Genome-Wide Identification and Expression Analysis of Auxin Response Factor (ARF) Gene Family in Betula pendula
Abstract
1. Introduction
2. Materials and Methods
2.1. Identification of ARF Genes in Betula pendula
2.2. Amino Acid Sequence, Gene Structure and Subcellular Localization
2.3. Chromosomal Localization, Gene Duplication and Phylogenetic Analysis
2.4. Conservative Motif and Promoter Cis-Acting Element
2.5. Plant Materials and Treatments
2.6. RNA Extraction and qRT-PCR Analysis
2.7. Statistical Analysis
3. Results
3.1. Identification of BpeARF Gene Family
3.2. Chromosome Distribution and Synteny Relationship of BpeARF Genes
3.3. Phylogeny and Classification of BpeARF Genes
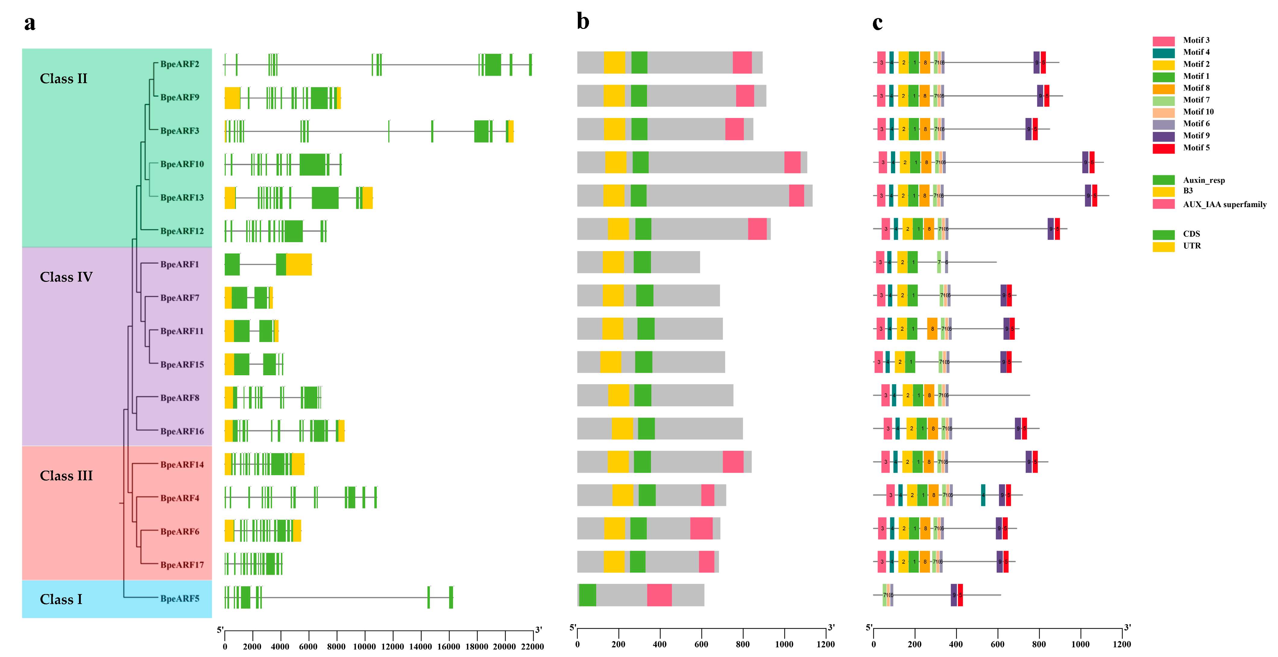
3.4. Gene Structure, Conserved Domain and Motif Composition of BpeARF Genes
3.5. Cis-Acting Element in Promoter Region of BpeARF Genes
3.6. Expression Patterns of BpeARF Genes in Plant Tissues
3.7. Expression Patterns of BpeARF Genes with Exogenous NAA Treatment
3.8. Expression Patterns of BpeARF Genes under Drought Stress
4. Discussion
4.1. Duplication Events of BpeARF Gene Family
4.2. Phylogenetic Relationship and Diversity of BpeARF Gene Family
4.3. Expression Characteristics of BpeARF Gene Family
5. Conclusions
Author Contributions
Funding
Data Availability Statement
Acknowledgments
Conflicts of Interest
References
- Koski, V.; Rousi, M. A review of the promises and constraints of breeding silver birch (Betula pendula Roth) in Finland. Forestry 2005, 78, 187–198. [Google Scholar] [CrossRef]
- Gomes, G.L.B.; Scortecci, K.C. Auxin and its role in plant development: Structure, signalling, regulation and response mechanisms. Plant Biol. 2021, 23, 894–904. [Google Scholar] [CrossRef] [PubMed]
- Gu, C.R.; Han, R.; Liu, C.Y.; Fang, G.G.; Yuan, Q.H.; Zheng, Z.M.; Yu, Q.B.; Jiang, J.; Liu, S.Z.; Xie, L.N.; et al. Heritable epigenetic modification of BpPIN1 is associated with leaf shapes in Betula pendula. Tree Physiol. 2023, 43, 1811–1824. [Google Scholar] [CrossRef] [PubMed]
- Yang, G.; Chen, S.; Wang, S.; Liu, G.F.; Li, H.Y.; Huang, H.J.; Jiang, J. BpGH3.5, an early auxin-response gene, regulates root elongation in Betula platyphylla × Betula pendula. Plant Cell Tissue Organ Cult. 2015, 120, 239–250. [Google Scholar] [CrossRef]
- Yu, Z.P.; Zhang, F.; Friml, J.; Ding, Z.J. Auxin signaling: Research advances over the past 30 years. J. Integr. Plant Biol. 2022, 64, 371–392. [Google Scholar] [CrossRef] [PubMed]
- Luo, J.; Zhou, J.J.; Zhang, J.Z. Aux/IAA gene family in plants: Molecular structure, regulation, and function. Int. J. Mol. Sci. 2018, 19, 259. [Google Scholar] [CrossRef] [PubMed]
- Kou, X.H.; Zhao, X.Y.; Wu, B.D.; Wang, C.; Wu, C.E.; Yang, S.; Zhou, J.Q.; Xue, Z.H. Auxin response factors are ubiquitous in plant growth and development, and involved in crosstalk between plant hormones: A review. Appl. Sci. 2022, 12, 1360. [Google Scholar] [CrossRef]
- Mironova, V.V.; Omelyanchuk, N.A.; Wiebe, D.S.; Levitsky, V.G. Computational analysis of auxin responsive elements in the Arabidopsis thaliana L. genome. BMC Genom. 2014, 15, S4. [Google Scholar] [CrossRef]
