Influence of Animal Manure Extracts on Physico-Chemical and Nutritional Quality of Tomatoes Grown in Soilless Cultivation
Abstract
1. Introduction
2. Materials and Methods
2.1. Plant Material and Environmental Conditions
2.2. Manure Collection and Preparation
2.3. Preparation of Animal Manure Extracts (AME)
2.4. Experimental Design, Hydroponic Setup and Crop Establishment
2.5. Chemical and Reagents
2.6. Data Recorded and Plant Materials Used
2.6.1. Colour
2.6.2. Firmness
2.6.3. Total Soluble Solids (TSS)
2.6.4. Titratable Acid (TA)
2.6.5. Ascorbic Acid (Vitamin C) Concentration
2.6.6. Total Phenolic Concentration (TPC)
2.7. Statistical Analysis
3. Results
3.1. Nutrient Content of Tomatoes Grown with Manure Extracts
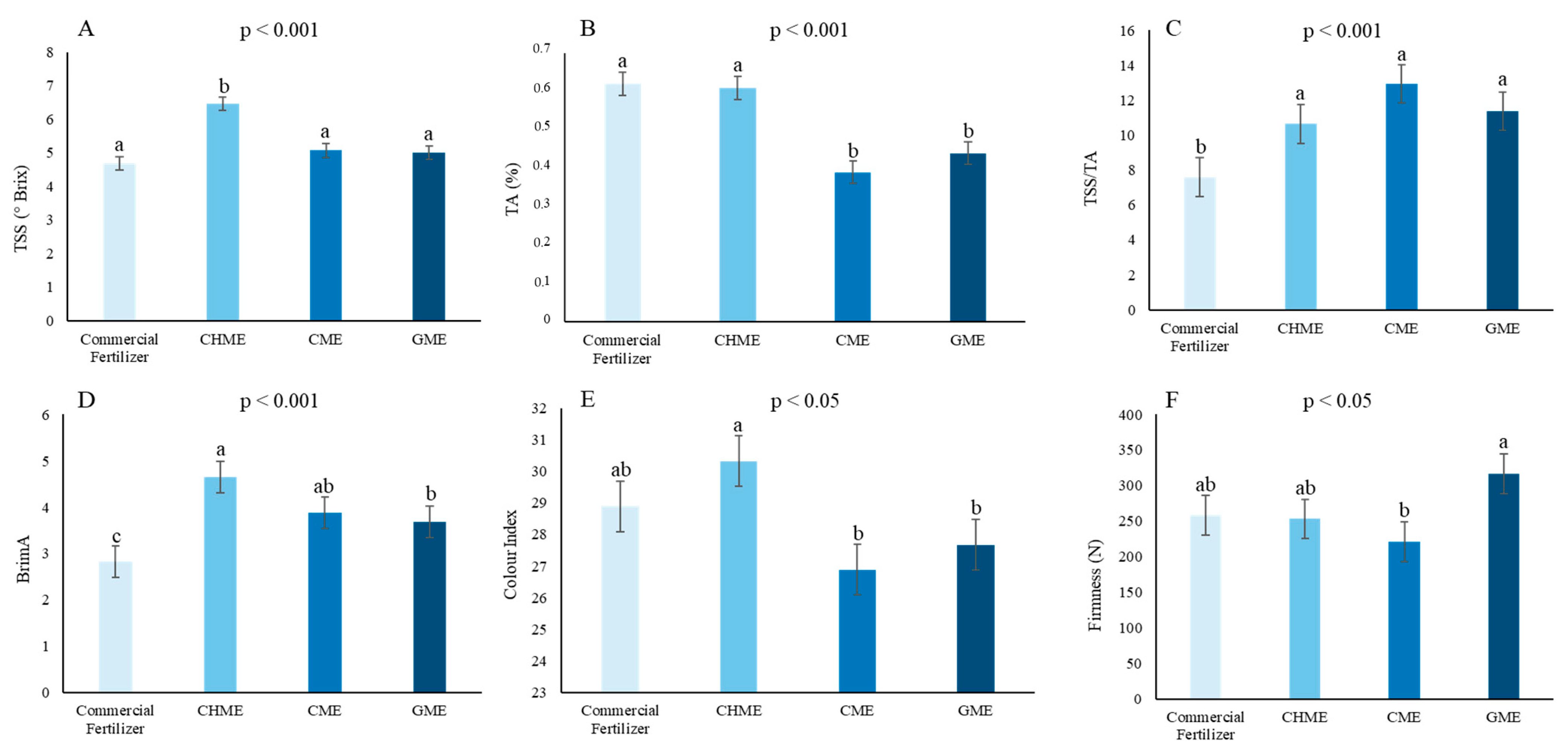
3.2. TSS, TA, TSS/TA, BrimA, Colour Index and Firmness
3.3. Phenolic Content and Antioxidant Capacity in Tomatoes
4. Discussion
5. Conclusions
Author Contributions
Funding
Data Availability Statement
Acknowledgments
Conflicts of Interest
References
- Wyngaard, S.R.; Kissinger, M. Tomatoes from the desert: Environmental footprints and sustainability potential in a changing world. Front. Sustain. Food Syst. 2022, 6, 994920. [Google Scholar] [CrossRef]
- Frusciante, L.; Carli, P.; Ercolano, M.R.; Pernice, R.; Di Matteo, A.; Fogliano, V.; Pellegrini, N. Antioxidant nutritional quality of tomato. Mol. Nutr. Food Res. 2007, 51, 609–617. [Google Scholar] [CrossRef] [PubMed]
- Marsic, N.K.; Gasperlin, L.; Abram, V.; Budic, M.; Vidrih, R. Quality parameters and total phenolic content in tomato fruits regarding cultivar and microclimatic conditions. Turk. J. Agric. For. 2011, 35, 185–194. [Google Scholar] [CrossRef]
- Al-Dairi, M.; Pathare, P.B.; Al-Yahyai, R. Chemical and nutritional quality changes of tomato during postharvest transportation and storage. J. Saudi Soc. Agric. Sci. 2021, 20, 401–408. [Google Scholar] [CrossRef]
- Cruz-Carrión, Á.; Calani, L.; Ruiz de Azua, M.J.; Mena, P.; Del Rio, D.; Arola-Arnal, A.; Suárez, M. Impact of seasonal consumption of local tomatoes on the metabolism and absorption of (poly) phenols in fischer rats. Nutrients 2022, 14, 2047. [Google Scholar] [CrossRef]
- Ali, M.Y.; Sina, A.A.I.; Khandker, S.S.; Neesa, L.; Tanvir, E.; Kabir, A.; Khalil, M.I.; Gan, S.H. Nutritional composition and bioactive compounds in tomatoes and their impact on human health and disease: A review. Foods 2020, 10, 45. [Google Scholar] [CrossRef]
- Tilahun, S.; Seo, M.H.; Jeong, C.S. Review on factors affecting the quality and antioxidant properties of tomatoes. Afr. J. Biotechnol. 2017, 16, 1678–1687. [Google Scholar]
