The dual function of OsSWEET3a as a gibberellin and glucose transporter is important for young shoot development in rice. Plant Cell Physiol. 2020, 61, 1935–1945. [Google Scholar] [CrossRef]
- Zhou, Y.; Liu, L.; Huang, W.F.; Yuan, M.; Zhou, F.; Li, X.H.; Lin, Y.J. Overexpression of OsSWEET5 in rice causes growth retardation and precocious senescence. PLoS ONE 2014, 9, e94210. [Google Scholar] [CrossRef]
- Ho, L.H.; Klemens, P.A.W.; Neuhaus, H.E.; Ko, H.Y.; Hsieh, S.Y.; Guo, W.J. SlSWEET1a is involved in glucose import to young leaves in tomato plants. J. Exp. Bot. 2019, 70, 3241–3254. [Google Scholar] [CrossRef]
- Redondo-Nieto, M.; Maunoury, N.; Mergaert, P.; Kondorosi, E.; Bonilla, I.; Bolaños, L. Boron and calcium induce major changes in gene expression during legume nodule organogenesis. Does boron have a role in signalling? New Phytol. 2012, 195, 24–29. [Google Scholar] [CrossRef] [PubMed]
- Seo, P.J.; Park, J.M.; Kang, S.K.; Kim, S.G.; Park, C.M. An Arabidopsis senescence-associated protein SAG29 regulates cell viability under high salinity. Planta 2011, 233, 189–200. [Google Scholar] [CrossRef] [PubMed]
- Huang, D.M.; Chen, Y.; Liu, X.; Ni, D.A.; Bai, L.; Qin, Q.P. Genome-wide identification and expression analysis of the SWEET gene family in daylily (Hemerocallis fulva) and functional analysis of HfSWEET17 in response to cold stress. BMC Plant Biol. 2022, 22, 211. [Google Scholar] [CrossRef] [PubMed]
- Liu, Z.C.; Liang, T.; Kang, C.Y. Molecular bases of strawberry fruit quality traits: Advances, challenges, and opportunities. Plant Physiol. 2023, 193, 900–914. [Google Scholar] [CrossRef] [PubMed]
- Liu, T.J.; Li, M.Z.; Liu, Z.H.; Ai, X.Y.; Li, Y.P. Reannotation of the cultivated strawberry genome and establishment of a strawberry genome database. Hortic. Res. 2021, 8, 41. [Google Scholar] [CrossRef] [PubMed]
- Wang, L.Q.; Guo, K.; Li, Y.; Tu, Y.Y.; Hu, H.Z.; Wang, B.R.; Cui, X.C.; Peng, L.C. Expression profiling and integrative analysis of the CESA/CSL superfamily in rice. BMC Plant Biol. 2010, 10, 57. [Google Scholar] [CrossRef]
- Breia, R.; Conde, A.; Badim, H.; Fortes, A.M.; Gerós, H.; Granell, A. Plant SWEETs: From sugar transport to plant-pathogen interaction and more unexpected physiological roles. Plant Physiol. 2021, 186, 836–852. [Google Scholar] [CrossRef]
- Li, J.M.; Qin, M.F.; Qiao, X.; Chen, Y.S.; Li, X.L.; Zhang, H.Q.; Wu, J. A new insight into the evolution and functional divergence of SWEET transporters in chinese white pear (Pyrus bretschneideri). Plant Cell Physiol. 2017, 58, 839–850. [Google Scholar] [CrossRef]
- Patil, G.; Valliyodan, B.; Deshmukh, R.; Prince, S.; Nicander, B.; Zhao, M.; Sonah, H.; Song, L.; Lin, L.; Chaudhary, J.; et al. Soybean (Glycine max) SWEET gene family: Insights through comparative genomics, transcriptome profiling and whole genome re-sequence analysis. BMC Genom. 2015, 16, 520. [Google Scholar] [CrossRef]
- Gasteiger, E.; Hoogland, C.; Gattiker, A. Protein identification and analysis tools on the ExPASy server. In The Proteomics Protocols Handbook; Humana Press: Totowa, NJ, USA, 2005; pp. 571–607. [Google Scholar]
- Hu, Y.B.; Sosso, D.; Qu, X.Q.; Chen, L.Q.; Ma, L.; Chermak, D.; Zhang, D.C.; Frommer, W.B. Phylogenetic evidence for a fusion of archaeal and bacterial SemiSWEETs to form eukaryotic SWEETs and identification of SWEET hexose transporters in the amphibian chytrid pathogen Batrachochytrium dendrobatidis. FASEB J. Off. Publ. Fed. Am. Soc. Exp. Biol. 2016, 30, 3644–3654. [Google Scholar] [CrossRef] [PubMed]
- Xuan, Y.H.; Hu, Y.B.; Chen, L.Q.; Sosso, D.; Ducat, D.C.; Hou, B.H.; Frommer, W.B. Functional role of oligomerization for bacterial and plant SWEET sugar transporter family. Proc. Natl. Acad. Sci. USA 2013, 110, E3685–E3694. [Google Scholar] [CrossRef]
- Severin, A.J.; Cannon, S.B.; Graham, M.M.; Grant, D.; Shoemaker, R.C. Changes in twelve homoeologous genomic regions in soybean following three rounds of polyploidy. Plant Cell. 2011, 23, 3129–3136. [Google Scholar] [CrossRef]
- Soltis, D.E.; Visger, C.J.; Soltis, P.S. The polyploidy revolution then… and now: Stebbins revisited. Am. J. Bot. 2014, 101, 1057–1078. [Google Scholar] [CrossRef]
- Nie, P.X.; Xu, G.X.; Yu, B.; Lv, D.G.; Xue, X.M.; Qin, S.J. Genome-wide identification and expression profiling reveal the potential functions of the SWEET gene family during the sink organ development period in apple (Malus × domestica Borkh.). Agronomy 2022, 12, 1747. [Google Scholar] [CrossRef]