- Li, S.B.; Xie, Z.Z.; Hu, C.G.; Zhang, J.Z. A review of auxin response factors (ARFs) in plants. Front. Plant Sci. 2016, 7, 47. [Google Scholar] [CrossRef]
- Cancé, C.; Martin-Arevalillo, R.; Boubekeur, K.; Dumas, R. Auxin response factors are keys to the many auxin doors. New Phytol. 2022, 235, 402–419. [Google Scholar] [CrossRef]
- Tombuloglu, H. Genome-wide analysis of the auxin response factors (ARF) gene family in barley (Hordeum vulgare L.). J. Plant Biochem. Biot. 2019, 28, 14–24. [Google Scholar] [CrossRef]
- Wang, D.K.; Pei, K.M.; Fu, Y.P.; Sun, Z.X.; Li, S.J.; Liu, H.Q.; Tang, K.; Han, B.; Tao, Y.Z. Genome-wide analysis of the auxin response factors (ARF) gene family in rice (Oryza sativa). Gene 2007, 394, 13–24. [Google Scholar] [CrossRef]
- Liu, Z.N.; Miao, L.M.; Huo, R.X.; Song, X.Y.; Johnson, C.; Kong, L.J.; Sundaresan, V.; Yu, X.L. ARF2–ARF4 and ARF5 are essential for female and male gametophyte development in Arabidopsis. Plant Cell Physiol. 2018, 59, 179–189. [Google Scholar] [CrossRef]
- Schruff, M.C.; Spielman, M.; Tiwari, S.; Adams, S.; Fenby, N.; Scott, R.J. The AUXIN RESPONSE FACTOR 2 gene of Arabidopsis links auxin signalling, cell division, and the size of seeds and other organs. Development 2006, 133, 251–261. [Google Scholar] [CrossRef]
- Nagpal, P.; Ellis, C.M.; Weber, H.; Ploense, S.E.; Barkawi, L.S.; Guilfoyle, T.J.; Hagen, G.; Alonso, J.M.; Cohen, J.D.; Farmer, E.E.; et al. Auxin response factors ARF6 and ARF8 promote jasmonic acid production and flower maturation. Development 2005, 132, 4107–4118. [Google Scholar] [CrossRef]
- Reed, J.W.; Wu, M.F.; Reeves, P.H.; Hodgens, C.; Yadav, V.; Hayes, S.; Pierik, R. Three auxin response factors promote hypocotyl elongation. Plant Physiol. 2018, 178, 864–875. [Google Scholar] [CrossRef]
- Xiao, G.H.; He, P.; Zhao, P.; Liu, H.; Zhang, L.; Pang, C.Y.; Yu, J.N. Genome-wide identification of the GhARF gene family reveals that GhARF2 and GhARF18 are involved in cotton fibre cell initiation. J. Exp. Bot. 2018, 69, 4323–4337. [Google Scholar] [CrossRef]
- de Jong, M.; Wolters-Arts, M.; García-Martínez, J.L.; Mariani, C.; Vriezen, W.H. The Solanum lycopersicum AUXIN RESPONSE FACTOR 7 (SlARF7) mediates cross-talk between auxin and gibberellin signalling during tomato fruit set and development. J. Exp. Bot. 2011, 62, 617–626. [Google Scholar] [CrossRef] [PubMed]
- Sagar, M.; Chervin, C.; Mila, I.; Hao, Y.W.; Roustan, J.P.; Benichou, M.; Gibon, Y.; Biais, B.; Maury, P.; Latché, A.; et al. SlARF4, an auxin response factor involved in the control of sugar metabolism during tomato fruit development. Plant Physiol. 2013, 161, 1362–1374. [Google Scholar] [CrossRef] [PubMed]
- Yuan, Y.J.; Mei, L.H.; Wu, M.B.; Wei, W.; Shan, W.; Gong, Z.H.; Zhang, Q.; Yang, F.Q.; Yan, F.; Zhang, Q.; et al. SlARF10, an auxin response factor, is involved in chlorophyll and sugar accumulation during tomato fruit development. J. Exp. Bot. 2018, 69, 5507–5518. [Google Scholar] [CrossRef] [PubMed]