- Abdelaal, K.; Alsubeie, M.S.; Hafez, Y.; Emeran, A.; Moghanm, F.; Okasha, S.; Omara, R.; Basahi, M.A.; Darwish, D.B.E.; Ibrahim, M.F. Physiological and biochemical changes in vegetable and field crops under drought, salinity and weeds stresses: Control strategies and management. Agriculture 2022, 12, 2084. [Google Scholar] [CrossRef]
- Hornick, S.B. Factors affecting the nutritional quality of crops. Am. J. Altern. Agric. 1992, 7, 63–68. [Google Scholar] [CrossRef]
- Loss, A.; Couto, R.d.R.; Brunetto, G.; Veiga, M.d.; Toselli, M.; Baldi, E. Animal manure as fertilizer: Changes in soil attributes, productivity and food composition. Int. J. Res. Granthaalayah 2019, 7, 307. [Google Scholar] [CrossRef]
- Gupta, A.; Hussain, N. A critical study on the use, application and effectiveness of organic and inorganic fertilizers. J. Ind. Pollut. Control 2014, 30, 191–194. [Google Scholar]
- Naeem, M.; Iqbal, J.; Bakhsh, M. Comparative study of inorganic fertilizers and organic manures on yield and yield components of mungbean (Vigna radiat L.). J. Agric. Soc. Sci 2006, 2, 227–229. [Google Scholar]
- Sharma, A.; Chetani, R. A review on the effect of organic and chemical fertilizers on plants. Int. J. Res. Appl. Sci. Eng. Technol. 2017, 5, 677–680. [Google Scholar] [CrossRef]
- Budiyanto, G.; Achmad, F. Application of goat manure briquettes on red chili cultivation in coastal sandy soil. In Proceedings of the IOP Conference Series: Earth and Environmental Science, Volume 985, 4th International Conference on Sustainable Agriculture (ICoSA 2021), Yogyakarta, Indonesia, 25–26 August 2021; IOP Publishing: Bristol, UK, 2022; p. 012030. [Google Scholar]
- Adekiya, A.O.; Ejue, W.S.; Olayanju, A.; Dunsin, O.; Aboyeji, C.M.; Aremu, C.; Adegbite, K.; Akinpelu, O. Different organic manure sources and NPK fertilizer on soil chemical properties, growth, yield and quality of okra. Sci. Rep. 2020, 10, 16083. [Google Scholar] [CrossRef] [PubMed]
- Adekiya, A.; Agbede, T. Effect of methods and time of poultry manure application on soil and leaf nutrient concentrations, growth and fruit yield of tomato (Lycopersicon esculentum Mill). J. Saudi Soc. Agric. Sci. 2017, 16, 383–388. [Google Scholar] [CrossRef]
- Wang, Y.; Zhu, Y.; Zhang, S.; Wang, Y. What could promote farmers to replace chemical fertilizers with organic fertilizers? J. Clean. Prod. 2018, 199, 882–890. [Google Scholar] [CrossRef]
- Heeb, A.; Lundegårdh, B.; Savage, G.; Ericsson, T. Impact of organic and inorganic fertilizers on yield, taste, and nutritional quality of tomatoes. J. Plant Nutr. Soil Sci. 2006, 169, 535–541. [Google Scholar] [CrossRef]
- Pilla, N.; Tranchida-Lombardo, V.; Gabrielli, P.; Aguzzi, A.; Caputo, M.; Lucarini, M.; Durazzo, A.; Zaccardelli, M. Effect of compost tea in horticulture. Horticulturae 2023, 9, 984. [Google Scholar] [CrossRef]
