Reduced Sodium in White Brined Cheese Production: Artificial Neural Network Modeling for the Prediction of Specific Properties of Brine and Cheese during Storage
Abstract
:1. Introduction
2. Materials and Methods
2.1. Materials
2.2. White Brined Cheese Production
2.3. Brine Production and Substitutional Salts
2.4. Brine and Cheese Analyses
2.5. Cheese Texture Analyses
2.6. Color Measurements
2.7. Sensory Analyses
2.8. Statistical Analysis and Modeling
2.8.1. Basic Statistical Analysis
2.8.2. Analysis of Variance
2.8.3. Principle Component Analysis (PCA)
2.8.4. Artificial Neural Network (ANN) Modeling
- (i)
- For the prediction of brine properties (pH, conductivity, TDS, and color coordinates) based on theNaCl concentration, calcium citrate concentration, calcium lactate concentration, and day of storage. The data set for the construction of the ANNs was 75 × 10, with seventy-five rows representing the brine samples, four columns representing the model inputs, and six columns representing the model output;
- (ii)
- For the prediction of the physical properties of cheese (pH, °SH, L, and color coordinates) based on the NaCl concentration, calcium citrate concentration, calcium lactate concentration, day of storage, brine pH, and brine conductivity. The data set used for the construction of the ANNs was 75 × 12, with seventy-five rows representing the brine samples, seven columns representing the model inputs, and five columns representing the model outputs;
- (iii)
- For the prediction of the textural properties of cheese (hardness, gumminess, chewiness, and breakage) based on the NaCl concentration, calcium citrate concentration, calcium lactate concentration, day of storage, brine pH, and brine conductivity. The data set used for the construction of the ANNs was 75 × 11, with seventy-five rows representing the brine samples, seven columns representing the model inputs, and four columns representing the model outputs;
- (iv)
- For the total sensory evaluation based on the NaCl concentration, calcium citrate concentration, calcium lactate concentration, day of storage, brine pH, and brine conductivity. The data set used for the construction of the ANNs was 75 × 8, with seventy-five rows representing the brine samples, seven columns representing the model inputs, and one column representing the model outputs
3. Results and Discussion
3.1. Physicochemical Properties of Brine and Cheese
3.2. Textural Properties
3.3. Sensory Properties
3.4. PCA Analysis
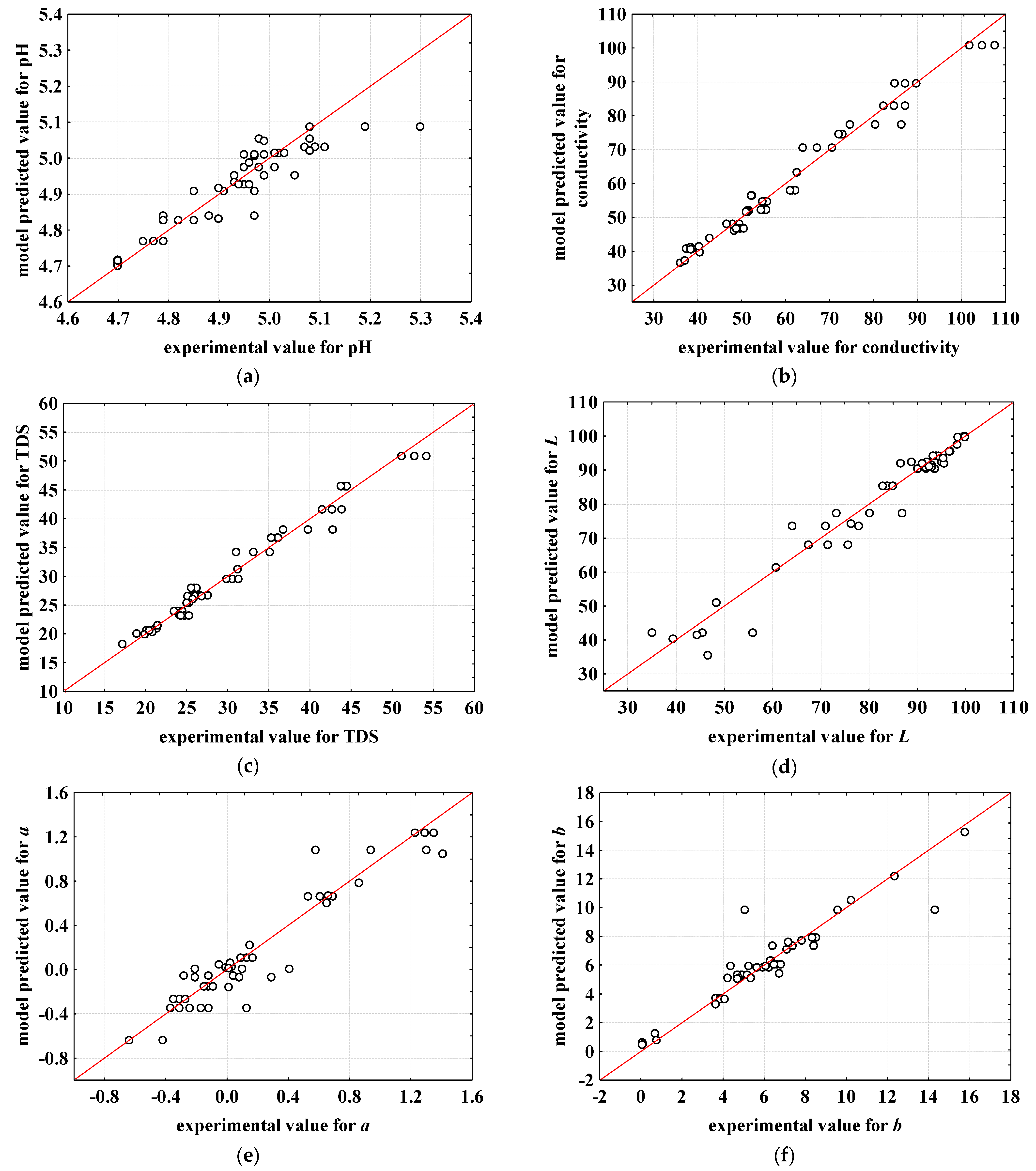
3.5. Artificial Neural Network Modeling
4. Conclusions
Author Contributions
Funding
Institutional Review Board Statement
Informed Consent Statement
Data Availability Statement
Conflicts of Interest
References
- Cook, N.R.; Appel, L.J.; Whelton, P.K. Sodium intake and all-cause mortality over 20 years in the Trials of Hypertension Prevention. J. Am. Coll. Cardiol. 2016, 68, 1609–1617. [Google Scholar] [CrossRef] [PubMed]
- Cohen, A.J.; Roe, F.J. Review of risk factors for osteoporosis with particular reference to a possible aetiological role of dietary salt. Food Chem. Toxicol. 2000, 38, 237–253. [Google Scholar] [CrossRef] [PubMed]
- Massey, L.K. Effect of dietary salt intake on circadian calcium metabolism, bone turnover, and calcium oxalate kidney stone risk in postmenopausal women. Nutr. Res. 2005, 25, 891–903. [Google Scholar] [CrossRef]
- Hong, S.; Choi, J.W.; Park, J.S.; Lee, C.H. The association between dietary sodium intake and osteoporosis. Sci. Rep. 2022, 26, 14594. [Google Scholar] [CrossRef] [PubMed]
- Hosohata, K. Biomarkers of high salt intake. Adv. Clin. Chem. 2021, 74, 104–106. [Google Scholar]
- Cirila, I.A.A.; Laudiane, J.S.A.; Moreira, E.D.S.; Paula, M.C.; Della Lucia, S.M.; Carvalho, R.V.; Saraiva, S.H.; Lima, R.M.; Filho, T.L. How much can sodium chloride be substituted for potassium chloride without affecting the sensory acceptance of cracker-type biscuits? Food Res. Int. 2021, 150, 110798. [Google Scholar]
- Ferroukhi, I.; Bord, C.; Lavigne, R.; Chassard, C.; Mardon, J. Exploring alternative salting methods to reduce sodium content in blue-veined cheeses. Int. Dairy J. 2023, 138, 105555. [Google Scholar] [CrossRef]
- Kirin, S. Cheese Handbook, 1st ed.; Croatian Dairy Union: Zagreb, Croatia, 2016. [Google Scholar]
