Synergistic Effects of Anaerobic Co-Digestion of Chicken Manure and Corn Stover in Batch and Continuous Modes
Abstract
1. Introduction
2. Materials and Methods
2.1. Substrates and Inoculum
2.2. Batch Test for Biochemical Methane Potential Assay
2.3. Anaerobic Co-Digestion of Chicken Manure and Corn Stover in Semi-Continuous Mode
2.4. Analytic Methods
2.5. Statistical Analysis
3. Results and Discussions
3.1. Characteristics of Substrate
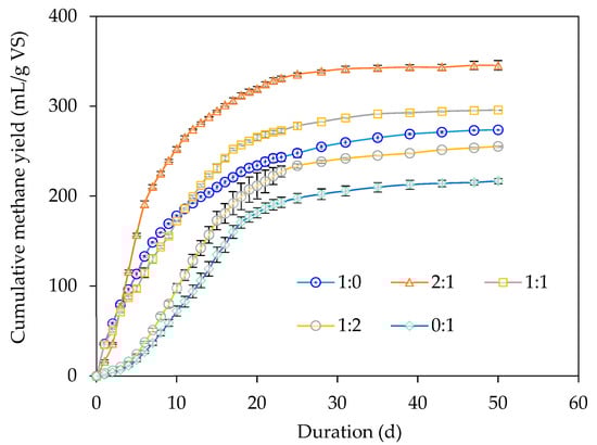
3.2. Effect of Mixing Ratios on Biochemical Methane Potential
3.3. Effect of Mixing Ratios on AD Performance in Semi-Continuous Tests
3.4. Synergistic Effects of Anaerobic Co-Digestion of Chicken Manure and Corn Stover
4. Conclusions
Author Contributions
Funding
Institutional Review Board Statement
Informed Consent Statement
Data Availability Statement
Conflicts of Interest
References
- Klinlampu, C.; Chimprang, N.; Sirisrisakulchai, J. The Sufficient Level of Growth in Renewable Energy Generation for Coal Demand Reduction. Energ. Rep. 2023, 9, 843–849. [Google Scholar] [CrossRef]
- Dutta, S.; He, M.; Xiong, X.; Tsang, D.C.W. Sustainable Management and Recycling of Food Waste Anaerobic Digestate: A Review. Bioresour. Technol. 2021, 341, 125915. [Google Scholar] [CrossRef]
- Gao, X.; Li, Z.; Zhang, K.; Kong, D.; Gao, W.; Liang, J.; Liu, F.; Du, L. Layer Inoculation as a New Technology to Resist Volatile Fatty Acid Inhibition during Solid-State Anaerobic Digestion: Methane Yield Performance and Microbial Responses. Fermentation 2023, 9, 535. [Google Scholar] [CrossRef]
- Nikolausz, M.; Kretzschmar, J.A.O. Anaerobic Digestion in the 21st Century. Bioengineering 2020, 7, 157. [Google Scholar] [CrossRef]
- Jia, W.; Qin, W.; Zhang, Q.; Wang, X.; Ma, Y.; Chen, Q. Evaluation of Crop Residues and Manure Production and Their Geographical Distribution in China. J. Clean. Prod. 2018, 188, 954–965. [Google Scholar] [CrossRef]
- Li, Y.; Zhang, R.; Chen, C.; Liu, G.; He, Y.; Liu, X. Biogas production from co-digestion of corn stover and chicken manure under anaerobic wet, hemi-solid, and solid state conditions. Bioresour. Technol. 2013, 149, 406–412. [Google Scholar] [CrossRef]
- Atelge, M.R.; Krisa, D.; Kumar, G.; Eskicioglu, C.; Nguyen, D.D.; Chang, S.W.; Atabani, A.E.; Al-Muhtaseb, A.H.; Unalan, S. Biogas Production from Organic Waste: Recent Progress and Perspectives. Waste Biomass Valorization 2020, 11, 1019–1040. [Google Scholar] [CrossRef]
- Wei, Y.; Li, Z.; Ran, W.; Yuan, H.; Li, X. Performance and microbial community dynamics in anaerobic co-digestion of chicken manure and corn stover with different modification methods and trace element supplementation strategy. Bioresour. Technol. 2021, 325, 124713. [Google Scholar] [CrossRef]
- Lü, F.; Wang, Z.; Zhang, H.; Shao, L.; He, P. Anaerobic digestion of organic waste: Recovery of value-added and inhibitory compounds from liquid fraction of digestate. Bioresour. Technol. 2021, 333, 125196. [Google Scholar] [CrossRef]