- Ramírez-Gottfried, R.I.; Preciado-Rangel, P.; Carrillo, M.G.; García, A.B.; González-Rodríguez, G.; Espinosa-Palomeque, B. Compost tea as organic fertilizer and plant cisease control: Bibliometric analysis. Agronomy 2023, 13, 2340. [Google Scholar] [CrossRef]
- Abdel-Haleem, E.-S.; Farrag, H.M.; Abeer, B.; Abdelrasheed, K.G. Combined use of compost, compost tea, and vermicompost tea improves soil properties, and growth, yield, and quality of (Allium cepa L.). Not. Bot. Horti Agrobot. Cluj-Napoca 2022, 50, 12565. [Google Scholar]
- Gao, F.; Li, H.; Mu, X.; Gao, H.; Zhang, Y.; Li, R.; Cao, K.; Ye, L. Effects of organic fertilizer application on tomato yield and quality: A meta-analysis. Appl. Sci. 2023, 13, 2184. [Google Scholar] [CrossRef]
- González-Hernández, A.I.; Pérez-Sánchez, R.; Plaza, J.; Morales-Corts, M.R. Compost tea as a sustainable alternative to promote plant growth and resistance against Rhizoctonia solani in potato plants. Sci. Hortic. 2022, 300, 111090. [Google Scholar] [CrossRef]
- Reganold, J.P.; Andrews, P.K.; Reeve, J.R.; Carpenter-Boggs, L.; Schadt, C.W.; Alldredge, J.R.; Ross, C.F.; Davies, N.M.; Zhou, J. Fruit and soil quality of organic and conventional strawberry agroecosystems. PLoS ONE 2010, 5, e12346. [Google Scholar] [CrossRef]
- Norhayati, Y.; Ng, W.; Dzemi, M. Effects of organic fertilizers on growth and yield of roselle (Hibiscus sabdariffa l.) on Bris soil. Malays. Appl. Biol. 2019, 48, 177–184. [Google Scholar]
- Amarante, C.V.T.D.; Steffens, C.A.; Mafra, Á.L.; Albuquerque, J.A. Yield and fruit quality of apple from conventional and organic production systems. Pesqui. Agropecuária Bras. 2008, 43, 333–340. [Google Scholar] [CrossRef]
- Amodio, M.L.; Colelli, G.; Hasey, J.K.; Kader, A.A. A comparative study of composition and postharvest performance of organically and conventionally grown kiwifruits. J. Sci. Food Agric. 2007, 87, 1228–1236. [Google Scholar] [CrossRef]
- Mowa, E.; Kalili, M.; Akundabweni, L.; Percy, C. Impact of organic hydroponic nutrient solution on tomato fruit quality. Int. Sci. Technol. J. Namib 2018, 1, 62–77. [Google Scholar]
- Faller, A.; Fialho, E. Polyphenol content and antioxidant capacity in organic and conventional plant foods. J. Food Compos. Anal. 2010, 23, 561–568. [Google Scholar] [CrossRef]
- Khalil, H.A.; Hassan, S.M. Ascorbic acid, β-carotene, total phenolic compound and microbiological quality of organic and conventional citrus and strawberry grown in Egypt. Afr. J. Biotechnol. 2015, 14, 272–277. [Google Scholar]
- Giménez, A.; Fernández, J.A.; Pascual, J.A.; Ros, M.; Egea-Gilabert, C. Application of directly brewed compost extract improves yield and quality in baby leaf lettuce grown hydroponically. Agronomy 2020, 10, 370. [Google Scholar] [CrossRef]
