You are currently viewing a new version of our website. To view the old version click .
Horticulturae
  • Feature Paper
  • Article
  • Open Access

18 December 2024

Optimal Harvest Maturity Changes Depending on the Season Throughout the Year in Papaya Grown in Mediterranean Climate-Improved Greenhouses

,
,
and
1
Department of Agronomy, University of Almería, ceiA3, CIAIMBITAL, Ctra. Sacramento s/n, La Cañada de San Urbano, 04120 Almería, Spain
2
Cajamar Experimental Station ‘Las Palmerillas’, Paraje Las Palmerillas 25, El Ejido, 04710 Almería, Spain
*
Author to whom correspondence should be addressed.
This article belongs to the Section Protected Culture

Abstract

Papaya is a tropical fruit that is highly appreciated worldwide for its organoleptic properties and its nutritional and medicinal value. The optimal fruit quality for market requirements is determined by genotype, environmental conditions, and crop management, as well as fruit handling at harvest and adequate postharvest conservation. The aim of this work was to determine the optimal maturity stage, based on skin color, at which to harvest papayas grown in Mediterranean greenhouses with active climate control in south-east Spain, depending on the harvest season. We confirm that it is possible to produce high-quality papayas in our conditions, but the optimal harvest maturity stage in each season, along with the postharvest storage capacity, vary throughout the year, even with active climate control. Thus, 10% yellow skin color (S0) is the optimal for harvesting in autumn, mainly due to its better conservation capacity and firmness, having a high TSS content (>11 °Brix). In summer and spring, the lower TSS content discourages harvesting at S0, with S1 (30–40% yellow skin color) or S2 (50–60% yellow skin color) being the optimal stages for harvest to ensure the minimum TSS content required for papaya commercialization (10 °Brix). In any case, papayas produced under our conditions are generally well rated by consumers.

1. Introduction

Papaya (Carica papaya L.) is a tropical fruit crop, grown in tropical and subtropical regions, that requires temperatures between 21 and 33 °C for correct development; it does not tolerate temperatures less than 15 °C, and prolonged dry periods reduce crop production [1]. The total papaya cultivation area in the world currently exceeds 500,000 ha, with 13.8 million tons produced, primarily by India, with 5.3 Mt, followed by the Dominican Republic, Mexico, Brazil, and Indonesia, with around 1 Mt produced in 2022 [2]. In Europe, papaya is grown mainly in the Canary Islands and south-east Spain, where protected cultivation is mandatory, as temperatures are often outside the optimal range for papaya, too high in summer and, too low in winter [3]. In Spain, the total papaya area cultivated last year was 471 ha, with most of the fruits grown under greenhouses [4]. Thus, Spain is a major exporter of papaya to Europe, where fruits can arrive in 3 or 4 days by road transport, complementing the supply of papaya from Brazil, the main exporter to this continent, which supplied more than 85% of the total papaya imported in 2022 [5].
Papaya fruit is a berry that is highly appreciated worldwide for its organoleptic properties and its nutritional and medicinal value [6]. Fruit quality is determined not only by genotype and preharvest crop management, but also by fruit handling, so careful harvesting and postharvest conservation are required to ensure optimum papaya quality in accordance with market demands. Regarding quality, fruit ripening on the tree is associated with better-quality parameters than fruit under storage [7]. However, papaya is a climacteric fruit that undergoes skin and pulp color changes and rapid pulp softening. It presents limited postharvest conservation capacity due to its rapid loss of firmness, and it is its sensitivity to mechanical damage during fruit handling and to chilling injuries, as well as to postharvest diseases and rots such as anthracnose, that causes the most significant economic fruit losses [8,9]. For all these reasons, the shelf life of papaya is limited, and therefore, the fruits must be harvested before they reach their full ripeness on the tree, in order to be marketed with adequate quality. In any case, the geographical proximity of Spain to the European market, the main destination of its exports, can allow papayas to be harvested in a more advanced maturity stage than in other exporting countries [10].
On the other hand, it is possible to produce good-quality papayas in Mediterranean greenhouses, although, in certain seasons, irregular yields and fruit quality are obtained due to unfavorable environmental conditions [10,11]. This variation in quality suggests a different optimal harvesting stage [10]. In a study carried out by our research group, the effect of climate improvement by cooling and heating systems in low-technology greenhouses in south-east Spain on yields and quality was analyzed. In this context, Salinas et al. [3] presented the results they obtained mainly for the yield and the profitability of the systems’ implementation. Here, we analyze the quality and postharvest evolution of fruits harvested in different maturity stages in different harvest seasons throughout the year, with the aim of assessing if active climate control can modify the optimal harvest maturity.