- Li, Y.X.; Feng, S.; Ma, S.; Sui, X.L.; Zhang, Z.X. Spatiotemporal expression and substrate specificity analysis of the cucumber SWEET gene family. Front. Plant Sci. 2017, 8, 1855. [Google Scholar] [CrossRef] [PubMed]
- Chen, L.Q.; Cheung, L.S.; Feng, L.; Tanner, W.; Frommer, W.B. Transport of sugars. Annu. Rev. Biochem. 2015, 848, 865–894. [Google Scholar] [CrossRef] [PubMed]
- Liu, B.; Du, H.W.; Rutkowski, R.; Gartner, A.; Wang, X.C. LAAT-1 is the lysosomal lysine/arginine transporter that maintains amino acid homeostasis. Science 2012, 337, 351–354. [Google Scholar] [CrossRef] [PubMed]
- Collis, S.J.; DeWeese, T.L.; Jeggo, P.A.; Parker, A.R. The life and death of DNA-PK. Oncogene 2005, 24, 949–961. [Google Scholar] [CrossRef] [PubMed]
- Mukherjee, D.; Saha, D.; Acharya, D.; Mukherjee, A.; Chakraborty, S.; Ghosh, T.C. The role of introns in the conservation of the metabolic genes of Arabidopsis thaliana. Genomics 2018, 110, 310–317. [Google Scholar] [CrossRef] [PubMed]
- Morello, L.; Giani, S.; Troina, F.; Breviario, D. Testing the IMEter on rice introns and other aspects of intron-mediated enhancement of gene expression. J. Exp. Bot. 2011, 62, 533–544. [Google Scholar] [CrossRef] [PubMed]
- Ko, H.Y.; Ho, L.; Neuhaus, H.E.; Guo, W. Transporter SlSWEET15 unloads sucrose from phloem and seed coat for fruit and seed development in tomato. Plant Physiol. 2021, 187, 2230–2245. [Google Scholar] [CrossRef]
- Li, J.; Chen, D.; Jiang, G.L.; Song, H.Y.; Tu, M.Y.; Sun, S.X. Molecular cloning and expression analysis of EjSWEET15, enconding for a sugar transporter from loquat. Sci. Hortic. 2020, 272, 109552. [Google Scholar] [CrossRef]
- Baker, R.F.; Leach, K.A.; Braun, D.M. SWEET as sugar: New sucrose effluxers in plants. Mol. Plant. 2012, 5, 766–768. [Google Scholar] [CrossRef]
- Verdier, V.; Triplett, L.R.; Hummel, A.W.; Corral, R.; Cernadas, R.A.; Schmidt, C.L.; Bogdanove, A.J.; Leach, J.E. Transcription activator-like (TAL) effectors targeting OsSWEET genes enhance virulence on diverse rice (Oryza sativa) varieties when expressed individually in a TAL effector-deficient strain of Xanthomonas oryzae. New Phytol. 2012, 196, 1197–1207. [Google Scholar] [CrossRef] [PubMed]
- Guo, C.Y.; Li, H.Y.; Xia, X.Y.; Liu, X.Y.; Yang, L. Functional and evolution characterization of SWEET sugar transporters in Ananas comosus. Biochem. Biophys. Res. Commun. 2018, 496, 407–414. [Google Scholar] [CrossRef] [PubMed]
- Yuan, J.P.; Liu, T.K.; Yu, Z.H.; Li, Y.; Ren, H.B.; Hou, X.L.; Li, Y. Genome-wide analysis of the Chinese cabbage IQD gene family and the response of BrIQD5 in drought resistance. Plant Mol. Biol. 2019, 99, 603–620. [Google Scholar] [CrossRef] [PubMed]
- Li, C.Y.; Shi, J.X.; Weiss, D.; Goldschmidt, E.E. Sugars regulate sucrose transporter gene expression in citrus. Biochem. Biophys. Res. Commun. 2003, 306, 402–407. [Google Scholar] [CrossRef]
- Xue, J.Q.; Tang, Y.; Wang, S.L.; Yang, R.W.; Xue, Y.Q.; Wu, C.H.; Zhang, X.X. Assessment of vase quality and transcriptional regulation of sucrose transporter and invertase genes in cut peony (Paeonia lactiflora ‘Yang Fei Chu Yu’) treated by exogenous sucrose. Postharvest Biol. Technol. 2018, 143, 92–101. [Google Scholar] [CrossRef]
- Sakr, S.; Wang, M.; Dédaldéchamp, F.; Perez-Garcia, M.D.; Ogé, L.; Hamama, L.; Atanassov, R. The sugar-signaling hub: Overview of regulators and interaction with the hormonal and metabolic network. Int. J. Mol. Sci. 2018, 19, 2506. [Google Scholar] [CrossRef]
- Jia, H.F.; Wang, Y.H.; Sun, M.Z.; Li, B.B.; Han, Y.; Zhao, Y.X.; Jia, W.S. Sucrose functions as a signal involved in the regulation of strawberry fruit development and ripening. New Phytol. 2013, 198, 453–465. [Google Scholar] [CrossRef]
Disclaimer/Publisher’s Note: The statements, opinions and data contained in all publications are solely those of the individual author(s) and contributor(s) and not of MDPI and/or the editor(s). MDPI and/or the editor(s) disclaim responsibility for any injury to people or property resulting from any ideas, methods, instructions or products referred to in the content. |
© 2024 by the authors. Licensee MDPI, Basel, Switzerland. This article is an open access article distributed under the terms and conditions of the Creative Commons Attribution (CC BY) license (https://creativecommons.org/licenses/by/4.0/).









