Removal of Quinolone Antibiotics from Wastewater by the Biochar-Based Sludge Adsorbent
Abstract
1. Introduction
2. Materials and Methods
2.1. Chemicals and Water Samples
2.2. PBA Preparation and Its Reusability
2.3. Batch Adsorption Experiments
2.4. Quantification and Adsorbent Characterization
2.5. Analytical Modeling
3. Results
3.1. The Superiority of PBA over RBA for Adsorptive NOR Removal
3.2. NOR Adsorption Kinetics for PBA
3.3. NOR Adsorption Isotherms of PBA
3.4. NOR Adsorption Thermodynamics of PBA
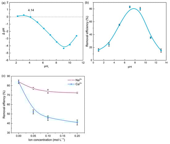
3.5. Effect of pH and Ion Strength on NOR Removal
3.6. Potential of PBA for Practical Applications
4. Discussion
5. Conclusions
Supplementary Materials
Author Contributions
Funding
Institutional Review Board Statement
Informed Consent Statement
Data Availability Statement
Conflicts of Interest
References
- Wang, X.; Li, C.; Zhang, B.; Lin, J.; Chi, Q.; Wang, Y. Migration and risk assessment of heavy metals in sewage sludge during hydrothermal treatment combined with pyrolysis. Bioresour. Technol. 2016, 221, 560–567. [Google Scholar] [CrossRef] [PubMed]
- Huang, R.X.; Zhang, B.; Saad, E.M.; Ingall, E.D.; Tang, Y.Z. Speciation evolution of zinc and copper during pyrolysis and hydrothermal carbonization treatments of sewage sludges. Water Res. 2018, 132, 260–269. [Google Scholar] [CrossRef] [PubMed]
- Ding, A.; Zhang, R.; Ngo, H.H.; He, X.; Ma, J.; Nan, J.; Li, G. Life cycle assessment of sewage sludge treatment and disposal based on nutrient and energy recovery: A review. Sci. Total Environ. 2021, 769, 144451. [Google Scholar] [CrossRef]
- Li, C.; Wang, X.; Zhang, G.; Yu, G.; Lin, J.; Wang, Y. Hydrothermal and alkaline hydrothermal pretreatments plus anaerobic digestion of sewage sludge for dewatering and biogas production: Bench-scale research and pilot-scale verification. Water Res. 2017, 117, 49–57. [Google Scholar] [CrossRef]
- Fang, J.; Zhan, L.; Ok, Y.S.; Gao, B. Minireview of potential applications of hydrochar derived from hydrothermal carbonization of biomass. J. Ind. Eng. Chem. 2018, 57, 15–21. [Google Scholar] [CrossRef]
- Karim, A.A.; Kumar, M.; Mohapatra, S.; Singh, S.K. Nutrient rich rich biomass and effluent sludge wastes co-utilization for production of biochar fertilizer through different thermal treatments. J. Clean. Prod. 2019, 228, 570–579. [Google Scholar] [CrossRef]
- Ahmad, M.; Rajapaksha, A.U.; Lim, J.E.; Zhang, M.; Bolan, N.; Mohan, D.; Vithanage, M.; Lee, S.S.; Ok, Y.S. Biochar as a sorbent for contaminant management in soil and water: A review. Chemosphere 2014, 99, 19–33. [Google Scholar] [CrossRef]
- Reguyal, F.; Sarmah, A.K.; Gao, W. Synthesis of magnetic biochar from pine sawdust via oxidative hydrolysis of FeCl2 for the removal sulfamethoxazole from aqueous solution. J. Hazard. Mater. 2017, 321, 868–878. [Google Scholar] [CrossRef]
- Inyang, M.I.; Gao, B.; Yao, Y.; Xue, Y.; Zimmerman, A.; Mosa, A.; Pullammanappallil, P.; Ok, Y.S.; Cao, X. A review of biochar as a low-cost adsorbent for aqueous heavy metal removal. Crit. Rev. Environ. Sci. Technol. 2016, 46, 406–433. [Google Scholar] [CrossRef]
- Cheng, N.; Wang, B.; Wu, P.; Lee, X.Q.; Xing, Y.; Chen, M.; Gao, B. Adsorption of emerging contaminants from water and wastewater by modified biochar: A review. Environ. Pollut. 2021, 273, 116448. [Google Scholar] [CrossRef] [PubMed]
- Zainab, S.M.; Junaid, M.; Xu, N.; Malik, R.N. Antibiotics and antibiotic resistant genes (ARGs) in groundwater: A global review on dissemination, sources, interactions, environmental and human health risks. Water Res. 2020, 187, 116455. [Google Scholar] [CrossRef] [PubMed]
- Carvalho, I.T.; Santos, L. Antibiotics in the aquatic environments: A review of the European scenario. Environ. Int. 2016, 94, 736–757. [Google Scholar] [CrossRef] [PubMed]