2. Materials and Methods

2.1. Site and Plant Material

Fruits of the ‘Siluet’ papaya cultivar were harvested from a plantation initiated on 6 April 2016, in a multi-tunnel greenhouse with active climate control (ACC) of the Cajamar Experimental Station ‘Las Palmerillas’, located in El Ejido, Almería (Latitude: 36°48′ N, Longitude: 2°43′ W, Altitude 151 m). The ACC consisted of heating and cooling systems, in addition to natural ventilation by two lateral side panels and a roof window, and roof whitening, which was performed in June 2017. The heating system was a hot air flow created with an Ermaf RGA95 (Elster- Instromet B.V., Silvolde, The Netherlands) heater using diesel as fuel; it was activated when the temperature was ≤15 °C during the first cold period (November 2016 to March 2017), and ≤12 °C during the second period (November 2017 to March 2018). Cooling was achieved with a low-pressure (4 bars) CoolNet Pro (Netafim Iberia, Valencia, Spain) nebulization system, with 5.5 L h−1 double-emitter nozzles, spaced 0.1 m−2 apart, and a 1 L m−2 h−1 flow, which was activated when the relative humidity was below 60%. The climate conditions in the greenhouse were also monitored throughout the growing cycle (Figure 1), as described in Salinas et al. [3]. The standard management for the protected cultivation of papaya in this region was carried out.
Figure 1. Maximum, average, and minimum (a) air temperatures and (b) relative humidity in the greenhouse throughout the growing cycle. Horizontal dashed lines indicate the optimal ranges for papaya [3]. Yellow arrows indicate the harvest dates of the fruit used in this study: early summer, autumn, and spring, respectively.

2.2. Fruit Quality at Harvest and Postharvest Quality Evolution

Papaya fruits were harvested in June 2017, November 2017, and March–April 2018, representing early summer, autumn, and spring, respectively. In each season, fruits were harvested at three different maturity stages, determined by skin color: fruit with 10% yellow skin color (S0), 20–30% yellow skin color (S1), and 50–60% yellow skin color (S2). More advanced maturity stages were not collected, as previous studies have shown that their postharvest life is very limited, and papayas are only suitable for immediate consumption [10].
Fruit quality was assessed at harvest (day 0), after 6 days of cold storage in a controlled-environment chamber at 12 °C and 80% RH, and after 3 and 7 days of additional storage at room temperature (22 °C) after the cold period (day 6 + 3 and 6 + 7, respectively), to simulate transport and the commercial chain [11,12]. Four fruits were used as replicates for every maturity stage and assessment date. Fruit quality was evaluated according to several physicochemical parameters: weight, skin and pulp color, pulp firmness, total soluble solids (TSS) content, and titratable acidity (TA). For weight determination, the fruits were weighed on a precision balance (d = 0.1 g) (model EK-1200i, A&D, Ann Arbor, MI, USA), and their weight was expressed in grams. Skin and pulp color were determined using a colorimeter (model CR-400, Konica Minolta, Co., Tokyo, Japan) in three equatorial positions for each fruit, and the results were expressed according to the fruit’s hue angle (h°), which indicates the color tone, so that an angle of 0° corresponds to red, 45° to orange, 60° to orangey-yellow, 90° to yellow, and 120° to a yellowish-green color [13]. Firmness was determined as the resistance to penetration, using a texturometer with a plunger 8 mm in diameter and with a speed of 20 mm per min−1 (model EG50, Mark-10, Co., Copiague, NY, USA), in two opposite equatorial points for each fruit, after the peel was removed; this was expressed in Newtons (N). Additionally, upon eating, the pulp hardness of each fruit was sensorily estimated, using a subjective scale from 1 to 5 (1: too soft; 2: soft; 3: medium or adequate, 4: hard, 5: too hard). The TSS and TA were measured in each fruit’s filtered juice, extracted by homogenizing the fruit flesh in a blender. The TSS content was determined using a digital refractometer (model PR-32α, Atago Co., Tokyo, Japan), and expressed as °Brix. The TA was calculated by titration with 0.1 N NaOH and phenolphthalein as an indicator, and expressed as g citric acid L−1.

2.3. Sensory Analyses

Finally, sensory analyses were also carried out in each season (June 2017, November 2017, and May 2018) to evaluate consumer acceptance depending on the maturity stage at harvest. All the fruits were evaluated at edible firmness; for this, fruits (5–6 fruits per maturity stage) were collected at different times depending on their maturity stage, and stored at room temperature until they reached edible firmness (5–7 days, 3–6 days, and 2–5 days, depending on the season, for fruits in stages 0, 1, and 2, respectively). Thus, 32 untrained tasting panelists evaluated various fruit attributes: visual skin and pulp color, touch firmness, aroma, hardness, sweetness, and acidity, and provided an overall score for visual appearance, hardness, and flavor. Two halved fruits from each stage were used for the visual evaluation, while 2 × 2 cm portions from 4–5 fruits were used for the flavor and hardness evaluations. A five-point hedonic scale was used for each attribute, with 1 as the worst (or the lowest) and 5 as the best value.