- Croce, S.; Wei, Q.; D’Imporzano, G.; Dong, R.; Adani, F. Anaerobic digestion of straw and corn stover: The effect of biological process optimization and pre-treatment on total bio-methane yield and energy performance. Biotechnol. Adv. 2016, 34, 1289–1304. [Google Scholar] [CrossRef]
- Yu, Q.; Sun, C.; Liu, R.; Yellezuome, D.; Zhu, X.; Bai, R.; Liu, M.; Sun, M. Anaerobic co-digestion of corn stover and chicken manure using continuous stirred tank reactor: The effect of biochar addition and urea pretreatment. Bioresour. Technol. 2021, 319, 124197. [Google Scholar] [CrossRef]
- Li, Y.; Xu, H.; Yi, X.; Zhao, Y.; Jin, F.; Chen, L.; Hua, D. Study of two-phase anaerobic digestion of corn stover: Focusing on the conversion of volatile fatty acids and microbial characteristics in UASB reactor. Ind. Crops Prod. 2021, 160, 113097. [Google Scholar] [CrossRef]
- Manogaran, M.D.; Shamsuddin, R.; Mohd Yusoff, M.H.; Lay, M.; Siyal, A.A. A review on treatment processes of chicken manure. Clean. Circ. Bioecon. 2022, 2, 100013. [Google Scholar] [CrossRef]
- Song, Y.; Qiao, W.; Zhang, J.; Dong, R. Process Performance and Functional Microbial Community in the Anaerobic Digestion of Chicken Manure: A Review. Energies 2023, 16, 4675. [Google Scholar] [CrossRef]
- Karki, R.; Chuenchart, W.; Surendra, K.C.; Shrestha, S.; Raskin, L.; Sung, S.; Hashimoto, A.; Kumar Khanal, S. Anaerobic co-digestion: Current status and perspectives. Bioresour. Technol. 2021, 330, 125001. [Google Scholar] [CrossRef]
- Hagos, K.; Zong, J.; Li, D.; Liu, C.; Lu, X. Anaerobic co-digestion process for biogas production: Progress, challenges and perspectives. Renew. Sust. Energ. Rev. 2017, 76, 1485–1496. [Google Scholar] [CrossRef]
- Zheng, Z.; Cai, Y.; Zhang, Y.; Zhao, Y.; Gao, Y.; Cui, Z.; Hu, Y.; Wang, X. The effects of C/N (10–25) on the relationship of substrates, metabolites, and microorganisms in “inhibited steady-state” of anaerobic digestion. Water Res. 2021, 188, 116466. [Google Scholar] [CrossRef]
- Yan, Z.; Song, Z.; Li, D.; Yuan, Y.; Liu, X.; Zheng, T. The effects of initial substrate concentration, C/N ratio, and temperature on solid-state anaerobic digestion from composting rice straw. Bioresour. Technol. 2015, 177, 266–273. [Google Scholar] [CrossRef]
- Zhang, C.; Xiao, G.; Peng, L.; Su, H.; Tan, T. The anaerobic co-digestion of food waste and cattle manure. Bioresour. Technol. 2013, 129, 170–176. [Google Scholar] [CrossRef]
- Zhu, N. Effect of low initial C/N ratio on aerobic composting of swine manure with rice straw. Bioresour. Technol. 2007, 98, 9–13. [Google Scholar] [CrossRef]
- Kumar, M.; Ou, Y.L.; Lin, J.G. Co-composting of green waste and food waste at low C/N ratio. Waste Manag. 2010, 30, 602–609. [Google Scholar] [CrossRef]
- Nag, R.; Auer, A.; Markey, B.K.; Whyte, P.; Nolan, S.; Flaherty, V.; Russell, L.; Bolton, D.; Fenton, O.; Richards, K.; et al. Anaerobic digestion of agricultural manure and biomass—Critical indicators of risk and knowledge gaps. Sci. Total Environ. 2019, 690, 460–479. [Google Scholar] [CrossRef]