- Liu, N.N.; Dong, L.W.; Deng, X.; Liu, D.M.; Liu, Y.; Li, M.F.; Hu, Y.K.; Yan, Y.M. Genome-wide identification, molecular evolution, and expression analysis of auxin response factor (ARF) gene family in Brachypodium distachyon L. BMC Plant Biol. 2018, 18, 336. [Google Scholar] [CrossRef]
- Tang, Y.Y.; Du, G.N.; Xiang, J.; Hu, C.L.; Li, X.T.; Wang, W.H.; Zhu, H.; Qiao, L.X.; Zhao, C.M.; Wang, J.S.; et al. Genome-wide identification of auxin response factor (ARF) gene family and the miR160-ARF18-mediated response to salt stress in peanut (Arachis hypogaea L.). Genomics 2022, 114, 171–184. [Google Scholar] [CrossRef]
- Pei, Q.Y.; Li, N.; Yang, Q.H.; Wu, T.; Feng, S.Y.; Feng, X.H.; Jing, Z.G.; Zhou, R.; Gong, K.; Yu, T.; et al. Genome-wide identification and comparative analysis of ARF family genes in three Apiaceae species. Front. Genet. 2021, 11, 590535. [Google Scholar] [CrossRef]
- Liu, Y.Y.; Wang, R.Q.; Yu, J.J.; Huang, S.; Zhang, Y.; Wei, H.R.; Wei, Z.G. Genome-wide identification and characterization of auxin response factor (ARF) gene family involved in wood formation and response to exogenous hormone treatment in Populus trichocarpa. Int. J. Mol. Sci. 2023, 24, 740. [Google Scholar] [CrossRef]
- Li, H.Y.; Zhang, X.; Tong, B.T.; Wang, Y.C.; Yang, C.P. Expression analysis of the BpARF genes in Betula platyphylla under drought stress. Plant Physiol. Bioch. 2020, 148, 273–281. [Google Scholar] [CrossRef] [PubMed]
- Chen, G.W.; Yue, Y.Z.; Li, L.; Li, Y.L.; Li, H.Y.; Ding, W.J.; Shi, T.T.; Yang, X.L.; Wang, L.G. Genome-wide identification of the auxin response factor (ARF) gene family and their expression analysis during flower development of Osmanthus fragrans. Forests 2020, 11, 245. [Google Scholar] [CrossRef]
- Jin, L.F.; Yarra, R.; Zhou, L.X.; Cao, H.X. The auxin response factor (ARF) gene family in Oil palm (Elaeis guineensis Jacq.): Genome-wide identification and their expression profiling under abiotic stresses. Protoplasma 2022, 259, 47–60. [Google Scholar] [CrossRef]
- Salojärvi, J.; Smolander, O.P.; Nieminen, K.; Rajaraman, S.; Safronov, O.; Safdari, P.; Lamminmäki, A.; Immanen, J.; Lan, T.Y.; Tanskanen, J.; et al. Genome sequencing and population genomic analyses provide insights into the adaptive landscape of silver birch. Nat. Genet. 2017, 49, 904–912. [Google Scholar] [CrossRef]
- Ye, J.; McGinnis, S.; Madden, T.L. BLAST: Improvements for better sequence analysis. Nucleic Acids Res. 2006, 34, W6–W9. [Google Scholar] [CrossRef] [PubMed]
- Eddy, S.R. Accelerated profile HMM searches. PLoS Comput. Biol. 2011, 7, e1002195. [Google Scholar] [CrossRef] [PubMed]
- El-Gebali, S.; Mistry, J.; Bateman, A.; Eddy, S.R.; Luciani, A.; Potter, S.C.; Qureshi, M.; Richardson, L.J.; Salazar, G.A.; Smart, A.; et al. The Pfam protein families database in 2019. Nucleic Acids Res. 2019, 47, D427–D432. [Google Scholar] [CrossRef]
- Yang, M.Z.; Derbyshire, M.K.; Yamashita, R.A.; Marchler-Bauer, A. NCBI’s conserved domain database and tools for protein domain analysis. Curr. Protoc. Bioinform. 2020, 69, e90. [Google Scholar] [CrossRef]