2.4. Statistical Analysis

Four fruits were used as replicates for each fruit quality evaluation. The data were subjected to analysis of variance (ANOVA), and the means were separated by Tukey’s test, using Statistix 8.0 software (Analytical Software, Tallahassee, FL, USA).

3. Results

3.1. Fruit Quality at Harvest

Papaya fruits were harvested at three different maturity stages (S0, S1, and S2) according to their visual skin color, and several physicochemical quality parameters were evaluated in the summer, autumn, and spring ripening seasons (Table 1).
Table 1. Physicochemical quality parameters of ‘Siluet’ papaya harvested at different maturity stages (S0: 10% yellow skin, S1: 20–30% yellow skin, S2: 50–60% yellow skin) and at different seasons throughout the year.
The results showed that maturity at harvest did not affect fruit weight in any season. The average fruit weight was 1214 g, 1193 g, and 1253 g, for S1, S2, and S3, respectively. However, the harvest season affected fruit weight: fruits harvested in summer were lighter (p = 0.000) than those harvested in autumn and spring (Table 1).
As expected, there was a significant effect of maturity stage on skin color (h° parameter) in all ripening seasons (Table 1). Hue angle values decreased with maturity, ranging between 111 and 123 in S0, 105 and 112 in S1, and 95 and 104 in S2, depending on the harvest season. Statistical differences were generally found between S0 and S2 fruits harvested in the same season. The skin color for the same maturity stage was similar in the different harvest seasons, although, in general, the spring fruits showed slightly lower h° values (more yellowish) than those harvested in other seasons (Table 1). However, differences in pulp color between maturity stages were minor. Pulp h° also decreased with ripening, with mean values of 65°, 62°, and 61° in S0, S1, and S2 fruits (which represented an orange-yellow color), respectively, but statistical differences were only found between S0 fruits and those in more advanced stages in the summer and autumn harvests. In spring, there was no significant effect of maturity stage, and in terms of skin color, the fruits were the ones with the least orangey color (the highest h° values) (Table 1).
All the fruits showed high firmness at harvest, with values generally above 100 N (except S2 fruit harvested in summer, which was slightly lower), and this decreased with increasing maturity stage (Table 1). In summer, the differences in firmness were always significant between the different stages, while in autumn, only the firmness of S2 fruits was statistically lower than S0 and S1 fruits. However, in spring, no statistical differences were found between stages. Regardless of maturity stage, the firmness of fruits harvested in summer was lower than that of autumn and spring fruits (p = 0.0001) (Table 1). Pulp hardness was also very high at harvest in all seasons, with a maximum value of 5 in all stages studied (too hard for eating), except for in summer, in which season the S2 fruits had a value of 4 (Table 2).
Table 2. Postharvest evolution of the sensory scores of pulp hardness of ‘Siluet’ papaya fruits harvested at different maturity stages (S0: 10% yellow skin, S1: 20–30% yellow skin, S2: 50–60% yellow skin) and at different seasons. Storage for 6 days at 12 °C, and then 7 days at 22 °C and 80% RH.
The TSS content was statistically different between the harvest seasons (p = 0.000). Autumn fruits had the highest TSS content, significantly higher than spring fruits, which in turn had a higher content than summer fruits (Table 1). Likewise, the TSS content was higher in general as maturation progressed, although the differences between maturity stages were not equal throughout the year. In both spring and summer, S2 fruits had significantly higher TSS contents than S1 and S0 fruits. However, in autumn, no statistical differences were found between stages, with values between 11 and 12.4 °Brix obtained. In summer, when the TSS content was lowest, only the most mature fruits (S2) exceeded 10 °Brix, while the S0 fruits had only 8.2 °Brix, and the S1 fruits had 9.4 °Brix. In spring, fruits of all stages exceeded 10 °Brix, with S2 fruits reaching 11.5 °Brix. Fruit acidity was generally low (0.6–1.0 g citric acid L−1), and no statistical differences were found between stages or harvesting seasons (Table 1).