- Drgalić, I.; Tratnik, L.; Božanić, R.; Kozlek, D. Production, yield and properties of Feta-type and Domiatti cheese produced from goat’s milk. Mljekarstvo 2002, 52, 137–153. [Google Scholar]
- Tratnik, L.; Božanić, R. Milk and Dairy Products, 1st ed.; Croatian Dairy Union: Zagreb, Croatia, 2008. [Google Scholar]
- Trantik, L.; Božanić, R.; Harjač, A.; Kozlek, D. Optimizing the production and quality of cheeses in brine Feta-type and Domiati. Mljekarstvo 2000, 50, 227–238. [Google Scholar]
- Paskaš, S.; Miočinović, J.; Pihler, I.; Čobanović, K.; Savić, M.; Becskei, Z. The influence of grazing and indoor systems on goat milk, brined cheese and whey quality. Mljekarstvo 2023, 73, 143–154. [Google Scholar] [CrossRef]
- Fox, P.F.; Guinee, T.P.; Cogan, T.M.; McSweeney, P.L.H. Fundamentals of Cheese Science, 2nd ed.; Springer: New York, NY, USA, 2017. [Google Scholar]
- Chavhan, G.B.; Kanawjia, S.K.; Khetra, Y. Effect of potassium-based emulsifying salts on sensory, textural, and functional attributes of low-sodium processed Mozzarella cheese. Dairy Sci. Technol. 2015, 95, 265–278. [Google Scholar] [CrossRef]
- Grummer, J.; Bobowski, N.; Karalus, M.; Vickers, Z.; Schoenfuss, T. Use of potassium chloride and flavor enhancers in low sodium Cheddar cheese. J. Dairy Sci. 2013, 96, 1401–1418. [Google Scholar] [CrossRef] [PubMed]
- Akan, E.; Kinik, O. Properties of Turkish White cheese. Mljekarstvo 2018, 68, 46–56. [Google Scholar] [CrossRef]
- Katsiari, M.; Voutsinas, L.P.; Alichanidis, E.; Roussis, I.G. Manufacture of Kefalograviera cheese with less sodium by partial replacement of NaCl with KCl. Food Chem. 1998, 61, 63–70. [Google Scholar] [CrossRef]
- Lindsay, R.C.; Hargett, S.M.; Bush, C.S. Effect of Sodium/Potassium (1:1) Chloride and Low Sodium Chloride Concentrations on Quality of Cheddar Cheese. J. Dairy Sci. 1982, 65, 360–370. [Google Scholar] [CrossRef]
- Berthet, A. Nutrition et Insuffisance Rénale Chronique. PhD Thesis, Université Joseph Fourier, Grenoble, France, 2009. [Google Scholar]
- Fitzgerald, E.; Buckley, J. Effect of Total and Partial Substitution of Sodium Chloride on the Quality of Cheddar Cheese. J. Dairy Sci. 1985, 68, 3127–3134. [Google Scholar] [CrossRef]
- Grummer, J.; Karalus, M.; Zhang, K.; Vickers, Z.; Schoenfuss, T.C. Manufacture of reduced-sodium Cheddar-style cheese with mineral salt replacers. J. Dairy Sci. 2012, 95, 2830–2839. [Google Scholar] [CrossRef] [PubMed]
- Gore, E.; Mardon, J.; Cécile, B.; Lebecque, A. Calcium lactate as an attractive compound to partly replace salt in blue-veined cheese. J. Dairy Sci. 2019, 102, 1–13. [Google Scholar] [CrossRef]
- Reykdal, O.; Lee, K. Validation of chemical measures of calcium with bioassay of calcium-fortified cottage cheese. Food Chem. 1993, 47, 195–200. [Google Scholar] [CrossRef]
- Singh, G.; Muthukumarappan, K. Influence of Calcium Fortification on Sensory, Physical and Rheological Characteristics of Fruit Yogurt. LWT 2008, 41, 1145–1152. [Google Scholar] [CrossRef]
- Katsiari, M.C.; Voutsinas, L.P.; Alichanidis, E.; Roussis, I.G. Reduction of sodium content in Feta cheese by partial substitution of NaCl by KCl. Int. Dairy J. 1997, 7, 465–472. [Google Scholar] [CrossRef]
- Lisak Jakopović, K.; Repajić, M.; Rumora Samarin, I.; Božanić, R.; Blažić, M.; Barukčić Jurina, I. Fortification of Cow Milk with Moringa oleifera Extract: Influence on Physicochemical Characteristics, Antioxidant Capacity and Mineral Content of Yoghurt. Fermentation 2022, 8, 545. [Google Scholar] [CrossRef]
- Rako, A.; Tudor Kalit, M.; Rako, Z.; Zamberlin, Š.; Kalit, S. Contribution of salt content to the ripening process of Croatian hard sheep milk cheese (Brač cheese). LWT 2022, 162, 113506. [Google Scholar] [CrossRef]
- Marušić Radovčić, N.; Poljanec, I.; Petričević, S.; Mora, L.; Medić, H. Influence of Muscle Type on Physicochemical Parameters, Lipolysis, Proteolysis, and Volatile Compounds throughout the Processing of Smoked Dry-Cured Ham. Foods 2021, 10, 1228. [Google Scholar] [CrossRef] [PubMed]
- ISO 22935-3:2009 (IDF 99-3:2009); Milk and Milk Products—Sensory Analysis—Part 3: Guidance on a Method for Evaluation of Compliance with Product Specifications for Sensory Properties by Scoring. ISO: Geneva, Switzerland, 2023.