- Gasteiger, E.; Gattiker, A.; Hoogland, C.; Ivanyi, I.; Appel, R.D.; Bairoch, A. ExPASy: The proteomics server for in-depth protein knowledge and analysis. Nucleic Acids Res. 2003, 31, 3784–3788. [Google Scholar] [CrossRef]
- Hu, B.; Jin, J.P.; Guo, A.Y.; Zhang, H.; Luo, J.C.; Gao, G. GSDS 2.0: An upgraded gene feature visualization server. Bioinformatics 2015, 31, 1296–1297. [Google Scholar] [CrossRef]
- Horton, P.; Park, K.J.; Obayashi, T.; Fujita, N.; Harada, H.; Adams-Collier, C.J.; Nakai, K. WoLF PSORT: Protein localization predictor. Nucleic Acids Res. 2007, 35, W585–W587. [Google Scholar] [CrossRef]
- Chao, J.T.; Li, Z.Y.; Sun, Y.H.; Aluko, O.O.; Wu, X.R.; Wang, Q.; Liu, G.S. MG2C: A user-friendly online tool for drawing genetic maps. Mol. Hortic. 2021, 1, 16. [Google Scholar] [CrossRef]
- Wang, Y.P.; Tang, H.B.; DeBarry, J.D.; Tan, X.; Li, J.P.; Wang, X.Y.; Lee, T.H.; Jin, H.Z.; Marler, B.; Guo, H.; et al. MCScanX: A toolkit for detection and evolutionary analysis of gene synteny and collinearity. Nucleic Acids Res. 2012, 40, e49. [Google Scholar] [CrossRef]
- Liu, M.Y.; Ma, Z.T.; Wang, A.H.; Zheng, T.R.; Huang, L.; Sun, W.J.; Zhang, Y.J.; Jin, W.Q.; Zhan, J.Y.; Cai, Y.T.; et al. Genome-wide investigation of the auxin response factor gene family in tartary buckwheat (Fagopyrum tataricum). Int. J. Mol. Sci. 2018, 19, 3256. [Google Scholar] [CrossRef]
- Zhang, Z. KaKs_Calculator 3.0: Calculating selective pressure on coding and non-coding sequences. Genom. Proteom. Bioinf. 2022, 20, 536–540. [Google Scholar] [CrossRef]
- Kumar, S.; Stecher, G.; Li, M.; Knyaz, C.; Tamura, K. MEGA X: Molecular evolutionary genetics analysis across computing platforms. Mol. Biol. Evol. 2018, 35, 1547–1549. [Google Scholar] [CrossRef]
- Letunic, I.; Bork, P. Interactive Tree Of Life (iTOL) v5: An online tool for phylogenetic tree display and annotation. Nucleic Acids Res. 2021, 49, W293–W296. [Google Scholar] [CrossRef] [PubMed]
- Bailey, T.L.; Johnson, J.; Grant, C.E.; Noble, W.S. The MEME Suite. Nucleic Acids Res. 2015, 43, W39–W49. [Google Scholar] [CrossRef]
- Lescot, M.; Déhais, P.; Thijs, G.; Marchal, K.; Moreau, Y.; van de Peer, Y.; Rouzé, P.; Rombauts, S. PlantCARE, a database of plant cis-acting regulatory elements and a portal to tools for in silico analysis of promoter sequences. Nucleic Acids Res. 2002, 30, 325–327. [Google Scholar] [CrossRef]
- Chen, C.J.; Wu, Y.; Xia, R. A painless way to customize Circos plot: From data preparation to visualization using TBtools. iMeta 2022, 1, e35. [Google Scholar] [CrossRef]
- Mu, H.Z.; Lin, L.; Zhang, Q.Y.; Tang, X.J.; Zhang, X.; Cheng, G.Y. Growth, proline content and proline-associated gene expression of autotetraploid Betula platyphylla responding to NaHCO3 stress. Dendrobiology 2016, 75, 123–129. [Google Scholar] [CrossRef][Green Version]
- Schmittgen, T.D.; Livak, K.J. Analyzing real-time PCR data by the comparative CT method. Nat. Protoc. 2008, 3, 1101–1108. [Google Scholar] [CrossRef]