3.2. Postharvest Quality Evolution

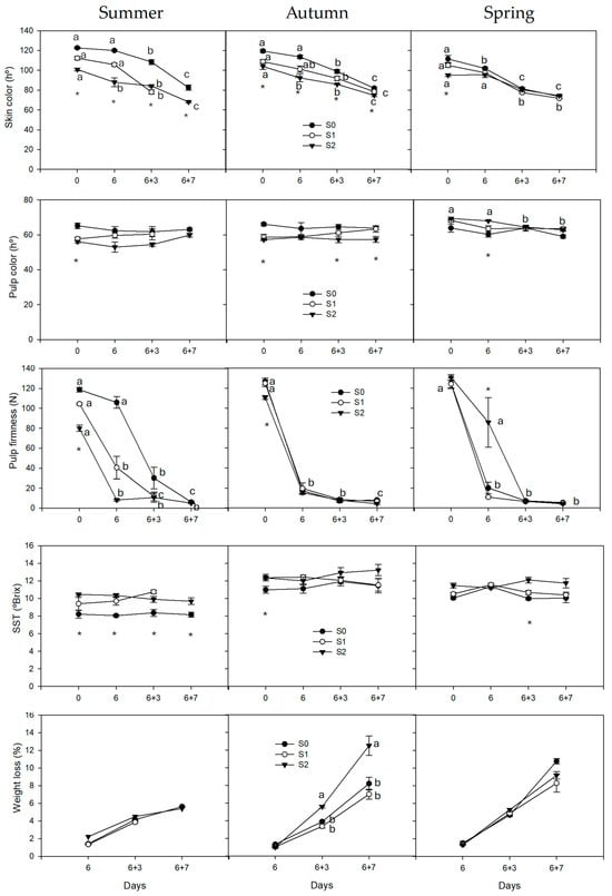
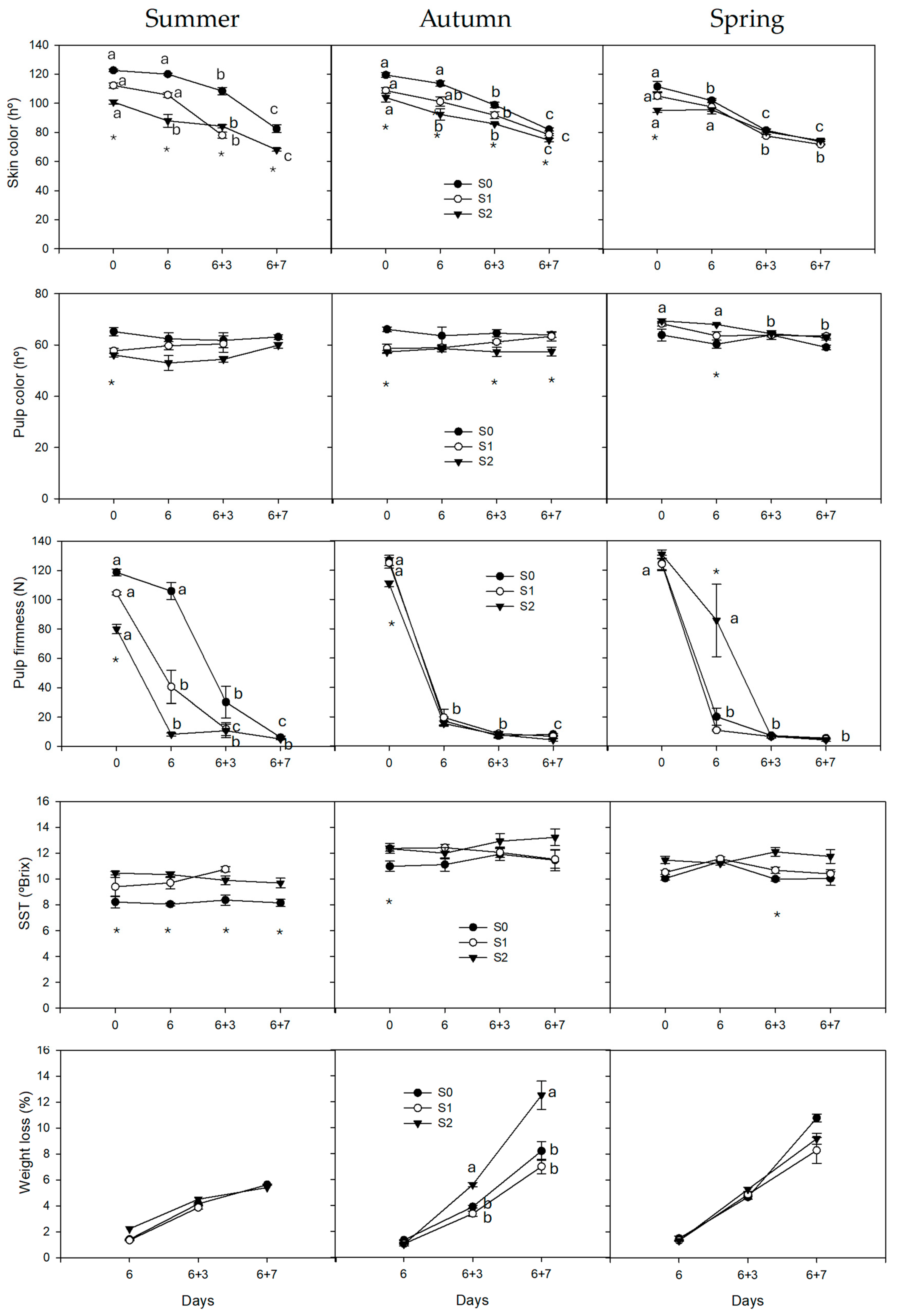
Figure 2 shows the evolution of fruit quality parameters in the tree maturity stages and in the different harvest seasons, after cold storage (12 °C) for 6 days, simulating the transport time for exportation, and after the subsequent period under shelf conditions (22 °C). During postharvest, all the fruits lost firmness and their skin color changed; however, there was no significant change in pulp color (except in specific cases) or TSS content (Figure 2). A downward trend in h° was observed for skin color, and the fruits became more yellowish. During cold storage, this decrease was very slight (only significant in S2 fruits), and then more pronounced during ripening at room temperature. Although, in general, statistical differences in h° were maintained between the S0 stage and the other two stages, all the fruits showed similar values at the final date (79° in S0, and 76.2° and 72.5° in S1 and S2, respectively), with all of them already being orangey-yellow.
Figure 2. Evolution of quality parameters of fruits harvested at different maturity stages in summer, autumn, and spring seasons, after cold storage (12 °C) for 6 days, and after subsequent ripening under shelf conditions (22 °C). Different letters within each maturity stage show statistical differences between days. * indicates statistical differences between maturity stages for each specific date.
Pulp firmness decreased significantly in all fruits, regardless of maturity stage and harvesting season (Figure 2). In summer, after six days of cold storage, firmness decreased in all stages, although it remained above 100 N in S0 fruits, around 40 N in S1 fruits, and below 20 N in S2 fruits; however, in autumn and spring, firmness notably decreased in all maturity stages, reaching a value between 10 and 20 N at six days of cold storage (Figure 2). At this time, most of the fruits had good pulp hardness for consumption, having values around 3, with summer S0 and S1 fruits and spring S0 fruits being