- Molnar, P.; Örsi, F. Determination of weighting factors for the sensory evaluation of food. Nahr. Food 1982, 26, 661–667. [Google Scholar] [CrossRef]
- ISO 8589:2007; Sensory Analysis—General Guidance for the Design of Test Rooms. ISO: Geneva, Switzerland, 2007.
- Norberg, E. Electrical conductivity of milk as a phenotypic and genetic indicator of bovine mastitis: A review. Livest. Prod. Sci. 2005, 96, 129–139. [Google Scholar] [CrossRef]
- Thibaudeau, E.; Roy, D.; St-Gelais, D. Production of brine-salted Mozzarella cheese with different ratios of NaCl/KCl. Int. Dairy J. 2015, 40, 54–61. [Google Scholar] [CrossRef]
- Lu, Y.; McMahon, D.J. Effects of sodium chloride salting and substitution with potassium chloride on whey expulsion of Cheddar cheese. J. Dairy Sci. 2015, 98, 78–88. [Google Scholar] [CrossRef]
- Xia, X.; Kelly, A.L.; Tobin, J.T.; Meng, F.; Fenelon, M.A.; Li, B.; McSweeney, P.L.H.; Kilcawley, K.N.; Sheehan, J.J. Effect of heat treatment on whey protein-reduced micellar casein concentrate: A study of texture, proteolysis levels and volatile profiles of Cheddar cheeses produced therefrom. Int. Dairy J. 2022, 129, e105280. [Google Scholar] [CrossRef]
- Ayyash, M.M.; Shah, N.P. The effect of substituting NaCl with KCl on Nabulsi cheese: Chemical composition, total viable count, and texture profile. J. Dairy Sci. 2011, 94, 2741–2751. [Google Scholar] [CrossRef]
- Silva Matins, N.; Ferreira, E.B.; Piedade, S.M.S.; Lucia, F.D. Shelf life prediction for non-accelerated studies (shenon) appliedto minimally processed eggplant. J. Food Nutr. Res. 2016, 4, 592–595. [Google Scholar]
- Kostelac, D.; Vrdoljak, M.; Markov, K.; Delaš, I.; Jug, T.; Gajdoš Kljusurić, J.; Jakopović, Ž.; Čanak, I.; Jelić, M.; Frece, J. SPME-GC-MS and Multivariate Analysis of Sensory Properties of Cheese in a Sack Matured with Probiotic Starter Cultures. Food Technol. Biotechnol. 2020, 58, 128–137. [Google Scholar] [CrossRef] [PubMed]
- Curto, B.; Moreno, V.; García-Esteban, J.A.; Blanco, F.J.; González, I.; Vivar, A.; Revilla, I. Accurate Prediction of Sensory Attributes of Cheese Using Near-Infrared Spectroscopy Based on Artificial Neural Network. Sensors 2020, 20, 3566. [Google Scholar] [CrossRef] [PubMed]
- Abiodun, O.I.; Jantan, A.; Omolara, A.E.; Dada, K.V.; Mohamed, N.A.; Arshad, H. State-of-the-art in artificial neural network applications: A survey. Heliyon 2018, 23, 00938. [Google Scholar] [CrossRef] [PubMed]
- Montesinos López, O.A.; Montesinos López, A.; Crossa, J. Fundamentals of Artificial Neural Networks and Deep Learning. In Multivariate Statistical Machine Learning Methods for Genomic Prediction; Springer: Cham, Switzerland, 2022. [Google Scholar]
- Dębska, B.; Guzowska-Świder, B. Application of artificial neural network in food classification. Anal. Chim. Acta 2011, 705, 283–291. [Google Scholar] [CrossRef] [PubMed]
- Mavani, N.R.; Ali, J.M.; Othman, S. Application of Artificial Intelligence in Food Industry—A Guideline. Food Eng. Rev. 2022, 14, 134–175. [Google Scholar] [CrossRef]
- Goyal, G.K.; Goyal, S. Cascade Artificial Neural Network Models for Predicting Shelf Life of Processed Cheese. J. Adv. Inf. Technol. 2022, 4, 80–83. [Google Scholar] [CrossRef]
- Vásquez, N.; Magán, C.; Oblitas, J.; Chuquizuta, T.; Avila-George, H.; Castro, W. Comparison between artificial neural network and partial least squares regression models for hardness modelling during the ripening process of Swiss-type cheese using spectral profiles. J. Food Eng. 2018, 219, 8–15. [Google Scholar] [CrossRef]