- Okushima, Y.; Overvoorde, P.J.; Arima, K.; Alonso, J.M.; Chan, A.; Chang, C.; Ecker, J.R.; Hughes, B.; Lui, A.; Nguyen, D.; et al. Functional genomic analysis of the AUXIN RESPONSE FACTOR gene family members in Arabidopsis thaliana: Unique and overlapping functions of ARF7 and ARF19. Plant Cell 2005, 17, 444–463. [Google Scholar] [CrossRef]
- Xing, H.Y.; Pudake, R.N.; Guo, G.G.; Xing, G.F.; Hu, Z.R.; Zhang, Y.R.; Sun, Q.X.; Ni, Z.F. Genome-wide identification and expression profiling of auxin response factor (ARF) gene family in maize. BMC Genom. 2011, 12, 178. [Google Scholar] [CrossRef]
- Niu, J.; Bi, Q.X.; Deng, S.Y.; Chen, H.P.; Yu, H.Y.; Wang, L.B.; Lin, S.Z. Identification of AUXIN RESPONSE FACTOR gene family from Prunus sibirica and its expression analysis during mesocarp and kernel development. BMC Plant Biol. 2018, 18, 21. [Google Scholar] [CrossRef]
- Yu, H.; Soler, M.; Mila, I.; Clemente, H.S.; Savelli, B.; Dunand, C.; Paiva, J.A.P.; Myburg, A.A.; Bouzayen, M.; Grima-Pettenati, J.; et al. Genome-wide characterization and expression profiling of the AUXIN RESPONSE FACTOR (ARF) gene family in Eucalyptus grandis. PLoS ONE 2014, 9, e108906. [Google Scholar] [CrossRef]
- Diao, D.H.; Hu, X.; Guan, D.; Wang, W.; Yang, H.Q.; Liu, Y.P. Genome-wide identification of the ARF (auxin response factor) gene family in peach and their expression analysis. Mol. Biol. Rep. 2020, 47, 4331–4344. [Google Scholar] [CrossRef]
- Peng, Y.; Fang, T.; Zhang, Y.Y.; Zhang, M.Y.; Zeng, L.H. Genome-wide identification and expression analysis of auxin response factor (ARF) gene family in longan (Dimocarpus longan L.). Plants-Basel 2020, 9, 221. [Google Scholar] [CrossRef]
- Verde, I.; Abbott, A.G.; Scalabrin, S.; Jung, S.; Shu, S.Q.; Marroni, F.; Zhebentyayeva, T.; Dettori, M.T.; Grimwood, J.; Cattonaro, F.; et al. The high-quality draft genome of peach (Prunus persica) identifies unique patterns of genetic diversity, domestication and genome evolution. Nat. Genet. 2013, 45, 487–494. [Google Scholar] [CrossRef]
- Wang, J.; Li, J.G.; Li, Z.R.; Liu, B.; Zhang, L.L.; Guo, D.L.; Huang, S.L.; Qian, W.Q.; Guo, L. Genomic insights into longan evolution from a chromosome-level genome assembly and population genomics of longan accessions. Hortic. Res. 2022, 9, uhac021. [Google Scholar] [CrossRef]
- Myburg, A.A.; Grattapaglia, D.; Tuskan, G.A.; Hellsten, U.; Hayes, R.D.; Grimwood, J.; Jenkins, J.; Lindquist, E.; Tice, H.; Bauer, D.; et al. The genome of Eucalyptus grandis. Nature 2014, 510, 356–362. [Google Scholar] [CrossRef]
- Zong, Y.; Gu, L.L.; Shen, Z.L.; Kang, H.T.; Li, Y.Q.; Liao, F.L.; Xu, L.S.; Guo, W.D. Genome-wide identification and bioinformatics analysis of auxin response factor genes in highbush blueberry. Horticulturae 2021, 7, 403. [Google Scholar] [CrossRef]
- Holub, E.B. The arms race is ancient history in Arabidopsis, the wildflower. Nat. Rev. Genet. 2001, 2, 516–527. [Google Scholar] [CrossRef]