somewhat harder (4) (coinciding with the highest pulp firmness measured) (Table 2 and Figure 2). Subsequently, during storage at room temperature, firmness decreased further in all fruits. After three days at room temperature, firmness was below 10 N in autumn and spring, while in summer, it remained somewhat above 10 N, with the S0 fruits reaching 30 N (Figure 2). At this time, most of the fruits maintained a good texture for consumption (3); it was only slightly softer in the autumn S2 fruits (Table 2). At 7 days, pulp firmness decreased further, although no longer significantly, and all fruits, regardless of maturity at harvest, had values between 4 and 6 N (the summer S1 fruits were all lost, due to a problem with temperature control in the storage chamber). Despite having similar pulp firmness, the S1 and S2 fruits from summer and autumn were considered too soft for consumption after 7 days under shelf conditions (Table 2 and Figure 2).
TSS content and pulp color remained constant throughout the whole postharvest period, both under cold storage and at room temperature, with fruits maintaining, in general, the values obtained at harvest (Figure 2). On the other hand, acidity values, which were low and equal in all stages of ripening, varied very slightly after harvest.
All the fruits underwent postharvest weight loss (Figure 2). During cold storage, this loss was slight, at about 1–1.5%, in all fruits from all seasons, except for the summer S2 fruits, in which the loss was slightly greater (2%); weight loss accelerated at room temperature, with differences between maturity stages depending on the season (Figure 2). In summer, weight loss was very similar at all stages, at about 4% at 3 days and slightly more than 5.5% at 7 days. In autumn and spring, the weight loss after 3 days at room temperature was similar to that recorded in summer (between 3.4 and 5%); however, it was higher at 7 days, reaching values above 10% in some ripening stages, although in autumn, the highest loss occurred in the S2 fruits, while in spring it occurred in the S0 fruits (Figure 2).