- Tikasz, P.; MacPherson, S.; Adamchuk, V.; Lefsrud, M. Aerated chicken, cow, and turkey manure extracts differentially affect lettuce and kale yield in hydroponics. Int. J. Recycl. Org. Waste Agric. 2019, 8, 241–252. [Google Scholar] [CrossRef]
- Charoenpakdee, S. Using animal manure to grow lettuce (Lactuca sativa L.) in a Homemade Hydroponics System. Asia-Pac. J. Sci. Technol. 2014, 19, 256–261. [Google Scholar]
- Williams, K.; Nelson, J. Challenges of using organic fertilizers in hydroponic production systems. In Proceedings of the XXIX International Horticultural Congress on Horticulture: Sustaining Lives, Livelihoods and Landscapes (IHC2014): 1112, Brisbane, Australia, 17 August 2014; pp. 365–370. [Google Scholar]
- Sahoo, B.B.; Nayak, B.S.; Mohanty, S.K.; Khanda, C. Significance of bio-fertilizer incorporation with customized organic manures to reduce inorganic nutrients on growth dynamics, bulb yield and economics of Onion (Allium cepa L.) under the western undulating zone of Odisha. Vegetos 2022, 35, 923–934. [Google Scholar] [CrossRef]
- Saba, Z.; Magwaza, L.S.; Sithole, N.J.; Mditshwa, A.; Odindo, A.O. Physico-Chemical analysis of vermicompost mixtures. Agronomy 2023, 13, 1056. [Google Scholar] [CrossRef]
- Mngoma, M.F.; Magwaza, L.S.; Magwaza, S.T.; Sithole, N.J.; Mditshwa, A.; Tesfay, S.Z. Gaseous exchange and photosynthetic efficiency of fertigated indeterminate tomatoes (Solanum lycopersicum). Plant Physiol. Rep. 2022, 27, 260–267. [Google Scholar] [CrossRef]
- López Camelo, A.F.; Gómez, P.A. Comparison of color indexes for tomato ripening. Hortic. Bras. 2004, 22, 534–537. [Google Scholar] [CrossRef]
- Hobson, G.E.; Adams, P.; Dixon, T.J. Assessing the colour of tomato fruit during ripening. J. Sci. Food Agric. 1983, 34, 286–292. [Google Scholar] [CrossRef]
- DeLong, J.M.; Prange, R.K.; Harrison, P.A.; McRae, K.B. Comparison of a new apple firmness penetrometer with three standard instruments. Postharvest Biol. Technol. 2000, 19, 201–209. [Google Scholar] [CrossRef]
- Ncama, K.; Opara, U.L.; Tesfay, S.Z.; Fawole, O.A.; Magwaza, L.S. Application of Vis/NIR spectroscopy for predicting sweetness and flavour parameters of ‘Valencia’ orange (Citrus sinensis) and ‘Star Ruby’ grapefruit (Citrus x paradisi Macfad). J. Food Eng. 2017, 193, 86–94. [Google Scholar] [CrossRef]
- Magwaza, L.S.; Opara, U.L. Analytical methods for determination of sugars and sweetness of horticultural products—A review. Sci. Hortic. 2015, 184, 179–192. [Google Scholar] [CrossRef]
- Jordan, R.B.; Seelye, R.J.; McGlone, V.A. A sensory-based alternative to brix/acid ratio. Food Technol. 2001, 55, 36–44. [Google Scholar]
- Obenland, D.; Collin, S.; Mackey, B.; Sievert, J.; Fjeld, K.; Arpaia, M.L. Determinants of flavor acceptability during the maturation of navel oranges. Postharvest Biol. Technol. 2009, 52, 156–163. [Google Scholar] [CrossRef]