- Li, J.; Zhang, Z.; Vang, S.; Yu, J.; Wong, G.K.S.; Wang, J. Correlation between Ka/Ks and Ks is related to substitution model and evolutionary lineage. J. Mol. Evol. 2009, 68, 414–423. [Google Scholar] [CrossRef]
- Die, J.V.; Gil, J.; Millan, T. Genome-wide identification of the auxin response factor gene family in Cicer arietinum. BMC Genom. 2018, 19, 301. [Google Scholar] [CrossRef]
- Hu, W.; Zuo, J.; Hou, X.W.; Yan, Y.; Wei, Y.X.; Liu, J.H.; Li, M.Y.; Xu, B.Y.; Jin, Z.Q. The auxin response factor gene family in banana: Genome-wide identification and expression analyses during development, ripening, and abiotic stress. Front. Plant Sci. 2015, 6, 742. [Google Scholar] [CrossRef]
- Su, Z.X.; Wang, L.L.; Li, W.M.; Zhao, L.H.; Huang, X.Y.; Azam, S.M.; Qin, Y. Genome-wide identification of auxin response factor (ARF) genes family and its tissue-specific prominent expression in pineapple (Ananas comosus). Trop. Plant Biol. 2017, 10, 86–96. [Google Scholar] [CrossRef]
- Wei, H.; Cheng, Y.Q.; Sun, Y.; Zhang, X.Z.; He, H.L.; Liu, J.F. Genome-wide identification of the ARF gene family and ARF3 target genes regulating ovary initiation in hazel via ChIP sequencing. Front. Plant Sci. 2021, 12, 715820. [Google Scholar] [CrossRef] [PubMed]
- Fontana, M.; Roosjen, M.; García, I.C.; van den Berg, W.; Malfois, M.; Boer, R.; Weijers, D.; Hohlbein, J. Cooperative action of separate interaction domains promotes high-affinity DNA binding of Arabidopsis thaliana ARF transcription factors. Proc. Natl. Acad. Sci. USA 2023, 120, e2219916120. [Google Scholar] [CrossRef] [PubMed]
- Song, S.W.; Hao, L.Y.; Zhao, P.; Xu, Y.; Zhong, N.Q.; Zhang, H.J.; Liu, N. Genome-wide identification, expression profiling and evolutionary analysis of auxin response factor gene family in potato (Solanum tuberosum Group Phureja). Sci. Rep. 2019, 9, 1755. [Google Scholar] [CrossRef] [PubMed]
- Hou, Q.D.; Qiu, Z.L.; Wen, Z.; Zhang, H.M.; Li, Z.C.; Hong, Y.; Qiao, G.; Wen, X.P. Genome-wide identification of ARF gene family suggests a functional expression pattern during fruitlet abscission in Prunus avium L. Int. J. Mol. Sci. 2021, 22, 11968. [Google Scholar] [CrossRef]
- Guilfoyle, T.J.; Hagen, G. Auxin response factors. Curr. Opin. Plant Biol. 2007, 10, 453–460. [Google Scholar] [CrossRef] [PubMed]
- Wilmoth, J.C.; Wang, S.C.; Tiwari, S.B.; Joshi, A.D.; Hagen, G.; Guilfoyle, T.J.; Alonso, J.M.; Ecker, J.R.; Reed, J.W. NPH4/ARF7 and ARF19 promote leaf expansion and auxin-induced lateral root formation. Plant J. 2005, 43, 118–130. [Google Scholar] [CrossRef]
- Krogan, N.T.; Ckurshumova, W.; Marcos, D.; Caragea, A.E.; Berleth, T. Deletion of MP/ARF5 domains III and IV reveals a requirement for Aux/IAA regulation in Arabidopsis leaf vascular patterning. New Phytol. 2012, 194, 391–401. [Google Scholar] [CrossRef]
- Okushima, Y.; Fukaki, H.; Onoda, M.; Theologis, A.; Tasaka, M. ARF7 and ARF19 regulate lateral root formation via direct activation of LBD/ASL genes in Arabidopsis. Plant Cell 2007, 19, 118–130. [Google Scholar] [CrossRef]
