Influence of Plasma-Activated Water on Foliar and Fruit Micronutrient Content and Plant Protection Efficiency
Abstract
1. Introduction
2. Materials and Methods
2.1. Location and Conditions of the Experiments
2.1.1. Experimental Plots
2.1.2. Weather Conditions
2.2. PAW Preparation
2.3. Experimental Design and Analysis Methods
2.4. Statistical Treatment
3. Results
3.1. Leaf and Fruit Calcium
3.2. Leaf and Fruit Micronutrients
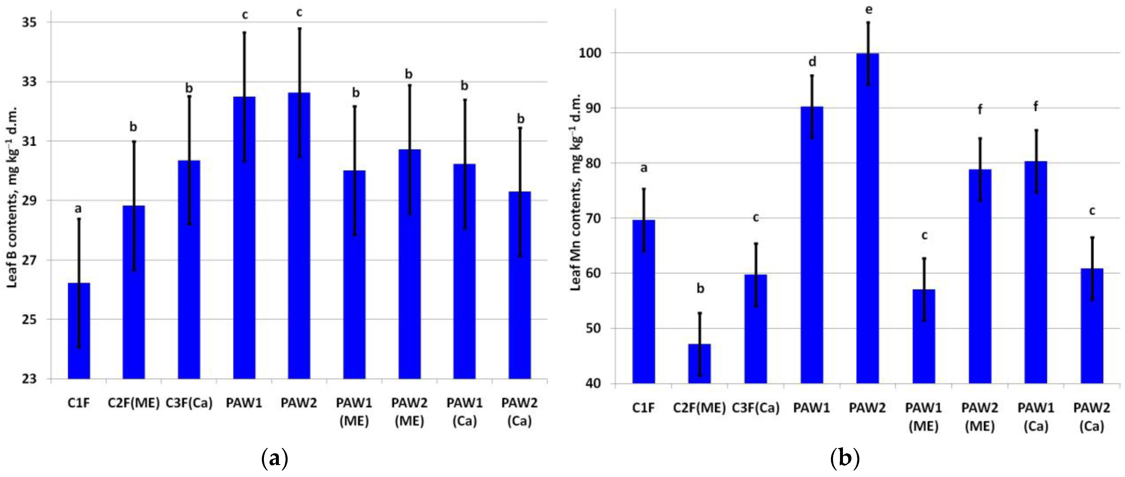
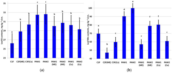
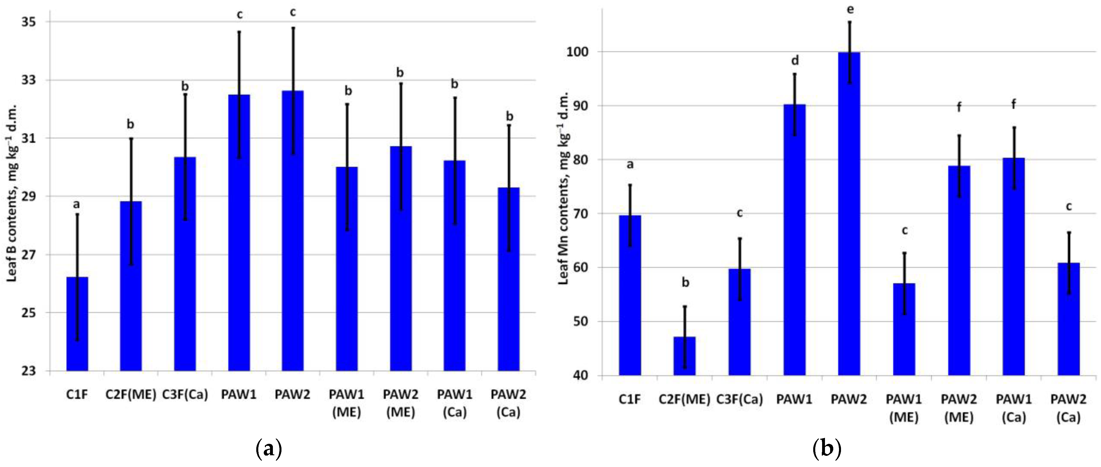
3.2.1. Leaf B, Mn, Fe, and Co Contents
3.2.2. Fruit S, Mn, Fe, Zn, and Mo Contents
3.3. Influence of PAW on Scab Control Efficiency
4. Discussion
5. Conclusions
Supplementary Materials
Author Contributions
Funding
Data Availability Statement
Conflicts of Interest
References
- Johnson, M.O. The Spraying of Yellow Pineapple Plants on Mahganese Soils with Iron Sulphate Solution. Hawaii Agr. Exp. Sta. Press Bull. 1916, 51, 1–11. [Google Scholar]
- Boynton, D. Nutrition by Foliar Application. Annu. Rev. Plant Physiol. 1954, 5, 31–54. [Google Scholar] [CrossRef]
- Kurešová, G.; Menšík, L.; Haberle, J.; Svoboda, P.; Raimanová, I. Influence of Foliar Micronutrients Fertilization on Nutritional Status of Apple Trees. PSE 2019, 65, 320–327. [Google Scholar] [CrossRef]
- Wójcik, P. Uptake of Mineral Nutrients from Foliar Fertilization. J. Fruit Ornam. Plant Res. 2004, 12, 201–218. Available online: https://api.semanticscholar.org/CorpusID:12527492 (accessed on 18 October 2023).