- Boonkasem, P.; Sricharoen, P.; Techawongstein, S.; Chanthai, S. Determination of ascorbic acid and total phenolics related to the antioxidant activity of some local tomato (Solanum lycopersicum) varieties. Pharma Chem. 2015, 7, 66–70. [Google Scholar]
- Ah-Hen, K.; Fuenzalida, C.; Hess, S.; Contreras, A.; Vega-Gálvez, A.; Lemus-Mondaca, R. Antioxidant capacity and total phenolic compounds of twelve selected potato landrace clones grown in southern Chile. Chil. J. Agric. Res. 2012, 72, 3–9. [Google Scholar] [CrossRef]
- Amalia, L.; Budiasih, R.; Ria, E.R.; Widodo, R.W.; Kuswati, U. Fermented compost and N-fertilizer for enhancing the growth and productivity of purple eggplant on vertisols. Open Agric. 2020, 5, 898–904. [Google Scholar] [CrossRef]
- Thepsilvisut, O.; Chutimanukul, P.; Sae-Tan, S.; Ehara, H. Effect of chicken manure and chemical fertilizer on the yield and qualities of white mugwort at dissimilar harvesting times. PLoS ONE 2022, 17, e0266190. [Google Scholar] [CrossRef]
- Nadeem, F.; Hanif, M.A.; Majeed, M.I.; Mushtaq, Z. Role of macronutrients and micronutrients in the growth and development of plants and prevention of deleterious plant diseases–A comprehensive review. Int. J. Chem. Biochem. Sci. 2018, 13, 31–52. [Google Scholar]
- Saba, Z. Evaluation of Animal Manure Extracts on Hydroponic Production of Tomatoes (Lycopersicon esceluntum). Ph.D. Dissertation, University of KwaZulu-Natal, Pietermaritzburg, South Africa, 2020. [Google Scholar]
- Almeida, L.G.d.; Cardoso, A.I.I.; Candian, J.S.; Grassi Filho, H.; Sartori, M.M.P. Growth and macronutrient accumulation in tomato cultivated in an organic system. Hortic. Bras. 2023, 41, e2532. [Google Scholar] [CrossRef]
- Kassem, H.; Marzouk, H. Improving yield and fruit quality of date palm by organic fertilizer sources. J. Appl. Hortic. 2010, 12, 145–150. [Google Scholar] [CrossRef]
- Jaswal, A. Chapter-6 Fertilizers and their role in plant growth. Rev. Agron. 2021, 71. [Google Scholar] [CrossRef]
- El-Khalily, N.M.; El-Kassas, A.I.; El-Mansy, A.B. Replacing chemical fertilizer with cow manure fertilizer for summer tomato production in El-Arish region. Sinai J. Appl. Sci. 2023, 12. [Google Scholar] [CrossRef]
- Sainju, U.M.; Dris, R.; Singh, B. Mineral nutrition of tomato. Food Agric. Environ. 2003, 1, 176–183. [Google Scholar]
- Hasnain, M.; Chen, J.; Ahmed, N.; Memon, S.; Wang, L.; Wang, Y.; Wang, P. The effects of fertilizer type and application time on soil properties, plant traits, yield and quality of tomato. Sustainability 2020, 12, 9065. [Google Scholar] [CrossRef]
- Bafoev, A.; Rajabboev, A.; Niyozov, S.; Bakhshilloev, N.; Mahmudov, R. Significance And Classification of Mineral Fertilizers. Tex. J. Eng. Technol. 2022, 5, 1–5. [Google Scholar]