3.3. Sensory Analyses

Figure 3 shows the scores obtained for the ripe fruits with edible firmness according to their maturity stage at harvest, from the tastings carried out in the three harvesting seasons. The comparisons of the overall appearance, flavor, and texture of fruits between harvest maturity stages were different depending on the harvest season. Although no statistical differences were found, in summer and spring, the fruits that were rated the worst for their appearance were the S0 fruits, and those rated the best were the S2 fruits; however, in autumn, the S2 fruits had the worst overall rating in terms of appearance (Figure 3). The panelists detected and rated the skin color of the fruits differently in all the seasons, and it was established that the higher the maturity stage at harvest, the more attractive the color (Figure 3). They also rated the pulp color differently between maturity stages; however, the best-rated stage depended on the season. In summer and spring, the most attractive pulp color was that of S2 fruits, while in autumn it was that of the S0 fruits. This coincided with the ratings of overall appearance, that is, the best-rated fruits were those with the most attractive pulp. Papayas harvested at stage S0 always had greater touch firmness than S2 fruits (Figure 3). Regarding the overall rate of flavor and texture, statistical differences between stages were only found in autumn and spring, and not in summer. As for the assessment of appearance, the overall assessment of flavor and texture was different depending on the season. In both summer and spring, the best-rated fruits were those collected in the most advanced maturity stage, S2, with good values (~4) (Figure 3) that coincided with the better ratings for sweetness. However, in autumn, the S2 fruits were the worst rated. In this season, the panelists rated all the fruits as equally sweet, and the worst overall flavor rating of the S2 fruits coincided with the worst texture, which was rated between very soft and soft (Figure 3). No statistical differences were found in aroma and acidity, with an aroma rating between good and bad, and an acid rating between very little and little (Figure 3).
Figure 3. Sensory analysis scores of ripe fruits from S0, S1, and S2, for ‘Siluet’ papaya harvested in June 2017 (Summer), November 2017 (Autumn), and April 2018 (Spring). Attribute values: skin and pulp color, and overall appearance (1: very unattractive, 2: unattractive, 3: medium, 4: attractive, 5: very attractive); touch firmness and texture (hardness) (1: too soft, 2: soft, 3: good texture, 4: hard, 5: too hard); sweetness (1: not sweet, 2: a little sweet, 3: medium-sweet, 4: sweet, 5: very sweet); acidity (1: not acidic, 2: a little acidic, 3: medium, 4: acidic, 5: very acidic); aroma and overall texture and flavor (1: I really dislike it, 2: I dislike it, 3: I do not like or dislike it, 4: I like it, 5: I really like it). * indicates statistical differences between maturity stages (Tukey test, p < 0.05).

4. Discussion

Protected cultivation allows and makes profitable the cultivation of papaya in subtropical regions of the world [14]. Beyond these regions, Salinas et al. [3] have demonstrated that the implementation of active climate control (ACC; natural ventilation and cover whitening, and heating and cooling systems) in greenhouses in south-east Spain favors papaya plant growth, flowering, fruit development, and, consequently, yields. However, in our study, we found that improvements in climate did not favor fruit quality, especially in terms of total soluble solids (TSS) content at harvest, and the quality of fruits with the same skin color (i.e., at the same maturity stage) varied between seasons. Therefore, this affects the optimal harvest maturity stage in different production seasons, which depends on the fruit’s quality at harvest and its postharvest storage capacity.
Our results show that the harvest season significantly influenced key quality parameters, especially TSS content and firmness, as well as consumer acceptance (Table 1; Figure 1 and Figure 2). Fruits with the same skin color showed significantly different TSS values depending on the harvest season. In autumn, fruits had a higher TSS content, without statistical differences between maturity stages, reaching values higher than or very close to the minimum of 11.5 °Brix established by the most demanding markets [15,16]. However, in spring, and especially in early summer, TSS values were significantly lower. In spring, only S2 fruit (with 50% yellow color) reached a value of 11.5, while S1 and S0 fruit had significantly lower values, but exceeded 10 °Brix, which is considered the minimum acceptable value for export to European markets [17]. In summer, however, only S2 fruits reached values suitable for commercialization. Our results align with those of other authors [14], who found that fruit harvested in autumn and winter reached the highest TSS content. These fruits set and developed during periods of higher temperatures, in spite of having matured in the cooler seasons. However, an increase in the minimum temperature achieved by heating during the winter was not sufficient to increase the TSS content of fruit harvested in spring and summer. It is striking in our results that the fruits with the lowest TSS levels were those harvested in early summer, despite having developed at higher temperatures (>15 °C) than the fruits harvested in spring (developed at lower minimum temperatures). Cabrera et al. [18] found that a minimum relationship between the number of leaves and fruits is required for an adequate level of TSS. Summer fruits were one of the first fruit groups harvested in this crop cycle, just after the maximum spring production peak in these plants (>5 kg m−2), which could have led to a lower leaf/fruit ratio, and could explain the lower TSS levels at this time compared to the following spring. The higher yields in this season may also explain the significantly lower fruit weight harvested.
Regarding fruit quality parameters, some studies highlight that consumers prefer small (~1 kg) and sweet (>10 °Brix) papayas, and also indicate that the size distribution pattern varies from year to year, mainly due to the production breaks associated with a scarce fruit set [3]. In this study, the picking season did not have a significant influence on the other parameters studied at harvest. Although the firmness of the fruits harvested in summer was statistically lower than those harvested in the other seasons, the values were very high in all fruits, and they were evaluated as having inedible hardness in all cases (Table 1).
Changes in skin color, firmness, and TSS content are trusted indicators of papaya fruit ripeness [19]. In general, the postharvest evolution of the determined parameters was very similar between seasons, especially for color and TSS content. During both cold and shelf-condition storage, the fruits changed their skin color, reaching similar values at the end of the study period in all seasons, while neither flesh color nor TSS content varied significantly for any fruits in any season, with differences maintained between the stages at harvest. As for pulp firmness, after cold storage, all fruits had values around 20 N, considered as having edible firmness [20], except for the S0 and S1 fruits harvested in summer, which remained firmer. This aligns with the data obtained from the subjective evaluation of mouth pulp hardness (Table 2), which show that these fruits still felt hard at this time. Subsequently, during the shelf period, although firmness declined at all stages and showed similar values, pulp hardness was evaluated differently depending on the maturation stage. Acceptable mouth hardness was maintained longer the lower the maturity stage, with differences between harvesting seasons. The S0 fruits always maintained a good mouth hardness, with a shelf-life of up to 7 days, as did the S1 fruits in spring. The S2 fruits only had acceptable hardness for up to 3 days in summer and spring, and for even less time in autumn (Table 2).
Harvest season also affected the evaluation of fruits of different maturity stages in the sensory analysis. In spring and summer, the best-valued fruits were the S2 fruits, both in appearance and flavor, while in autumn, the S0 fruits were the most appreciated (Figure 3). The better taste score of the S2 fruits in spring and summer coincided with their greater sweetness, since no statistical differences were found in aroma, acidity, or texture between stages. In autumn, however, the panelists did not detect differences in fruit sweetness, and the better evaluation of the S0 fruits coincided here with a better texture, since the S2 fruits in this case were classified as too soft (Figure 3). In this context, other authors have also demonstrated that a dissociation occurs between sugar content and sweetness perception [21]. The assessment of external appearance was closely related to the assessment of pulp color, and the best-looking fruits were those with the most attractive pulp, which were the S2 fruits in summer and spring, yet the S0 fruits in autumn (Figure 3).