- Zargar, M.; Tumanyan, A.; Ivanenko, E.; Dronik, A.; Tyutyuma, N.; Pakina, E. Impact of Foliar Fertilization on Apple and Pear Trees in Reconciling Productivity and Alleviation of Environmental Concerns under Arid Conditions. Commun. Integr. Biol. 2019, 12, 1–9. [Google Scholar] [CrossRef] [PubMed]
- Stampar, F.; Hudina, M.; Usenik, V.; Sturm, K.; Veberic, R.; Veber, G. Experience with Foliar Nutrition in Apple Orchard. Acta Hortic. 2002, 594, 547–552. [Google Scholar] [CrossRef]
- Khathutshelo, M.V.; Mpumelelo, N.; Wonder, N.; Fhatuwani, M.N. Effects of Foliar Spray Application of Selected Micronutrients on the Quality of Bush Tea. HortScience 2016, 51, 873–879. [Google Scholar] [CrossRef]
- Wojcik, P.; Wojcik, M. Effects of boron fertilization on ‘Conference’ pear tree vigor, nutrition, and fruit yield and storability. Plant Soil 2003, 256, 413–421. [Google Scholar] [CrossRef]
- Bramlage, W.J.; Weis, S.A.; Drake, M. Predicting the Occurrence of Poststorage Disorders of ‘McIntosh’ Apples from Preharvest Mineral Analyses. J. Am. Soc. Hortic. Sci. 1985, 110, 493–498. [Google Scholar] [CrossRef]
- Hepler, P.K. Calcium: A Central Regulator of Plant Growth and Development. Plant Cell 2005, 17, 2142–2155. [Google Scholar] [CrossRef]
- Kuzin, A.I.; Kashirskaya, N.Y.; Kochkina, A.M.; Kushner, A.V. Correction of Potassium Fertigation Rate of Apple Tree (Malus domestica Borkh.) in Central Russia during the Growing Season. Plants 2020, 9, 1366. [Google Scholar] [CrossRef] [PubMed]
- Casero, T.; Benavides, A.; Recasens, I.; Rufat, J. Preharvest Calcium Sprays and Fruit Calcium Absorption in Golden “Apples”. Acta Hortic. 2002, 594, 467–473. [Google Scholar] [CrossRef]
- Kuzin, A.I.; Grigoreva, L.V.; Kochkina, A.M. Influence of Different Agrochemicals on Calcium Content in Apple Fruits Of Cultivar ‘Zhigulevskoye’. Acta Hortic. 2021, 1327, 189–196. [Google Scholar] [CrossRef]
- Lanauskas, J.; Kvikliené, N.; Uselis, N.; Kviklys, D.; Buskiené, L.; Mažeika, R.; Staugaitis, G. The Effect of Calcium Foliar Fertilizers on Cv. Ligol Apples. PSE 2012, 58, 465–470. [Google Scholar] [CrossRef]
- Torres, E.; Recasens, I.; Lordan, J.; Alegre, S. Combination of Strategies to Supply Calcium and Reduce Bitter Pit in ‘Golden Delicious’ Apples. Sci. Hortic. 2017, 217, 179–188. [Google Scholar] [CrossRef]
- Tomala, K.; Soska, A. Effects of Calcium and/or Phosphorus Sprays with Different Commercial Preparations on Quality and Storability of Šampion Apples. Hortic. Sci. 2004, 31, 12–16. [Google Scholar] [CrossRef]
- de Freitas, S.T.; do Amarante, C.V.D.; Mitcham, E.J. Mechanisms regulating apple cultivar susceptibility to bitter pit. Sci. Hortic. 2015, 186, 54–60. [Google Scholar] [CrossRef]
- Yu, X.M.; Wang, J.Z.; Nie, P.X.; Xue, X.M.; Wang, G.P.; An, M. Control efficacy of Ca-containing foliar fertilizers on bitter pit in bagged ‘Fuji’ apple and effects on the Ca and N contents of apple fruits and leaves. J. Sci. Food Agric. 2018, 98, 5435–5443. [Google Scholar] [CrossRef]
- Lötze, E.; Joubert, J.; Theron, K.I. Evaluating pre-harvest foliar calcium applications to increase fruit calcium and reduce bitter pit in ‘Golden Delicious’ apples. Sci. Hortic. 2008, 116, 299–304. [Google Scholar] [CrossRef]
- Val, J.; Monge, E.; Risco, D.; Blanco, A. Effect of pre-harvest calcium sprays on calcium concentrations in the skin and flesh of apples. J. Plant Nutr. 2008, 31, 1889–1905. [Google Scholar] [CrossRef]