- Malakouti, M.J. The effect of micronutrients in ensuring efficient use of macronutrients. Turk. J. Agric. For. 2008, 32, 215–220. [Google Scholar]
- Toor, M.D.; Adnan, M.; Rehman, F.; Tahir, R.; Saeed, M.S.; Khan, A.U.; Pareek, V. Nutrients and their importance in agriculture crop production; A review. Ind. J. Pure App. Biosci. 2021, 9, 1–6. [Google Scholar] [CrossRef]
- Buajaila, F.; Cowan, J.S.; Inglis, D.; Carpenter-Boggs, L.; Miles, C. Tomato growth, yield, and quality response to mixed chemical–organic fertilizers and grafting treatments in a high tunnel environment. Can. J. Plant Sci. 2021, 102, 33–48. [Google Scholar] [CrossRef]
- Fan, H.; Zhang, Y.; Li, J.; Jiang, J.; Waheed, A.; Wang, S.; Rasheed, S.M.; Zhang, L.; Zhang, R. Effects of organic fertilizer supply on soil properties, tomato yield, and fruit quality: A global meta-analysis. Sustainability 2023, 15, 2556. [Google Scholar] [CrossRef]
- Ye, S.; Liu, T.; Niu, Y. Effects of organic fertilizer on water use, photosynthetic characteristics, and fruit quality of pear jujube in northern Shaanxi. Open Chem. 2020, 18, 537–545. [Google Scholar] [CrossRef]
- Colín Navarro, V.; Domínguez-Vara, I.A.; Olivares-Pérez, J.; Castelán-Ortega, O.A.; García-Martínez, A.; Avilés-Nova, F. Chemical and microbiological properties of goat manure during composting and vermicomposting. Agrociencia 2019, 53, 161–173. [Google Scholar]
- Mditshwa, A.; Magwaza, L.S.; Tesfay, S.Z.; Mbili, N. Postharvest quality and composition of organically and conventionally produced fruits: A review. Sci. Hortic. 2017, 216, 148–159. [Google Scholar] [CrossRef]
- Kilic, N.; Burgut, A.; Gündesli, M.A.; Nogay, G.; Ercisli, S.; Kafkas, N.E.; Ekiert, H.; Elansary, H.O.; Szopa, A. The effect of organic, inorganic fertilizers and their combinations on fruit quality parameters in strawberry. Horticulturae 2021, 7, 354. [Google Scholar] [CrossRef]
- Choi, H.-S. Effects of organic liquid fertilizers on biological activities and fruit productivity in open-field cherry tomato. Bragantia 2020, 79, 447–457. [Google Scholar] [CrossRef]
- Toor, R.K.; Savage, G.P.; Heeb, A. Influence of different types of fertilisers on the major antioxidant components of tomatoes. J. Food Compos. Anal. 2006, 19, 20–27. [Google Scholar] [CrossRef]
- Rodríguez-Ortiz, J.; Díaz-Flores, P.; Zavala-Sierra, D.; Preciado-Rangel, P.; Rodríguez-Fuentes, H.; Estrada-González, A.; Carballo-Méndez, F. Organic vs. conventional fertilization: Soil nutrient availability, production, and quality of tomato fruit. Water Air Soil Pollut. 2022, 233, 87. [Google Scholar] [CrossRef]



| Nutrient Solution Source | Nutrient Concentration (mg/L) | |||||||
