Recovery of Energy and Carbon Dioxide from Craft Brewery Wastes for Onsite Use
Abstract
1. Introduction
2. Materials and Methods
2.1. Bench Scale Experiments
2.1.1. Materials
2.1.2. Biomethane Potential Assays (BMPs)
2.1.3. Anaerobic Sequencing Batch Reactor (ASBR) Studies
2.1.4. Analytical Methods
2.1.5. Data Analysis
2.2. Decision Support Tool
2.2.1. Anaerobic Digester Sizing
- Q = feedstock flowrate (m3/s);
- C0,COD = influent substrate concentration (kg/m3);
- OLR = COD loading rate (kg/m3/s);
- HD = head space of the digester (%);
- VD = volume of the AD (m3).
2.2.2. Biogas Production and Utilization
- CODTotal = COD of waste generated (kg/day);
- α = the methane yield (m3 CH4/kg COD).
2.2.3. Carbon Offset Potential
2.2.4. Economic Analysis
- n = the period which takes values from 0 to the nth period till the cash flow ending period;
- CFn = the cash flow in the nth period (USD);
- R = the discount rate;
- I0 = the initial investment (USD).
3. Results
3.1. Bench Scale Experiments
3.1.1. Biomethane Potential Assays (BMPs)
3.1.2. Anaerobic Sequencing Batch Reactors (ASBRs)
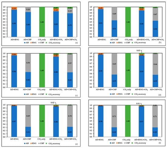
3.2. Economic Analysis
4. Conclusions
Supplementary Materials
Author Contributions
Funding
Institutional Review Board Statement
Informed Consent Statement
Data Availability Statement
Acknowledgments
Conflicts of Interest
References
- Brewers Association. Craft Brewery Definition. Available online: https://www.brewersassociation.org/statistics-and-data/craft-brewer-definition/ (accessed on 31 July 2023).
- Brewers Association. State Craft Beer Sales & Production Statistics. Available online: https://www.brewersassociation.org/statistics-and-data/state-craft-beer-stats/ (accessed on 31 July 2023).
- Swart, L.J.; Bedzo, O.K.K.; van Rensburg, E.; Görgens, J.F. Pilot-Scale Xylooligosaccharide Production through Steam Explosion of Screw Press–Dried Brewers’ Spent Grains. Biomass Convers. Biorefin. 2020, 12, 1295–1309. [Google Scholar] [CrossRef]
- Karlović, A.; Jurić, A.; Ćorić, N.; Habschied, K.; Krstanović, V.; Mastanjević, K. By-Products in the Malting and Brewing Industries—Re-Usage Possibilities. Fermentation 2020, 6, 82. [Google Scholar] [CrossRef]
- Kerby, C.; Vriesekoop, F. An Overview of the Utilisation of Brewery By-Products as Generated by British Craft Breweries. Beverages 2017, 3, 24. [Google Scholar] [CrossRef]
- Walker, M.; Kruger, P.; Mercer, J.; Webster, T.; Swersey, C.; Skypeck, C. Wastewater Management Guidance Manual; Brewers Association: Boulder, CO, USA, 2015; Available online: https://www.brewersassociation.org/educational-publications/wastewater-management-guidance-manual/ (accessed on 31 July 2023).
- Brewers Association. Brewers Association Energy Usage, GHG Reduction, Efficiency and Load Management Manual; Brewers Association: Boulder, CO, USA, 2014; Available online: https://www.brewersassociation.org/educational-publications/energy-sustainability-manual/ (accessed on 31 July 2023).