- Blanco, A.; Fernández, V.; Val, J. Improving the performance of calcium-containing spray formulations to limit the incidence of bitter pit in apple (Malus x domestica Borkh.). Sci Hortic. 2010, 127, 23–28. [Google Scholar] [CrossRef]
- Wilsdorf, R.E.; Theron, K.I.; Lotze, E. Evaluating the effectiveness of different strategies for calcium application on the accumulation of calcium in apple (Malus × domestica Borkh. ‘Braeburn’) fruit. J. Horticult. Sci. Biotechnol. 2012, 87, 565–570. [Google Scholar] [CrossRef]
- Chatzidimopoulos, M.; Lioliopoulou, F.; Sotiropoulos, T.; Vellios, E. Efficient Control of Apple Scab with Targeted Spray Applications. Agronomy 2020, 10, 217. [Google Scholar] [CrossRef]
- Hirst, J.M. Apple Scab: Biology, Epidemiology and Management. By William, E. MacHardy. Exp. Agric. 1997, 33, 247–252. [Google Scholar] [CrossRef]
- Zelmene, K.; Kārkliņa, K.; Ikase, L.; Lācis, G. Inheritance of Apple (Malus domestica (L.) Borkh) Resistance against Apple Scab (Venturia inaequalis (Cooke) Wint.) in Hybrid Breeding Material Obtained by Gene Pyramiding. Horticulturae 2022, 8, 772. [Google Scholar] [CrossRef]
- Gessler, C.; Pertot, I. Vf scab resistance of Malus. Trees 2012, 26, 95–108. [Google Scholar] [CrossRef]
- Carisse, O.; Jobin, T. Managing Summer Apple Scab Epidemics Using Leaf Scab Incidence Threshold Values for Fungicide Sprays. Crop Prot. 2012, 35, 36–40. [Google Scholar] [CrossRef]
- Cromwell, M.L.; Berkett, L.P.; Darby, H.M.; Ashikaga, T. Alternative Organic Fungicides for Apple Scab Management and Their Non-target Effects. HortScience 2011, 46, 1254–1259. [Google Scholar] [CrossRef]
- MacHardy, W.E.; Gadoury, D.M.; Gessler, C. Parasitic and biological fitness of Venturia inaequalis: Relationship to disease management strategies. Plant Dis. 2001, 85, 1036–1051. [Google Scholar] [CrossRef]
- Jobin, T.; Carisse, O. Incidence of myclobutanil- and kresoxim-methyl-insensitive isolates of Venturia inaequalis in Quebec orchards. Plant Dis. 2007, 91, 1351–1358. [Google Scholar] [CrossRef][Green Version]
- Deising, H.B.; Reimann, S.; Pascholati, S.F. Mechanisms and significance of fungicide resistance. Braz. J. Microbiol. 2008, 39, 286–295. [Google Scholar] [CrossRef] [PubMed]
- Rancāne, R.; Valiuškaitė, A.; Zagorska, V.; Komašilovs, V.; Rasiukevičiūtė, N. The Overall Environmental Load and Resistance Risk Caused by Long-Term Fungicide Use to Control Venturia inaequalis in Apple Orchards in Latvia. Plants 2023, 12, 450. [Google Scholar] [CrossRef] [PubMed]
- Konchekov, E.M.; Gusein-zade, N.; Burmistrov, D.E.; Kolik, L.V.; Dorokhov, A.S.; Izmailov, A.Y.; Shokri, B.; Gudkov, S.V. Advancements in Plasma Agriculture: A Review of Recent Studies. Int. J. Mol. Sci. 2023, 24, 15093. [Google Scholar] [CrossRef] [PubMed]
- Zhou, R.; Zhou, R.; Wang, P.; Xian, Y.; Mai-Prochnow, A.; Lu, X.P.; Cullen, P.J.; Ostrikov, K.; Bazaka, K. Plasma-activated water: Generation, origin of reactive species and biological applications. J. Phys. D Appl. Phys. 2020, 53, 303001. [Google Scholar] [CrossRef]
- Danileyko, Y.K.; Belov, S.V.; Egorov, A.B.; Lukanin, V.I.; Apasheva, L.M.; Ovcharenko, E.N.; Lobanov, A.V.; Astashev, M.E.; Simakin, A.V.; Shkirin, A.V.; et al. Portable Technology for Obtaining Plasma-Activated Water to Stimulate the Growth of Spruce and Strawberry Plants. Horticulturae 2023, 9, 1142. [Google Scholar] [CrossRef]