- Wandera, S.M.; Qiao, W.; Algapani, D.E.; Bi, S.; Yin, D.; Qi, X.; Liu, Y.; Dach, J.; Dong, R. Searching for possibilities to improve the performance of full-scale agricultural biogas plants. Renew. Energ. 2018, 116, 720–727. [Google Scholar] [CrossRef]
- Yu, Q.; Cui, S.; Sun, C.; Liu, R.; Sarker, M.; Guo, Z.; Lai, R. Synergistic Effects of Anaerobic Co-Digestion of Pretreated Corn Stover with Chicken Manure and Its Kinetics. Biotechnol. Appl. Biochem. 2021, 193, 515–532. [Google Scholar] [CrossRef]
- VDL. VDI standard procedures 4630. In Fermentation of Organic Materials Characterization of the Substrate, Sampling, Collection of Material Data, Fermentation Tests; Verein Deutscher Ingenieure, Beuth Verlag: Berlin, Germany, 2006; p. 92. [Google Scholar]
- Bi, S.; Westerholm, M.; Qiao, W.; Mahdy, A.; Xiong, L.; Yin, D.; Fan, R.; Dach, J.; Dong, R. Enhanced methanogenic performance and metabolic pathway of high solid anaerobic digestion of chicken manure by Fe2+ and Ni2+ supplementation. Waste Manag. 2019, 94, 10–17. [Google Scholar] [CrossRef]
- Li, Q.; Qiao, W.; Wang, X.; Takayanagi, K.; Shofie, M.; Li, Y.Y. Kinetic characterization of thermophilic and mesophilic anaerobic digestion for coffee grounds and waste activated sludge. Waste Manag. 2015, 36, 77–85. [Google Scholar] [CrossRef]
- Water Environment Federation; American Public Health Association. Standard Methods for the Examination of Water and Wastewater; American Public Health Association: Washington, DC, USA, 2005; p. 21. [Google Scholar]
- Buswell, A.M.; Sollo, F.W. The Mechanism of the Methane Fermentation. J. Am. Chem. Soc. 1948, 70, 1778–1780. [Google Scholar] [CrossRef]
- Ning, Z.; Zhang, H.; Li, W.; Zhang, R.; Liu, G.; Chen, C. Anaerobic digestion of lipid-rich swine slaughterhouse waste: Methane production performance, long-chain fatty acids profile and predominant microorganisms. Bioresour. Technol. 2018, 269, 426–433. [Google Scholar] [CrossRef]
- Hao, T.; Xiao, Y.; Varjani, S. Transiting from the inhibited steady-state to the steady-state through the ammonium bicarbonate mediation in the anaerobic digestion of low-C/N-ratio food wastes. Bioresour. Technol. 2022, 351, 127046. [Google Scholar] [CrossRef]
- Rajagopal, R.; Massé, D.I.; Singh, G. A critical review on inhibition of anaerobic digestion process by excess ammonia. Bioresour. Technol. 2013, 143, 632–641. [Google Scholar] [CrossRef]
- Meegoda, J.A.-O.; Li, B.; Patel, K.; Wang, L.B. A Review of the Processes, Parameters, and Optimization of Anaerobic Digestion. Int. J. Environ. Res. Public Health 2018, 15, 2224. [Google Scholar] [CrossRef]
- Zhen, G.; Lu, X.; Kobayashi, T.; Kumar, G.; Xu, K. Anaerobic co-digestion on improving methane production from mixed microalgae (Scenedesmus sp., Chlorella sp.) and food waste: Kinetic modeling and synergistic impact evaluation. Chem. Eng. J. 2016, 299, 332–341. [Google Scholar] [CrossRef]