5. Conclusions

The optimal harvest maturity stage depends on papaya fruit’s quality at harvest and its postharvest storage capacity. The implementation of active climate control in greenhouses in south-east Spain neither improves nor maintains constant papaya fruit quality throughout the year, since seasonal differences in quality were observed in papayas with the same skin color. In addition, although papayas produced under protected cultivation provided with ACC in Spain are generally accepted and well rated by consumers, as confirmed in this work, the different quality and the postharvest evolution in each production season determines a different optimal harvest maturity depending on the season. Our results suggest harvesting papaya at the S2 stage in summer, in order to ensure the minimum TSS content required for papaya (10 °Brix), even though its commercialization in long-distance markets is limited. In autumn, however, the fruits should be harvested at the S0 stage, when the fruits have a good quality in terms of sugar content, and to ensure a good firmness for consumption. Finally, in spring, S1 or S2 are the best stages for harvest, especially the S1 stage, which ensures an optimal fruit quality for long-distance destinations.

Author Contributions

Conceptualization, V.P.; methodology, V.P.; software, I.S. and V.P.; validation, V.P.; formal analysis, I.S. and V.P; investigation, I.S., A.C., J.J.H. and V.P.; resources, I.S. and V.P.; data curation, V.P.; writing—original draft preparation, I.S. and V.P.; writing—review and editing, I.S., J.J.H. and V.P.; visualization, I.S., J.J.H. and V.P.; supervision, V.P.; project administration, J.J.H. and V.P.; funding acquisition, J.J.H. and V.P. All authors have read and agreed to the published version of the manuscript.

Funding

This research was funded by UE—FEDER and the Center for Industrial Technological Development (CDTI), within the FEDER-INNTERCONECTA program, project code ITC-20161162.

Data Availability Statement

The data presented in this study are available on request from the corresponding author because we believe that this is the best way for applicants to understand.

Conflicts of Interest

The authors declare no conflicts of interest.