- Stangierski, J.; Weiss, D.; Kaczmarek, A. Multiple regression models and Artificial Neural Network (ANN) as prediction tools of changes in overall quality during the storage of spreadable processed Gouda cheese. Eur. Food Res. Technol. 2019, 245, 2539–2547. [Google Scholar] [CrossRef]
- Chaturvedi, K.; Khubber, S.; Singha, S.; Goel, H.; Barba, F.J.; Das, K. Prediction and qualitative analysis of sensory perceptions over temporal vectors using combination of artificial neural networks and fuzzy logic: Validation on Indian cheese (paneer). J. Food Process. Preserv. 2020, 44, e14955. [Google Scholar] [CrossRef]
- Morita, A.; Araki, T.; Ikegami, S.; Okaue, M.; Sumi, M.; Ueda, R.; Sagara, Y. Coupled Stepwise PLS-VIP and ANN Modeling for Identifying and Ranking Aroma Components Contributing to the Palatability of Cheddar Cheese. Food Sci. Technol. Res. 2015, 21, 175–186. [Google Scholar] [CrossRef]






| Sample | NaCl | Ca-Citrate | Ca-Lactate |
|---|---|---|---|
| BC | 100 | 0 | 0 |
| BCC1 | 75 | 25 | 0 |
| BCC2 | 50 | 50 | 0 |
| BCL1 | 75 | 0 | 25 |
| BCL2 | 50 | 0 | 50 |
| Variable | Days of Storage | Sample | ||||
|---|---|---|---|---|---|---|
| BC | BCC1 | BCC2 | BCL1 | BCL2 | ||
| pH | 0 | 4.70 ± 0.00 A,a | 4.70 ± 0.00 A,a | 4.70 ± 0.00 A,a | 4.70 ± 0.00 A,a | 4.70 ± 0.00 A,a |
| 7 | 4.77 ± 0.02 A,a | 4.82 ± 0.03 A,b | 4.90 ± 0.03 A,b | 4.95 ± 0.01 B,b | 4.96 ± 0.04 C,b | |
| 14 | 4.88 ± 0.09 A,b | 4.98 ± 0.03 A,c | 4.97 ± 0.02 A,c | 5.02 ± 0.01 B,c | 4.99 ± 0.04 A,c | |
| 21 | 4.91 ± 0.06 A,c | 4.98 ± 0.00 A,c | 5.08 ± 0.07 B,d | 5.09 ± 0.02 C,d | 5.08 ± 0.02 D,d | |
| 28 | 4.99 ± 0.06 A,d | 5.19 ± 0.11 B,d | 4.93 ± 0.04 A,e | 4.97 ± 0.02 A,e | 4.90 ± 0.05 A,e | |
| S (mS) | 0 | 104.80 ± 2.89 A,a | 72.50 ± 0.42 B,a | 48.30 ± 0.49 C,a | 62.50 ± 0.00 D,a | 42.60 ± 0.51 E,a |
| 7 | 87.30 ± 2.53 A,b | 61.60 ± 0.57 B,b | 41.90 ± 0.28 C,b | 55.00 ± 0.64 D,b | 38.80 ± 0.24 E,a | |
| 14 | 84.70 ± 2.48 A,c | 52.30 ± 0.14 B,c | 38.40 ± 0.31 C,c | 51.55 ± 0.21 D,c | 40.30 ± 0.62 E,a | |
| 21 | 80.50 ± 5.87 A,d | 55.30 ± 0.49 B,d | 40.50 ± 0.48 C,d | 51.20 ± 0.14 D,d | 38.50 ± 0.55 E,a | |
| 28 | 67.20 ± 3.35 A,e | 48.00 ± 1.48 B,e | 36.00 ± 0.89 C,e | 49.70 ± 0.85 D,e | 37.10 ± 0.38 E,b | |
| TDS (g/L) | 0 | 52.70 ± 1.50 A,a | 36.05 ± 0.07 B,a | 24.10 ± 0.12 C,a | 31.20 ± 0.00 D,a | 21.60 ± 0.22 E,a |
| 7 | 44.30 ± 0.49 A,a | 30.60 ± 0.71 B,a | 21.10 ± 0.24 C,b | 26.00 ± 0.85 D,b | 20.80 ± 0.15 E,a | |
| 14 | 42.70 ± 1.20 A,a | 25.90 ± 0.28 B,a | 21.40 ± 0.11 C,a | 25.80 ± 0.00 D,c | 20.50 ± 0.07 E,a | |
| 21 | 39.80 ± 2.99 A,a | 26.70 ± 0.92 B,a | 20.10 ± 0.32 C,c | 25.20 ± 0.14 D,d | 18.90 ± 0.10 E,a | |
| 28 | 33.10 ± 2.02 A,a | 24.00 ± 0.49 B,a | 19.90 ± 0.31 C,d | 24.80 ± 0.49 D,e | 17.20 ± 0.23 E,b | |
| L* | 0 | 99.84 ± 0.11 A,a | 98.50 ± 0.00 A,a | 98.31 ± 1.28 A,a | 99.95 ± 0.00 A,a | 99.96 ± 1.03 A,a |
| 7 | 96.77 ± 0.13 A,a | 83.89 ± 1.05 B,b | 60.82 ± 0.89 C,b | 93.89 ± 0.54 A,a | 95.42 ± 2.15 A,b | |
| 14 | 91.94 ± 1.77 A,a | 80.11 ± 6.83 B,c | 48.48 ± 3.24 C,c | 92.01 ± 3.11 A,a | 92.59 ± 0.99 A,c | |
| 21 | 92.64 ± 0.42 A,a | 71.56 ± 4.08 B,d | 44.48 ± 2.23 C,d | 91.08 ± 4.56 A,a | 76.35 ± 3.25 D,a | |
| 28 | 92.36 ± 0.60 A,a | 45.55 ± 10.39 B,e | 39.36 ± 3.05 C,e | 71.01 ± 6.87 D,b | 46.69 ± 5.11 E,d | |
| a* | 0 | 0.03 ± 0.00 A,a | 0.13 ± 0.00 A,a | 0.15 ± 0.02 A,a | 0.02 ± 0.00 A,a | 0.01 ± 0.01 A,a |
| 7 | −0.31 ± 0.04 A,a | 0.86 ± 0.00 B,b | 1.41 ± 0.02 C,b | 0.13 ± 0.04 A,a | −0.05 ± 0.03 A,a | |