- Šerá, B.; Jirešová, J.; Scholtz, V.; Julák, J.; Khun, J. Non-Thermal Plasma Treatment Improves Properties of Dormant Seeds of Black Locust (Robinia pseudoacacia L.). Forests 2023, 14, 471. [Google Scholar] [CrossRef]
- Kuzin, A.; Solovchenko, A.; Khort, D.; Filippov, R.; Lukanin, V.; Lukina, N.; Astashev, M.; Konchekov, E. Effects of Plasma-Activated Water on Leaf and Fruit Biochemical Composition and Scion Growth in Apple. Plants 2023, 12, 385. [Google Scholar] [CrossRef]
- Lee, G.; Choi, S.-W.; Yoo, M.; Chang, H.-J.; Lee, N. Effects of Plasma-Activated Water Treatment on the Inactivation of Microorganisms Present on Cherry Tomatoes and in Used Wash Solution. Foods 2023, 12, 2461. [Google Scholar] [CrossRef]
- Soni, A.; Choi, J.; Brightwell, G. Plasma-Activated Water (PAW) as a Disinfection Technology for Bacterial Inactivation with a Focus on Fruit and Vegetables. Foods 2021, 10, 166. [Google Scholar] [CrossRef]
- Belov, S.V.; Danileiko, Y.K.; Egorov, A.B.; Lukanin, V.I.; Semenova, A.A.; Lisitsyn, A.B.; Revutskaya, N.M.; Nasonova, V.V.; Yushina, Y.K.; Tolordava, E.R.; et al. Sterilizer of Knives in the Meat Industry, Working by Activating Aqueous Solutions with Glow Discharge Plasma. Processes 2022, 10, 1536. [Google Scholar] [CrossRef]
- Ramazzina, I.; Tappi, S.; Rocculi, P.; Sacchetti, G.; Berardinelli, A.; Marseglia, A.; Rizzi, F. Effect of Cold Plasma Treatment on the Functional Properties of Fresh-Cut Apples. J. Agric. Food Chem. 2016, 64, 8010–8018. [Google Scholar] [CrossRef] [PubMed]
- Konchekov, E.M.; Kolik, L.V.; Danilejko, Y.K.; Belov, S.V.; Artem’ev, K.V.; Astashev, M.E.; Pavlik, T.I.; Lukanin, V.I.; Kutyrev, A.I.; Smirnov, I.G.; et al. Enhancement of the Plant Grafting Technique with Dielectric Barrier Discharge Cold Atmospheric Plasma and Plasma-Treated Solution. Plants 2022, 11, 1373. [Google Scholar] [CrossRef] [PubMed]
- Ashurov, M.K.; Ashurov, E.M.; Astashev, M.E.; Baimler, I.V.; Gudkov, S.V.; Konchekov, E.M.; Lednev, V.N.; Lukina, N.A.; Matveeva, T.A.; Markendudis, A.G.; et al. Development of an Environmentally Friendly Technology for the Treatment of Aqueous Solutions with High-Purity Plasma for the Cultivation of Cotton, Wheat and Strawberries. ChemEngineering 2022, 6, 91. [Google Scholar] [CrossRef]
- Belov, S.V.; Danyleiko, Y.K.; Glinushkin, A.P.; Kalinitchenko, V.P.; Egorov, A.V.; Sidorov, V.A.; Konchekov, E.M.; Gudkov, S.V.; Dorokhov, A.S.; Lobachevsky, Y.P.; et al. An Activated Potassium Phosphate Fertilizer Solution for Stimulating the Growth of Agricultural Plants. Front. Phys. 2021, 8, 618320. [Google Scholar] [CrossRef]
- Belov, S.V.; Gudkov, S.V.; Danyleiko, Yu.K.; Egorov, A.B.; Lukanin, V.I.; Sidorov, V.A.; Tsvetkov, V.B. A Device for Biological Activation of Aqueous Solutions Using Glow Discharge Plasma in Water Vapor. Biomed. Eng. 2021, 55, 97–102. [Google Scholar] [CrossRef]
- Sergeichev, K.F.; Lukina, N.A.; Arutyunyan, N.R. Atmospheric-Pressure Microwave Plasma Torch for CVD Technology of Diamond Synthesis. Plasma Phys. Rep. 2019, 45, 551–560. [Google Scholar] [CrossRef]
- Sergeichev, K.F.; Lukina, N.A.; Apasheva, L.M.; Ovcharenko, E.N.; Lobanov, A.V. Water Activated by a Microwave Plasma Argon Jet as a Factor Stimulating the Germination of Plant Seeds. Russ. J. Phys. Chem. B 2022, 16, 84–89. [Google Scholar] [CrossRef]