- Olajire, A.A. The Brewing Industry and Environmental Challenges. J. Clean. Prod. 2012, 256, 102817. [Google Scholar] [CrossRef]
- Baiano, A. Craft Beer: An Overview. Comp. Rev. Food Sci. Food Saf. 2020, 20, 1829–1856. [Google Scholar] [CrossRef] [PubMed]
- Mainardis, M.; Buttazzoni, M.; Gievers, F.; Vance, C.; Magnolo, F.; Murphy, F.; Goi, D. Life Cycle Assessment of Sewage Sludge Pretreatment for Biogas Production: From Laboratory Tests to Full-Scale Applicability. J. Clean. Prod. 2021, 322, 129056. [Google Scholar] [CrossRef]
- Reid, N.; Gatrell, J. Brewing Growth Regional Craft Breweries and Emerging Economic Development Opportunities. Econ. Dev. J. 2015, 14, 5–12. [Google Scholar]
- Steenackers, B.; De Cooman, L.; De Vos, D. Chemical Transformations of Characteristic Hop Secondary Metabolites in Relation to Beer Properties and the Brewing Process: A Review. Food Chem. 2015, 172, 742–756. [Google Scholar] [CrossRef]
- Preedy, V.R.; Watson, R.R. The Mediterranean Diet: An Evidence-Based Approach; Academic Press: Cambridge, MA, USA, 2020. [Google Scholar]
- Bryant, R.W.; Burns, E.E.R.; Feidler-Cree, C.; Carlton, D.; Flythe, M.D.; Martin, L.J. Spent Craft Brewer’s Yeast Reduces Production of Methane and Ammonia by Bovine Rumen Microbes. Front. Animal Sci. 2021, 2, 720646. [Google Scholar] [CrossRef]
- Bryant, R.W.; Cohen, S.D. Characterization of Hop Acids in Spent Brewer’s Yeast from Craft and Multinational Sources. J. Am. Soc. Brew. Chem. 2015, 73, 159–164. [Google Scholar] [CrossRef]
- Blaxland, J.A.; Watkins, A.J.; Baillie, L.W.J. The Ability of Hop Extracts to Reduce the Methane Production of Methanobrevibacter Ruminantium. Archaea 2021, 2021, 5510063. [Google Scholar] [CrossRef] [PubMed]
- Flythe, M.D.; Aiken, G.E. Effects of Hops (Humulus lupulus L.) Extract on Volatile Fatty Acid Production by Rumen Bacteria. J. Appl. Microbiol. 2010, 109, 1169–1176. [Google Scholar] [CrossRef] [PubMed]
- Pszczolkowski, V.L.; Bryant, R.W.; Harlow, B.E.; Aiken, G.E.; Martin, L.J.; Flythe, M.D. Effects of Spent Craft Brewers’ Yeast on Fermentation and Methane Production by Rumen Microorganisms. Adv. Microbiol. 2016, 6, 716–723. [Google Scholar] [CrossRef]
- Sosa-Hernández, O.; Parameswaran, P.; Alemán-Nava, G.S.; Torres, C.I.; Parra-Saldívar, R. Evaluating Biochemical Methane Production from Brewer’s Spent Yeast. J. Ind. Microbiol. Biotechnol. 2016, 43, 1195–1204. [Google Scholar] [CrossRef] [PubMed]
- Copco, A. CO2 Recovery from Fermentation in Breweries. Available online: https://www.atlascopco.com/en-us/compressors/industry-solutions/brewery-air-compressor/co2-recovery-brewery (accessed on 31 July 2023).
- Gribbins, K. The CO2 Shortage: Pros and Cons of Craft Brewery CO2 Recapture. Available online: https://www.craftbrewingbusiness.com/ingredients/the-co2-shortage-brewers-can-produce-carbon-dioxide-onsite-with-a-co2-recapture-unit/ (accessed on 28 April 2023).
- United States Environmental Protection Agency (USEPA). User’s Manual: Co-Digestion Economic Analysis Tool. Available online: https://www.epa.gov/sites/default/files/2017-09/documents/co-eat_users_manual_fin_sept_2017.pdf (accessed on 20 May 2022).