| 14 | −0.12 ± 0.25 A,a | 0.94 ± 0.36 B,c | −0.01 ± 0.11 A,a | 0.08 ± 0.21 A,a | 0.01 ± 0.13 A,a | |
| 21 | −0.24 ± 0.07 A,a | 1.29 ± 0.06 B,d | −0.42 ± 0.05 A,c | 0.10 ± 0.31 A,a | 0.65 ± 0.09 A,b | |
| 28 | −0.12 ± 0.03 A,a | −0.12 ± 0.16 A,a | −0.64 ± 0.07 B,d | 0.61 ± 0.08 C,b | 0.66 ± 0.23 D,c | |
| b* | 0 | 0.08 ± 0.02 A,a | 0.71 ± 0.00 A,a | 0.76 ± 0.03 A,a | 0.06 ± 0.00 A,a | 0.09 ± 0.01 A,a |
| 7 | 3.77 ± 0.12 A,a | 6.65 ± 0.16 A,a | 6.75 ± 0.15 A,b | 3.97 ± 0.11 A,a | 3.66 ± 0.22 A,a | |
| 14 | 4.93 ± 0.24 A,a | 7.41 ± 1.01 A,b | 7.17 ± 0.37 A,c | 4.79 ± 0.56 A,a | 4.71 ± 0.63 A,a | |
| 21 | 5.94 ± 0.30 A,a | 8.44 ± 0.09 A,c | 10.23 ± 0.21 A,d | 5.24 ± 0.85 A,a | 7.10 ± 0.49 A,b | |
| 28 | 6.33 ± 0.03 A,b | 14.33 ± 9.26 B,d | 15.79 ± 0.14 C,e | 7.84 ± 0.01 A,b | 12.35 ± 0.11 D,c | |
| Variable | Days of Storage | Sample | ||||
|---|---|---|---|---|---|---|
| C | CC1 | CC2 | CL1 | CL2 | ||
| pH | 0 | 4.85 ± 0.10 A,a | 5.04 ± 0.00 A,a | 5.13 ± 0.03 B,a | 5.13 ± 0.00 A,a | 5.13 ± 0.05 C,a |
| 7 | 4.87 ± 0.13 A,a | 5.13 ± 0.01 B,a | 4.94 ± 0.02 A,a | 5.05 ± 0.09 A,a | 5.00 ± 0.11 A,a | |
| 14 | 5.00 ± 0.11 A,a | 5.22 ± 0.11 A,a | 5.10 ± 0.05 A,a | 5.09 ± 0.08 A,a | 5.08 ± 0.03 A,a | |
| 21 | 5.13 ± 0.11 A,b | 5.14 ± 0.03 A,a | 5.16 ± 0.11 A,a | 5.19 ± 0.03 A,a | 5.18 ± 0.07 A,a | |
| 28 | 5.23 ± 0.10 A,c | 5.25 ± 0.08 A,a | 5.06 ± 0.10 A,e | 5.09 ± 0.01 A,a | 5.08 ± 0.07 A,a | |
| °SH | 0 | 83.20 ± 0.00 A,a | 63.20 ± 0.00 B,a | 79.20 ± 0.21 A,a | 79.20 ± 0.00 A,a | 79.20 ± 0.01 A,a |
| 7 | 46.50 ± 7.58 A,b | 27.75 ± 0.78 B,b | 30.40 ± 0.17 C,b | 35.20 ± 0.00 D,b | 34.40 ± 0.15 E,b | |
| 14 | 34.80 ± 5.41 A,c | 26.60 ± 0.64 B,c | 24.00 ± 0.32 C,c | 39.60 ± 0.57 A,c | 38.40 ± 0.19 A,c | |
| 21 | 30.00 ± 4.00 A,d | 29.00 ± 1.41 A,d | 27.20 ± 0.14 A,d | 41.20 ± 0.57 B,d | 35.20 ± 0.31 C,d | |
| 28 | 35.90 ± 1.44 A,e | 22.40 ± 5.66 B,e | 33.60 ± 1.13 A,e | 32.00 ± 1.13 A,e | 34.40 ± 0.78 A,e | |
| L* | 0 | 93.52 ± 0.93 A,a | 93.52 ± 0.93 A,a | 93.52 ± 0.93 A,a | 93.52 ± 0.93 A,a | 93.52 ± 0.93 A,a |
| 7 | 94.21 ± 3.08 A,a | 91.76 ± 0.59 A,a | 93.04 ± 0.88 A,a | 92.04 ± 0.40 A,a | 93.32 ± 1.48 A,a | |
| 14 | 91.57 ± 2.55 A,a | 92.31 ± 0.07 A,a | 93.25 ± 0.62 A,a | 94.04 ± 0.32 A,a | 92.85 ± 0.76 A,a | |
| 21 | 91.80 ± 1.91 A,a | 93.38 ± 0.05 A,a | 91.48 ± 1.24 A,a | 93.36 ± 0.34 A,a | 92.99 ± 1.05 A,a | |
| 28 | 92.45 ± 0.13 A,a | 93.12 ± 0.37 A,a | 91.87 ± 0.99 A,a | 92.37 ± 2.01 A,a | 91.90 ± 0.27 A,a | |
| a* | 0 | −0.49 ± 0.40 A,a | −0.49 ± 0.40 A,a | −0.49 ± 0.40 A,a | −0.49 ± 0.40 A,a | −0.49 ± 0.40 A,a |
| 7 | −0.33 ± 0.67 A,a | −1.08 ± 0.05 A,a | −0.90 ± 0.28 A,a | −0.55 ± 0.35 A,a | −0.79 ± 0.07 A,a | |
| 14 | −0.47 ± 0.43 A,a | −0.50 ± 0.08 A,a | −0.59 ± 0.17 A,a | −0.61 ± 0.01 A,a | −0.59 ± 0.34 A,a | |
| 21 | −0.50 ± 0.25 A,a | −0.31 ± 0.27 A,a | −1.05 ± 0.28 A,a | −0.47 ± 0.12 A,a | −1.05 ± 0.28 A,a | |
| 28 | −0.93 ± 0.43 A,a | −0.10 ± 0.05 A,a | −0.84 ± 0.21 A,a | −0.26 ± 0.03 A,a | −0.84 ± 0.27 A,a | |
| b* | 0 | 13.68 ± 1.46 A,a | 13.68 ±1.46 A,a | 13.68 ± 1.46 A,a | 13.68 ± 1.46 A,a | 13.68 ± 1.46 A,a |
| 7 | 9.76 ± 2.60 A,a | 12.31 ± 0.54 A,a | 11.71 ± 1.09 A,a | 11.38 ± 1.24 A,a | 12.53 ± 1.92 A,a | |
| 14 | 13.11 ± 2.18 A,a | 12.95 ± 0.76 A,a | 10.81 ± 0.99 A,a | 11.39 ± 0.15 A,a | 12.32 ± 1.35 A,a | |
| 21 | 11.71 ± 1.69 A,a | 11.44 ± 1.04 A,a | 12.69 ± 1.15 A,a | 11.64 ± 0.43 A,a | 11.01 ± 2.01 A,a | |
| 28 | 10.46 ± 0.95 A,a | 11.41 ± 0.35 A,a | 12.01 ± 0.77 A,a | 11.90 ± 1.88 A,a | 13.13 ± 1.88 A,a | |