- Wolff, S.P. [18] Ferrous Ion Oxidation in Presence of Ferric Ion Indicator Xylenol Orange for Measurement of Hydroperoxides. In Methods in Enzymology; Oxygen Radicals in Biological Systems Part C; Academic Press: Cambridge, MA, USA, 1994; Volume 233, pp. 182–189. [Google Scholar] [CrossRef]
- Tarabová, B.; Lukeš, P.; Janda, M.; Hensel, K.; Šikurová, L.; Machala, Z. Specificity of Detection Methods of Nitrites ond Ozone on Aqueous Solutions Activated by Air Plasma. Plasma Process Polym. 2018, 15, 1800030. [Google Scholar] [CrossRef]
- Gudkova, V.V.; Razvolyaeva, D.A.; Borzosekov, V.D.; Konchekov, E.M. Features of the FOX and Griess Method for Assessing the Biological Activity of Plasma Treated Solutions. Plasma Chem. Plasma Process 2023. [Google Scholar] [CrossRef]
- Mineev, V.G.; Sychev, V.G.; Amelyanchik, O.A.; Bolsheva, T.N.; Gomonova, N.F.; Durynina, E.P.; Egorov, V.S.; Egorova, E.V.; Edemskaya, N.L.; Karpova, E.A.; et al. Educational Aid on Agricultural Chemistry, 2nd ed.; Publishing House of Lomonosov Moscow State University: Moskow, Russia, 2001; 688p. (In Russian) [Google Scholar]
- Dolzhenko, V.I. Guidelines for Registration Testing of Insecticides, Acaricides, Molluscicides and Rodenticides in Agriculture; Publishing House of the Russian Research Institute of Plant Protection: Saint Petersburg, Russia, 2009; 378p. [Google Scholar]
- Capinera, J.L. (Ed.) Encyclopedia of Entomology; Springer: Dordrecht, Germany, 2008; 262p. [Google Scholar] [CrossRef]
- Dospekhov, B.A. Methodology of Field Experience; Agropromizdat: Moscow, Russia, 1985; 351p. (In Russian) [Google Scholar]
- Gonchar-Zaykin, P.P.; Chertov, V.G.Π. Excel add-in for statistical assessment and analysis of the results of field and laboratory experiments. In Rational Environmental Management and Agricultural Production in the Southern Regions of the Russian Federation: Proceedings of the Caspian Research Institute of Arid Agriculture; Sovremennye Tetradi: Moscow, Russia, 2003; pp. 559–564. (In Russian) [Google Scholar]
- Tserling, V.V. Agricultural Crop Nutrition Diagnosis; Agropromizdat: Moscow, Russia, 1990; pp. 165–166. (In Russian) [Google Scholar]
- Wang, J.; Cheng, J.-H.; Sun, D.-W. Enhancement of Wheat Seed Germination, Seedling Growth and Nutritional Properties of Wheat Plantlet Juice by Plasma Activated Water. J. Plant Growth Regul. 2023, 42, 2006–2022. [Google Scholar] [CrossRef]
- Surowsky, B.; Fischer, A.; Schlueter, O.; Knorr, D. Cold Plasma Effects on Enzyme Activity in a Model Food System. Innov. Food Sci. Emerg. Technol. 2013, 19, 146–152. [Google Scholar] [CrossRef]
- Setsuhara, Y.; Cho, K.; Shiratani, M.; Sekine, M.; Hori, M. Plasma Interactions with Aminoacid (l-Alanine) as a Basis of Fundamental Processes in Plasma Medicine. Curr. Appl. Phys. 2013, 13, S59–S63. [Google Scholar] [CrossRef]
- Silveira, M.R.; Coutinho, N.M.; Esmerino, E.A.; Moraes, J.; Fernandes, L.M.; Pimentel, T.C.; Freitas, M.Q.; Silva, M.C.; Raices, R.S.L.; Senaka Ranadheera, C.; et al. Guava-Flavored Whey Beverage Processed by Cold Plasma Technology: Bioactive Compounds, Fatty Acid Profile and Volatile Compounds. Food Chem. 2019, 279, 120–127. [Google Scholar] [CrossRef] [PubMed]
- Chen, Y.-Q.; Cheng, J.-H.; Sun, D.-W. Chemical, Physical and Physiological Quality Attributes of Fruit and Vegetables Induced by Cold Plasma Treatment: Mechanisms and Application Advances. Crit. Rev. Food Sci. Nutr. 2020, 60, 2676–2690. [Google Scholar] [CrossRef] [PubMed]