- Ye, J.; Li, D.; Sun, Y.; Wang, G.; Yuan, Z.; Zhen, F.; Wang, Y. Improved biogas production from rice straw by co-digestion with kitchen waste and pig manure. Waste Manag. 2013, 33, 2653–2658. [Google Scholar] [CrossRef]
- Yenigün, O.; Demirel, B. Ammonia inhibition in anaerobic digestion: A review. Process Biochem. 2013, 48, 901–911. [Google Scholar] [CrossRef]
- Bi, S.; Hong, X.; Yang, H.; Yu, X.; Fang, S.; Bai, Y.; Liu, J.; Gao, Y.; Yan, L.; Wang, W.; et al. Effect of hydraulic retention time on anaerobic co-digestion of cattle manure and food waste. Renew. Energ. 2020, 150, 213–220. [Google Scholar] [CrossRef]
- Li, Y.; Zhang, R.; Liu, X.; Chen, C.; Xiao, X.; Feng, L.; He, Y.; Liu, G. Evaluating Methane Production from Anaerobic Mono- and Co-digestion of Kitchen Waste, Corn Stover, and Chicken Manure. Energy Fuels 2013, 27, 2085–2091. [Google Scholar] [CrossRef]
- Li, Y.; Zhang, R.; He, Y.; Zhang, C.; Liu, X.; Chen, C.; Liu, G. Anaerobic co-digestion of chicken manure and corn stover in batch and continuously stirred tank reactor (CSTR). Bioresour. Technol. 2014, 156, 342–347. [Google Scholar] [CrossRef]
- Tian, P.; Gong, B.; Bi, K.; Liu, Y.; Ma, J.; Wang, X.; Ouyang, Z.; Cui, X. Anaerobic Co-Digestion of Pig Manure and Rice Straw: Optimization of Process Parameters for Enhancing Biogas Production and System Stability. Int. J. Environ. Res. Public Health 2023, 20, 804. [Google Scholar] [CrossRef]






| Parameter | Chicken Manure | Corn Stover | Inoculum | ||||
|---|---|---|---|---|---|---|---|
| [23] | [24] | This Study | [23] | [24] | This Study | ||
| TS (% WW) | 8.3 | 19.1 ± 0.2 | 32.3 ± 0.4 | 7.0 | 25.9 ± 0.3 | 92.9 ± 0.7 | 4.9 ± 0.6 |
| VS (% WW) | 5.6 | 14.9 ± 0.1 | 22.1 ± 0.3 | 6.4 | 20.9 ± 0.4 | 78.5 ± 0.6 | 2.6 ± 0.3 |
| VS (% TS) | 67.5 | 77.9 | 68.7 | 91.4 | 80.6 | 84.5 | 53.1 |
| Cellulose (% TS) | NA | NA | 2.1 ± 0.4 | NA | 34.4 ± 0.1 | 30.7 ± 0.1 | NA |
| Hemicellulose (% TS) | NA | NA | 3.5 ± 0.4 | NA | 31.6 ± 0.2 | 28.5 ± 0.2 | NA |
| Lignin (% TS) | NA | NA | 0.8 ± 0.3 | NA | 12.5 ± 0.2 | 12.1 ± 0.1 | NA |
| C (% TS) | 60.3 | 38.6 ± 0.9 | 37.5 ± 0.3 | 58.3 | 43.8 ± 0.1 | 46.9 ± 0.4 | NA |
| H (% TS) | 8.8 | 3.3 ± 0.3 | 4.2 ± 0.1 | 4.7 | 5.6 ± 0.1 | 6.1 ± 0.1 | NA |
| O (% TS) | 25.9 | 32.4 ± 0.4 | 26.6 ± 0.4 | 34.4 | 30.5 ± 0.3 | 34.1 ± 0.5 | NA |
| N (% TS) | 6.3 | 4.2 ± 0.26 | 3.7 ± 0.2 | 1.1 | 1.0 ± 0.1 | 0.6 ± 0.1 | NA |
| S (% TS) | 2.1 | <0.1 | 0.6 ± 0.2 | 0.8 | <0.1 | 0.1 ± 0.1 | NA |
| C/N | 9.6 | 9.3 | 10.1 ± 0.2 | 53 | 42.9 | 67.1 ± 0.2 | NA |
| CM:CS Ratio | MY (mL/g VS) | TMP (mL/g VS) | Bio (%) | VS Removal (%) | T90 (d) |
|---|---|---|---|---|---|
| 1:0 | 274 ± 6 | 460 | 59.5 | 55.3 | 25 |
| 2:1 | 346 ± 5 | 490 | 70.5 | 62.1 | 19 |
| 1:1 | 296 ± 11 | 505 | 58.6 | 53.8 | 20 |
| 1:2 | 255 ± 8 | 520 | 49.1 | 45.2 | 22 |
| 0:1 | 217 ± 5 | 550 | 39.4 | 38.7 | 30 |
| CM:CS Ratio | P0 (mL/g VS) | Rmax (mL/(d·g VS)) | λ (d) | R2 |
|---|---|---|---|---|