- Astill, J.; Dara, R.A.; Fraser, E.D.G.; Roberts, B.; Sharif, S. Smart Poultry Management: Smart Sensors, Big Data, and the Internet of Things. Comput. Electron. Agric. 2020, 170, 105291. [Google Scholar] [CrossRef]
- Rakowska; Sadowska, A.; Dybkowska, E.; Swiderski, F. Spent Yeast as Natural Source of Functional Food Additives. Rocz. Państwowego Zakładu Hig. 2017, 68, 115–121. [Google Scholar]
- Matin, A.; Bashir, B.H. Sodium Toxicity Control by the Use of Magnesium in an Anaerobic Reactor. J. Appl. Sci. Environ. Manag. 2005, 8, 17–21. [Google Scholar] [CrossRef][Green Version]
- Jaeger, A.; Arendt, E.K.; Zannini, E.; Sahin, A.W. Brewer’s Spent Yeast (BSY), an Underutilized Brewing By-Product. Fermentation 2020, 6, 123. [Google Scholar] [CrossRef]
- Ahnert, M.; Schalk, T.; Brückner, H.; Effenberger, J.; Kuehn, V.; Krebs, P. Organic Matter Parameters in WWTP—A Critical Review and Recommendations for Application in Activated Sludge Modelling. Water Sci. Technol. 2021, 84, 2093–2112. [Google Scholar] [CrossRef]
- Holliger, C.; Astals, S.; de Laclos, H.F.; Hafner, S.D.; Koch, K.; Weinrich, S. Towards a Standardization of Biomethane Potential Tests: A Commentary. Water Sci. Technol. 2020, 83, 247–250. [Google Scholar] [CrossRef]
- Rawalgaonkar, D. Anaerobic Digestion of Brewery Waste Including Spent Yeast and Hops. Master’s Thesis, Department of Civil & Environmental Engineering, University of South Florida, Tampa, FL, USA, 2023. [Google Scholar]
- American Public Health Association; American Water Works Association; Water Environment Federation. Standard Methods for Examination of Water and Wastewater 2012; Rice, E.W., Baird, R.B., Eaton, A.D., Clesceri, L.S., Eds.; American Public Health Assn: Washington, DC, USA, 2012. [Google Scholar]
- Etuwe, C.N.; Momoh, Y.O.L.; Iyagba, E.T. Development of Mathematical Models and Application of the Modified Gompertz Model for Designing Batch Biogas Reactors. Waste Biomass Valorization 2016, 7, 543–550. [Google Scholar] [CrossRef]
- Singh, A.K.; Kaushal, R.K. Design of small scale anaerobic digester for application in Indian village: A review. Int. J. Eng. Appl. Sci. 2016, 3, 257612. [Google Scholar]
- Sheffler, K. Anaerobic Digestion and Biogas Production Feasibility Study. Master’s Thesis, University of Idaho, Moscow, ID, USA, 23 April 2018. [Google Scholar]
- Huttunen, S.; Manninen, K.; Leskinen, P. Combining Biogas LCA Reviews with Stakeholder Interviews to Analyse Life Cycle Impacts at a Practical Level. J. Clean. Prod. 2014, 80, 5–16. [Google Scholar] [CrossRef]
- Titu, A.M.; Simonffy, A. Contributions Regarding the Reduction of Production Costs for Brewing by Recovering and Reusing the Carbon Dioxide. Procedia Econ. Financ. 2014, 16, 141–148. [Google Scholar] [CrossRef]
- Christiansen, R. Barrels of Biogas. Available online: https://biomassmagazine.com/articles/2540/barrels-of-biogas/#:~:text=Blossman%20says%20the%20anaerobic%20digester (accessed on 22 May 2022).
- Crubaugh, L. Brewery’s Anaerobic Digester System Reduces Loading to Municipal Wastewater. Available online: https://www.tpomag.com/online_exclusives/2013/02/brewerys_anaerobic_digester_system_reduces_loading_to_municipal_wastewater (accessed on 2 November 2022).
- Tucker, M. Digester in Magic Hat’s Sustainability Mix—BioCycle. Available online: https://www.biocycle.net/digester-in-magic-hats-sustainability-mix/ (accessed on 15 October 2022).