- Pipliya, S.; Kumar, S.; Babar, N.; Srivastav, P.P. Recent Trends in Non-Thermal Plasma and Plasma Activated Water: Effect on Quality Attributes, Mechanism of Interaction and Potential Application in Food & Agriculture. Food Chem. Adv. 2023, 2, 100249. [Google Scholar] [CrossRef]
- Danner, M.A.; Scariotto, S.; Citadin, I.; Penso, G.A.; Cassol, L.C. Calcium sources applied to soil can replace leaf application in “Fuji” apple tree. Pesq. Agropec. Trop. Goiânia. 2015, 45, 266–273. [Google Scholar] [CrossRef][Green Version]
- Kuzin, A.I.; Kashirskaya, N.Y.; Solovchenko, A.E.; Kushner, A.V.; Kochkina, A.M.; Stepantzova, L.V.; Krasin, V.N. Foliar Mn and Zn Treatments Improve Apple Tree Nutrition and Help to Maintain Favorable Soil pH. Horticulturae 2023, 9, 1144. [Google Scholar] [CrossRef]
- Cortese, E.; Settimi, A.G.; Pettenuzzo, S.; Cappellin, L.; Galenda, A.; Famengo, A.; Dabalà, M.; Antoni, V.; Navazio, L. Plasma-Activated Water Triggers Rapid and Sustained Cytosolic Ca2+ Elevations in Arabidopsis thaliana. Plants 2021, 10, 2516. [Google Scholar] [CrossRef]
- Adhikari, B.; Adhikari, M.; Ghimire, B.; Park, G.; Choi, E.H. Cold Atmospheric Plasma-Activated Water Irrigation Induces Defense Hormone and Gene Expression in Tomato Seedlings. Sci. Rep. 2019, 9, 16080. [Google Scholar] [CrossRef]
- Wojcik, P.; Wojcik, M.; Klamkowski, K. Response of Apple Trees to Boron Fertilization under Conditions of Low Soil Boron Availability. Sci. Hortic. 2008, 116, 58–64. [Google Scholar] [CrossRef]
- Gerloff, G.C.; Stout, P.R.; Jones, L.H.P. Molybdenum-Manganese-Iron Antagonisms in the Nutrition of Tomato Plants. Plant Physiol. 1959, 34, 608–613. [Google Scholar] [CrossRef] [PubMed]
- Škarpa, P.; Klofáč, D.; Krčma, F.; Šimečková, J.; Kozáková, Z. Effect of Plasma Activated Water Foliar Application on Selected Growth Parameters of Maize (Zea mays L.). Water 2020, 12, 3545. [Google Scholar] [CrossRef]
- Collins, R.N.; Bakkaus, E.; Carrière, M.; Khodja, H.; Proux, O.; Morel, J.L.; Gouget, B. Uptake, Localization, and Speciation of Cobalt in Triticum aestivum L. (wheat) and Lycopersicon esculentum M. (tomato). Environ. Sci. Technol. 2010, 44, 2904–2910. [Google Scholar] [CrossRef] [PubMed]
- Xiu, H.; Xiangying, W.; Jie, L.; Jianjun, C. Cobalt: An Essential Micronutrient for Plant Growth? Front. Plant Sci. 2021, 12, 768523. [Google Scholar] [CrossRef]
- Zaharov, V.L.; Dubrovina, O.A.; Sotnikov, B.A.; Shchuchka, R.V. Content of Manganese ond Cobalt on Leaves of Clonal Stocks of on Apple-Tree oepending on Type of the Soil of the Lipetsk Region. Bull. Michurinsk SAU 2019, 3, 31–35. (In Russian) [Google Scholar]
- Reich, M.; Shahbaz, M.; Prajapati, D.H.; Parmar, S.; Hawkesford, M.J.; De Kok, L.J. Interactions of Sulfate with Other Nutrients As Revealed by H2S Fumigation of Chinese Cabbage. Front. Plant. Sci. 2016, 7, 541. [Google Scholar] [CrossRef] [PubMed]
- Marschner, H. Mineral Nutrition of Higher Plants, 2nd ed.; Academic Press: London, UK, 1995; 889p. [Google Scholar] [CrossRef]
- Kleiber, T. Effect of Manganese on Nutrient Content in Tomato (Lycopersicon esculentum Mill.) leaves. J. Elem. 2015, 20, 115–126. [Google Scholar] [CrossRef]