|---|---|---|---|---|---|---|---|---|
| N | P | K | Ca | Mg | Cu | Mn | Zn | |
| CHME | 4700 | 99.1 | 751.2 | 30.8 | 85.8 | 0.17 | 0.20 | 0.45 |
| CME | 3400 | 10.5 | 205.7 | 54.3 | 47.9 | 0.04 | 0.77 | 0.13 |
| GME | 2900 | 36.0 | 1426.1 | 25.0 | 44.9 | 0.04 | 0.08 | 0.05 |
| Nutrient Solution Source | Nutrient Concentration (mg/kg) | ||||||||
|---|---|---|---|---|---|---|---|---|---|
| N | P | K | Ca | Mg | Cu | Fe | Mn | Zn | |
| Commercial fertilizer | 19,270 a | 3861 a | 44,100 a | 1162 a | 1180 b | 0.18 c | 6.68 ab | 13.41 b | 16.09 b |
| CHME | 21,020 a | 3363 b | 36,300 ab | 440 c | 1349 a | 0.75 a | 8.49 a | 11.82 b | 18.73 a |
| CME | 20,430 a | 1391 d | 34,700 ab | 705 b | 1338 a | 0.27 bc | 8.11 a | 18.40 a | 13.56 c |
| GME | 21,720 a | 1616 c | 33,900 b | 458 c | 1154 b | 0.64 ab | 5.53 b | 8.81 c | 10.98 d |
| p < 0.05 | NS | ** | * | ** | * | * | * | ** | ** |
| LSD | 160 | 7000 | 115.5 | 162.1 | 0.27 | 1.38 | 1.37 | 1.49 | |
| cv% | 7.2 | 3.2 | 9.9 | 8.9 | 6.9 | 31.5 | 10.2 | 5.5 | 5.3 |
Disclaimer/Publisher’s Note: The statements, opinions and data contained in all publications are solely those of the individual author(s) and contributor(s) and not of MDPI and/or the editor(s). MDPI and/or the editor(s) disclaim responsibility for any injury to people or property resulting from any ideas, methods, instructions or products referred to in the content. |
© 2024 by the authors. Licensee MDPI, Basel, Switzerland. This article is an open access article distributed under the terms and conditions of the Creative Commons Attribution (CC BY) license (https://creativecommons.org/licenses/by/4.0/).
Share and Cite
Luthuli, A.; Magwaza, L.; Tesfay, S.; Magwaza, S.; Mditshwa, A. Influence of Animal Manure Extracts on Physico-Chemical and Nutritional Quality of Tomatoes Grown in Soilless Cultivation. Horticulturae 2024, 10, 1330. https://doi.org/10.3390/horticulturae10121330
Luthuli A, Magwaza L, Tesfay S, Magwaza S, Mditshwa A. Influence of Animal Manure Extracts on Physico-Chemical and Nutritional Quality of Tomatoes Grown in Soilless Cultivation. Horticulturae. 2024; 10(12):1330. https://doi.org/10.3390/horticulturae10121330
Chicago/Turabian StyleLuthuli, Ayanda, Lembe Magwaza, Samson Tesfay, Shirly Magwaza, and Asanda Mditshwa. 2024. "Influence of Animal Manure Extracts on Physico-Chemical and Nutritional Quality of Tomatoes Grown in Soilless Cultivation" Horticulturae 10, no. 12: 1330. https://doi.org/10.3390/horticulturae10121330
APA StyleLuthuli, A., Magwaza, L., Tesfay, S., Magwaza, S., & Mditshwa, A. (2024). Influence of Animal Manure Extracts on Physico-Chemical and Nutritional Quality of Tomatoes Grown in Soilless Cultivation. Horticulturae, 10(12), 1330. https://doi.org/10.3390/horticulturae10121330