- Michael, I.; Rizzo, L.; McArdell, C.S.; Manaia, C.M.; Merlin, C.; Schwartz, T.; Dagot, C.; Fatta-Kassinos, D. Urban wastewater treatment plants as hotspots for the release of antibiotics in the environment: A review. Water Res. 2013, 47, 957–995. [Google Scholar] [CrossRef] [PubMed]
- Huang, A.; Yan, M.; Lin, J.; Xu, L.; Gong, H.; Gong, H. A Review of Processes for Removing Antibiotics from Breeding Wastewater. Int. J. Environ. Res. Public Health 2021, 18, 4909. [Google Scholar] [CrossRef]
- Nasrollahi, N.; Vatanpour, V.; Khataee, A. Removal of antibiotics from wastewaters by membrane technology: Limitations, successes, and future improvements. Sci. Total Environ. 2022, 838, 156010. [Google Scholar] [CrossRef]
- Manoharan, R.K.; Ishaque, F.; Ahn, Y.H. Fate of antibiotic resistant genes in wastewater environments and treatment strategies-A review. Chemosphere 2022, 298, 134671. [Google Scholar] [CrossRef]
- Phoon, B.L.; Ong, C.C.; Saheed, M.S.M.; Show, P.L.; Chang, J.S.; Ling, T.C.; Lam, S.S.; Juan, J.C. Conventional and emerging technologies for removal of antibiotics from wastewater. J. Hazard. Mater. 2020, 400, 122961. [Google Scholar] [CrossRef]
- Simonin, J.P. On the comparison of pseudo-first order and pseudo-second order rate laws in the modeling of adsorption kinetics. Chem. Eng. J. 2016, 300, 254–263. [Google Scholar] [CrossRef]
- Wang, X.J.; Chen, L.; Xia, S.Q.; Zhao, J.F.; Chovelon, J.M.; Renault, N.J. Biosorption of Cu(II) and Pb(II) from aqueous solutions by dried activated sludge. Miner. Eng. 2006, 19, 968–971. [Google Scholar] [CrossRef]
- Huang, Y.; Li, S.X.; Chen, J.H.; Zhang, X.L.; Chen, Y.P. Adsorption of Pb(II) on mesoporous activated carbons fabricated from water hyacinth using H3PO4 activation: Adsorption capacity, kinetic and isotherm studies. Appl. Surf. Sci. 2014, 293, 160–168. [Google Scholar] [CrossRef]
- Tran, H.N.; Tomul, F.; Ha, N.T.H.; Nguyen, D.T.; Lima, E.C.; Le, G.T.; Chang, C.T.; Masindi, V.; Woo, S.H. Innovative spherical biochar for pharmaceutical removal from water: Insight into adsorption mechanism. J. Hazard. Mater. 2020, 394, 122255. [Google Scholar] [CrossRef]
- Lima, É.C.; Adebayo, M.A.; Machado, F.M. Kinetic and equilibrium models of adsorption. In Carbon Nanomaterials as Adsorbents for Environmental and Biological Applications; Bergmann, C.P., Machado, F.M., Eds.; Springer International Publishing: Berlin/Heidelberg, Germany, 2015; pp. 33–69. [Google Scholar]
- Sun, Y.Y.; Li, H.; Li, G.C.; Gao, B.Y.; Yue, Q.Y.; Li, X.B. Characterization and ciprofloxacin adsorption properties of activated carbons prepared from biomass wastes by H3PO4 activation. Bioresour. Technol. 2016, 217, 239–244. [Google Scholar] [CrossRef]
- Ma, Y.; Li, P.; Yang, L.; Wu, L.; He, L.; Gao, F.; Qi, X.; Zhang, Z. Iron/zinc and phosphoric acid modified sludge biochar as an efficient adsorbent for fluoroquinolones antibiotics removal. Ecotoxicol. Environ. Saf. 2020, 196, 110550. [Google Scholar] [CrossRef]
- Wang, N.F.; Xiao, W.L.; Niu, B.H.; Duan, W.Z.; Zhou, L.; Zheng, Y. Highly efficient adsorption of fluoroquinolone antibiotics using chitosan derived granular hydrogel with 3D structure. J. Mol. Liq. 2019, 281, 307–314. [Google Scholar] [CrossRef]
- Li, X.L.; Lu, H.J.; Zhang, Y.; He, F.; Jing, L.Y.; He, X.H. Fabrication of magnetic alginate beads with uniform dispersion of CoFe2O4 by the polydopamine surface functionalization for organic pollutants removal. Appl. Surf. Sci. 2016, 389, 567–577. [Google Scholar] [CrossRef]
- Huang, J.S.; Zimmerman, A.R.; Chen, H.; Gao, B. Ball milled biochar effectively removes sulfamethoxazole and sulfapyridine antibiotics from water and wastewater. Environ. Pollut. 2020, 258, 113809. [Google Scholar] [CrossRef]