| Textural Property | Days of Storage | Sample | ||||
|---|---|---|---|---|---|---|
| C | CC1 | CC2 | CL1 | CL2 | ||
| Hardness (N) | 7 | 10.35 ± 3.26 A,a | 6.65 ± 0.71 A,a | 5.25 ± 0.59 B,a | 5.18 ± 1.21 C,a | 3.77 ± 0.31 D,a |
| 14 | 8.18 ± 3.39 A,a | 5.97 ± 1.61 A,a | 4.15 ± 0.60 A,a | 4.34 ± 0.67 A,a | 3.93 ± 0.76 A,a | |
| 21 | 8.64 ± 3.13 A,a | 4.04 ± 0.43 B,a | 2.72 ± 0.02 C,a | 3.41 ± 0.14 D,a | 3.09 ± 0.38 E,a | |
| 28 | 5.21 ± 0.80 A,b | 3.42 ± 0.56 A,a | 4.31 ± 2.09 A,a | 3.15 ± 0.43 A,a | 2.46 ± 0.05 A,a | |
| Adhesive force (N) | 7 | −0.15 ± 0.04 A,a | −0.17 ± 0.02 A,a | −0.16 ± 0.02 A,a | −0.13 ± 0.10 A,a | −0.06 ± 0.03 A,a |
| 14 | −0.11 ± 0.05 A,a | −0.17 ± 0.08 A,a | −0.17 ± 0.02 A,a | −0.12 ± 0.03 A,a | −0.11 ± 0.03 A,a | |
| 21 | −0.16 ± 0.06 A,a | −0.10 ± 0.04 A,a | −0.17 ± 0.09 A,a | −0.09 ± 0.02 A,a | −0.12 ± 0.00 A,a | |
| 28 | −0.13 ± 0.04 A,a | −0.11 ± 0.02 A,a | −0.47 ± 0.50 A,a | −0.10 ± 0.03 A,a | −0.10 ± 0.00 A,a | |
| Adhesiveness (Nmm) | 7 | 0.51 ± 0.11 A,a | 0.76 ± 0.33 A,a | 0.45 ± 0.15 A,a | 0.30 ± 0.25 A,a | 0.25 ± 0.16 B,a |
| 14 | 0.44 ± 0.45 A,a | 0.60 ± 0.20 A,a | 0.59 ± 0.14 A,a | 0.65 ± 0.20 A,a | 0.46 ± 0.23 A,a | |
| 21 | 0.53 ± 0.07 A,a | 0.38 ± 0.13 A,a | 0.64 ± 0.14 A,a | 0.34 ± 0.05 A,a | 0.49 ± 0.16 A,a | |
| 28 | 0.46 ± 0.19 A,a | 0.59 ± 0.26 A,a | 0.53 ± 0.41 A,a | 0.47 ± 0.19 A,a | 0.31 ± 0.07 A,a | |
| Cohesiveness (N/m) | 7 | 0.28 ± 0.05 A,a | 0.25 ± 0.04 A,a | 0.25 ± 0.02 A,a | 0.29 ± 0.02 A,a | 0.25 ± 0.02 A,a |
| 14 | 0.24 ± 0.03 A,a | 0.20 ± 0.02 A,a | 0.22 ± 0.05 A,a | 0.24 ± 0.03 A,a | 0.28 ± 0.05 A,a | |
| 21 | 0.25 ± 0.02 A,a | 0.27 ± 0.01 A,a | 0.27 ± 0.01 A,a | 0.21 ± 0.00 A,a | 0.24 ± 0.04 A,a | |
| 28 | 0.22 ± 0.02 A,a | 0.21 ± 0.04 A,a | 0.32 ± 0.08 A,a | 0.25 ± 0.04 A,a | 0.28 ± 0.04 A,a | |
| Gumminess (N) | 7 | 3.00 ± 1.27 A,a | 1.65 ± 0.21 A,a | 0.80 ± 0.15 B,a | 1.52 ± 0.42 A,a | 0.94 ± 0.10 C,a |
| 14 | 1.98 ± 0.95 A,a | 1.19 ± 0.36 A,a | 1.26 ± 0.16 A,a | 1.04 ± 0.16 A,a | 1.14 ± 0.39 A,a | |
| 21 | 2.14 ± 0.71 A,a | 1.09 ± 0.09 A,a | 0.72 ± 0.03 A,a | 0.71 ± 0.02 A,a | 0.75 ± 0.21 A,a | |
| 28 | 1.17 ± 0.27 A,b | 0.74 ± 0.26 A,a | 1.46 ± 1.00 A,a | 0.81 ± 0.21 A,a | 0.69 ± 0.12 A,a | |
| Postponed elasticity (mm) | 7 | −3.01 ± 2.28 A,a | −4.99 ± 0.51 A,a | −5.27 ± 1.26 A,a | −4.13 ± 0.99 A,a | −3.12 ± 1.94 A,a |
| 14 | −3.70 ± 1.02 A,a | −4.88 ± 1.99 A,a | −4.13 ± 0.91 A,a | −4.34 ± 2.37 A,a | −4.27 ± 0.98 A,a | |
| 21 | −0.99 ± 1.09 A,a | −4.90 ± 0.13 A,a | −5.15 ± 0.07 B,a | −4.62 ± 1.83 A,a | −5.24 ± 0.54 C,a | |
| 28 | −5.69 ± 0.98 A,a | −5.21 ± 1.22 A,a | −3.02 ± 1.82 A,a | −5.27 ± 0.66 A,a | −4.49 ± 0.10 A,a | |
| Chewiness (Nmm) | 7 | 15.92 ± 8.47 A,a | 5.05 ± 1.30 B,a | 3.28 ± 0.80 C,a | 3.28 ± 0.90 D,a | 1.90 ± 0.50 E,a |
| 14 | 7.89 ± 5.46 A,a | 3.21 ± 1.60 A,a | 3.10 ± 0.06 A,a | 2.48 ± 0.63 A,a | 2.07 ± 1.04 A,a | |
| 21 | 10.73 ± 5.03 A,B | 2.07 ± 0.37 B,a | 0.94 ± 0.04 C,a | 1.02 ± 0.11 D,a | 1.05 ± 0.78 E,a | |
| 28 | 3.00 ± 1.08 A,a | 1.21 ± 0.79 B,a | 1.63 ± 1.09 C,a | 1.31 ± 0.62 D,a | 0.61 ± 0.09 E,a | |
| Resistance | 7 | 0.27 ± 0.07 A,a | 0.21 ± 0.04 A,a | 0.22 ± 0.03 A,a | 0.23 ± 0.03 A,a | 0.34 ± 0.08 A,a |
| 14 | 0.24 ± 0.07 A,a | 0.22 ± 0.11 A,a | 0.26 ± 0.02 A,a | 0.27 ± 0.13 A,a | 0.24 ± 0.04 A,a | |
| 21 | 0.38 ± 0.04 A,a | 0.22 ± 0.02 A,a | 0.23 ± 0.02 A,a | 0.25 ± 0.07 A,a | 0.21 ± 0.03 A,a | |
| 28 | 0.18 ± 0.02 A,a | 0.20 ± 0.05 A,a | 0.25 ± 0.05 A,a | 0.22 ± 0.05 A,a | 0.25 ± 0.04 A,a | |
| Breakage (N) | 7 | 10.05 ± 3.35 A,a | 6.06 ± 0.79 A,a | 4.58 ± 0.02 B,a | 4.54 ± 0.99 C,a | 3.33 ± 0.70 D,a |