- Nagelkirk, J. Bell’s Brewery Gives Tour Highlighting Benefits of Advanced Energy, Energy Efficiency. Available online: https://mieibc.org/bells-brewery-gives-tour-highlighting-benefits-of-advanced-energy-energy-efficiency/ (accessed on 28 October 2022).
- Gerardi, M.H. The Microbiology of Anaerobic Digesters; John Wiley: Hoboken, NJ, USA, 2003. [Google Scholar]
- Speece, R.E. Anaerobic Biotechnology for Industrial Wastewaters; ACS Press: Nashville, TN, USA, 1996. [Google Scholar]
- Zupančič, G.D.; Škrjanec, I.; Marinšek Logar, R. Anaerobic Co-Digestion of Excess Brewery Yeast in a Granular Biomass Reactor to Enhance the Production of Biomethane. Bioresour. Technol. 2012, 124, 328–337. [Google Scholar] [CrossRef]
- Zupančič, G.D.; Panjičko, M.; Zelić, B. Biogas Production from Brewer’s Yeast Using an Anaerobic Sequencing Batch Reactor. Food Technol. Biotechnol. 2017, 55, 187–196. [Google Scholar] [CrossRef] [PubMed]
- Neira, K.; Jeison, D. Anaerobic Co-Digestion of Surplus Yeast and Wastewater to Increase Energy Recovery in Breweries. Water Sci. Technol. 2010, 61, 1129–1135. [Google Scholar] [CrossRef]
- Connaughton, S.; Collins, G.; O’Flaherty, V. Psychrophilic and Mesophilic Anaerobic Digestion of Brewery Effluent: A Comparative Study. Water Res. 2006, 40, 2503–2510. [Google Scholar] [CrossRef]
- Verive, J. Recapturing CO2: It’s a Gas. Brewing Industry Guide. Available online: https://brewingindustryguide.com/recapturing-co2-its-a-gas (accessed on 12 February 2022).







| Yeast | Hops | Inoculum | |
|---|---|---|---|
| pH | 4.5 | 4.6 * | 8 |
| Alkalinity (mg/L) | NA | 45 * | 5900 |
| VSS (mg/L) | 46,497 | 21,000 | |
| COD (mg/L) | 231,280 | 1 ** | 38,215 |
| BMP Phase 1 | BMP Phase 2 | |
|---|---|---|
| S/I (mg COD/mg VSS) * | 2.5 | 1.7 |
| Substrates used | Spent yeast, Hops | Spent Yeast, Hops |
| Hop Dosages (g-hopCOD/g-totalCOD) | 0, 20%, 40% | 0, 20%, 40% |
| Alkalinity Addition (mg/L as CaCO3) | 1000 | 1500 |
| BMP Phase I | BMP Phase II | |||||
|---|---|---|---|---|---|---|
| Yeast | 20% Hops | 40% Hops | Yeast | 20% Hops | 40% Hops | |
| Methane yield (mL CH4/mg COD) | NA * | 0.10 | 0.076 | 0.17 | 0.15 | 0.11 |
| Cumulative methane (mL) | 4.0 | 269 | 216 | 338 | 309 | 227 |
| Lag period (days) | NA * | 9 | 9 | 17 | 11 | 11 |
| Rmax (mL CH4/day) | NA * | 18 | 10 | 27 | 28 | 8 |
| COD degradation (%) | 58 | 51 | 37 | 53 | 44 | 36 |
| Yeast | 20% Hops | 40% Hops | |||||||
|---|---|---|---|---|---|---|---|---|---|
| Day 0 | Day 42 | Day 58 | Day 0 | Day 42 | Day 58 | Day 0 | Day 42 | Day 58 | |
| VFA (mg/L) | 216(8) | 7500(181) | 3423(1) | 236(8) | 287(145) | 134(11) | 264(7) | 584(367) | 170(1) |
| Alkalinity ** (mg/L) | 2167(28) | 1659(141) | NA * | 2017(104) | 4100(141) | 4275(35) | 2200(343) | 3275(388) | 3850(40) |