- Cao, X.W.; Meng, Z.F.; Song, E.; Sun, X.X.; Hu, X.L.; Li, W.B.; Liu, Z.; Gao, S.; Song, B. Co-adsorption capabilities and mechanisms of bentonite enhanced sludge biochar for de-risking norfloxacin and Cu2+ contaminated water. Chemosphere 2022, 299, 134414. [Google Scholar] [CrossRef] [PubMed]
- Cao, D.Q.; Yang, W.Y.; Wang, Z.; Hao, X.D. Role of extracellular polymeric substance in adsorption of quinolone antibiotics by microbial cells in excess sludge. Chem. Eng. J. 2019, 370, 684–694. [Google Scholar] [CrossRef]
- Li, J.; Yu, G.; Pan, L.; Li, C.; You, F.; Xie, S.; Wang, Y.; Ma, J.; Shang, X. Study of ciprofloxacin removal by biochar obtained from used tea leaves. J. Environ. Sci. 2018, 73, 20–30. [Google Scholar] [CrossRef]






| Adsorbent | Ash Content | BET Surface Area (m2·g−1) | Elementary Composition | ||||
|---|---|---|---|---|---|---|---|
| C | O | N | O/C | (O + N)/C | |||
| RBA | 76.6% | 34.55 | 45.93% | 35.93% | 4.81% | 0.78 | 0.89 |
| PBA | 79.3% | 41.94 | 33.69% | 45.62% | 2.88% | 1.35 | 1.44 |
| Temp (°C) | Pseudo-First-Order | Pseudo-Second-Order | ||||
|---|---|---|---|---|---|---|
| qm (mg·g−1) | K1 (min−1) | R2 | qm (mg·g−1) | K2 (g·(mg·min)−1) | R2 | |
| 30 | 8.306 | 0.074 | 0.935 | 8.732 | 0.016 | 0.992 |
| 40 | 8.336 | 0.069 | 0.865 | 8.513 | 0.019 | 0.993 |
| 50 | 7.731 | 0.084 | 0.895 | 7.898 | 0.023 | 0.998 |
| Temp (°C) | First Stage | Second Stage | Third Stage | ||||||
|---|---|---|---|---|---|---|---|---|---|
| I | kdif | R2 | I | kdif | R2 | I | kdif | R2 | |
| 30 | 4.058 | 0.536 | 0.973 | 7.757 | 0.045 | 0.976 | 8.483 | 0.005 | 0.989 |
| 40 | 4.259 | 0.468 | 0.985 | 7.703 | 0.037 | 0.989 | 8.315 | 0.002 | 0.999 |
| 50 | 4.370 | 0.376 | 0.978 | 7.347 | 0.024 | 0.925 | 7.680 | 0.006 | 1.000 |
| Temp (°C) | Langmuir Model | Freundlich Model | ||||
|---|---|---|---|---|---|---|
| KL (L·mg−1) | qm (mg·g−1) | R2 | KF | 1/n | R2 | |
| 30 | 0.270 | 29.081 | 0.994 | 6.305 | 0.551 | 0.988 |
| 40 | 0.331 | 22.064 | 0.997 | 5.743 | 0.533 | 0.987 |
| 50 | 0.269 | 20.698 | 0.996 | 4.734 | 0.504 | 0.987 |
| Temp (°C) | ΔGθ (kJ·(mol)−1) | ΔHθ (kJ·mol−1) | ΔSθ (J·(mol·K)−1) |
|---|---|---|---|
| 30 | −0.711 | −28.155 | −90.074 |
| 40 | −0.284 | ||
| 50 | 1.111 |
Disclaimer/Publisher’s Note: The statements, opinions and data contained in all publications are solely those of the individual author(s) and contributor(s) and not of MDPI and/or the editor(s). MDPI and/or the editor(s) disclaim responsibility for any injury to people or property resulting from any ideas, methods, instructions or products referred to in the content. |
© 2023 by the authors. Licensee MDPI, Basel, Switzerland. This article is an open access article distributed under the terms and conditions of the Creative Commons Attribution (CC BY) license (https://creativecommons.org/licenses/by/4.0/).
Share and Cite
Zhang, Y.; Gong, Y.; Shi, G.; Liu, X.; Dai, M.; Ding, L. Removal of Quinolone Antibiotics from Wastewater by the Biochar-Based Sludge Adsorbent. Fermentation 2023, 9, 752. https://doi.org/10.3390/fermentation9080752
Zhang Y, Gong Y, Shi G, Liu X, Dai M, Ding L. Removal of Quinolone Antibiotics from Wastewater by the Biochar-Based Sludge Adsorbent. Fermentation. 2023; 9(8):752. https://doi.org/10.3390/fermentation9080752
Chicago/Turabian StyleZhang, Yaoyu, Yiwei Gong, Gang Shi, Xiping Liu, Maifan Dai, and Lingyun Ding. 2023. "Removal of Quinolone Antibiotics from Wastewater by the Biochar-Based Sludge Adsorbent" Fermentation 9, no. 8: 752. https://doi.org/10.3390/fermentation9080752
APA StyleZhang, Y., Gong, Y., Shi, G., Liu, X., Dai, M., & Ding, L. (2023). Removal of Quinolone Antibiotics from Wastewater by the Biochar-Based Sludge Adsorbent. Fermentation, 9(8), 752. https://doi.org/10.3390/fermentation9080752