| 1:0 | 262 ± 4 | 15 | <0 | 0.989 |
| 2:1 | 333 ± 4 | 29 | <0 | 0.987 |
| 1:1 | 294 ± 2 | 17 | <0 | 0.996 |
| 1:2 | 250 ± 1 | 16 | 1.3 | 0.999 |
| 0:1 | 215 ± 1 | 13 | 2.7 | 0.998 |
| CM:CS Ratio | MY (mL/g VS) | MC (%) | pH | TAN (g/L) | VFA (g/L) | Alkalinity (g/L) |
|---|---|---|---|---|---|---|
| 1:0 | 247 ± 8 | 60 ± 1 | 7.68 ± 0.1 | 1.76 ± 0.09 | 0.45 ± 0.13 | 6.5 ± 0.3 |
| 2:1 | 318 ± 4 | 57 ± 1 | 7.5 ± 0.05 | 1.19 ± 0.06 | 0.24 ± 0.07 | 4.7 ± 0.2 |
| 1:1 | 291 ± 7 | 56 ± 1 | 7.39 ± 0.08 | 0.93 ± 0.05 | 0.36 ± 0.03 | 3.1 ± 0.4 |
| 1:2 | 259 ± 11 | 56 ± 2 | 7.2 ± 0.04 | 0.67 ± 0.06 | 0.24 ± 0.02 | 2.5 ± 0.2 |
| 0:1 | 205 ± 5 | 56 ± 1 | 7.08 ± 0.04 | 0.22 ± 0.05 | 0.31 ± 0.10 | 1.3 ± 0.3 |
| CM:CS Ratio | C/N | Operation Mode | Duration (d) | Temperature (°C) | MY (mL/g VS) | Reference |
|---|---|---|---|---|---|---|
| 3:1 | 17.6 | Batch | 50 | 37 | 332 | [24] |
| 2:1 | 20.4 | Batch | 50 | 37 | 319 | [24] |
| 1:1 | 16.8 | Batch | 45 | 37 | 308 | [38] |
| 1:1.4 | 20.0 | Batch | 30 | 37 | 281 | [39] |
| 1:3 | 27.3 | Batch | 35 | 37 | 219–298 | [6] |
| 1:1.4 | 20.0 | CSTR | 22.5 | 37 | 223 | [39] |
| 2:1 | - | CSTR | 20 | 37 | 384 | [11] |
| 2:1 | 15.1 | Batch | 30 | 37 | 333 | This study |
| 2:1 | 15.1 | CSTR | 30 | 37 | 318 | This study |
Disclaimer/Publisher’s Note: The statements, opinions and data contained in all publications are solely those of the individual author(s) and contributor(s) and not of MDPI and/or the editor(s). MDPI and/or the editor(s) disclaim responsibility for any injury to people or property resulting from any ideas, methods, instructions or products referred to in the content. |
© 2023 by the authors. Licensee MDPI, Basel, Switzerland. This article is an open access article distributed under the terms and conditions of the Creative Commons Attribution (CC BY) license (https://creativecommons.org/licenses/by/4.0/).
Share and Cite
Yu, X.; Wang, Y.; Yan, L.; Wang, Y.; Lu, J.; Huang, Y.; Bi, S.; Wang, W. Synergistic Effects of Anaerobic Co-Digestion of Chicken Manure and Corn Stover in Batch and Continuous Modes. Fermentation 2023, 9, 666. https://doi.org/10.3390/fermentation9070666
Yu X, Wang Y, Yan L, Wang Y, Lu J, Huang Y, Bi S, Wang W. Synergistic Effects of Anaerobic Co-Digestion of Chicken Manure and Corn Stover in Batch and Continuous Modes. Fermentation. 2023; 9(7):666. https://doi.org/10.3390/fermentation9070666
Chicago/Turabian StyleYu, Xinhui, Yanjie Wang, Lei Yan, Yanhong Wang, Jiaxin Lu, Yubo Huang, Shaojie Bi, and Weidong Wang. 2023. "Synergistic Effects of Anaerobic Co-Digestion of Chicken Manure and Corn Stover in Batch and Continuous Modes" Fermentation 9, no. 7: 666. https://doi.org/10.3390/fermentation9070666
APA StyleYu, X., Wang, Y., Yan, L., Wang, Y., Lu, J., Huang, Y., Bi, S., & Wang, W. (2023). Synergistic Effects of Anaerobic Co-Digestion of Chicken Manure and Corn Stover in Batch and Continuous Modes. Fermentation, 9(7), 666. https://doi.org/10.3390/fermentation9070666