- Adhikari, B.; Adhikari, M.; Park, G. The Effects of Plasma on Plant Growth, Development, and Sustainability. Appl. Sci. 2020, 10, 6045. [Google Scholar] [CrossRef]
- Guo, Q.; Wang, Y.; Zhang, H.; Qu, G.; Wang, T.; Sun, Q.; Liang, D. Alleviation of adverse effects of drought stress on wheat seed germination using atmospheric dielectric barrier discharge plasma treatment. Sci. Rep. 2017, 7, 16680. [Google Scholar] [CrossRef]
- Kulik, A.; Wawer, I.; Krzywińska, E.; Bucholc, M.; Dobrowolska, G. SnRK2 Protein Kinases—Key Regulators of Plant Response to Abiotic Stresses. OMICS J. Integr. Biol. 2011, 15, 859–872. [Google Scholar] [CrossRef]
- Hu, B.; Cao, J.; Ge, K.; Li, L. The site of water stress governs the pattern of ABA synthesis and transport in peanut. Sci. Rep. 2016, 6, 32143. [Google Scholar] [CrossRef]
- Zhao, Y.; Patange, A.; Sun, D.; Tiwari, B. Plasma-activated Water: Physicochemical Properties, Microbial Inactivation Mechanisms, Factors Influencing Antimicrobial Effectiveness, and Applications in the Food Industry. Comp. Rev. Food Sci. Food Safe 2020, 19, 3951–3979. [Google Scholar] [CrossRef]
- Guo, J.; Wang, J.; Xie, H.; Jiang, J.; Li, C.; Li, W.; Li, L.; Liu, X.; Lin, F. Inactivation Effects of Plasma-Activated Water on Fusarium graminearum. Food Control 2022, 134, 108683. [Google Scholar] [CrossRef]
- Feizollahi, E.; Basu, U.; Fredua-Agyeman, R.; Jeganathan, B.; Tonoyan, L.; Strelkov, S.E.; Vasanthan, T.; Siraki, A.G.; Roopesh, M.S. Effect of Plasma-Activated Water Bubbles on Fusarium graminearum, Deoxynivalenol, and Germination of Naturally Infected Barley during Steeping. Toxins 2023, 15, 124. [Google Scholar] [CrossRef]
- Zhang, Q.; Feng, H.; Tian, Y.; Ma, R.; Fang, J.; Zhang, J.; Ye, G.; Liang, Y.; Zhu, W. A study of oxidative stress induced by non-thermal plasma activated water for bacterial damage. In Proceedings of the Abstracts IEEE International Conference on Plasma Science (ICOPS), San Francisco, CA, USA, 16–21 June 2013; p. 1. [Google Scholar]
- Yusupov, M.; Bogaerts, A.; Huygh, S.; Snoeckx, R.; van Duin, A.C.T.; Neyts, E.C. Plasma-Induced Destruction of Bacterial Cell Wall Components: A Reactive Molecular Dynamics Simulation. Phys. Chem. C 2013, 117, 5993–5998. [Google Scholar] [CrossRef]






| Month | Temperature, °C | Precipitation, mm |
|---|---|---|
| April | 10.9 | 19.2 |
| May | 12.0 | 15.3 |
| June | 17.7 | 53.2 |
| July | 20.5 | 59.4 |
| August | 21.7 | 6.8 |
| September | 16.3 | 1.2 |
| October | 6.9 | 2.6 |
| Mean IV–X | 15.1 | 22.5 |
| Storage Duration, Days | PAW Type | Exposure Time, min | Electrical Conductivity, μS/cm | pH | Redox, mV | NO2−, μM | NO3−, mM | H2O2, μM |
|---|---|---|---|---|---|---|---|---|
| 0 | PAW1 | 360 | 22,806 ± 2281 | 10.8 ± 0.2 | 91 ± 9 | 1447 ± 87 | 215 ± 21 | 0.9 ± 0.5 |
| PAW2 | 240 | 352 ± 35 | 3.2 ± 0.2 | 500 ± 50 | 209 ± 4 | 3.1 ± 0.3 | 1.8 ± 0.5 | |
| 1 | PAW1 | 360 | 22,139 ± 2214 | 10.5 ± 0.2 | 135 ± 14 | 1378 ± 174 | 213 ± 21 | 0 |
| PAW2 | 240 | 453 ± 45 | 3.2 ± 0.2 | 495 ± 49 | 179 ± 6 | 4.5 ± 0.5 | 0 | |
| 2 | PAW1 | 360 | 21,721 ± 2172 | 10.1 ± 0.2 | 171 ± 17 | 1469 ± 46 | 271 ± 3 | 0 |
| PAW2 | 240 | 456 ± 46 | 3.2 ± 0.2 | 514 ± 51 | 186 ± 15 | 3.9 ± 0.4 | 0 | |
| 3 | PAW1 | 360 | 19,809 ± 1981 | 10.0 ± 0.2 | 204 ± 20 | 1414 ± 141 | 287 ± 10 | 0 |
| PAW2 | 240 | 455 ± 46 | 3.2 ± 0.2 | 504 ± 50 | 116 ± 12 | 4.8 ± 0.3 | 0 | |
| 4 | PAW1 | 360 | 21,691 ± 2169 | 9.8 ± 0.2 | 192 ± 19 | 1516 ± 5 | 287 ± 10 | 0 |