- Caumon, H.; Vernoux, T. A matter of time: Auxin signaling dynamics and the regulation of auxin responses during plant development. J. Exp. Bot. 2023, 74, 3887–3902. [Google Scholar] [CrossRef]
- Zhang, J.; Khan, R.; Zhou, L.; Wu, X.Y.; Xu, N.; Ma, X.H.; Zhang, Y. Genome-wide identification analysis of the auxin response factors family in Nicotiana tabacum and the function of NtARF10 in leaf size regulation. J. Plant Biol. 2021, 64, 281–297. [Google Scholar] [CrossRef]
- Wang, J.L.; Wu, Z.Y.; Shen, Z.B.; Bai, Z.T.; Zhong, P.; Ma, L.C.; Pan, D.F.; Zhang, R.B.; Li, D.M.; Zhang, H.L.; et al. Genome-wide identification, phylogeny, and expression analysis of ARF genes involved in vegetative organs development in switchgrass. Int. J. Genom. 2018, 2018, 7658910. [Google Scholar] [CrossRef] [PubMed]
- Santhi, C.K.V.; Rajesh, M.K.; Ramesh, S.V.; Muralikrishna, K.S.; Gangaraj, K.P.; Gupta, P.; Dash, P.K. Genome-wide exploration of auxin response factors (ARFs) and their expression dynamics in response to abiotic stresses and growth regulators in coconut (Cocos nucifera L.). Plant Gene 2021, 28, 100344. [Google Scholar]
- Bouzroud, S.; Gouiaa, S.; Hu, N.; Bernadac, A.; Mila, I.; Bendaou, N.; Smouni, A.; Bouzayen, M.; Zouine, M. Auxin response factors (ARFs) are potential mediators of auxin action in tomato response to biotic and abiotic stress (Solanum lycopersicum). PLoS ONE 2018, 13, e0193517. [Google Scholar] [CrossRef]
- Xu, Y.X.; Mao, J.; Chen, W.; Qian, T.T.; Liu, S.C.; Hao, W.J.; Li, C.F.; Chen, L. Identification and expression profiling of the auxin response factors (ARFs) in the tea plant (Camellia sinensis (L.) O. Kuntze) under various abiotic stresses. Plant Physiol. Biochem. 2016, 98, 46–56. [Google Scholar] [CrossRef]








| Gene | Forward Primer (5′-3′) | Reverse Primer (5′-3′) |
|---|---|---|
| 18S rRNA | ATCTTGGGTTGGGCAGATCG | CATTACTCCGATCCCGAAGG |
| α-Tublin | GCACTGGCCTCCAAGGAT | TGGGTCGCTCAATGTCAAGG |
| BpeARF1 | GGCGATTCCGTAGTGTTC | CTCCAGGTTCATCCCATG |
| BpeARF2 | TGCCATCTTCGGTATTGT | CGTCTTTGAGACCGTGAA |
| BpeARF3 | CGACCGCAAACTGTGATG | CGGAAACAACGACGGATA |
| BpeARF4 | GCATCAAGGGTCAGAGCA | CATCCGGTTGTGAGCAAG |
| BpeARF5 | ACCTCATGCGTTTCGTTG | ATTGCTCTGTGGGTTTGG |
| BpeARF6 | GACAGGGTAGCAGAAATAA | CAGTCAAGTCCACGGCAC |
| BpeARF7 | TGTTCAGGTTGCCGATTC | GTTGCCACAAGGGACTTT |
| BpeARF8 | TCTACTGGTAAGGTGGGATG | CCAAAGTCTGACGCTCTAA |
| BpeARF9 | TGTTTCTGTTGGGATGCG | TGGAAAGATGGAAGTGGC |
| BpeARF10 | AGTTGGGCGATGTTACTC | CTCTGTGGGTCTTGGAAT |
| BpeARF11 | GGGAAAGTGAGGGCTGAA | GGGAAATCTGGGTGTTGTG |
| BpeARF12 | GCCATAGCGAGCAGGTAG | TCCAAAGGAGGAAAGAGC |
| BpeARF13 | ATTCAGGCATATTTATCGTG | CTGGCTAAGGGAATCACA |
| BpeARF14 | GTTTATTGTTCCCTACGACC | TTTCCAAGGCGACACTCT |
| BpeARF15 | CGCCGAGACAATCTTTCC | TCCTCCTCCCTCAACAGC |
| BpeARF16 | TTCCCTCCTTTGGATTAT | GACTACGCCACTACACCT |
| BpeARF17 | TCTGGAACCCTGGATTGA | AGTGTCGGCTTTCTTTGC |
| Gene | Chromosome | Genome Position | CDS Length (bp) | Protein Length (aa) | Molecular Weight (kDa) | Theoretical Isoelectric Point | Subcellular Localization | |
|---|---|---|---|---|---|---|---|---|
| Start | End | |||||||