References

  1. Gonçalves, J.; Pierre, A. Papaya: Nutritional and pharmacological characterization, and quality loss due to physiological disorders. An overview. Food Res. Int. 2011, 44, 1306–1313. [Google Scholar]
  2. FAOSTAT. 2024. Available online: https://www.fao.org/faostat/es/#data/QCL/visualize (accessed on 21 July 2024).
  3. Salinas, I.; Hueso, J.J.; Cuevas, J. Active Control of Greenhouse Climate Enhances Papaya Growth and Yield at an Affordable Cost. Agronomy 2021, 11, 378. [Google Scholar] [CrossRef]
  4. MAPA. Encuesta Sobre Superficies y Rendimientos de Cultivos (ESYRCE); Resultados Provisionales Nacionales y Autonómicos 2023; Ministerio de Agricultura, Pesca y Alimentación, Secretaría General Técnica, Eds.; Centro de Publicaciones, Catálogo de Publicaciones de la Administración General del Estado: Madrid, Spain, 2023; Available online: https://www.mapa.gob.es/es/estadistica/temas/estadisticas-agrarias/boletin20231_tcm30-690544.pdf (accessed on 22 July 2024).
  5. Tridge. 2023. Available online: https://www.tridge.com/es/ (accessed on 22 July 2024).
  6. Ruiz-Coutiño, P.; Adriano-Anaya, L.; Salvador-Figueroa, M.; Gálvez-López, D.; Rosas-Quijano, R.; Vázquez-Ovando, A. Organic Management of ‘Maradol’ Papaya (Carica papaya L.) Crops: Effects on the Sensorial and Physicochemical Characteristics of Fruits. Agriculture 2019, 9, 234. [Google Scholar] [CrossRef]
  7. Baragán-Iglesias, J.; Méndez-Lagunas, L.L.; Rodríguez-Ramírez, J. Ripeness indexes and physicochemical changes of papaya (Carica papaya L. cv. Maradol) during ripening on-tree. Sci. Hortic. 2018, 236, 272–278. [Google Scholar] [CrossRef]
  8. Alias, M.R.; Somasundram, C.; Razali, Z. Utilisation of hot water treatment on papaya (Carica papaya L. cv. Eksotika II) to elucidate disease resistance and maintain postharvest quality. Int. Food Res. J. 2023, 30, 577–590. [Google Scholar] [CrossRef]
  9. Vinod, B.R.; Asrey, R.; Sethi, S.; Prakash, J.; Meena, N.K.; Menaka, M.; Mishra, S.; Shivaswamy, G. Recent advances in physical treatments of papaya fruit for postharvest quality retention: A review. eFood 2023, 4, e79. [Google Scholar] [CrossRef]
  10. Pinillos, V.; López, A.; Salinas, I.; Hueso, J.J.; Cuevas, J. Effects of stage of harvest maturity and season on fruit quality of papaya cultivated in southeast Spain greenhouses. Acta Hortic. 2018, 1194, 143–148. [Google Scholar] [CrossRef]
  11. Cámara, M.M.; Díez, C.; Torija, M.E. Changes during ripening of papaya fruit in different storage systems. Food Chem. 1993, 46, 81–84. [Google Scholar] [CrossRef]
  12. An, J.F.; Paull, E.E. Storage temperature and ethylene influence on ripening of papaya fruit. J. Am. Soc. Hortic. Sci. 1990, 115, 949–953. [Google Scholar] [CrossRef]
  13. Scalisi, A.; O’Connell, M.G.; Islam, M.S.; Goodwin, I. A Fruit Colour Development Index (CDI) to Support Harvest Time Decisions in Peach and Nectarine Orchards. Horticulturae 2022, 8, 459. [Google Scholar] [CrossRef]
  14. Günes, E.; Öziyci, H.R.; Gübbük, H. Quality of different papaya cultivars grown in the greenhouse throughout the year in subtropical regions. Food Sci. Eng. 2021, 3, 20–30. [Google Scholar] [CrossRef]
  15. Kader, A.A. Quality assurance of harvested horticultural perishables. Acta Hortic. 2001, 553, 51–55. [Google Scholar] [CrossRef]
  16. Chen, N.J.; Manenoi, A.; Paull, R.E. Papaya postharvest physiology and handling—Problems and solutions. Acta Hortic. 2007, 740, 285–294. [Google Scholar] [CrossRef]
  17. Medina, S.; Acosta, M.A. Estudio comparativo de siete cultivares de papaya. Rev. Agropecu. 2015, 22, 6–18. [Google Scholar]
  18. Cabrera, J.A.; Ritter, A.; Raya, V.; Pérez, E.; Lobo, M.G. Papaya (Carica papaya L.) phenology under different agronomic conditions in the subtropics. Agriculture 2021, 11, 173. [Google Scholar] [CrossRef]
  19. Paull, R.E.; Nishijima, W.; Reyes, M.; Cavaletto, C. Postharvest handling and losses during marketing of papaya (Carica papaya L.). Postharvest Biol. Technol. 1997, 11, 165–179. [Google Scholar] [CrossRef]
  20. Umaña, G.; Loría, C.L.; Gómez, J.C. Efecto del grado de madurez y las condiciones de almacenamiento sobre las características fisicoquímicas de la papaya híbrido Pococí. Agron. Costarric. 2011, 35, 61–73. [Google Scholar] [CrossRef]
  21. Gómez, M.; Lajolo, F.; Cordenunsi, B. Evolution of soluble sugars during ripening of papaya fruit and its relation to sweet taste. J. Food Sci. 2002, 67, 442–447. [Google Scholar] [CrossRef]
Disclaimer/Publisher’s Note: The statements, opinions and data contained in all publications are solely those of the individual author(s) and contributor(s) and not of MDPI and/or the editor(s). MDPI and/or the editor(s) disclaim responsibility for any injury to people or property resulting from any ideas, methods, instructions or products referred to in the content.

Article Metrics

Citations

Article Access Statistics

Multiple requests from the same IP address are counted as one view.