| 14 | 7.37 ± 2.80 A,a | 5.11 ± 2.11 A,a | 3.28 ± 0.57 A,a | 3.68 ± 0.70 A,a | 3.04 ± 0.98 B,a | |
| 21 | 8.46 ± 3.05 A,a | 3.16 ± 0.27 B,a | 2.14 ± 0.02 C,a | 2.99 ± 0.62 D,a | 2.47 ± 0.55 E,a | |
| 28 | 4.58 ± 0.57 A,b | 2.63 ± 0.44 A,a | 2.67 ± 0.22 A,a | 2.89 ± 0.43 A,a | 2.26 ± 0.00 A,a | |
| Fibrousness (mm) | 7 | 8.04 ± 2.55 A,a | 7.99 ± 2.95 A,a | 7.35 ± 3.52 A,a | 6.36 ± 2.48 A,a | 7.79 ± 1.77 A,a |
| 14 | 7.43 ± 4.40 A,a | 10.72 ± 2.21 A,a | 6.59 ± 3.24 A,a | 7.40 ± 2.74 A,a | 12.91 ± 1.22 A,a | |
| 21 | 5.61 ± 1.47 A,a | 7.47 ± 3.11 A,a | 8.63 ± 3.35 A,a | 5.39 ± 0.48 A,a | 6.01 ± 2.66 A,a | |
| 28 | 8.69 ± 3.00 A,a | 9.23 ± 4.47 A,a | 3.63 ± 1.71 A,a | 8.85 ± 2.11 A,a | 7.17 ± 4.12 A,a | |
| Sensory Property | Days of Storage | Sample | ||||
|---|---|---|---|---|---|---|
| C | CC1 | CC2 | CL1 | CL2 | ||
| Appearance (max. 2) | 7 | 1.90 ± 0.14 A,a | 2.00 ± 0.10 A,a | 1.90 ± 0.09 A,a | 1.90 ± 0.14 A,a | 1.90 ±0.09 A,a |
| 14 | 1.90 ± 0.11 A,a | 1.80 ± 0.28 A,a | 2.00 ± 0.11 A,a | 1.80 ± 0.40 A,a | 2.00 ± 0.11 A,a | |
| 21 | 1.90 ± 0.28 A,a | 1.90 ± 0.09 A,a | 1.70 ± 0.42 A,a | 1.80 ± 0.36 A,a | 1.70 ± 0.37 A,a | |
| 28 | 1.90 ± 0.17 A,a | 1.90 ± 0.12 A,a | 1.70 ± 0.34 A,a | 1.90 ± 0.09 A,a | 1.90 ± 0.08 A,a | |
| Color (max. 1) | 7 | 1.00 ± 0.39 A,a | 1.00 ± 0.05 A,a | 0.90 ± 0.10 A,a | 1.00 ± 0.29 A,a | 1.00 ± 0.32 A,a |
| 14 | 1.00 ± 0.05 A,a | 1.00 ± 1.38 A,a | 1.00 ± 0.05 A,a | 1.00 ± 0.71 A,a | 1.00 ± 0.05 A,a | |
| 21 | 1.00 ± 0.02 A,a | 0.90 ± 0.32 A,a | 0.80 ± 0.22 A,a | 0.90 ± 0.13 A,a | 0.90 ± 0.15 A,a | |
| 28 | 0.90 ± 0.15 A,a | 0.90 ± 0.11 A,a | 1.00 ± 0.34 A,a | 1.00 ± 0.28 A,a | 1.00 ± 0.35 A,a | |
| Consistency (max. 2) | 7 | 1.90 ± 0.26 A,a | 1.90 ± 0.21 A,a | 1.80 ± 0.18 A,a | 1.90 ± 0.13 A,a | 1.90 ± 0.12 A,a |
| 14 | 2.00 ± 0.02 A,a | 1.90 ± 0.21 A,a | 1.80 ± 0.38 A,a | 1.90 ± 0.15 A,a | 1.90 ± 0.17 A,a | |
| 21 | 1.90 ± 0.14 A,a | 2.00 ± 0.30 A,a | 1.70 ± 0.61 A,a | 1.60 ± 0.46 A,a | 1.60 ± 0.50 A,a | |
| 28 | 1.90 ± 0.24 A,a | 1.70 ± 0.41 A,a | 1.60 ± 0.28 A,a | 1.90 ± 0.12 A,a | 1.80 ± 0.11 A,a | |
| Cut (max. 3) | 7 | 2.90 ± 0.84 A,a | 3.00 ± 0.10 A,a | 2.60 ± 0.82 A,a | 3.00 ± 0.00 A,a | 2.90 ± 0.18 A,a |
| 14 | 3.00 ± 0.00 A,a | 2.90 ± 0.27 A,a | 3.00 ± 0.04 A,a | 2.70 ± 0.39 A,a | 3.00 ± 0.05 A,a | |
| 21 | 3.00 ± 0.05 A,a | 3.00 ± 0.07 A,a | 2.70 ± 0.55 A,a | 2.80 ± 0.26 A,a | 2.60 ± 0.60 A,a | |
| 28 | 2.80 ± 0.36 A,a | 2.80 ± 0.31 A,a | 2.40 ± 0.58 A,a | 2.00 ± 0.10 A,a | 2.70 ± 0.38 A,a | |
| Odor (max. 2) | 7 | 2.00 ± 0.10 A,a | 1.90 ± 0.13 A,a | 2.0 ± 0.09 A,a | 2.00 ± 0.05 A,a | 1.90 ± 0.18 A,a |
| 14 | 1.90 ± 0.27 A,a | 2.00 ± 0.09 A,a | 2.0 ± 0.07 A,a | 2.00 ± 0.10 A,a | 2.00 ± 0.07 A,a | |
| 21 | 2.00 ± 0.05 A,a | 1.90 ± 0.15 A,a | 1.90 ± 0.19 A,a | 1.90 ± 0.29 A,a | 1.80 ± 0.39 A,a | |
| 28 | 2.00 ± 0.04 A,a | 2.00 ± 0.07 A,a | 1.90 ± 0.13 A,a | 2.00 ± 0.06 A,a | 2.00 ± 0.11 A,a | |
| Taste (max. 10) | 7 | 9.00 ± 0.97 A,a | 9.40 ± 0.80 A,a | 9.00 ± 0.70 A,a | 8.60 ± 1.05 A,a | 8.80 ± 1.31 A,a |
| 14 | 9.50 ± 0.44 A,a | 8.90 ± 1.39 A,a | 8.70 ± 1.67 A,a | 9.10 ± 0.87 A,a | 9.00 ± 2.04 A,a | |
| 21 | 8.90 ± 1.09 A,a | 9.50 ± 0.82 A,a | 8.30 ± 1.50 A,a | 8.20 ± 1.51 A,a | 7.80 ± 1.95 A,a | |
| 28 | 9.20 ± 0.64 A,a | 8.30 ± 1.89 A,a | 8.50 ± 1.23 A,a | 8.90 ± 1.01 A,a | 8.80 ± 1.19 A,a | |
| total | 7 | 18.70 ± 0.45 A,a | 19.20 ± 0.23 A,a | 18.2 ± 0.33 A,a | 18.40 ± 0.29 A,a | 18.40 ± 0.37 A,a |
| 14 | 19.30 ± 0.18 A,a | 17.70 ± 0.60 B,b | 18.50 ± 0.39 A,a | 18.80 ± 0.39 A,a | 18.90 ± 0.42 A,a | |