| PAW2 | 240 | 478 ± 48 | 3.2 ± 0.2 | 484 ± 48 | 117 ± 12 | 5.9 ± 0.3 | 0 | |
| 7 | PAW1 | 360 | 21,653 ± 2165 | 9.6 ± 0.2 | 211 ± 21 | 1592 ± 7 | 275 ± 17 | 0 |
| PAW2 | 240 | 475 ± 48 | 3.2 ± 0.2 | 511 ± 51 | 90 ± 21 | 5.0 ± 0.5 | 0 | |
| 8 | PAW1 | 360 | 21,697 ± 2169 | 10.4 ± 0.2 | 156 ± 16 | 1530 ± 3 | 247 ± 2 | 0 |
| PAW2 | 240 | 459 ± 46 | 3.2 ± 0.2 | 508 ± 51 | 64 ± 1 | 4.7 ± 0.3 | 0 | |
| 9 | PAW1 | 360 | 22,303 ± 2230 | 10.1 ± 0.2 | 164 ± 16 | 1259 ± 32 | 312 ± 3 | 0 |
| PAW2 | 240 | 467 ± 47 | 3.2 ± 0.2 | 508 ± 51 | 53 ± 0.3 | 6.1 ± 0.3 | 0 | |
| 10 | PAW1 | 360 | 21,845 ± 2185 | 9.9 ± 0.2 | 160 ± 16 | 1369 ± 3 | 255 ± 16 | 0 |
| PAW2 | 240 | 466 ± 47 | 3.2 ± 0.2 | 502 ± 50 | 42 ± 1 | 5.1 ± 0.2 | 0 | |
| 11 | PAW1 | 360 | 21,952 ± 2195 | 9.6 ± 0.2 | 218 ± 22 | 1561 ± 28 | 247 ± 14 | 0 |
| PAW2 | 240 | 481 ± 48 | 3.2 ± 0.2 | 510 ± 51 | 50 ± 1 | 4.8 ± 0.1 | 0 |
| Treatments | Yield, kg Tree−1 | Extra Fancy, % | Fancy, % | Utility, % |
|---|---|---|---|---|
| C1P | 4.8 a* | 10 | 10 | 80 |
| C2P | 6.1 b | 88 | 8 | 4 |
| PAW1 + PT | 6.3 b | 92 | 5 | 3 |
| PAW1 + PT | 6.4 b | 90 | 6 | 4 |
| PAW1 | 6.0 b | 60 | 30 | 10 |
| PAW2 | 6.2 b | 65 | 25 | 10 |
| LSD05 | 0.7 | - | - | - |
Disclaimer/Publisher’s Note: The statements, opinions and data contained in all publications are solely those of the individual author(s) and contributor(s) and not of MDPI and/or the editor(s). MDPI and/or the editor(s) disclaim responsibility for any injury to people or property resulting from any ideas, methods, instructions or products referred to in the content. |
© 2024 by the authors. Licensee MDPI, Basel, Switzerland. This article is an open access article distributed under the terms and conditions of the Creative Commons Attribution (CC BY) license (https://creativecommons.org/licenses/by/4.0/).
Share and Cite
Kuzin, A.I.; Kashirskaya, N.Y.; Solovchenko, A.E.; Kochkina, A.M.; Stepantsowa, L.V.; Krasin, V.N.; Konchekov, E.M.; Lukanin, V.I.; Sergeichev, K.F.; Gudkova, V.V.; et al. Influence of Plasma-Activated Water on Foliar and Fruit Micronutrient Content and Plant Protection Efficiency. Horticulturae 2024, 10, 55. https://doi.org/10.3390/horticulturae10010055
Kuzin AI, Kashirskaya NY, Solovchenko AE, Kochkina AM, Stepantsowa LV, Krasin VN, Konchekov EM, Lukanin VI, Sergeichev KF, Gudkova VV, et al. Influence of Plasma-Activated Water on Foliar and Fruit Micronutrient Content and Plant Protection Efficiency. Horticulturae. 2024; 10(1):55. https://doi.org/10.3390/horticulturae10010055
Chicago/Turabian StyleKuzin, Andrei I., Natalia Ya. Kashirskaya, Alexei E. Solovchenko, Anna M. Kochkina, Ludmila V. Stepantsowa, Vyacheslav N. Krasin, Evgeny M. Konchekov, Vladimir I. Lukanin, Konstantin F. Sergeichev, Victoria V. Gudkova, and et al. 2024. "Influence of Plasma-Activated Water on Foliar and Fruit Micronutrient Content and Plant Protection Efficiency" Horticulturae 10, no. 1: 55. https://doi.org/10.3390/horticulturae10010055
APA StyleKuzin, A. I., Kashirskaya, N. Y., Solovchenko, A. E., Kochkina, A. M., Stepantsowa, L. V., Krasin, V. N., Konchekov, E. M., Lukanin, V. I., Sergeichev, K. F., Gudkova, V. V., Khort, D. O., & Smirnov, I. G. (2024). Influence of Plasma-Activated Water on Foliar and Fruit Micronutrient Content and Plant Protection Efficiency. Horticulturae, 10(1), 55. https://doi.org/10.3390/horticulturae10010055