| BpeARF1 | 1 | 38,788,784 | 38,794,987 | 2685 | 894 | 65.209 | 6.45 | Nucleus |
| BpeARF2 | 2 | 16,657,839 | 16,679,834 | 2550 | 849 | 98.832 | 6.48 | Nucleus |
| BpeARF3 | 2 | 10,026,552 | 10,047,138 | 2154 | 718 | 94.805 | 6.39 | Nucleus |
| BpeARF4 | 3 | 494,058 | 504,888 | 1842 | 613 | 80.355 | 6.55 | Nucleus |
| BpeARF5 | 4 | 18,674,561 | 18,690,828 | 2073 | 690 | 69.136 | 4.71 | Nucleus |
| BpeARF6 | 5 | 21,298,499 | 21,303,939 | 2067 | 688 | 76.859 | 6.60 | Nucleus |
| BpeARF7 | 5 | 5,075,840 | 5,079,262 | 2262 | 753 | 76.251 | 6.67 | Nucleus |
| BpeARF8 | 6 | 23,740,102 | 23,746,958 | 2739 | 912 | 82.468 | 6.81 | Nucleus |
| BpeARF9 | 6 | 7,510,208 | 7,518,474 | 3327 | 1109 | 101.627 | 6.81 | Nucleus |
| BpeARF10 | 7 | 4,843,289 | 4,851,608 | 2109 | 702 | 122.667 | 6.93 | Nucleus |
| BpeARF11 | 8 | 5,039,300 | 5,043,125 | 2802 | 933 | 76.950 | 6.81 | Nucleus |
| BpeARF12 | 9 | 2,615,628 | 2,622,870 | 3408 | 1135 | 103.160 | 5.15 | Nucleus |
| BpeARF13 | 10 | 19,836,027 | 19,846,570 | 2526 | 841 | 127.009 | 6.59 | Nucleus |
| BpeARF14 | 12 | 25,724,424 | 25,730,098 | 2142 | 713 | 93.401 | 7.02 | Nucleus |
| BpeARF15 | 13 | 13,624,030 | 13,628,188 | 2400 | 799 | 78.311 | 7.96 | Nucleus |
| BpeARF16 | 13 | 14,734,770 | 14,743,305 | 2052 | 683 | 88.575 | 6.87 | Nucleus |
| BpeARF17 | 14 | 1,409,167 | 1,413,267 | 2683 | 894 | 76.401 | 6.79 | Nucleus |
Disclaimer/Publisher’s Note: The statements, opinions and data contained in all publications are solely those of the individual author(s) and contributor(s) and not of MDPI and/or the editor(s). MDPI and/or the editor(s) disclaim responsibility for any injury to people or property resulting from any ideas, methods, instructions or products referred to in the content. |
© 2023 by the authors. Licensee MDPI, Basel, Switzerland. This article is an open access article distributed under the terms and conditions of the Creative Commons Attribution (CC BY) license (https://creativecommons.org/licenses/by/4.0/).
Share and Cite
Mu, H.; Jin, X.; Lv, S.; Long, S.; Liu, Y.; Chen, L.; Lin, L. Genome-Wide Identification and Expression Analysis of Auxin Response Factor (ARF) Gene Family in Betula pendula. Horticulturae 2024, 10, 27. https://doi.org/10.3390/horticulturae10010027
Mu H, Jin X, Lv S, Long S, Liu Y, Chen L, Lin L. Genome-Wide Identification and Expression Analysis of Auxin Response Factor (ARF) Gene Family in Betula pendula. Horticulturae. 2024; 10(1):27. https://doi.org/10.3390/horticulturae10010027
Chicago/Turabian StyleMu, Huaizhi, Xuhong Jin, Songtong Lv, Sheng Long, Yang Liu, Le Chen, and Lin Lin. 2024. "Genome-Wide Identification and Expression Analysis of Auxin Response Factor (ARF) Gene Family in Betula pendula" Horticulturae 10, no. 1: 27. https://doi.org/10.3390/horticulturae10010027
APA StyleMu, H., Jin, X., Lv, S., Long, S., Liu, Y., Chen, L., & Lin, L. (2024). Genome-Wide Identification and Expression Analysis of Auxin Response Factor (ARF) Gene Family in Betula pendula. Horticulturae, 10(1), 27. https://doi.org/10.3390/horticulturae10010027