| Ammonium (mg/L) | 236(15) | 720(80) | 624(17) | 217(2) | 633(12) | 654(8) | 252(21) | 549(12) | 570(42) |
| VSS | 7722(308) | 5495(321) | 5760(56) | 7713(245) | 5390(181) | 6036(90) | 8762(439) | 7221(240) | 6939(196) |
| Yeast | 20% Hops | 40% Hops | |||||||
|---|---|---|---|---|---|---|---|---|---|
| Day 0 | Day 38 | Day 60 | Day 0 | Day 38 | Day 60 | Day 0 | Day 38 | Day 60 | |
| VFA (mg/L) | 138(3) | 254(23) | 90(9) | 194(4) | 118(2.8) | 120(56) | 229(7) | 589(148) | 177(4.20) |
| Alkalinity * (mg/L) | 2725(35) | 3775(35) | 4075(35) | 2650(70) | 3850(70) | 4175(35) | 3050(280) | 3500(70) | 3875(176) |
| Ammonium (mg/L) | 114(4) | 461(1) | 516(8) | 114(8) | 432(16) | 498(8) | 114(4) | 384(6) | 462(8) |
| VSS (mg/L) | 6880(170) | 5430(183) | 5265(487) | 7590(70) | 5812(34) | 5297(349) | 7500(340) | 3534(190) | 6971(72) |
| Digester Y | Digester YH | |
|---|---|---|
| Biogas volume (mL/d) | 538 (44) | 466 (36) |
| Biogas methane content (%) | 76 (3.3) | 73 (5.4) |
| Methane volume (mL/d) | 330 (35) | 256 (47) |
| COD degradation (%) | 96 (2.1) | 93 (1.5) |
| Alkalinity (mg/L) * | 1918 (94) | 1878 (157) |
| Ammonium (mg/L) | 438 (6) | 470 (7) |
Disclaimer/Publisher’s Note: The statements, opinions and data contained in all publications are solely those of the individual author(s) and contributor(s) and not of MDPI and/or the editor(s). MDPI and/or the editor(s) disclaim responsibility for any injury to people or property resulting from any ideas, methods, instructions or products referred to in the content. |
© 2023 by the authors. Licensee MDPI, Basel, Switzerland. This article is an open access article distributed under the terms and conditions of the Creative Commons Attribution (CC BY) license (https://creativecommons.org/licenses/by/4.0/).
Share and Cite
Rawalgaonkar, D.; Zhang, Y.; Walker, S.; Kirchman, P.; Zhang, Q.; Ergas, S.J. Recovery of Energy and Carbon Dioxide from Craft Brewery Wastes for Onsite Use. Fermentation 2023, 9, 831. https://doi.org/10.3390/fermentation9090831
Rawalgaonkar D, Zhang Y, Walker S, Kirchman P, Zhang Q, Ergas SJ. Recovery of Energy and Carbon Dioxide from Craft Brewery Wastes for Onsite Use. Fermentation. 2023; 9(9):831. https://doi.org/10.3390/fermentation9090831
Chicago/Turabian StyleRawalgaonkar, Dhanashree, Yan Zhang, Selina Walker, Paul Kirchman, Qiong Zhang, and Sarina J. Ergas. 2023. "Recovery of Energy and Carbon Dioxide from Craft Brewery Wastes for Onsite Use" Fermentation 9, no. 9: 831. https://doi.org/10.3390/fermentation9090831
APA StyleRawalgaonkar, D., Zhang, Y., Walker, S., Kirchman, P., Zhang, Q., & Ergas, S. J. (2023). Recovery of Energy and Carbon Dioxide from Craft Brewery Wastes for Onsite Use. Fermentation, 9(9), 831. https://doi.org/10.3390/fermentation9090831