| 21 | 18.70 ± 0.27 A,a | 19.20 ± 0.29 A,a | 17.10 ± 0.58 B,a | 17.10 ± 0.52 C,b | 16.40 ± 0.66 D,b | |
| 28 | 18.70 ± 0.26 A,a | 17.60 ± 0.48 A,c | 17.10 ± 0.48 B,a | 18.50 ± 0.30 A,a | 18.2 ± 0.31 A,a | |
| Sample | Network Structure | Hidden Activation Function | Output Activation Function | Training Perf. Training Error | Test Perf. Test Error | Validation Perf. Validation Error |
|---|---|---|---|---|---|---|
| Brine | MLP 4-8-6 | Exponential | Logistic | 0.9746 0.0098 | 0.9489 0.0221 | 0.9548 0.0523 |
| - | Output variable | |||||
| pH | 0.9558 | 0.95133 | 0.8186 | |||
| S | 0.9963 | 0.9958 | 0.9864 | |||
| TDS | 0.9981 | 0.9968 | 0.987 | |||
| L | 0.9871 | 0.9845 | 0.9805 | |||
| a | 0.9660 | 0.9348 | 0.9336 | |||
| b | 0.9643 | 0.9629 | 0.8702 | |||
| Cheese | MLP 7-7-5 | Exponential | Tanh | 0.8966 0.0294 | 0.8922 0.0317 | 0.8691 0.0558 |
| - | Output variable | |||||
| pH | 0.9085 | 0.9012 | 0.8089 | |||
| °SH | 0.9346 | 0.9331 | 0.8286 | |||
| L | 0.9086 | 0.8744 | 0.7433 | |||
| a | 0.9005 | 0.8608 | 0.8396 | |||
| b | 0.8771 | 0.7418 | 0.7289 | |||
| MLP 7-6-4 | Tanh | Identity | 0.9622 0.0051 | 0.8378 0.0354 | 0.8358 0.0766 | |
| - | Output variable | |||||
| Hardness | 0.9696 | 0.8622 | 0.8406 | |||
| Gumminess | 0.9525 | 0.8325 | 0.7754 | |||
| Chewiness | 0.9754 | 0.9655 | 0.8553 | |||
| breakage | 0.9514 | 0.9483 | 0.8149 | |||
| MLP 7-6-1 (total sensory) | Tanh | Identity | 0.9354 0.0035 | 0.9357 0.0045 | 0.8213 0.0135 | |
Disclaimer/Publisher’s Note: The statements, opinions and data contained in all publications are solely those of the individual author(s) and contributor(s) and not of MDPI and/or the editor(s). MDPI and/or the editor(s) disclaim responsibility for any injury to people or property resulting from any ideas, methods, instructions or products referred to in the content. |
© 2023 by the authors. Licensee MDPI, Basel, Switzerland. This article is an open access article distributed under the terms and conditions of the Creative Commons Attribution (CC BY) license (https://creativecommons.org/licenses/by/4.0/).
Share and Cite
Lisak Jakopović, K.; Barukčić Jurina, I.; Marušić Radovčić, N.; Božanić, R.; Jurinjak Tušek, A. Reduced Sodium in White Brined Cheese Production: Artificial Neural Network Modeling for the Prediction of Specific Properties of Brine and Cheese during Storage. Fermentation 2023, 9, 783. https://doi.org/10.3390/fermentation9090783
Lisak Jakopović K, Barukčić Jurina I, Marušić Radovčić N, Božanić R, Jurinjak Tušek A. Reduced Sodium in White Brined Cheese Production: Artificial Neural Network Modeling for the Prediction of Specific Properties of Brine and Cheese during Storage. Fermentation. 2023; 9(9):783. https://doi.org/10.3390/fermentation9090783
Chicago/Turabian StyleLisak Jakopović, Katarina, Irena Barukčić Jurina, Nives Marušić Radovčić, Rajka Božanić, and Ana Jurinjak Tušek. 2023. "Reduced Sodium in White Brined Cheese Production: Artificial Neural Network Modeling for the Prediction of Specific Properties of Brine and Cheese during Storage" Fermentation 9, no. 9: 783. https://doi.org/10.3390/fermentation9090783
APA StyleLisak Jakopović, K., Barukčić Jurina, I., Marušić Radovčić, N., Božanić, R., & Jurinjak Tušek, A. (2023). Reduced Sodium in White Brined Cheese Production: Artificial Neural Network Modeling for the Prediction of Specific Properties of Brine and Cheese during Storage. Fermentation, 9(9), 783. https://doi.org/10.3390/fermentation9090783

